Abstract
Cytochrome P450 (P450) enzymes dominate steroid metabolism. In general, the simple C-hydroxylation reactions are mechanistically straightforward and are generally agreed to involve a perferryl oxygen species (formally FeO3+). Several of the steroid transformations are more complex and involve C-C bond scission. We initiated mechanistic studies with several of these (i.e., 11A1, 17A1, 19A1, and 51A1) and have now established that the dominant modes of catalysis for P450s 19A1 and 51A1 involve a ferric peroxide anion (i.e., Fe3+O2¯) instead of a perferryl ion complex (FeO3+), as demonstrated with 18O incorporation studies. P450 17A1 is less clear. The indicated P450 reactions all involve sequential oxidations, and we have explored the processivity of these multi-step reactions. P450 19A1 is distributive, i.e., intermediate products dissociate and reassociate, but P450s 11A1 and 51A1 are highly processive. P450 17A1 shows intermediate processivity, as expected from the release of 17-hydroxysteroids for the biosynthesis of key molecules, and P450 19A1 is very distributive. P450 11B2 catalyzes a processive multi-step oxidation process with the complexity of a chemical closure of an intermediate to a locked lactol form.
1. Introduction
Steroid metabolism is common to many forms of life, even complex bacteria such as Mycobacteria [1,2,3,4,5]. In humans, ~1/4 of the 57 cytochrome P450 (P450, CYP) enzymes are involved primarily in steroid metabolism (1B1, 7A1, 7B1, 8B1, 11A1, 11B1, 11B2, 17A1, 19A1, 21A2, 27A1, 39A1, 46A1, and 51A1) [6,7,8,9,10,11,12,13,14,15,16,17,18,19,20]. In addition, many other human P450s are also capable of catalyzing steroid oxidations, even if the process is not considered physiologically critical (e.g., P450s 1A2, 2C9, 3A4, 3A5) [21,22,23,24,25,26]. The P450s in the former group are considered essential, and deficiencies in these genes are problematic, leading to endocrine problems [27,28,29,30,31,32,33,34]. However, several of these P450s are also drug targets in cases where attenuation of the products is desirable [35,36,37,38,39,40,41,42].
A number of the P450-catalyzed steroid oxidations are complex and have attracted interest from enzymologists, not only from a pedantic view but also in the context of drug discovery. In addition, the catalytic mechanisms of these P450 reactions have counterparts in drug metabolism [43,44,45,46] and in the biosynthesis of natural products [47,48,49].
P450 enzymes serve as the main catalysts in steroid oxidations (Figure 1). In the recent past, much of the P450 research in our own laboratory has been directed toward several steroid oxidations, particularly considering the kinetic processivity of multi-step reactions and the roles of different iron-oxygen complexes in catalysis (Figure 2). This review will update some primary literature and also recent reviews from our group [50,51]. Five of these enzymes will be considered here: P450s 11A1, 11B2, 17A1, 19A1, and 51A1.
Figure 1.
Roles of P450s in mammalian steroid metabolism.
Figure 2.
General catalytic cycle for P450 oxidations.
2. P450 11A1
P450 11A1 is the classic cholesterol side chain cleavage enzyme (P450scc) that converts the sterol cholesterol into other steroids (Figure 3). It also uses other sterols as substrates [52,53], as well as vitamin D [54,55,56,57] and even some drugs [58].
Figure 3.
Conversion of cholesterol into pregnenolone by P450 11A1.
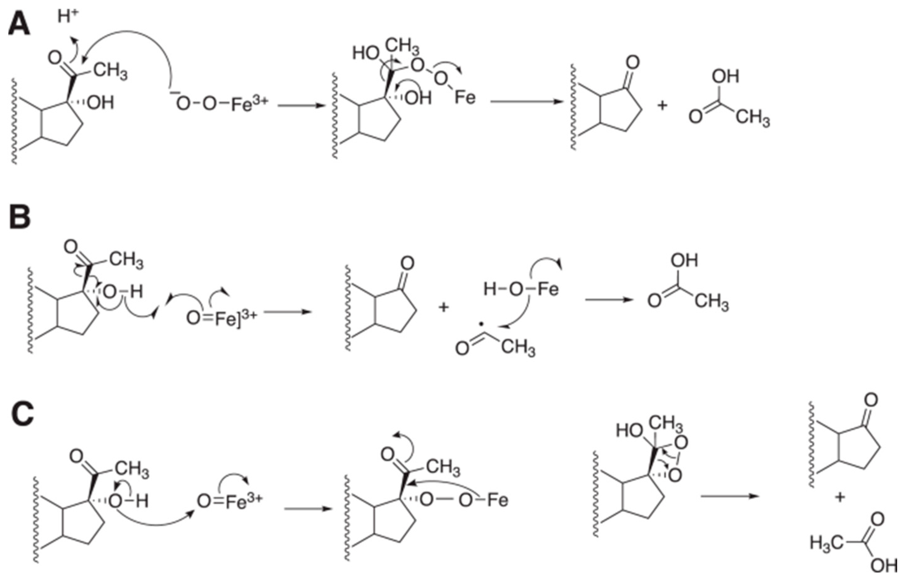
X-ray crystal structures of P450 11A1 have been reported with both 22R-hydroxycholesterol (PDB 3MZS [59,60]) and 20R,22R-dihydroxycholesterol (PDB 3NA0) [60]. There has been general agreement that the enzyme uses a Compound I mechanism (Figure 2), based largely on the work of the Hoffman laboratory that demonstrated the catalytic competence of a Compound I entity generated by radiolysis [61,62]. Our work with 18O2 labeling [63] led to the conclusion that P450 11A1 Compound I acts as an electrophilic agent with one of the two hydroxyls of 20R,22R-dihydroxycholesterol (Figure 4), as opposed to abstracting a hydrogen atom from an alcohol [64]. An alternative mechanism involves a molozonide intermediate form with Compound I (Figure 5) [50]. Su et al. [65] have proposed an alternate scheme involving electron transfer from a deprotonated C22 oxygen atom to Compound I, based on theoretical calculations (Figure 6), which is still consistent with our own 18O labeling results [63]. The crystal structure of P450 11A1 with 20R,22R-dihydroxycholesterol has been reported (PDB: 3NA0) [60]. The distances between the C20-oxygen and the C22-oxygen of the ligand and to the heme iron are 3.3 and 3.6 Å, respectively. The closer distance of the C20 position could support the Compound I iron active species reacting at C20, as shown in Figure 4A, path b, to initiate the C20-C22 lyase reaction. However, the proposed mechanism may not be tenable in light of (i) the fact that all four 20,22-dihydroxycholesterol diastereomers are substrates for the last step [66,67,68,69] and (ii) two different rotamers are involved as intermediates (vide infra) [67], confounding through-space calculations.
Figure 4.
Proposed mechanisms of the C-C bond cleavage step for P450 11A1 [63]. The alternate pathways a and b are shown.
Figure 5.
A molozonide mechanism, a derivative of the mechanism shown in Figure 4. The asterisk (*) indicates 18O used in labeling and its course in the reaction.
Figure 6.
An alternate proposal for the C-C bond cleavage step based on theoretical calculations [65]. The asterisk (*) indicates 18O used in labeling and its course in the reaction.
The intermediates in the three-step reaction (Figure 3) are bound tightly, with low off-rates [67]. Thus, the reaction is processive as opposed to distributive, i.e., where the intermediate products have low affinity for the enzyme, dissociate, and have to be bound again before the next step (the oxidation step). As we will see later, such behavior (processivity) is also seen with P450 51A1 but not P450 19A1. P450 17A1 involves both processive and distributive aspects. Accordingly, the time course of a single turnover reaction shows only low levels of the 22R-hydroxy and the 20R,22R-dihydroxycholesterol intermediates (Figure 7) [67]. In the course of this work, two products were observed at short intervals in the dihydroxy product region on HPLC (Figure 8). Treatment of the (combined) products from this elution region with NaIO4 converted both products to pregnenolone, indicating that both were vic-diols, but in control reactions with only buffer, one was converted to the other, which migrated with standard synthetic 20R,22R-dihydroxycholesterol in HPLC [67]. We concluded that the two peaks are not diastereomers but rotamers, i.e., slowly converting conformers. Accordingly, these must result from the existence of two geometrically distinct complexes of 22R-hydroxycholesterol with P450 11A1 (Figure 9) [67]. The kinetics of formation and decay of these two conformers were very similar [67].
Figure 7.
Time course of the reaction of 5 µM P450 11A1 with a limiting concentration of cholesterol [67]. Black (points and lines): cholesterol; light blue: 22R-hydroxycholesterol; dark blue: 20R,22R-dihydroxycholesterol; red: pregnenolone. (A,B) reflect different time scales.
Figure 8.
Radio-HPLC of the products of the reaction in Figure 7 (0.5 s). Note the presence of 22R-hydroxycholesterol (22R-OH) and two peaks in the region of 20R,22R-dihydroxycholesterol (R,R-(OH)2), one of which migrated at the position of standard 20R,22R-dihydroxycholesterol [67]. Chol: cholesterol; 22R-OH, 22R-hydroxycholesterol; R,R-(OH)2: 20R,22R-dihydroxycholesterol.
Figure 9.
An explanation for the rotamers (conformers) in the experiment in Figure 8 [67].
Kinetic modeling [70,71] yielded a scheme with the rate constants shown in Figure 10 [67]. No kinetic isotope effect was observed when the C-20 and C-22 hydrogens of cholesterol were substituted with deuterium [67], indicating that C–H bond breaking is not the rate-limiting step [72,73]. The reaction is characterized by a slow 22R-hydroxylation followed by two fast steps and the slow release of the intermediate sterols.
Figure 10.
A scheme for the three-step oxidation of cholesterol by P450 11A1 with rate constants for steps derived from measurement of off-rates and global fitting to a single-turnover study (Figure 7) [67].
3. P450 11B2
P450 11B2 catalyzes the three-step oxidation of 11-deoxycorticosterone to aldosterone (Figure 11) [74]. This process is important in the production of mineralocorticoids [75,76,77]. However, the enzyme is also a drug target in the case of several diseases, especially in the case of blocking aldosterone production [40,41,42]. The three-step process includes two hydroxylations (C-11 and C-18), followed by an oxidation of the C-18 alcohol to an aldehyde. A complication is that intermediates and the final product can exist in hemiacetal (lactol), acetal, and hemiketal forms (Figure 12) [78,79,80].
Figure 11.
Conversion of 11-deoxycorticosterone into aldosterone by P450 11B2.
Figure 12.
Conversion of 11-deoxycorticosterone into aldosterone by P450 11B2, with roles for acetal and ketal forms [78].The red 18 indicates the carbon number.
Single turnover experiments yielded an interesting pattern in that 18-hydroxycorticosterone was only converted to aldosterone, largely because of its propensity to cyclize to a form that cannot be readily oxidized (as demonstrated by NMR) [78]. Corticosterone appears to be a better substrate than 18-hydroxycorticosterone in that it can be oxidized to avoid ring closure. A model encompassing all the kinetic results is presented in Figure 13 [78].
Figure 13.
Kinetic model for the conversion of 11-deoxycorticosterone to aldosterone, with measured and fitted rate constants [78]. kon and koff rates for 18-hydroxycorticosterone (18-OH Cor) and aldosterone (Aldo) could not be measured due to the lack of spectral changes. See also Yalentin-Goyco et al. [81].
4. P450 17A1
P450 17A1 is a critical enzyme in the production of androgens. It has a number of very interesting features, some of which are still not well understood. The enzyme catalyzes two reactions: the 17α-hydroxylation of both progesterone and pregnenolone and the subsequent “lyase” reaction to generate the androgens androstenedione and dehydroepiandrosterone (DHEA), respectively (Figure 14). Prostate cancer is stimulated by androgens, and P450 17A1 is a drug target (e.g., abiraterone acetate (Zytiga®)) [36]. An inherent problem with the drugs is that most leads inhibit both the 17-hydroxylation and lyase steps. The first product, 17α-hydroxyprogesterone, is needed for the production of glucocorticoids (Figure 14). Therefore, patients with metastatic castration-resistant prostate cancer are treated with abiraterone acetate (the prodrug form of abiraterone) and prednisone, a glucocorticoid [82]. The “Holy Grail” in this case would be a drug that inhibits only the lyase step but not 17α-hydroxylation [39].
Figure 14.
The major reactions catalyzed by P450 17A1.
The overall reaction is partially processive (Figure 15) [83]. That is, only a fraction (~¼) of the DHEA or androstenedione is derived directly from pregnenolone or progesterone. Therefore, achieving selective inhibition of the second step is difficult in that not all of the intermediate (17α-hydroxysteroid) is dissociated.
Figure 15.
Conversion of pregnenolone into DHEA, with rate constants derived from direct measurements and the fitting of a single turnover reaction [83].
The mechanism of the 17α-hydroxylation reactions of P450 17A1 is generally accepted to be a straightforward Compound I hydroxylation (Figure 14). The question of whether the lyase reaction proceeds via a Compound I or a Compound 0 mechanism (Figure 2) has been controversial. 18O2 labeling experiments have been published, but the results (incorporation of 18O into acetate) are not unambiguous [84,85]. The lyase reaction can be supported by the use of the oxygen surrogate iodosylbenzene, which can only be interpreted in the context of a Compound I mechanism [85]. A proposed Compound I mechanism (Figure 16) is also consistent with the ability of progesterone 17α-hydroperoxides to generate the final products (androstenedione and DHEA) (Figure 17) [86]. Analysis of the crystal structures of P450 17A1 with its four different substrates can be achieved (P450 17A1 with 17α-hydroxyprogesterone, progesterone, 17α-hydroxypregnenolone, and pregnenolone) [87]. The distances between the C17-oxygen atom and the iron active site in the cases of 17α-hydroxyprogesterone and 17α-hydroxypregnenolone were measured to be 4.5 and 3.9 Å, respectively. Coupling the facts that 17α-hydroxypregnenolone is a better lyase substrate compared to 17α-hydroxyprogesterone for P450 17A1 (kcat values for 17α-hydroxypregnenolone to DHEA and 17α-hydroxyprogesterone to AD were 0.35 min−1 and 0.019 min−1, respectively) [83], and the distance of the oxygen atom being closer to the iron in the active site for 17α-hydroxypregnenolone supports the mechanistic possibility of the C17-hydroxy of the lyase substrate attacking Compound I (Figure 17).
Figure 16.
Alternate mechanisms for the P450 17A1 lyase reaction based on (A) Compound 0 and (B,C) Compound I [50].
Figure 17.
Reactions of 17α-OOH progesterone and 17α-OOH pregnenolone with ferric P450 17A1 to yield androstenedione and DHEA and relevance to normal mechanisms [86].
However, it is possible that the normal reaction does not necessarily occur this way. Swinney and Mak proposed a Baeyer–Villiger (Compound 0) mechanism based on the presence of 17-acetoxytestosterone as a minor product in a progesterone reaction with hog liver microsomes [88]. However, we were unable to find this product (or testosterone) in a purified human P450 17A1 reaction [85]. Mak et al. added O2 to ferrous P450 17A1 and then an extra electron (from 60Co radiation) at low temperature (and in a high glycerol concentration)—resonance Raman spectra were reported, and the spectra changed upon heating [89]. This complex was concluded to be Compound 0, but no product was reported (i.e., catalytic competence was not demonstrated).
Other approaches have also been used to study the mechanism of the C-C bond lyase reaction (Figure 16). Khatri et al. [90] noted that the lyase reactions of the enzyme were attenuated much more than the 17α-hydroxylation reactions by introducing a T306A mutation, which they interpreted as evidence that Thr-306 is involved in a proton transfer step in the (Compound I) 17α-hydroxylation but is not so necessary in the lyase because it may involve a Compound 0 intermediate. Another approach is the artificial generation of putative intermediates and characterizing them by spectroscopy. This has been done with P450 17A1, and the spectra have been interpreted in the context of Compound 0 [89,91], although a caveat is that the formation of the product was not addressed (i.e., catalytic competence).
Both Swinney and Mak [92] and Gregory et al. [93] have used arguments about solvent kinetic isotope effects (KIE) (kH2O/kD2O) to argue for a Compound 0 reaction, although the conclusions are in opposite directions (i.e., both a positive and an inverse solvent KIE have been proposed to support a Compound 0 mechanism [92,93,94]). Both arguments can be considered moot in light of the general criticisms raised earlier by others about solvent KIEs, including Jencks [95,96]. Placing a protein in D2O changes hundreds of protons (protium) with deuterium, and the effects of global deuteration on structure and hydrogen bonding are not really interpretable [72,95,96,97,98] (in 1959, it was already established that the Tm of RNase was changed by 4 °C in D2O [99]). In conclusion, none of the approaches used to date can be used to make a definite conclusion about the normal reaction mechanism, in light of the ambiguity of the 18O2 approach with α-ketol (α-hydroxyketone) substrates.
The 17-hydroxylation reactions are only slightly stimulated by cytochrome b5 (b5), but the lyase reaction is almost completely dependent on this accessory protein [100,101,102,103,104,105] (Figure 18). The mechanism for the b5 stimulation is generally considered to be an allosteric one, which is the case with many of the other mammalian P450s that show b5 stimulation [106,107]. Although b5 has been shown to be capable of transferring an electron to the Fe3+O2 P450 17A1 complex [108], numerous other studies have shown that the heme moiety of b5 is not necessary for stimulation [109,110], even in mammalian cells [111].
Figure 18.
Effects of b5 on the 17α-hydroxylation and 17α,20-lyase steps of P450 17A1 and site-directed mutants devoid of lyase activity [102].
b5 binds tightly to P450 17A1, as shown in titrations with AlexaFluor 488-labeled b5 (Figure 19) [102,112]. The affinity is in the range of Kd from 120 to 380 nM, as judged by the fluorescence polarization assay using modified b5 variants [112]. A model has been developed for the docking of b5 and P450 17A1, consistent with reported chemical cross-linking results [113] (Figure 20) [112]. Although it has been proposed that b5 and NADPH-P450 reductase (POR) both bind to the same site on P450 17A1, based on NMR measurements [114,115], this scenario would require switching of redox partners in every reaction cycle, at a stage in which unstable high-valent intermediates (e.g., Fe3+O2¯) exist. When a complex of P450 17A1 and Alexa 488·b5 was titrated with POR, the fluorescence was only partially restored (Figure 21) [102,112], providing evidence for a ternary P450 17A1–POR–b5 complex. The existence of such a complex could also be demonstrated using gel filtration (Figure 22) [102]. The results can be explained in a model with a ternary complex in which the addition of POR only perturbs the position of the b5 (Figure 23).
Figure 19.
Binding of b5 to P450 17A1 as demonstrated by titration of AlexaFluor 488-labeled b5 with P450 17A1 [102,112]. The individual traces correspond to increasing P450 17A1, and the concentrations are indicated in the inset.
Figure 20.
(A) Model of interaction of human P450 17A1 (blue) and b5 (yellow) (developed with AlphaFold-Multimer and Rosetta programs) [112]. (B) The same complex as in A but with the entire P450 section and showing potential sites of interaction on the b5.
Figure 21.
Titration of a P450 17A1–AlexaFluor 488 complex with POR [102]. (A) Titration, with expansion in the inset. The arrows show the direction of the changes after adding increasing conentrations of POR. (B) Plot of the F513 data from (A).
Figure 22.
Demonstration of a ternary P450 17A1–POR–b5 complex (red trace) by gel filtration [102].
Although cross-linking data are available and support a model for the interaction of P450 17A1 and b5 (Figure 20), a more complete understanding of the effect of b5 on P450 17A1 and the basis of the lyase activity will probably require an X-ray crystal structure of a binary complex.
5. P450 19A1
P450 19A1 is the steroid aromatase, which converts androgens to estrogens [116,117,118,119,120,121,122,123]. There is a single gene, but differential splicing leads to the production of the enzyme from individual mRNA species in different tissues, e.g., adipose tissue, brain, ovary, and placenta [124,125,126,127]. The regulation of the gene is complex [128,129,130,131,132,133,134,135,136,137,138,139]. Deficiencies are serious in that androgen synthesis is attenuated [29,140,141,142,143,144,145,146,147]. However, a number of female endocrine cancers are stimulated by estrogens, and the inhibition of the enzyme is now an established approach to therapeutic interventions against these cancers [42,148,149,150,151,152,153,154,155,156,157,158,159,160,161,162,163,164]. Although most attention has been given to this enzyme as a “female” P450, it is present in males and important in brain development [120,165] and is even present in the penis [166,167].
The major three-step reactions are the two shown in Figure 24, with the substrates androstenedione and testosterone. Other reactions include the 2-hydroxylation of estradiol [168], the oxidation of 4,5-dihydrotestosterone to three 3-keto unsaturated steroids (Figure 25), and the oxidation of 19-oxo steroids to carboxylic acids [169,170].
Figure 24.
Three-step oxidation of androstenedione to estrone by P450 19A1. A similar reaction is involved in the oxidation of testosterone to 17β-estradiol.
Figure 25.
Some other reactions catalyzed by P450 19A1 [168,169].
In contrast to the situation with P450s 11A1 (Figure 10) and P450 51A1 (vide infra), the three-step sequence with P450 19A1 is a kinetically distributive one (Figure 26 and Figure 27) [171], with the intermediate products readily dissociating from the enzyme and rebinding.
Figure 26.
Single turnover results for the conversion of androstenedione to estrone by human P450 19A1 [171]. Andro, androstenedione; 19-OH andro, 19-hydroxyandrostenedione; 19=O andro, 19-oxo androstenedione.
Figure 27.
A kinetic scheme for the three-step oxidation of androstenedione to estrone based on direct assays and the fitting of a single-turnover reaction [171].
The mechanism of the third step, in which the 10-formyl (19-oxo) group is released as formic acid, has been the object of many studies since the 1970s. A number of approaches have been applied, including biomimetic models [172,173,174,175], computational modeling [176,177,178,179,180], spectroscopy of proposed intermediates [181,182], isotopic labeling and analysis of products [183,184,185], solvent kinetic isotope effects [186], and site-directed mutagenesis [187,188]. Both Compound 0 and Compound I mechanisms have been proposed (Figure 28).
Figure 28.
Alternate mechanisms proposed for the third oxidation step of P450 19A1 [183]. (A) Compound 0; (B) Compound I. Only steroid A and B rings are shown.
An X-ray structure of human P450 19A1 with bound androstenedione (Figure 29) indicates that both the C1 and C19 carbon atoms are in close proximity to the iron atom of the heme. Thus, this structural information does not distinguish between the potential catalytic mechanisms (Figure 28).
Figure 29.
Interior of the structure of human P450 19A1 with bound androstenedione (X-ray crystal structure from Protein Data Bank 3EQM). The dashed lines indicate the distance from the heme iron atom to (i) the C19 atom (of the substrate) (4.0 Å), (ii) the C1 carbon (4.9 Å), and (iii) the Thr-310 oxygen atom (5.4 Å). (The + symbols are reference markers.)
Bond energy calculations are also of potential interest (Figure 30). The free energy for breaking the C10-C19 bond is similar in all tautomers. When the aldehyde group is hydrated, the bond energy rises. However, if the androgen is in the enol form, the C1-H bond energy is decreased considerably (Figure 30C,D). Even with the crystal structure of the P450 19A1–androgen complexes, though, we do not know which tautomer is favored.
Figure 30.
Calculations of C-C and C-H bond dissociation energies for potential forms of 19-oxoandrostenedione bound to P450 19A1. Bond energies were calculated using ALFABET (National Renewable Energy Laboratory, bde.ml.nrel.gov) (accessed on 17 August 2024) [189,190]. The tautomers are shown for the aldehyde (A,C) and the gem-diol (B,D). A and B are the keto forms, and C and D are the enol forms. See Figure 28.
One approach to distinguishing the roles of Compounds I and 0 in P450 reactions is with a single-oxygen donor oxygen surrogate (e.g., iodosylbenzene) that can support the reaction [191,192,193]. These experiments must be interpreted carefully, in that iodosylbenzene destroys P450 quickly. Neither iodosylbenzene, periodate, nor cumene hydroperoxide was able to catalyze the overall P450 19A1 reaction [194,195], although some conversion of 19-oxo androstenedione to estrone was reported with m-chloroperbenzoic acid [188].
The Sligar laboratory has interpreted their results with P450 19A1 in favor of a Compound I role in the activity of P450 19A1 [181,186], although neither the solvent KIE nor the Raman spectroscopy studies can be considered unambiguous in the elucidation of catalytic mechanisms (vide supra). Zhang et al. [188] prepared what was considered to be P450 19A1 Compound I using m-chloroperoxybenzoic acid (as in the case of the work of Rittle and Green with P450 119 [196]) and demonstrated the aromatization of 19-oxo androstenedione (to estrone) with it, establishing some catalytic competence, at least under these conditions.
One of the most definitive approaches is isotopic labeling, in that the origin of the oxygen in the formic acid provides information about the mechanism within the context of the normal enzyme reaction (Figure 28). The experiments are technically difficult in that (i) the need for anaerobicity prior to the introduction of an 18O2 atmosphere is critical and (ii) the contribution of endogenous (16O) formic acid is very problematic—the only realistic means of overcoming this is with the use of a substrate with deuterium substitution on the aldehyde group to shift the mass of the derivatized formic acid. Further, any non-enzymatic degradation of the substrate and release of DCO2H will give nebulous results. The approach was developed by Akhtar and associates [183,184,197,198,199,200] and modified in our own group [85,201,202].
In light of the significance of previous 18O incorporation results [183,184,203] and their dominance in the dogma regarding the mechanism [45,64,197,198], we repeated the 18O study using purified recombinant human P450 19A1 and introduced two other major technical improvements—the use of (i) a new diazo-based derivatizing reagent that allowed for high-sensitivity analysis of a formic acid ester and (ii) high-resolution mass spectrometry (HRMS). However, this derivative is still problematic in mass spectrometry due to the presence of natural abundance 13C and confusion between DCO2R and H13CO2R products, which have the same unit m/z values. HRMS (at a resolution > 60,000) can readily discern these species, however [170]. The appropriate controls ruled out exchange of oxygen between formic acid and water, and the reported total incorporation of 18O into the side product androstenedione 10-carboxylic acid rules out the possibility of no 18O2 being present in the gas atmosphere in any particular experiment [170].
In the course of our studies with the model secosteroid 3-oxodecalin-4-ene-carboxyaldehyde (ODEC) [204], we noted the acid instability of ODEC. We improved our analysis of formic acid by (i) lowering the acid concentration used during extraction (only needing to protonate the formic acid), (ii) changing the extraction solvent from CH2Cl2 to tert-butyl methyl ether, (iii) omitting the MgSO4 drying step for the extracted formic acid solution, and (iv) adding 10% CH3OH (v/v) to the diazotization reaction [202]. Collectively, these modifications led to a three-order-of-magnitude increase in sensitivity. In addition, we included a P450 17A1-progesterone reaction yielding 18O-labeled 17α-OH progesterone as an internal standard to correct for any leakage into the 18O2 atmosphere. An important control was the addition of minus-NADPH control incubations, which had not been included earlier [170,183,184,185] and provides a check on the extent of non-enzymatically generated deuterated formic acid, which would be interpreted as a lack of 18O2 labeling of formic acid.
The results now show nearly complete incorporation of one atom of 18O from 18O2 (91%) [195]. The results were confirmed with the incorporation of only one, not two, 18O oxygen atoms into formic acid when 18O-labeled 19-oxo androstenedione was incubated in H218O under air, consistent with the 18O2 labeling pattern (Figure 31). Accordingly, we conclude that the 18O labeling patterns provide evidence for a very dominant Compound 0 (FeO2¯) mechanism, in contrast to our earlier conclusions [170] (Figure 31 and Figure 32).
Figure 31.
Results of the 18O2 labeling study and formic acid analysis to distinguish between Compound 0 and Compound I mechanisms for human P450 19A1. The Compound 0 mechanism should yield one 18O atom in formic acid, and the Compound I will not yield any 18O in formic acid (Figure 26) [170,195]. (A) 16O channel data; (B) 18O channel data.
Figure 32.
Conclusions about the third step of P450 19A1 based on 18O labeling (Figure 26 and Figure 27) [195]. Alternatively, the formation of the 19-oic acid could be initiated via hydrogen atom abstraction from the aldehyde by the Compound I intermediate, followed by oxygen rebound, which would be more consistent with the complete 18O incorporation results [170]. The red color is used to track the course of the oxygen atoms in the reaction in the schemes.
We are further characterizing the chemistry of the general instability of allyl formyl derivatives of ∆4-seco steroids (e.g., 19-oxo androstenedione and ODEC). As alluded to by Houghton et al. [205], we found that androstenedione 10-carboxylic acid readily undergoes degradation, presumably with the loss of CO2 [195], to yield 19-norandrostenedione. 19-Norandrogens are physiological products, apparently without known function [205,206,207].
6. P450 51A1
This is the only P450 involved in the synthesis of cholesterol. It cleaves the 14α-methyl group in a three-step reaction (Figure 33). Orthologues of the enzyme in yeast, fungi, and other parasites [208] are involved in the synthesis of critical membrane sterols (e.g., ergosterol, necessary for membranes) and are important drug targets [209,210,211,212,213,214,215,216,217].
Figure 33.
Overall conversion of (24,25-dihydro)lanosterol to 24,25-dihydro-4.4-dimethyl-5α-cholesta-8,14,24-trien-3β-ol (24,25-dihydro FF-MAS) by mammalian P450 51A1 and other P450 51 enzymes.
The overall sequence is highly processive, but not as much as in the case of P450 11A1. The processivity is apparent in a single-turnover study (Figure 34) [218]. Fitting of the kinetics yields a scheme with individual rate constants (Figure 35). In the initial step, C-H bond breaking is not rate-limiting, in that no deuterium KIE was observed with cholesterol in which the oxidized carbon atoms were substituted with deuterium [218].
Figure 34.
Time course of conversion of 4.5 µM [3-3H]-24,25-dihydrolanosterol by 5 µM human P450 51A1, fit to a kinetic model [218]. The colors of the lines correspond to the fits for the substrate and different products (see legend at right of graph).
Figure 35.
Scheme for three-step oxidation of dihydrolanosterol to dihydro FF-MAS with rate constants included from direct measurements or fitting from the time course data of Figure 30 [218].
As in the cases of several other P450s, conflicting conclusions have been advanced about the roles of Compound I and Compound 0 in the final deformylation step [219,220,221,222,223]. The major possibilities are shown in Figure 36, with the oxygen in O2 labeled. Shyadehi et al. [224] reported an 18O2 experiment with Candida albicans P450 51 in which 65% 18O was recovered in the formic acid, but the recovery of deuterated formic acid was low and the unnatural ∆7 isomer of 24,25-dihydrolanosterol had been used (not the natural ∆8).
Figure 36.
Three proposed mechanisms for P450 51 family enzymes. (A) Compound 0. (B) Compound 0 with a Baeyer–Villiger rearrangement. (C) Compound I. Tracking of the individual oxygen atoms into products, especially formic acid, is indicated with asterisks.
We synthesized 14α-formyl-deuterated (24,25-dihydro) lanosterol (also called lanostenol) and recovered formic acid with 0.86 atoms of 18O after normalization (Figure 37), indicating that a Compound 0 mechanism was dominant [202]. The 86% result could be interpreted as only being a Compound 0 reaction, but other work in this laboratory with P450 2B4 and some aldehyde deformylation reactions yielded > 95% 18O incorporation under the same conditions [201], and the statistical variance was small. Experiments with the P450 51 enzymes from the yeast Candida albicans and a pathogenic amoeba, Naegleria fowleri, also yielded high incorporation of 18O, indicative of Compound 0, but two trypanosomal P450 51 enzymes (Trypanosoma cruzi and T. brucei) yielded ~50% (Figure 38). These experiments suggested a partial role for a Compound I mechanism. This conclusion was verified in assays with H218O, in which the oxygen in the formyl group had been exchanged with 18O. In this experiment, the formic acid contains one 18O in the Compound 0 mechanism but two 18O atoms in the Compound I mechanism (Figure 36) [202].
Figure 37.
HPLC-HRMS analysis of the ester derived from d1-formic acid generated from 14-CDO dihydrolanosterol by human P450 51A1 [202]. (A) Ion trace channel for m/z 169.0968. (B) Ion trace channel for m/z 167.0925.
Figure 38.
Extent of 18O2 incorporation into formic acid by several P450 family 51 enzymes [202]. The stippled lines are set at the 50 and 80% levels. The black dots are the results of individual experiments, plus the mean ± standard deviation calculated for each set.
An X-ray crystal structure of P450 51A1 with the 14α-formyl lanosterol derivative (Figure 39) showed the aldehyde form of dihydrolanosterol, with the oxygen of the formyl group pointed towards the iron atom, only 3.5 Å away.
Figure 39.
Substrate-bound human P450 51A1. Binding mode of the 14α-aldehyde reaction intermediate inside the enzyme active site (PDB 8SS0, 2.25 Å.) [202]. The 2Fo-Fc electron density map within 1.6 Å of the sterol atoms is shown as a gray mesh and contoured at 1.5σ. The H-bond between the C3-OH of the sterol molecule and the main chain oxygen of Ile-379 is depicted as yellow dashes. The distance between the aldehyde oxygen and the heme iron is 3.5 Å (pink dashes).
One variation of the Compound 0 mechanism is a Baeyer–Villiger rearrangement (Figure 34), which is common in flavin 4a-hydroperoxide-based reactions [225,226,227,228,229,230]. Evidence for such an intermediate had been reported in experiments with rat liver microsomes and radiolabeled lanosterol by Fischer et al. [219]. We were able to identify what appears to be this Baeyer–Villiger intermediate in the oxidation of dihydrolanosterol by purified human P450 51A1 using both reversed-phase LC-HRMS (Figure 40) and normal phase LC-MS, employing similar chromatographic systems as Fischer et al. [202,219].
Figure 40.
HPLC-HRMS evidence for a Baeyer–Villiger (BV) intermediate in the 14α-deformylation reaction catalyzed by human P450 51A1 [202]. (A) traces of products with a loss of 18 a.m.u. (H2O) and DCO2H for the BV complex; (B) traces of BV intermediate (minus DCO2H) and FFMAS; (C,D) traces of substrate with and without a loss of H2O; (E,F) spectra of BV intermediate (note different m/z scales). See also Fischer et al. [219].
We conclude that P450 51 enzymes use multiple mechanisms to catalyze the deformylation in the last oxidation step (Figure 36). A Compound 0 mechanism is used ~ 85% of the time (for the human enzyme and those of C. albicans and N. fowleri), and a Compound I mechanism is used ~15% of the time. A Baeyer–Villiger rearrangement also occurs, but the extent to which this reaction occurs—as opposed to a “direct” Compound 0 mechanism—is presently unknown (Figure 36B). Fischer et al. [219] isolated the Baeyer–Villiger ester but found it very sensitive to acid-catalyzed decomposition, and we would probably not have detected this in our kinetic analyses (Figure 34 and Figure 35).
One possibility is that the Compound I mechanism is more favorable in enzymes that have slow rates of 14-deformylation (of dihydrolanosterol) because the Compound 0 intermediate is not intercepted so quickly by the formyl substrate. Perhaps similar isotopic studies with the natural sterol substrates (not lanosterol or dihydrolanosterol) for the trypanosomal P450s (i.e., obtusifoliol [222,231,232]) would yield different results. Alternatively, the explanation for the differences could be the rate of protonation of Complex 0 in the different P450s.
7. Summary and Conclusions
Five major multi-step steroid oxidations have been studied in this laboratory, those involving human P450s 11A1, 11B2, 17A1, 19A1, and 51A1. Our focus has been on two issues: (i) the processivity of the reaction steps and (ii) the roles of different iron-oxygen complexes in catalysis. Although one might expect to find a commonality among the P450s we have examined, what we have seen is diversity. Perhaps that should not be a surprise, in that P450s catalyze such diverse reactions in nature [43,233,234,235].
With regard to kinetics, P450s 11A1 and 51A1 are highly processive [67,218]. P450 17A1 is partially processive [83], which makes some biological sense in that the intermediates are used for other physiological functions, i.e., the synthesis of glucocorticoids (Figure 14). However, P450 19A1 has distributive kinetics [171], but it is not clear that the intermediate products have uses (although androstenedione 19-carboxylic acid is a known biological entity without an assigned function [236]). The situation with P450 11B2 is complex in that the involved chemistry locks an intermediate and makes it difficult to oxidize, both in vitro [78] and in vivo [79,237,238]. If there is a biological reason for this, it might be to regulate aldosterone production.
The involvement of different high-valent iron–oxygen species in catalysis is still not without controversy [50,51], but some of the reactions now have explanations. The P450 11B2 oxidations are chemically straightforward and probably all involve Compound I. All three of the P450 11A1 reactions are attributed to Compound I [61,62], although the last step is complex [63]. P450 17A1 is complicated. Although there is general agreement that the first step, the 17α-hydroxylation, involves a classical Compound I reaction, the second step has been proposed to involve either a Compound 0 or Compound I reaction [51,85,86,88,92,181]. Unfortunately, the mechanism of cleavage of α-ketols cannot be unambiguously resolved with the 18O2 labeling method [85,86,200]. The incorporation of 18O into the formic acid approach has been used with both P450 19A1 and 51A1. In both cases, deformylation occurs (to generate formic acid). With P450 19A1 the third step now appears to involve mainly Compound 0 (measured > 90% Compound 0, <1% Compound I) [195], but with P450 51A1, there is a mixed mechanism with the contributions of both Compound 0 and Compound I mechanisms (measured 88% Compound 0, 14% Compound I), plus a Baeyer–Villiger rearrangement, depending on the enzyme [202]. The chemistry of these different courses is undoubtedly dictated by elements of the different proteins, although it is not yet clear exactly what these are.
Although the 18O labeling approach is not unambiguous regarding the chemical mechanism of catalysis involving α-ketols, there are still other reactions where this approach could be applied. One is with some of the reactions of bacterial P450 125A1 (Figure 41) [239,240]. In that work, the authors considered products derived from the deformylation of 26-oxocholesterol (aldehyde at one of the two methyl carbons on the sterol tail). Although formic acid is assumed to be a product, it was not documented. A reservation about the conclusions is that the 18O-labeling experiments were done with (d7) chloest-4-ene-3-one as the substrate and not the aldehyde intermediate. Thus, the initial C26 hydroxylation will have 18O incorporated, which will be present in the 26-aldehyde. That oxygen may or may not exchange with the H216O solvent prior to further oxidation, depending on the kinetic processivity of the reaction. The authors were not actually sure (footnote a of the Table 1 of that publication). Only some of the products are analyzed for 18O (Table 1 and Scheme 2 of that publication) and not formic acid.
Figure 41.
Oxidative deformylation of an intermediate in cholesterol metabolism by P450 125A1 [239]. The red oxygen atoms indicate the course of tracking through the proposed mechanisms.
Accordingly, no 18O analysis of formic acid was conducted. Formic acid, if released in the enzyme reaction, would not be expected to be sequestered near the putative carbocation (that would be formed by its release) and then react to form the Baeyer–Villiger product. The mechanism is proposed to involve the capture of the carbocation by water (or hydroxide) to generate the product M4. The trapping of formate seems unlikely. The authors do raise the possibility that a (stable) Baeyer–Villiger product (M2) is formed. The evidence for this structure is limited to a parent ion in the mass spectrum (full scan not shown) and possibly confounded by peak overlap with the aldehyde and the deuteration. Nevertheless, this may be a Baeyer–Villiger product. Its stability was not examined. In addition to the pathway shown in Figure 41, M2 could hydrolyze to give the alcohol M4 or be eliminated to form the olefin M1.
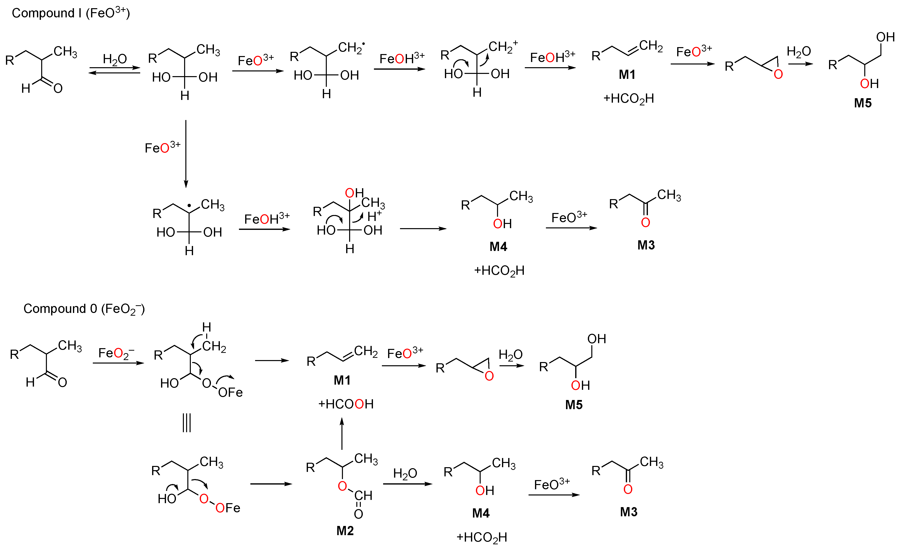
The current view of the mechanisms of P450 19A1 and 51A enzymes is that shown in Figure 42, with the usual P450 catalytic cycle (Figure 2) split into two sections. Thus, none of the oxidations we have studied involve Compound 0 exclusively. The Compound 0 cycle consists of Steps 1–6. At the stage of Compound 0 (Fe3+O2– RH), competition exists between protonation (Step 1′) and the nucleophilic attack of an aldehyde (Step 5). The attack on the aldehyde predominates in the cases of P450 19A1 and 51A1 (at least with their preferred substrates), but apparently some of the complex is protonated (Step 1′) and goes on to Compound I (FeO3+). Compound I can carry out these same reactions. Thus, in an experiment where Compound I is generated artificially (e.g., Zhang et al. [188]), some product is formed.
Figure 42.
Rationalization of chemical mechanisms of catalysis of aldehyde intermediates in steroid metabolism [195,202].
With human P450 51A1, we worked with a site-directed mutant (D213A) that was designed to attenuate protonation [222] (Step 1′) and found some decrease in the 18O labeling of formic acid from H218O (i.e., 14-formyl 18O dihydrolanosterol) [202], but there is difficulty in designing site-directed mutants that will be more likely to generate Compound 0 from protonation than in the wild-type enzyme. It appears that these aldehydes are uniquely poised to react with the nucleophilic oxygen anion (of Compound 0), as suggested by the geometry in the X-ray structure of human P450 51A1 (Figure 37) [202]. One explanation is that these deformylating enzymes are biologically very important and also optimized for attack of the aldehyde (see Figure 27 and Figure 33), but we have conducted similar 18O labeling studies with rabbit P450 2B4 and ODEC [195] plus some very simple aldehydes [201] and also find high contents of 18O incorporated (from 18O2) into formic acid, arguing against tight coupling. Apparently, the Compound 0 forms of these enzymes (P450s 2B4, 19A1, and 51A1) all react rapidly with formyl carbonyls. What we do not know is whether (i) this reactivity extends to other electrophilic groups (e.g., imines, nitriles) or (ii) what can happen with some ketones. Many aldehydes are also oxidized to carboxylic acids (including 19-oxo androstenedione and 19-oxo testosterone [170] and ODEC [195]), presumably involving a Compound I mechanism (i.e., abstraction of a hydrogen atom to form a gem-diol or the aldehyde itself).
Author Contributions
F.P.G., Y.T., K.D.M. and F.K.Y. wrote and reviewed the manuscript. All authors have read and agreed to the published version of the manuscript.
Funding
This study was supported in part by the United States Public Health Service (USPHS) grant R01 GM118122 (to F.P.G.). This material is also based upon thesis research work supported by the National Science Foundation Graduate Research Fellowship Program under Grant No. 1937963 (K.D.M.). Any opinions, findings, and conclusions or recommendations expressed in this material are those of the author(s) and do not necessarily reflect the views of the National Institutes of Health or the National Science Foundation.
Institutional Review Board Statement
Not applicable.
Informed Consent Statement
Not applicable.
Data Availability Statement
All data are included in the manuscript or in the cited references.
Acknowledgments
We thank K. Trisler for assistance in the preparation of the manuscript.
Conflicts of Interest
None of the authors have any conflicts of interest to declare.
References
- McLean, K.J.; Leys, D.; Munro, A.W. Microbial cytochromes P450. In Cytochrome P450. Structure, Mechanism, and Biochemistry, 4th ed.; Ortiz de Montellano, P.R., Ed.; Springer: New York, NY, USA, 2015; pp. 261–407. [Google Scholar]
- McLean, K.J.; Dunford, A.J.; Neeli, R.; Driscoll, M.D.; Munro, A.W. Structure, function and drug targeting in Mycobacterium tuberculosis cytochrome P450 systems. Arch. Biochem. Biophys. 2007, 464, 228–240. [Google Scholar] [CrossRef]
- Driscoll, M.D.; McLean, K.J.; Levy, C.; Mast, N.; Pikuleva, I.A.; Lafite, P.; Rigby, S.E.; Leys, D.; Munro, A.W. Structural and biochemical characterization of Mycobacterium tuberculosis CYP142: Evidence for multiple cholesterol 27-hydroxylase activities in a human pathogen. J. Biol. Chem. 2010, 285, 38270–38282. [Google Scholar] [CrossRef]
- Lamb, D.C.; Skaug, T.; Song, H.-L.; Jackson, C.J.; Podust, L.M.; Waterman, M.R.; Kell, D.B.; Kelly, D.E.; Kelly, S.L. The cytochrome P450 complement (CYPome) of Streptomyces coelicolor A3(2). J. Biol. Chem. 2002, 277, 24000–24005. [Google Scholar] [CrossRef]
- Lamb, D.C.; Ikeda, H.; Nelson, D.R.; Ishikawa, J.; Skaug, T.; Jackson, C.; Omura, S.; Waterman, M.R.; Kelly, S.L. Cytochrome P450 complement (CYPome) of the avermectin-producer Streptomyces avermitilis and comparison to that of Streptomyces coelicolor A3(2). Biochem. Biophys. Res. Commun. 2003, 307, 610–619. [Google Scholar] [CrossRef]
- Auchus, R.J.; Miller, W.L. P450 enzymes in steroid processing. In Cytochrome P450: Structure, Mechanism, and Biochemistry, 4th ed.; Ortiz de Montellano, P.R., Ed.; Springer: New York, NY, USA, 2015; Volume 2, pp. 851–879. [Google Scholar]
- Li, Y.C.; Chiang, J.Y.L. The expression of a catalytically active cholesterol 7α-hydroxylase cytochrome P-450 in Escherichia coli. J. Biol. Chem. 1991, 266, 19186–19191. [Google Scholar] [CrossRef]
- Norlin, M.; Andersson, U.; Bjorkhem, I.; Wikvall, K. Oxysterol 7α-hydroxylase activity by cholesterol 7α-hydroxylase (CYP7A). J. Biol. Chem. 2000, 275, 34046–34053. [Google Scholar] [CrossRef]
- Norlin, M.; Toll, A.; Bjorkhem, I.; Wikvall, K. 24-Hydroxycholesterol is a substrate for hepatic cholesterol 7α-hydroxylase (CYP7A). J. Lipid Res. 2000, 41, 1629–1639. [Google Scholar] [CrossRef] [PubMed]
- Pikuleva, I.A. Cholesterol-metabolizing cytochromes P450. Drug Metab. Dispos. 2006, 34, 513–520. [Google Scholar] [CrossRef]
- Pikuleva, I.A. Cytochrome P450s and cholesterol homeostasis. Pharmacol. Ther. 2006, 112, 761–773. [Google Scholar] [CrossRef] [PubMed]
- Wang, H.P.; Kimura, T. Purification and characterization of adrenal cortex mitochondrial cytochrome P-450 specific for cholesterol side chain cleavage activity. J. Biol. Chem. 1976, 251, 6068–6074. [Google Scholar] [CrossRef] [PubMed]
- Bureik, M.; Lisurek, M.; Bernhardt, R. The human steroid hydroxylases CYP11B1 and CYP11B2. Biol. Chem. 2002, 383, 1537–1551. [Google Scholar] [CrossRef] [PubMed]
- Chung, B.; Picado-Leonard, J.; Haniu, M.; Bienkowski, M.; Hall, P.F.; Shively, J.E.; Miller, W.L. Cytochrome P450c17 (steroid 17α-hydroxylase/17,20 lyase): Cloning of human adrenal and testis cDNAs indicates the same gene is expressed in both tissues. Proc. Natl. Acad. Sci. USA 1987, 84, 407–411. [Google Scholar] [CrossRef]
- Praporski, S.; Ng, S.M.; Nguyen, A.D.; Corbin, C.J.; Mechler, A.; Zheng, J.; Conley, A.J.; Martin, L.L. Organization of cytochrome P450 enzymes involved in sex steroid synthesis: Protein-protein interactions in lipid membranes. J. Biol. Chem. 2009, 284, 33224–33232. [Google Scholar] [CrossRef]
- Wikvall, K. Cytochrome P450 enzymes in the bioactivation of vitamin D to its hormonal form. Int. J. Mol. Med. 2001, 7, 201–209. [Google Scholar] [CrossRef]
- Pikuleva, I.A.; Björkhelm, I.; Waterman, M.R. Expression, purification, and enzymatic properties of recombinant human cytochrome P450c27 (CYP27). Arch. Biochem. Biophys. 1997, 343, 123–130. [Google Scholar] [CrossRef]
- Li-Hawkins, J.; Lund, E.G.; Bronson, A.D.; Russell, D.W. Expression cloning of an oxysterol 7a-hydroxylase selective for 24-hydroxycholesterol. J. Biol. Chem. 2000, 275, 16543–16549. [Google Scholar] [CrossRef]
- Russell, D.W.; Halford, R.W.; Ramirez, D.M.; Shah, R.; Kotti, T. Cholesterol 24-hydroxylase: An enzyme of cholesterol turnover in the brain. Annu. Rev. Biochem. 2009, 78, 1017–1040. [Google Scholar] [CrossRef]
- Aoyama, Y.; Funae, Y.; Noshiro, M.; Horiuchi, T.; Yoshida, Y. Occurrence of a P450 showing high homology to yeast lanosterol 14-demethylase (P45014DM) in rat liver. Biochem. Biophys. Res. Commun. 1994, 201, 1320–1326. [Google Scholar] [CrossRef]
- Guengerich, F.P. Human cytochrome P450 enzymes. In Cytochrome P450: Structure, Mechanism, and Biochemistry, 4th ed.; Ortiz de Montellano, P.R., Ed.; Springer: New York, NY, USA, 2015; Volume 2, pp. 523–785. [Google Scholar]
- Waxman, D.J.; Lapenson, D.P.; Aoyama, T.; Gelboin, H.V.; Gonzalez, F.J.; Korzekwa, K. Steroid hormone hydroxylase specificities of eleven cDNA-expressed human cytochrome P450s. Arch. Biochem. Biophys. 1991, 290, 160–166. [Google Scholar] [CrossRef] [PubMed]
- Olesti, E.; Boccard, J.; Visconti, G.; Gonzalez-Ruiz, V.; Rudaz, S. From a single steroid to the steroidome: Trends and analytical challenges. J. Steroid Biochem. Mol. Biol. 2021, 206, 105797. [Google Scholar] [CrossRef] [PubMed]
- Rege, J.; Turcu, A.F.; Else, T.; Auchus, R.J.; Rainey, W.E. Steroid biomarkers in human adrenal disease. J. Steroid Biochem. Mol. Biol. 2019, 190, 273–280. [Google Scholar] [CrossRef]
- Zhu, B.T.; Lee, A.J. NADPH-dependent metabolism of 17β-estradiol and estrone to polar and nonpolar metabolites by human tissues and cytochrome P450 isoforms. Steroids 2005, 70, 225–244. [Google Scholar] [CrossRef]
- Lee, A.J.; Conney, A.H.; Zhu, B.T. Human cytochrome P450 3A7 has a distinct high catalytic activity for the 16α-hydroxylation of estrone but not 17β-estradiol. Cancer Res. 2003, 63, 6532–6536. [Google Scholar]
- Auchus, R.J. Steroid 17-hydroxylase and 17,20-lyase deficiencies, genetic and pharmacologic. J. Steroid Biochem. Mol. Biol. 2017, 165, 71–78. [Google Scholar] [CrossRef]
- Pullinger, C.R.; Eng, C.; Salen, G.; Shefer, S.; Batta, A.K.; Erickson, S.K.; Verhagen, A.; Rivera, C.R.; Mulvihill, S.J.; Malloy, M.J.; et al. Human cholesterol 7α-hydroxylase (CYP7A1) deficiency has a hypercholesterolemic phenotype. J. Clin. Investig. 2002, 110, 109–117. [Google Scholar] [CrossRef]
- Chen, Z.; Wang, O.; Nie, M.; Elison, K.; Zhou, D.; Li, M.; Jiang, Y.; Xia, W.; Meng, X.; Chen, S.; et al. Aromatase deficiency in a Chinese adult man caused by novel compound heterozygous CYP19A1 mutations: Effects of estrogen replacement therapy on the bone, lipid, liver and glucose metabolism. Mol. Cell Endrocinol 2015, 399, 32–42. [Google Scholar] [CrossRef] [PubMed]
- Parajes, S.; Chan, A.O.; But, W.M.; Rose, I.T.; Taylor, A.E.; Dhir, V.; Arlt, W.; Krone, N. Delayed diagnosis of adrenal insufficiency in a patient with severe penoscrotal hypospadias due to two novel P450 side-change cleavage enzyme (CYP11A1) mutations (p.R360W; p.R405X). Eur. J. Endcrinol 2012, 167, 881–885. [Google Scholar] [CrossRef]
- Simonetti, L.; Bruque, C.D.; Fernández, C.S.; Benavides-Mori, B.; Delea, M.; Kolomenski, J.E.; Espeche, L.D.; Buzzalino, N.D.; Nadra, A.D.; Dain, L. CYP21A2 mutation update: Comprehensive analysis of databases and published genetic variants. Hum. Mut. 2018, 39, 5–22. [Google Scholar] [CrossRef]
- Köroğlu, M.; Karakaplan, M.; Gündüz, E.; Kesriklioğlu, B.; Ergen, E.; Aslantürk, O.; Özdemir, Z.M. Cerebrotendinous Xanthomatosis patients with late diagnosed in single orthopedic clinic: Two novel variants in the CYP27A1 gene. Orphanet J Rare Dis. 2024, 19, 53. [Google Scholar] [CrossRef]
- Stiles, A.R.; McDonald, J.G.; Bauman, D.R.; Russell, D.W. CYP7B1: One cytochrome P450, two human genetic diseases, and multiple physiological functions. J. Biol. Chem. 2009, 284, 28485–28489. [Google Scholar] [CrossRef] [PubMed]
- Tang, Y.P.; Gong, J.Y.; Setchell, K.D.R.; Zhang, W.; Zhao, J.; Wang, J.S. Successful treatment of infantile oxysterol 7α-hydroxylase deficiency with oral chenodeoxycholic acid. BMC Gastroenterol. 2021, 21, 163. [Google Scholar] [CrossRef]
- Chumsri, S.; Howes, T.; Bao, T.; Sabnis, G.; Brodie, A. Aromatase, aromatase inhibitors, and breast cancer. J. Steroid Biochem. Mol. Biol. 2011, 125, 13–22. [Google Scholar] [CrossRef]
- Ryan, C.J.; Smith, M.R.; de Bono, J.S.; Molina, A.; Logothetis, C.J.; de Souza, P.; Fizazi, K.; Mainwaring, P.; Piulats, J.M.; Ng, S.; et al. Abiraterone in metastatic prostate cancer without previous chemotherapy. N. Engl. J. Med. 2013, 368, 138–148. [Google Scholar] [CrossRef]
- Wrobel, T.M.; Jorgensen, F.S.; Pandey, A.V.; Grudzinska, A.; Sharma, K.; Yakubu, J.; Bjorkling, F. Non-steroidal CYP17A1 inhibitors: Discovery and assessment. J. Med. Chem. 2023, 66, 6542–6566. [Google Scholar] [CrossRef]
- Scott, L.J. Abiraterone acetate: A review in metastatic castration-resistant prostrate cancer. Drugs 2017, 77, 1565–1576. [Google Scholar] [CrossRef]
- Bird, I.M.; Abbott, D.H. The hunt for a selective 17,20 lyase inhibitor; learning lessons from nature. J. Steroid Biochem. Mol. Biol. 2016, 163, 136–146. [Google Scholar] [CrossRef]
- Pignatti, E.; Kollar, J.; Hafele, E.; Schuster, D.; Steele, R.E.; Vogt, B.; Schumacher, C.; Groessl, M. Structural and clinical characterization of CYP11B2 inhibition by dexfadrostat phosphate. J. Steroid Biochem. Mol. Biol. 2023, 235, 106409. [Google Scholar] [CrossRef]
- Mendieta, M.; Hu, Q.Z.; Engel, M.; Hartmann, R.W. Highly potent and selective nonsteroidal dual inhibitors of CYP17/CYP11B2 for the treatment of prostate cancer to reduce risks of cardiovascular diseases. J. Med. Chem. 2013, 56, 6101–6107. [Google Scholar] [CrossRef]
- Hu, Q.Z.; Yin, L.N.; Hartmann, R.W. Selective dual inhibitors of CYP19 and CYP11B2: Targeting cardiovascular diseases hiding in the shadow of breast cancer. J. Med. Chem. 2012, 55, 7080–7089. [Google Scholar] [CrossRef]
- Isin, E.M. Unusual biotransformation reactions of drugs and drug candidates. Drug Metab. Dispos. 2023, 51, 413–426. [Google Scholar] [CrossRef]
- Varfaj, F.; Zulkifli, S.N.; Park, H.G.; Challinor, V.L.; De Voss, J.J.; Ortiz de Montellano, P.R. Carbon-carbon bond cleavage in activation of the prodrug nabumetone. Drug Metab. Dispos. 2014, 42, 828–838. [Google Scholar] [CrossRef]
- Ortiz de Montellano, P.R.; De Voss, J.J. Substrate oxidation by cytochrome P450 enzymes. In Cytochrome P450: Structure, Mechanism, and Biochemistry, 3rd ed.; Ortiz de Montellano, P.R., Ed.; Plenum Publishers: New York, NY, USA, 2005; pp. 183–245. [Google Scholar]
- Ortiz de Montellano, P.R.; De Voss, J.J. Oxidizing species in the mechanism of cytochrome P450. Nat. Prod. Rep. 2002, 19, 477–493. [Google Scholar] [CrossRef] [PubMed]
- Guengerich, F.P. Cytochrome P450 catalysis in natural product biosynthesis. In Comprehensive Natural Products, III: Chemistry and Biology; Bollinger, M., Booker, S., Bandarian, V., Liu, H.-W., Begley, T., Eds.; Comprehensive Natural Products, III; Elsevier: New York, NY, USA, 2020; Volume 5, Radicals and Metalloenzymology; pp. 96–113. [Google Scholar]
- Farrow, S.C.; Kamileen, M.O.; Meades, J.; Ameyaw, B.; Xiao, Y.; O’Connor, S.E. Cytochrome P450 and O-methyltransferase catalyze the final steps in the biosynthesis of the anti-addictive alkaloid ibogaine from Tabernanthe iboga. J. Biol. Chem. 2018, 293, 13821–13833. [Google Scholar] [CrossRef]
- Dang, T.T.T.; Franke, J.; Tatsis, E.; O’Connor, S.E. Dual catalytic activity of a cytochrome P450 controls bifurcation at a metabolic branch point of alkaloid biosynthesis in Rauwolfia serpentina. Angew. Chem. Int. Ed. 2017, 56, 9440–9444. [Google Scholar] [CrossRef]
- Guengerich, F.P.; Yoshimoto, F.K. Formation and cleavage of C-C Bonds by enzymatic oxidation-reduction reactions. Chem. Rev. 2018, 118, 6573–6655. [Google Scholar] [CrossRef] [PubMed]
- Guengerich, F.P.; Tateishi, Y.; McCarty, K.D. Mechanisms of cytochrome P450 catalysis: C-C bond cleavage reactions and roles of iron-oxygen complexes. Med. Chem. Res. 2023, 32, 1263–1277. [Google Scholar] [CrossRef]
- Acimovic, J.; Goyal, S.; Kosir, R.; Golicnik, M.; Perse, M.; Belic, A.; Urlep, Z.; Guengerich, F.P.; Rozman, D. Cytochrome P450 metabolism of the post-lanosterol intermediates explains enigmas of cholesterol synthesis. Sci. Rep. 2016, 6, 28462. [Google Scholar] [CrossRef] [PubMed]
- Tuckey, R.C.; Nguyen, M.N.; Chen, J.; Slominski, A.T.; Baldisseri, D.M.; Tieu, E.W.; Zjawiony, J.K.; Li, W. Human cytochrome P450scc (CYP11A1) catalyzes epoxide formation with ergosterol. Drug Metab. Dispos. 2012, 40, 436–444. [Google Scholar] [CrossRef]
- Slominski, A.T.; Li, W.; Kim, T.-K.; Semak, I.; Wang, J.; Zjawiony, J.K.; Tuckey, R.C. Novel activities of CYP11A1 and their potential physiological significance. J. Steroid Biochem. Mol. Biol. 2015, 151, 25–37. [Google Scholar] [CrossRef]
- Slominski, A.T.; Kim, T.K.; Li, W.; Yi, A.K.; Postlethwaite, A.; Tuckey, R.C. The role of CYP11A1 in the production of vitamin D metabolites and their role in the regulation of epidermal functions. J. Steroid Biochem. Mol. Biol. 2014, 144 Pt A, 28–39. [Google Scholar] [CrossRef]
- Tuckey, R.C.; Li, W.; Shehabi, H.Z.; Janjetovic, Z.; Nguyen, M.N.; Kim, T.K.; Chen, J.; Howell, D.E.; Benson, H.A.; Sweatman, T.; et al. Production of 22-hydroxy metabolites of vitamin D3 by cytochrome P450scc (CYP11A1) and analysis of their biological activities on skin cells. Drug Metab. Dispos. 2011, 39, 1577–1588. [Google Scholar] [CrossRef]
- Slominski, A.; Semak, I.; Wortsman, J.; Zjawiony, J.; Li, W.; Zbytek, B.; Tuckey, R.C. An alternative pathway of vitamin D metabolism. Cytochrome P450scc (CYP11A1)-mediated conversion to 20-hydroxyvitamin D2 and 17,20-dihydroxyvitamin D2. FEBS J. 2006, 273, 2891–2901. [Google Scholar] [CrossRef]
- Zhang, D.; Flint, O.; Wang, L.; Gupta, A.; Westhouse, R.A.; Zhao, W.; Raghavan, N.; Caceres-Cortes, J.; Marathe, P.; Shen, G.; et al. Cytochrome P450 11A1 bioactivation of a kinase inhibitor in rats: Use of radioprofiling, modulation of metabolism, and adrenocortical cell lines to evaluate adrenal toxicity. Chem. Res. Toxicol. 2012, 25, 556–571. [Google Scholar] [CrossRef]
- Mast, N.; Annalora, A.J.; Lodowski, D.T.; Palczewski, K.; Stout, C.D.; Pikuleva, I.A. Structural basis for three-step sequential catalysis by the cholesterol side chain cleavage enzyme CYP11A1. J. Biol. Chem. 2011, 286, 5607–5613. [Google Scholar] [CrossRef] [PubMed]
- Strushkevich, N.; MacKenzie, F.; Cherkesova, T.; Grabovec, I.; Usanov, S.; Park, H.W. Structural basis for pregnenolone biosynthesis by the mitochondrial monooxygenase system. Proc. Natl. Acad. Sci. USA 2011, 108, 10139–10143. [Google Scholar] [CrossRef]
- Davydov, R.; Strushkevich, N.; Smil, D.; Yantsevich, A.; Gilep, A.; Usanov, S.; Hoffman, B.M. Evidence that Compound I is the active species in both the hydroxylase and lyase steps by which P450scc converts cholesterol to pregnenolone: EPR/ENDOR/cryoreduction/annealing studies. Biochemistry 2015, 54, 7089–7097. [Google Scholar] [CrossRef]
- Davydov, R.; Gilep, A.A.; Strushkevich, N.V.; Usanov, S.A.; Hoffman, B.M. Compound I is the reactive intermediate in the first monooxygenation step during conversion of cholesterol to pregnenolone by cytochrome P450scc: EPR/ENDOR/cryoreduction/annealing studies. J. Am. Chem. Soc. 2012, 134, 17149–17156. [Google Scholar] [CrossRef] [PubMed]
- Yoshimoto, F.K.; Jung, I.J.; Goyal, S.; Gonzalez, E.; Guengerich, F.P. Isotope-labeling studies support the electrophilic Compound I iron active species, FeO3+, for the carbon-carbon bond cleavage reaction of the cholesterol side-chain cleavage enzyme, cytochrome P450 11A1. J. Am. Chem. Soc. 2016, 138, 12124–12141. [Google Scholar] [CrossRef] [PubMed]
- Ortiz de Montellano, P.R. Substrate oxidation. In Cytochrome P450: Structure, Mechanism, and Biochemistry, 4th ed.; Ortiz de Montellano, P.R., Ed.; Springer: New York, NY, USA, 2015; pp. 111–176. [Google Scholar]
- Su, H.; Wang, B.; Shaik, S. Quantum-mechanical/molecular-mechanical studies of CYP11A1-catalyzed biosynthesis of pregnenolone from cholesterol reveal a C-C bond cleavage reaction that occurs by a Compound I-mediated electron transfer. J. Am. Chem. Soc. 2019, 141, 20079–20088. [Google Scholar] [CrossRef]
- Morisaki, M.; Sato, S.; Ikekawa, N.; Shikita, M. Stereochemical specificity at carbon-20 and -22 of hydroxylated cholesterols for side-chain cleavage by adrenocortical cytochrome P-450scc. FEBS Lett. 1976, 72, 337–340. [Google Scholar] [CrossRef]
- McCarty, K.D.; Liu, L.; Tateishi, Y.; Wapshott-Stehli, H.L.; Guengerich, F.P. The multistep oxidation of cholesterol to pregnenolone by human cytochrome P450 11A1 is highly processive. J. Biol. Chem. 2024, 300, 105495. [Google Scholar] [CrossRef] [PubMed]
- Morisaki, M.; Duque, C.; Takane, K.; Ikekawa, N.; Shikita, M. Substrate specificity of adrenocortical cytochrome P-450scc. II. Effect of structural modification of cholesterol A/B ring on their side chain cleavage reaction. J. Steroid Biochem. 1982, 16, 101–105. [Google Scholar] [CrossRef] [PubMed]
- Morisaki, M.; Duque, C.; Ikekawa, N.; Shikita, M. Substrate specificity of adrenocortical cytochrome P-450scc. I. Effect of structural modification of cholesterol side-chain on pregnenolone production. J. Steroid Biochem. 1980, 13, 545–550. [Google Scholar] [CrossRef]
- Johnson, K.A.; Simpson, Z.B.; Blom, T. Global Kinetic Explorer: A new computer program for dynamic simulation and fitting of kinetic data. Anal. Biochem. 2009, 387, 20–29. [Google Scholar] [CrossRef] [PubMed]
- Johnson, K.A. Kinetic Analysis for the New Enzymology, 1st ed.; KinTek: Austin, TX, USA, 2019. [Google Scholar]
- Walsh, C. Enzymatic Reaction Mechanisms; W. H. Freeman Co.: San Francisco, CA, USA, 1979; pp. 34–35. [Google Scholar]
- Northrop, D.B. Deuterium and tritium kinetic isotope effects on initial rates. Methods Enzymol. 1982, 87, 607–625. [Google Scholar]
- Schiffer, L.; Anderko, S.; Hannemann, F.; Eiden-Plach, A.; Bernhardt, R. The CYP11B subfamily. J. Steroid Biochem. Mol. Biol. 2015, 151, 38–51. [Google Scholar] [CrossRef] [PubMed]
- Xiong, Y.; Zeng, Z.; Liang, T.T.; Yang, P.P.; Lu, Q.X.; Yang, J.Y.; Zhang, J.; Fang, W.; Luo, P.Y.; Hu, Y.; et al. Unequal crossing over between CYP11B2 and CYP11B1 causes 11β -hydroxylase deficiency in a consanguineous family. J. Steroid Biochem. Mol. Biol. 2023, 233, 106375. [Google Scholar] [CrossRef] [PubMed]
- Azizi, M. Decreasing the effects of aldosterone in resistant hypertension—A success story. N. Engl. J. Med. 2023, 388, 461–463. [Google Scholar] [CrossRef] [PubMed]
- Hayashi, T.; Zhang, Z.; Al-Eyd, G.; Sasaki, A.; Yasuda, M.; Oyama, M.; Gomez-Sanchez, C.E.; Asakura, H.; Seki, T.; Mukai, K.; et al. Expression of aldosterone synthase CYP11B2 was inversely correlated with longevity. J. Steroid Biochem. Mol. Biol. 2019, 191, 105361. [Google Scholar] [CrossRef]
- Reddish, M.J.; Guengerich, F.P. Human cytochrome P450 11B2 produces aldosterone by a processive mechanism due to the lactol form of the intermediate 18-hydroxycorticosterone. J. Biol. Chem. 2019, 294, 12975–12991. [Google Scholar] [CrossRef]
- Mulatero, P.; di Cella, S.M.; Monticone, S.; Schiavone, D.; Manzo, M.; Mengozzi, G.; Rabbia, F.; Terzolo, M.; Gomez-Sanchez, E.P.; Gomez-Sanchez, C.E.; et al. 18-Hydroxycorticosterone, 18-hydroxycortisol, and 18-oxocortisol in the diagnosis of primary aldosteronism and its subtypes. J. Clin. Endocrinol. Metab. 2012, 97, 881–889. [Google Scholar] [CrossRef] [PubMed]
- Damasco, M.C.; Lantos, C.P. The existence of two interconvertible forms of 18-hydroxycorticosterone: Is one of them an active precursor of aldosterone? J. Steroid Biochem. 1975, 6, 69–74. [Google Scholar] [CrossRef] [PubMed]
- Valentín-Goyco, J.; Im, S.C.; Auchus, R.J. Kinetics of intermediate release enhances P450 11B2-catalyzed aldosterone synthesis. Biochemistry 2024, 63, 1026–1037. [Google Scholar] [CrossRef]
- Crawford, E.D.; Shore, N.D.; Petrylak, D.P.; Higano, C.S.; Ryan, C.J. Abiraterone acetate and prednisone in chemotherapy-naïve prostate cancer patients: Rationale, evidence and clinical utility. Ther. Adv. Med. Oncol. 2017, 9, 319–333. [Google Scholar] [CrossRef]
- Gonzalez, E.; Guengerich, F.P. Kinetic processivity of the two-step oxidations of progesterone and pregnenolone to androgens by human cytochrome P450 17A1. J. Biol. Chem. 2017, 292, 13168–13185. [Google Scholar] [CrossRef] [PubMed]
- Miller, S.L.; Wright, J.N.; Corina, D.L.; Akhtar, M. Mechanistic studies on pregnene side-chain cleavage enzyme (17α-hydroxylase-17,20-lyase) using 18O. J. Chem. Soc. Chem. Commun. 1991, 3, 157–159. [Google Scholar] [CrossRef]
- Yoshimoto, F.K.; Gonzalez, E.; Auchus, R.J.; Guengerich, F.P. Mechanism of 17α,20-lyase and new hydroxylation reactions of human cytochrome P450 17A1: 18O labeling and oxygen surrogate evidence for a role of a perferryl oxygen. J. Biol. Chem. 2016, 291, 17143–17164. [Google Scholar] [CrossRef]
- Gonzalez, E.; Johnson, K.M.; Pallan, P.S.; Phan, T.T.N.; Zhang, W.; Lei, L.; Wawrzak, Z.; Yoshimoto, F.K.; Egli, M.; Guengerich, F.P. Inherent steroid 17α,20-lyase activity in defunct cytochrome P450 17A enzymes. J. Biol. Chem. 2018, 293, 541–556. [Google Scholar] [CrossRef]
- Petrunak, E.M.; DeVore, N.M.; Porubsky, P.R.; Scott, E.E. Structures of human steroidogenic cytochrome P450 17A1 with substrates. J. Biol. Chem. 2014, 289, 32952–32964. [Google Scholar] [CrossRef]
- Mak, A.Y.; Swinney, D.C. 17-O-Acetyltestosterone formation from progesterone in microsomes from pig testes—Evidence for the Baeyer-Villiger rearrangement in androgen formation catalyzed by Cyp17. J. Am. Chem. Soc. 1992, 114, 8309–8310. [Google Scholar] [CrossRef]
- Mak, P.J.; Gregory, M.C.; Denisov, I.G.; Sligar, S.G.; Kincaid, J.R. Unveiling the crucial intermediates in androgen production. Proc. Natl. Acad. Sci. USA 2015, 112, 15856–15861. [Google Scholar] [CrossRef]
- Khatri, Y.; Gregory, M.C.; Grinkova, Y.V.; Denisov, I.G.; Sligar, S.G. Active site proton delivery and the lyase activity of human CYP17A1. Biochem. Biophys. Res. Commun. 2014, 443, 179–184. [Google Scholar] [CrossRef] [PubMed]
- Liu, Y.; Denisov, I.G.; Grinkova, Y.V.; Sligar, S.G.; Kincaid, J.R. P450 CYP17A1 variant with a disordered proton shuttle assembly retains peroxo-mediated lyase efficiency. Chem. A Eur. J. 2020, 26, 16846–16852. [Google Scholar] [CrossRef] [PubMed]
- Swinney, D.C.; Mak, A.Y. Androgen formation by cytochrome P450 CYP17. Solvent isotope effect and pL studies suggest a role for protons in the regulation of oxene versus peroxide chemistry. Biochemistry 1994, 33, 2185–2190. [Google Scholar] [CrossRef]
- Gregory, M.C.; Denisov, I.G.; Grinkova, Y.V.; Khatri, Y.; Sligar, S.G. Kinetic solvent isotope effect in human P450 CYP17A1-mediated androgen formation: Evidence for a reactive peroxoanion intermediate. J. Am. Chem. Soc. 2013, 135, 16245–16247. [Google Scholar] [CrossRef]
- Miller, J.C.; Lee, J.H.Z.; McLean, M.A.; Chao, R.R.; Stone, I.S.J.; Pukala, T.L.; Bruning, J.B.; De Voss, J.J.; Schuler, M.A.; Sligar, S.G.; et al. Engineering C-C bond cleavage activity into a P450 monooxygenase enzyme. J. Am. Chem. Soc. 2023, 145, 9207–9222. [Google Scholar] [CrossRef]
- Kresge, A.J. Solvent isotope effects and the mechanism of chymotrysin action. J. Am. Chem. Soc. 1973, 95, 3065–3067. [Google Scholar] [CrossRef]
- Jencks, W.P. Catalysis in Chemistry and Enzymology; McGraw-Hill: New York, NY, USA, 1969; pp. 274–279. [Google Scholar]
- Fersht, A. Structure and Mechanism in Protein Science; Freeman: New York, NY, USA, 1999; p. 110. [Google Scholar]
- Abeles, R.H.; Frey, P.A.; Jencks, W.P. Biochemistry; Jones and Bartlett: New York, NY, USA, 1992; p. 115. [Google Scholar]
- Hermans, J., Jr.; Scheraga, H.A. The thermally induced configurational change of ribonuclease in water and deuterium. Biochim. Biophys. Acta 1959, 36, 534–535. [Google Scholar] [CrossRef]
- Katagiri, M.; Suhara, K.; Shiroo, M.; Fujimura, Y. Role of cytochrome b5 in the cytochrome P-450-mediated C21-steroid 17,20-lyase reaction. Biochem. Biophys. Res. Commun. 1982, 108, 379–384. [Google Scholar] [CrossRef]
- Katagiri, M.; Kagawa, N.; Waterman, M.R. The role of cytochrome b5 in the biosynthesis of androgens by human P450c17. Arch. Biochem. Biophys. 1995, 317, 343–347. [Google Scholar] [CrossRef] [PubMed]
- Kim, D.; Kim, V.; McCarty, K.D.; Guengerich, F.P. Tight binding of cytochrome b5 to cytochrome P450 17A1 is a critical feature of stimulation of C21 steroid lyase activity and androgen synthesis. J. Biol. Chem. 2021, 296, 100571. [Google Scholar] [CrossRef] [PubMed]
- Peng, H.M.; Im, S.C.; Pearl, N.M.; Turcu, A.F.; Rege, J.; Waskell, L.; Auchus, R.J. Cytochrome b5 activates the 17,20-lyase activity of human cytochrome P450 17A1 by increasing the coupling of NADPH consumption to androgen production. Biochemistry 2016, 55, 4356–4365. [Google Scholar] [CrossRef]
- Lee-Robichaud, P.; Wright, J.N.; Akhtar, M.E.; Akhtar, M. Modulation of the activity of human 17a-hydroxylase-17,20-lyase (CYP17) by cytochrome b5: Endocrinological and mechanistic implications. Biochem. J. 1995, 308 Pt 3, 901–908. [Google Scholar] [CrossRef] [PubMed]
- Bhatt, M.R.; Khatri, Y.; Rodgers, R.J.; Martin, L.L. Role of cytochrome b5 in the modulation of the enzymatic activities of cytochrome P450 17α-hydroxylase/17,20-lyase (P450 17A1). J. Steroid Biochem. Mol. Biol. 2016, 170, 2–18. [Google Scholar] [CrossRef] [PubMed]
- Yamazaki, H.; Johnson, W.W.; Ueng, Y.F.; Shimada, T.; Guengerich, F.P. Lack of electron transfer from cytochrome b5 in stimulation of catalytic activities of cytochrome P450 3A4. Characterization of a reconstituted cytochrome P450 3A4/NADPH-cytochrome P450 reductase system and studies with apo-cytochrome b5. J. Biol. Chem. 1996, 271, 27438–27444. [Google Scholar] [CrossRef] [PubMed]
- Yamazaki, H.; Nakamura, M.; Komatsu, T.; Ohyama, K.; Hatanaka, N.; Asahi, S.; Shimada, N.; Guengerich, F.P.; Shimada, T.; Nakajima, M.; et al. Roles of NADPH-P450 reductase and apo- and holo-cytochrome b5 on xenobiotic oxidations catalyzed by 12 recombinant human cytochrome P450s expressed in membranes of Escherichia coli. Protein Exp. Purif. 2002, 24, 329–337. [Google Scholar] [CrossRef] [PubMed]
- Duggal, R.; Liu, Y.; Gregory, M.C.; Denisov, I.G.; Kincaid, J.R.; Sligar, S.G. Evidence that cytochrome b5 acts as a redox donor in CYP17A1 mediated androgen synthesis. Biochem. Biophys. Res. Commun. 2016, 477, 202–208. [Google Scholar] [CrossRef]
- Auchus, R.J.; Lee, T.C.; Miller, W.L. Cytochrome b5 augments the 17,20-lyase activity of human P450c17 without direct electron transfer. J. Biol. Chem. 1998, 273, 3158–3165. [Google Scholar] [CrossRef] [PubMed]
- Guengerich, F.P.; Wilkey, C.J.; Glass, S.M.; Reddish, M.J. Conformational selection dominates binding of steroids to human cytochrome P450 17A1. J. Biol. Chem. 2019, 294, 10028–10041. [Google Scholar] [CrossRef]
- Simonov, A.N.; Holien, J.K.; Yeung, J.C.; Nguyen, A.D.; Corbin, C.J.; Zheng, J.; Kuznetsov, V.L.; Auchus, R.J.; Conley, A.J.; Bond, A.M.; et al. Mechanistic scrutiny identifies a kinetic role for cytochrome b5 regulation of human cytochrome P450c17 (CYP17A1, P450 17A1). PLoS ONE 2015, 10, e0141252. [Google Scholar] [CrossRef]
- Tateishi, Y.; Webb, S.N.; Li, B.; Liu, L.; Lindsey Rose, K.; Leser, M.; Patel, P.; Guengerich, F.P. Proteomics, modeling, and fluorescence assays delineate cytochrome b5 residues involved in binding and stimulation of cytochrome P450 17A1 17,20-lyase. J. Biol. Chem. 2024, 300, 105688. [Google Scholar] [CrossRef] [PubMed]
- Peng, H.M.; Liu, J.; Forsberg, S.E.; Tran, H.T.; Anderson, S.M.; Auchus, R.J. Catalytically relevant electrostatic interactions of cytochrome P450c17 (CYP17A1) and cytochrome b5. J. Biol. Chem. 2014, 289, 33838–33849. [Google Scholar] [CrossRef] [PubMed]
- Estrada, D.F.; Laurence, J.S.; Scott, E.E. Substrate-modulated cytochrome P450 17A1 and cytochrome b5 interactions revealed by NMR. J. Biol. Chem. 2013, 288, 17008–17018. [Google Scholar] [CrossRef]
- Richard, A.M.; Estrada, D.F.; Flynn, L.; Pochapsky, S.S.; Scott, E.E.; Pochapsky, T.C. Tracking protein-protein interactions by NMR: Conformational selection in human steroidogenic cytochrome P450 CYP17A1 induced by cytochrome b5. Phys. Chem. Chem. Phys. 2024, 26, 16980–16988. [Google Scholar] [CrossRef]
- Ryan, K.J. Conversion of androstenedione to estrone by placental microsomes. Biochim. Biophys. Acta 1958, 27, 658–662. [Google Scholar] [CrossRef] [PubMed]
- Ryan, K.J. Metabolism of C-16-oxygenated steroids by human placenta: The formation of estriol. J. Biol. Chem. 1959, 234, 2006–2008. [Google Scholar] [CrossRef]
- Ryan, K.J. Biological aromatization of steroids. J. Biol. Chem. 1959, 234, 268–272. [Google Scholar] [CrossRef]
- Barbieri, R.L.; Canick, J.A.; Ryan, K.J. Estrogen 2-hydroxylase: Activity in rat tissues. Steroids 1978, 32, 529–538. [Google Scholar] [CrossRef]
- Miyairi, S.; Sugita, O.; Sassa, S.; Fishman, J. Aromatization and 19-hydroxylation of androgens by rat brain cytochrome P-450. Biochem. Biophys. Res. Commun. 1988, 150, 311–315. [Google Scholar] [CrossRef]
- Fishman, J. Aromatic hydroxylation of estrogens. Annu. Rev. Physiol 1983, 45, 61–72. [Google Scholar] [CrossRef]
- Fishman, J.; Guzik, H.; Hellman, L. Aromatic ring hydroxylation of estradiol in man. Biochemistry 1970, 9, 1593–1598. [Google Scholar] [CrossRef]
- Fishman, J. Biochemical mechanism of aromatization. Cancer Res. 1982, 42, 3277s–3280s. [Google Scholar] [PubMed]
- Simpson, E.R.; Michael, M.D.; Agarwal, V.R.; Hinshelwood, M.M.; Bulun, S.E.; Zhao, Y. Expression of the CYP19 (aromatase) gene: An unusual case of alternative promoter usage. FASEB J. 1997, 11, 29–36. [Google Scholar] [CrossRef]
- Zhao, Y.; Nichols, J.E.; Bulun, S.E.; Mendelson, C.R.; Simpson, E.R. Aromatase P450 gene expression in human adipose tissue: Role of a Jak/STAT pathway in regulation of the adipose-specific promoter. J. Biol. Chem. 1995, 270, 16449–16457. [Google Scholar] [CrossRef]
- Waterman, M.R.; Simpson, E.R. Regulation of steroid hydroxylase gene expression is multifactorial in nature. Recent. Prog. Horm. Res. 1989, 45, 533–566. [Google Scholar] [PubMed]
- Evans, C.T.; Corbin, C.J.; Saunders, C.T.; Merrill, J.C.; Simpson, E.R.; Mendelson, C.R. Regulation of estrogen biosynthesis in human adipose stromal cells: Effects of dibutyryl cyclic AMP, epidermal growth factor, and phorbol esters on the synthesis of aromatase cytochrome P-450. J. Biol. Chem. 1987, 262, 6914–6920. [Google Scholar] [CrossRef] [PubMed]
- Namkung, M.J.; Porubek, D.J.; Nelson, S.D.; Juchau, M.R. Regulation of aromatic oxidation of estradiol-17β in maternal hepatic, fetal hepatic and placental tissues: Comparative effects of a series of inducing agents. J. Steroid Biochem. 1985, 22, 563–567. [Google Scholar] [CrossRef]
- Jiang, B.; Kamat, A.; Mendelson, C.R. Hypoxia prevents induction of aromatase expression in human trophoblast cells in culture: Potential inhibitory role of the hypoxia-inducible transcription factor Mash-2 (mammalian achaete-scute homologous protein-2). Mol. Endocrinol. 2000, 14, 1661–1673. [Google Scholar] [CrossRef]
- Mendelson, C.R.; Jiang, B.; Shelton, J.M.; Richardson, J.A.; Hinshelwood, M.M. Transcriptional regulation of aromatase in placenta and ovary. J. Steroid Biochem. Mol. Biol. 2005, 95, 25–33. [Google Scholar] [CrossRef]
- Means, G.D.; Kilgore, M.W.; Mahendroo, M.S.; Mendelson, C.R.; Simpson, E.R. Tissue-specific promoters regulate aromatase cytochrome P450 gene expression in human ovary and fetal tissues. Mol. Endocrinol. 1991, 5, 2005–2013. [Google Scholar] [CrossRef]
- Kamat, A.; Smith, M.E.; Shelton, J.M.; Richardson, J.A.; Mendelson, C.R. Genomic regions that mediate placental cell-specific and developmental regulation of human Cyp19 (aromatase) gene expression in transgenic mice. Endocrinology 2005, 146, 2481–2488. [Google Scholar] [CrossRef]
- Clyne, C.D.; Kovacic, A.; Speed, C.J.; Zhou, J.; Pezzi, V.; Simpson, E.R. Regulation of aromatase expression by the nuclear receptor LRH-1 in adipose tissue. Mol. Cell Endrocinol 2004, 215, 39–44. [Google Scholar] [CrossRef] [PubMed]
- Yanase, T.; Suzuki, S.; Goto, K.; Nomura, M.; Okabe, T.; Takayanagi, R.; Nawata, H. Aromatase in bone: Roles of vitamin D3 and androgens. J. Steroid Biochem. Mol. Biol. 2003, 86, 393–397. [Google Scholar] [CrossRef] [PubMed]
- Lou, Y.R.; Murtola, T.; Tuohimaa, P. Regulation of aromatase and 5a-reductase by 25-hydroxyvitamin D3, 1a,25-dihydroxyvitamin D3, dexamethasone and progesterone in prostate cancer cells. J. Steroid Biochem. Mol. Biol. 2005, 94, 151–157. [Google Scholar] [CrossRef]
- Stillman, S.C.; Evans, B.A.; Hughes, I.A. Androgen dependent stimulation of aromatase activity in genital skin fibroblasts from normals and patients with androgen insensitivity. Clin. Endocrinol. 1991, 35, 533–538. [Google Scholar] [CrossRef] [PubMed]
- Zhao, Y.; Nichols, J.E.; Valdez, R.; Mendelson, C.R.; Simpson, E.R. Tumor necrosis factor-alpha stimulates aromatase gene expression in human adipose stromal cells through use of an activating protein-1 binding site upstream of promoter 1.4. Mol. Endocrinol. 1996, 10, 1350–1357. [Google Scholar] [CrossRef]
- Enjuanes, A.; Garcia-Giralt, N.; Supervia, A.; Nogues, X.; Ruiz-Gaspa, S.; Bustamante, M.; Mellibovsky, L.; Grinberg, D.; Balcells, S.; Diez-Perez, A. Functional analysis of the I.3, I.6, pII and I.4 promoters of CYP19 (aromatase) gene in human osteoblasts and their role in vitamin D and dexamethasone stimulation. Eur. J. Endcrinol 2005, 153, 981–988. [Google Scholar] [CrossRef] [PubMed][Green Version]
- Laville, N.; Balaguer, P.; Brion, F.; Hinfray, N.; Casellas, C.; Porcher, J.M.; Ait-Aissa, S. Modulation of aromatase activity and mRNA by various selected pesticides in the human choriocarcinoma JEG-3 cell line. Toxicology 2006, 228, 98–108. [Google Scholar] [CrossRef] [PubMed]
- Hathi, D.; Goswami, S.; Sengupta, N.; Baidya, A. A novel homozygous CYP19A1 gene mutation causing aromatase deficiency. Cureus 2022, 14, e22059. [Google Scholar] [CrossRef]
- Patel, S. Disruption of aromatase homeostasis as the cause of a multiplicity of ailments: A comprehensive review. J. Steroid Biochem. Mol. Biol. 2017, 168, 19–25. [Google Scholar] [CrossRef] [PubMed]
- Wang, L.; Ellsworth, K.A.; Moon, I.; Pelleymounter, L.L.; Eckloff, B.W.; Martin, Y.N.; Fridley, B.L.; Jenkins, G.D.; Batzler, A.; Suman, V.J.; et al. Functional genetic polymorphisms in the aromatase gene CYP19 vary the response of breast cancer patients to neoadjuvant therapy with aromatase inhibitors. Cancer Res. 2010, 70, 319–328. [Google Scholar] [CrossRef] [PubMed]
- Zirilli, L.; Rochira, V.; Diazzi, C.; Caffagni, G.; Carani, C. Human models of aromatase deficiency. J. Steroid Biochem. Mol. Biol. 2008, 109, 212–218. [Google Scholar] [CrossRef]
- Gervasini, G.; Jara, C.; Olier, C.; Romero, N.; Martinez, R.; Carrillo, J.A. Polymorphisms in ABCB1 and CYP19A1 genes affect anastrozole plasma concentrations and clinical outcomes in postmenopausal breast cancer patients. Br. J. Clin. Pharmacol. 2017, 83, 562–571. [Google Scholar] [CrossRef] [PubMed]
- Straume, A.H.; Knappskog, S.; Lonning, P.E. Effect of CYP19 rs6493497 and rs7176005 haplotype status on in vivo aromatase transcription, plasma and tissue estrogen levels in postmenopausal women. J. Steroid Biochem. Mol. Biol. 2012, 128, 69–75. [Google Scholar] [CrossRef]
- Cai, Q.; Kataoka, N.; Li, C.; Wen, W.; Smith, J.R.; Gao, Y.T.; Shu, X.O.; Zheng, W. Haplotype analyses of CYP19A1 gene variants and breast cancer risk: Results from the Shanghai Breast Cancer Study. Cancer Epidemiol. Biomark. Prev. 2008, 17, 27–32. [Google Scholar] [CrossRef]
- Setiawan, V.W.; Doherty, J.A.; Shu, X.O.; Akbari, M.R.; Chen, C.; De Vivo, I.; Demichele, A.; Garcia-Closas, M.; Goodman, M.T.; Haiman, C.A.; et al. Two estrogen-related variants in CYP19A1 and endometrial cancer risk: A pooled analysis in the Epidemiology of Endometrial Cancer Consortium. Cancer Epidemiol. Biomark. Prev. 2009, 18, 242–247. [Google Scholar] [CrossRef]
- Brueggemeier, R.W. Aromatase inhibitors in breast cancer therapy. Expert. Rev. Anticancer. Ther. 2002, 2, 181–191. [Google Scholar] [CrossRef]
- Brodie, A.M.H.; Banks, P.K.; Inskster, S.E.; Dowsett, M.; Coombes, R.C. Aromatase inhibitors and hormone-dependent cancers. J. Steroid Biochem. Mol. Biol. 1990, 37, 327–333. [Google Scholar] [CrossRef] [PubMed]
- Bhatnagar, A.S.; Häusler, A.; Schieweck, K.; Browne, L.J.; Bowman, R.; Steele, R.E. Novel aromatase inhibitors. J. Steroid Biochem. Mol. Biol. 1990, 37, 363–367. [Google Scholar] [CrossRef]
- Sherwin, P.F.; McMullan, P.C.; Covey, D.F. Effects of steroid D-ring modification on suicide inactivation and competitive inhibition of aromatase by anologues of androsta-1,4-diene-3,17-dione. J. Med. Chem. 1989, 32, 651–658. [Google Scholar] [CrossRef]
- Kellis, J.T., Jr.; Childers, W.E.; Robinson, C.H.; Vickery, L.E. Inhibition of aromatase cytochrome P-450 by 10-oxirane and 10-thiirane substituted androgens: Implications for the structure of the active site. J. Biol. Chem. 1987, 262, 4421–4426. [Google Scholar] [CrossRef] [PubMed]
- Snider, C.E.; Brueggemeier, R.W. Potent enzyme-activated inhibition of aromatase by a 7α-substituted C19 steroid. J. Biol. Chem. 1987, 262, 8685–8689. [Google Scholar] [CrossRef] [PubMed]
- Covey, D.F.; Hood, W.F.; McMullan, P.C. Studies of the inactivation of human placental aromatase by 17α-ethynyl-substituted 10β-hydroperoxy and related 19-nor steroids. Biochem. Pharmacol. 1986, 35, 1671–1674. [Google Scholar] [CrossRef] [PubMed]
- Wing, L.Y.; Garrett, W.M.; Brodie, A.M.H. Effects of aromatase inhibitors, aminoglutethimide, and 4-hydroxyandrostenedione on cyclic rats and rats with 7,12-dimethylbenz[a]anthracene-induced mammary tumors. Cancer Res. 1985, 45, 2425–2428. [Google Scholar] [PubMed]
- Marcotte, P.A.; Robinson, C.H. Design of mechanism-based inactivators of human placental aromatase. Cancer Res. 1982, 42, 3322s–3326s. [Google Scholar]
- Santen, R.J.; Santner, S.J.; Tilsen-Mallett, N.; Rosen, H.R.; Samojlik, E.; Veldhuis, J.D. In vivo and in vitro pharmacological studies of aminoglutethimide as an aromatase inhibitor. Cancer Res. 1982, 42, 3353s–3359s. [Google Scholar] [PubMed]
- Teslenko, I.; Watson, C.J.W.; Chen, G.; Lazarus, P. Inhibition of the aromatase enzyme by exemestane cysteine conjugates. Mol. Pharmacol. 2022, 102, 216–222. [Google Scholar] [CrossRef] [PubMed]
- Chumsri, S.; Thompson, E.A. Carryover effects of aromatase inhibitors in prevention. Lancet 2020, 395, 91–92. [Google Scholar] [CrossRef]
- Dowsett, M.; Forbes, J.F.; Bradley, R.; Ingle, J.; Aihara, T.; Bliss, J.; Boccardo, F.; Coates, A.; Coombes, R.C.; Cuzick, J.; et al. Aromatase inhibitors versus tamoxifen in early breast cancer: Patient-level meta-analysis of the randomised trials. Lancet 2015, 386, 1341–1352. [Google Scholar] [CrossRef]
- Amaral, C.; Varela, C.; Azevedo, M.; da Silva, E.T.; Roleira, F.M.F.; Chen, S.; Correia-da-Silva, G.; Teixeira, N. Effects of steroidal aromatase inhibitors on sensitive and resistant breast cancer cells: Aromatase inhibition and autophagy. J. Steroid Biochem. Mol. Biol. 2013, 135, 51–59. [Google Scholar] [CrossRef]
- Chumsri, S.; Sabnis, G.J.; Howes, T.; Brodie, A.M. Aromatase inhibitors and xenograft studies. Steroids 2011, 76, 730–735. [Google Scholar] [CrossRef] [PubMed][Green Version]
- Ta, N.; Walle, T. Aromatase inhibition by bioavailable methylated flavones. J. Steroid Biochem. Mol. Biol. 2007, 107, 127–129. [Google Scholar] [CrossRef] [PubMed]
- Nagar, S.; Saha, A. Exploring benzcyclo derivatives as potent aromatase inhibitors using ligand-based modeling studies. Eur. J. Med. Chem. 2010, 45, 4307–4315. [Google Scholar] [CrossRef]
- Bakker, J.; Honda, S.; Harada, N.; Balthazart, J. The aromatase knockout (ArKO) mouse provides new evidence that estrogens are required for the development of the female brain. Ann. N. Y. Acad. Sci. 2003, 1007, 251–262. [Google Scholar] [CrossRef]
- Mowa, C.N.; Jesmin, S.; Miyauchi, T. The penis: A new target and source of estrogen in male reproduction. Histol. Histopathol. 2006, 21, 53–67. [Google Scholar]
- Carreau, S.; Delalande, C.; Silandre, D.; Bourguiba, S.; Lambard, S. Aromatase and estrogen receptors in male reproduction. Mol. Cell Endrocinol 2006, 246, 65–68. [Google Scholar] [CrossRef]
- Osawa, Y.; Higashiyama, T.; Shimizu, Y.; Yarborough, C. Multiple functions of aromatase and the active site structure; aromatase is the placental estrogen 2-hydroxylase. J. Steroid Biochem. Mol. Biol. 1993, 44, 469–480. [Google Scholar] [CrossRef]
- Cheng, Q.; Sohl, C.D.; Yoshimoto, F.K.; Guengerich, F.P. Oxidation of dihydrotestosterone by human cytochromes P450 19A1 and 3A4. J. Biol. Chem. 2012, 287, 29554–29567. [Google Scholar] [CrossRef] [PubMed]
- Yoshimoto, F.K.; Guengerich, F.P. Mechanism of the third oxidative step in the conversion of androgens to estrogens by cytochrome P450 19A1 steroid aromatase. J. Am. Chem. Soc. 2014, 136, 15016–15025. [Google Scholar] [CrossRef]
- Sohl, C.D.; Guengerich, F.P. Kinetic analysis of the three-step steroid aromatase reaction of human cytochrome P450 19A1. J. Biol. Chem. 2010, 285, 17734–17743. [Google Scholar] [CrossRef]
- Cole, P.A.; Robinson, C.H. A peroxide model reaction for placental aromatase. J. Am. Chem. Soc. 1988, 110, 1284–1285. [Google Scholar] [CrossRef]
- Watanabe, Y.; Ishimura, Y. A model study on aromatase cytochrome P-450 reaction: Transformation of androstene-3,17,19-trione to 10β-hydroxyestr-4-ene-3,17-dione. J. Am. Chem. Soc. 1989, 111, 8047–8049. [Google Scholar] [CrossRef]
- Cole, P.A.; Robinson, C.H. Synthesis of and reactivity studies with 19-peroxide-androstenedione derivatives: Analogues of a proposed aromatase intermediate. J. Chem. Soc. Perk Trans. 1 1990, 2119–2125. [Google Scholar] [CrossRef]
- Wertz, D.L.; Sisemore, M.F.; Selke, M.; Driscoll, J.; Valentine, J.S. Mimicking cytochrome P-450 2B4 and aromatase: Aromatization of a substrate analogue by a peroxo Fe(III) porphyrin complex. J. Am. Chem. Soc. 1998, 120, 5331–5332. [Google Scholar] [CrossRef]
- Korzekwa, K.R.; Trager, W.F.; Smith, S.J.; Osawa, Y.; Gillette, J.R. Theoretical studies on the mechaism of conversion of androgens to estrogens by aromatase. Biochemistry 1991, 30, 6155–6162. [Google Scholar] [CrossRef] [PubMed]
- Korzekwa, K.R.; Trager, W.F.; Mancewicz, J.; Osawa, Y. Studies on the mechanism of aromatase and other cytochrome P450 mediated deformylation reactions. J. Steroid Biochem. Mol. Biol. 1993, 44, 367–373. [Google Scholar] [CrossRef]
- Hackett, J.C.; Brueggemeier, R.W.; Hadad, C.M. The final catalytic step of cytochrome P450 aromatase: A density functional theory study. J. Am. Chem. Soc. 2005, 127, 5224–5237. [Google Scholar] [CrossRef] [PubMed]
- Sen, K.; Hackett, J.C. Coupled electron transfer and proton hopping in the final step of CYP19-catalyzed androgen aromatization. Biochemistry 2012, 51, 3039–3049. [Google Scholar] [CrossRef][Green Version]
- Xu, K.; Wang, Y.; Hirao, H. Estrogen formation via H-abstraction from the O–H bond of gem-diol by Compound I in thereaction of CYP19A1: Mechanistic scenario derived from multiscale QM/MM calculations. ACS Catal. 2015, 5, 4175–4179. [Google Scholar] [CrossRef]
- Mak, P.J.; Luthra, A.; Sligar, S.G.; Kincaid, J.R. Resonance Raman spectroscopy of the oxygenated intermediates of human CYP19A1 implicates a Compound I intermediate in the final lyase step. J. Am. Chem. Soc. 2014, 136, 4825–4828. [Google Scholar] [CrossRef]
- Gantt, S.L.; Denisov, I.G.; Grinkova, Y.V.; Sligar, S.G. The critical iron-oxygen intermediate in human aromatase. Biochem. Biophys. Res. Commun. 2009, 387, 169–173. [Google Scholar] [CrossRef]
- Akhtar, M.; Corina, D.; Pratt, J.; Smith, T. Studies on the removal of C-19 in oestrogen biosynthesis using 18O2. J. Chem. Soc. Chem. Commun. 1976, 854–856. [Google Scholar] [CrossRef]
- Akhtar, M.; Calder, M.R.; Corina, D.L.; Wright, J.N. Mechanistic studies on C-19 demethylation in oestrogen biocynthesis. Biochem. J. 1982, 201, 569–580. [Google Scholar] [CrossRef] [PubMed]
- Caspi, E.; Wicha, J.; Arunachalam, T.; Nelson, P.; Spiteller, G. Estrogen biosynthesis: Concerning the obligatory intermediacy of 2β-hydroxy-10β-formyl androst-4-ene-3,17-dione. J. Am. Chem. Soc. 1984, 106, 7282–7283. [Google Scholar] [CrossRef]
- Khatri, Y.; Luthra, A.; Duggal, R.; Sligar, S.G. Kinetic solvent isotope effect in steady-state turnover by CYP19A1 suggests involvement of Compound I for both hydroxylation and aromatization steps. FEBS Lett. 2014, 588, 3117–3122. [Google Scholar] [CrossRef] [PubMed]
- Graham-Lorence, S.; Khalil, M.W.; Lorence, M.C.; Mendelson, C.R.; Simpson, E.R. Structure-function relationships of human aromatase cytochrome P-450 using molecular modeling and site-directed mutagenesis. J. Biol. Chem. 1991, 266, 11939–11946. [Google Scholar] [CrossRef]
- Zhang, C.; Gilardi, G.; Di Nardo, G. Depicting the proton relay network in human aromatase: New insights into the role of the alcohol-acid pair. Protein Sci. 2022, 31, e4389. [Google Scholar] [CrossRef]
- St. John, P.C.; Guan, Y.; Kim, Y.; Etz, B.D.; Kim, S.; Paton, R.S. Quantum chemical calculations for over 200,000 organic radical species and 40,000 associated closed-shell molecules. Sci. Data 2020, 7, 244. [Google Scholar] [CrossRef] [PubMed]
- St. John, P.C.; Guan, Y.; Kim, Y.; Kim, S.; Paton, R.S. Prediction of organic homolytic bond dissociation enthalpies at near chemical accuracy with sub-second computational cost. Nat. Commun. 2020, 11, 2328. [Google Scholar] [CrossRef]
- Lichtenberger, F.; Nastainczyk, W.; Ullrich, V. Cytochrome P-450 as an oxene transferase. Biochem. Biophys. Res. Commun. 1976, 70, 939–946. [Google Scholar] [CrossRef]
- Guengerich, F.P.; Vaz, A.D.; Raner, G.N.; Pernecky, S.J.; Coon, M.J. Evidence for a role of a perferryl-oxygen complex, FeO3+, in the N-oxygenation of amines by cytochrome P450 enzymes. Mol. Pharmacol. 1997, 51, 147–151. [Google Scholar] [CrossRef]
- Gustafsson, J.-Å.; Rondahl, L.; Bergman, J. Iodosylbenzene derivatives as oxygen donors in cytochrome P-450 catalyzed steroid hydroxylations. Biochemistry 1979, 18, 865–870. [Google Scholar] [CrossRef]
- Kelly, W.G.; Stolee, A.H. Stabilization of placental aromatase by dithiothreitol in the presence of oxidizing agents. Steroids 1978, 31, 533–539. [Google Scholar] [CrossRef]
- Tateishi, Y.; McCarty, K.D.; Martin, M.V.; Yoshimoto, F.K.; Guengerich, F.P. Role of a ferric peroxide anion intermediate (Fe3+O2−) in cytochrome P450 19A1 steroid aromatization and a cytochrome P450 2B4 secosteroid model. Angew. Chem. Int. Ed. 2024, 63, e202406542. [Google Scholar] [CrossRef]
- Rittle, J.; Green, M.T. Cytochrome P450 Compound I: Capture, characterization, and C-H bond activation kinetics. Science 2010, 330, 933–937. [Google Scholar] [CrossRef]
- Akhtar, M.; Wright, J.N. A review of O-18 labelling Studies to probe the mechanism of aromatase (CYP19A1). J. Steroid Biochem. Mol. Biol. 2022, 216, 106010. [Google Scholar] [CrossRef] [PubMed]
- Akhtar, M.; Lee-Robichaud, P.; Akhtar, M.E.; Wright, J.N. The impact of aromatase mechanism on other P450s. J. Steroid Biochem. Mol. Biol. 1997, 61, 127–132. [Google Scholar] [CrossRef]
- Lee-Robichaud, P.; Shyadehi, A.Z.; Wright, J.N.; Akhtar, M.E.; Akhtar, M. Mechanistic kinship between hydroxylation and desaturation reactions: Acyl-carbon bond cleavage promoted by pig and human CYP17 (P-45017a; 17a-hydroxylase-17,20-lyase). Biochemistry 1995, 34, 14104–14113. [Google Scholar] [CrossRef] [PubMed]
- Akhtar, M.; Corina, D.L.; Miller, S.L.; Shyadehi, A.Z.; Wright, J.N. Incorporation of label from 18O2 into acetate during side-chain cleavage catalysed by cytochrome P45017a (17α-hydroxylase-17,20-lyase). J. Chem. Soc. Perk Trans. 1 1994, 263–267. [Google Scholar] [CrossRef]
- Tateishi, Y.; McCarty, K.D.; Martin, M.V.; Guengerich, F.P. Oxygen-18 labeling defines a ferric peroxide (Compound 0) mechanism in the oxidative deformylation of aldehydes by cytochrome P450 2B4. ACS Catal. 2024, 14, 2388–2394. [Google Scholar] [CrossRef] [PubMed]
- McCarty, K.D.; Tateishi, Y.; Hargrove, T.Y.; Lepesheva, G.I.; Guengerich, F.P. Oxygen-18 labeling reveals a mixed Fe-O mechanism in cytochrome P450 51A1 sterol 14α-demethylation. Angew. Chem. Int. Ed. 2024, 63, e202317711. [Google Scholar] [CrossRef] [PubMed]
- Caspi, E.; Arunachalam, T.; Nelson, P.A. Biosynthesis of estrogens: Aromatization of (19R)-, (19S)-, and (19S)-[19-3H,2H,1H]-3β-hydroxyandrost-5-en-17-ones by human placental aromatase. J. Am. Chem. Soc. 1986, 108, 1847–1852. [Google Scholar] [CrossRef]
- Vaz, A.D.N.; Kessell, K.J.; Coon, M.J. Aromatization of a bicyclic steroid analog, 3-oxodecalin-4-ene-10-carboxaldehyde, by liver microsomal cytochrome P450 2B4. Biochemistry 1994, 33, 13651–13661. [Google Scholar] [CrossRef] [PubMed]
- Houghton, E.; Teale, P.; Dumasia, M.C. Studies related to the origin of C18 neutral steroids isolated from extracts of urine from the male horse: The identification of urinary 19-oic acids and their decarboxylation to produce estr-4-en-17β-ol-3-one (19-nortestosterone) and estr-4-ene-3,17-dione (19-norandrost-4-ene-3,17-dione) during sample processing. Anal. Chim. Acta 2007, 586, 196–207. [Google Scholar] [CrossRef]
- Van Eenoo, P.; Delbeke, F.T.; de Jong, F.H.; De Backer, P. Endogenous origin of norandrosterone in female urine: Indirect evidence for the production of 19-norsteroids as by-products in the conversion from androgen to estrogen. J. Steroid Biochem. Mol. Biol. 2001, 78, 351–357. [Google Scholar] [CrossRef]
- Le Bizec, B.; Monteau, F.; Gaudin, I.; André, F. Evidence for the presence of endogenous 19-norandrosterone in human urine. J. Chromatogr. B Biomed. Sci. Appl. 1999, 723, 157–172. [Google Scholar] [CrossRef] [PubMed]
- Lepesheva, G.I.; Waterman, M.R. Sterol 14α-demethylase cytochrome P450 (CYP51), a P450 in all biological kingdoms. Biochim. Biophys. Acta 2007, 1770, 467–477. [Google Scholar] [CrossRef]
- Liu, W.X.; Liu, Y.T.; Fan, H.Y.; Liu, M.; Han, J.; An, Y.F.; Dong, Y.; Sun, B. Design, Synthesis, and biological evaluation of dual-target COX-2/ CYP51 inhibitors for the treatment of fungal infectious diseases. J. Med. Chem. 2022, 65, 12219–12239. [Google Scholar] [CrossRef]
- Han, G.Y.; Liu, N.; Li, C.L.; Tu, J.; Li, Z.; Sheng, C.Q. Discovery of novel fungal lanosterol 14a-demethylase (CYP51)/histone deacetylase dual inhibitors to treat azole-resistant Candidiasis. J. Med. Chem. 2020, 63, 5341–5359. [Google Scholar] [CrossRef]
- Emami, S.; Tavangar, P.; Keighobadi, M. An overview of azoles targeting sterol 14α-demethylase for antileishmanial therapy. Eur. J. Med. Chem. 2017, 135, 241–259. [Google Scholar] [CrossRef]
- De Vita, D.; Moraca, F.; Zamperini, C.; Pandolfi, F.; Di Santo, R.; Matheeussen, A.; Maes, L.; Tortorella, S.; Scipione, L. In vitro screening of 2-(1H-imidazol-1-yl)-1-phenylethanol derivatives as antiprotozoal agents and docking studies on Trypanosoma cruzi CYP51. Eur. J. Med. Chem. 2016, 113, 28–33. [Google Scholar] [CrossRef] [PubMed]
- Gowri, M.; Beaula, W.S.; Biswal, J.; Dhamodharan, P.; Saiharish, R.; Prasad, S.R.; Pitani, R.; Kandaswamy, D.; Raghunathan, R.; Jeyakanthan, J.; et al. β-Lactam substituted polycyclic fused pyrrolidine/pyrrolizidine derivatives eradicate C. albicans in an ex vivo human dentinal tubule model by inhibiting sterol 14-a demethylase and cAMP pathway. Biochim. Biophys. Acta Gen. Subj. 2016, 1860, 636–647. [Google Scholar] [CrossRef]
- Lepesheva, G.I.; Friggeri, L.; Waterman, M.R. CYP51 as drug targets for fungi and protozoan parasites: Past, present and future. Parasitology 2018, 145, 1820–1836. [Google Scholar] [CrossRef]
- Friggeri, L.; Hargrove, T.Y.; Rachakonda, G.; Williams, A.D.; Wawrzak, Z.; Di Santo, R.; De Vita, D.; Waterman, M.R.; Tortorella, S.; Villalta, F.; et al. Structural basis for rational design of inhibitors targeting Trypanosoma cruzi sterol 14α-demethylase: Two regions of the enzyme molecule potentiate its inhibition. J. Med. Chem. 2014, 57, 6704–6717. [Google Scholar] [CrossRef]
- Bellamine, A.; Lepesheva, G.I.; Waterman, M.R. Fluconazole binding and sterol demethylation in three CYP51 isoforms indicate differences in active site topology. J. Lipid Res. 2004, 45, 2000–2007. [Google Scholar] [CrossRef]
- Sharma, V.; Madia, V.N.; Tudino, V.; Nguyen, J.V.; Debnath, A.; Messore, A.; Ialongo, D.; Patacchini, E.; Palenca, I.; Basili Franzin, S.; et al. Miconazole-like scaffold is a promising lead for Naegleria fowleri-specific CYP51 Inhibitors. J. Med. Chem. 2023, 66, 17059–17073. [Google Scholar] [CrossRef]
- McCarty, K.D.; Sullivan, M.E.; Tateishi, Y.; Hargrove, T.Y.; Lepesheva, G.I.; Guengerich, F.P. Processive kinetics in the three-step lanosterol 14α-demethylation reaction catalyzed by human cytochrome P450 51A1. J. Biol. Chem. 2023, 299, 104841. [Google Scholar] [CrossRef] [PubMed]
- Fischer, R.T.; Trzaskos, J.M.; Magolda, R.L.; Ko, S.S.; Brosz, C.S.; Larsen, B. Lanosterol 14a-methyl demethylase: Isolation and characterization of the third metabolically generated oxidative demethylation intermediate. J. Biol. Chem. 1991, 266, 6124–6132. [Google Scholar] [CrossRef]
- Sen, K.; Hackett, J.C. Molecular oxygen activation and proton transfer mechanisms in lanosterol 14α-demethylase catalysis. J. Phys. Chem. B 2009, 113, 8170–8182. [Google Scholar] [CrossRef] [PubMed]
- Sen, K.; Hackett, J.C. Peroxo-iron mediated deformylation in sterol 14α-demethylase catalysis. J. Am. Chem. Soc. 2010, 132, 10293–10305. [Google Scholar] [CrossRef]
- Hargrove, T.Y.; Wawrzak, Z.; Guengerich, F.P.; Lepesheva, G.I. A requirement for an active proton delivery network supports a Compound I-mediated C–C bond cleavage in CYP51 catalysis. J. Biol. Chem. 2020, 295, 9998–10007. [Google Scholar] [CrossRef] [PubMed]
- Kalita, S.; Shaik, S.; Dubey, K.D. Mechanistic conundrum of C-C bond cleavage by CYP51. ACS Catal. 2022, 12, 5673–5683. [Google Scholar] [CrossRef]
- Shyadehi, A.Z.; Lamb, D.C.; Kelly, S.L.; Kelly, D.E.; Schunck, W.H.; Wright, J.N.; Corina, D.; Akhtar, M. Mechanism of the acyl-carbon bond cleavage reaction catalyzed by recombinant sterol 14α-demethylase of Candida albicans (other names are: Lanosterol 14a-demethylase, P-45014DM, and CYP51). J. Biol. Chem. 1996, 271, 12445–12450. [Google Scholar] [CrossRef] [PubMed]
- Furst, M.; Gran-Scheuch, A.; Aalbers, F.S.; Fraaije, M.W. Baeyer-Villiger monooxygenases: Tunable oxidative biocatalysts. ACS Catal. 2019, 9, 11207–11241. [Google Scholar] [CrossRef]
- Chanique, A.M.; Polidori, N.; Sovic, L.; Kracher, D.; Assil-Companioni, L.; Galuska, P.; Parra, L.P.; Gruber, K.; Kourist, R. A cold-active flavin-dependent monooxygenase from Janthinobacterium svalbardensis unlocks applications of Baeyer-Villiger monooxygenases at low temperature. ACS Catal. 2023, 13, 3549–3562. [Google Scholar] [CrossRef] [PubMed]
- Matsumoto, K.; Hasegawa, T.; Ohara, K.; Kamei, T.; Koyanagi, J.; Akimoto, M. Role of human flavin-containing monooxygenase (FMO) 5 in the metabolism of nabumetone: Baeyer-Villiger oxidation in the activation of the intermediate metabolite, 3-hydroxy nabumetone, to the active metabolite, 6-methoxy-2-naphthylacetic acid in vitro. Xenobiotica 2020, 51, 155–166. [Google Scholar] [CrossRef]
- Fiorentini, F.; Romero, E.; Fraaije, M.W.; Faber, K.; Hall, M.; Mattevi, A. Baeyer-Villiger monooxygenase FMO5 as entry point in drug metabolism. ACS Chem. Biol. 2017, 12, 2379–2387. [Google Scholar] [CrossRef]
- Lai, W.G.; Farah, N.; Moniz, G.A.; Wong, Y.N. A Baeyer-Villiger oxidation specifically catalyzed by human flavin-containing monooxygenase 5. Drug Metab. Dispos. 2011, 39, 61–70. [Google Scholar] [CrossRef] [PubMed]
- van der Werf, M.J. Purification and characterization of a Baeyer-Villiger mono-oxygenase from Rhodococcus erythropoplis DCL14 involved in three different monocyclic monoterpene degradation pathways. Biochem. J. 2000, 347, 693–701. [Google Scholar] [CrossRef]
- Churchman, L.R.; Salisbury, L.J.; De Voss, J.J. Synthesis of obtusifoliol and analogues as CYP51 substrates. Org. Biomol. Chem. 2022, 20, 7316–7324. [Google Scholar] [CrossRef]
- Lepesheva, G.I.; Nes, W.D.; Zhou, W.; Hill, G.C.; Waterman, M.R. CYP51 from Trypanosoma brucei is obtusifoliol-specific. Biochemistry 2004, 43, 10789–10799. [Google Scholar] [CrossRef] [PubMed]
- Guengerich, F.P. Common and uncommon cytochrome P450 reactions related to metabolism and chemical toxicity. Chem. Res. Toxicol. 2001, 14, 611–650. [Google Scholar] [CrossRef] [PubMed]
- Rendic, S.; Guengerich, F.P. Survey of human oxidoreductases and cytochrome P450 enzymes involved in the metabolism of xenobiotic and natural chemicals. Chem. Res. Toxicol. 2015, 28, 38–42. [Google Scholar] [CrossRef]
- Guengerich, F.P.; Isin, E.M. Unusual metabolic reactions and pathways. In Handbook of Metabolic Pathways of Xenobiotics; Lee, P., Aizawa, H., Gau, L., Prakash, C., Zhong, D., Eds.; John Wiley & Sons: Chichester, UK, 2014; Volume 1, pp. 147–197. [Google Scholar]
- Garrett, W.M.; Hoover, D.J.; Shackleton, C.H.; Anderson, L.D. Androgen metabolism by porcine granulosa cells during the process of luteinization in vitro: Identification of 19-oic-androstenedione as a major metabolite and possible precursor for the formation of C18 neutral steroids. Endocrinology 1991, 129, 2941–2950. [Google Scholar] [CrossRef] [PubMed]
- Kem, D.C.; Tang, K.; Hanson, C.S.; Brown, R.D.; Painton, R.; Weinberger, M.H.; Hollifield, J.W. The prediction of anatomical morphology of primary aldosteronism using serum 18-hydroxycorticosterone levels. J. Clin. Endocrinol. Metab. 1985, 60, 67–73. [Google Scholar] [CrossRef] [PubMed]
- Oelkers, W.; Boelke, T.; Bähr, V. Dose-response relationships between plasma adrenocorticotropin (ACTH), cortisol, aldosterone, and 18-hydroxycorticosterone after injection of ACTH-(1-39) or human corticotropin-releasing hormone in man. J. Clin. Endocrinol. Metab. 1988, 66, 181–186. [Google Scholar] [CrossRef] [PubMed]
- Sivaramakrishnan, S.; Ouellet, H.; Matsumura, H.; Guan, S.; Moenne-Loccoz, P.; Burlingame, A.L.; Ortiz de Montellano, P.R. Proximal ligand electron donation and reactivity of the cytochrome P450 ferric-peroxo anion. J. Am. Chem. Soc. 2012, 134, 6673–6684. [Google Scholar] [CrossRef]
- Ouellet, H.; Guan, S.; Johnston, J.B.; Chow, E.D.; Kells, P.M.; Burlingame, A.L.; Cox, J.S.; Podust, L.M.; Ortiz de Montellano, P.R. Mycobacterium tuberculosis CYP125A1, a steroid C27 monooxygenase that detoxifies intracellularly generated cholest-4-en-3-one. Mol. Microbiol. 2010, 77, 730–742. [Google Scholar] [CrossRef]
Disclaimer/Publisher’s Note: The statements, opinions and data contained in all publications are solely those of the individual author(s) and contributor(s) and not of MDPI and/or the editor(s). MDPI and/or the editor(s) disclaim responsibility for any injury to people or property resulting from any ideas, methods, instructions or products referred to in the content. |
© 2024 by the authors. Licensee MDPI, Basel, Switzerland. This article is an open access article distributed under the terms and conditions of the Creative Commons Attribution (CC BY) license (https://creativecommons.org/licenses/by/4.0/).









































