Plasma Levels of Pentraxin 3: A Potential Prognostic Biomarker in Urinary Bladder Cancer Patients
Abstract
1. Introduction
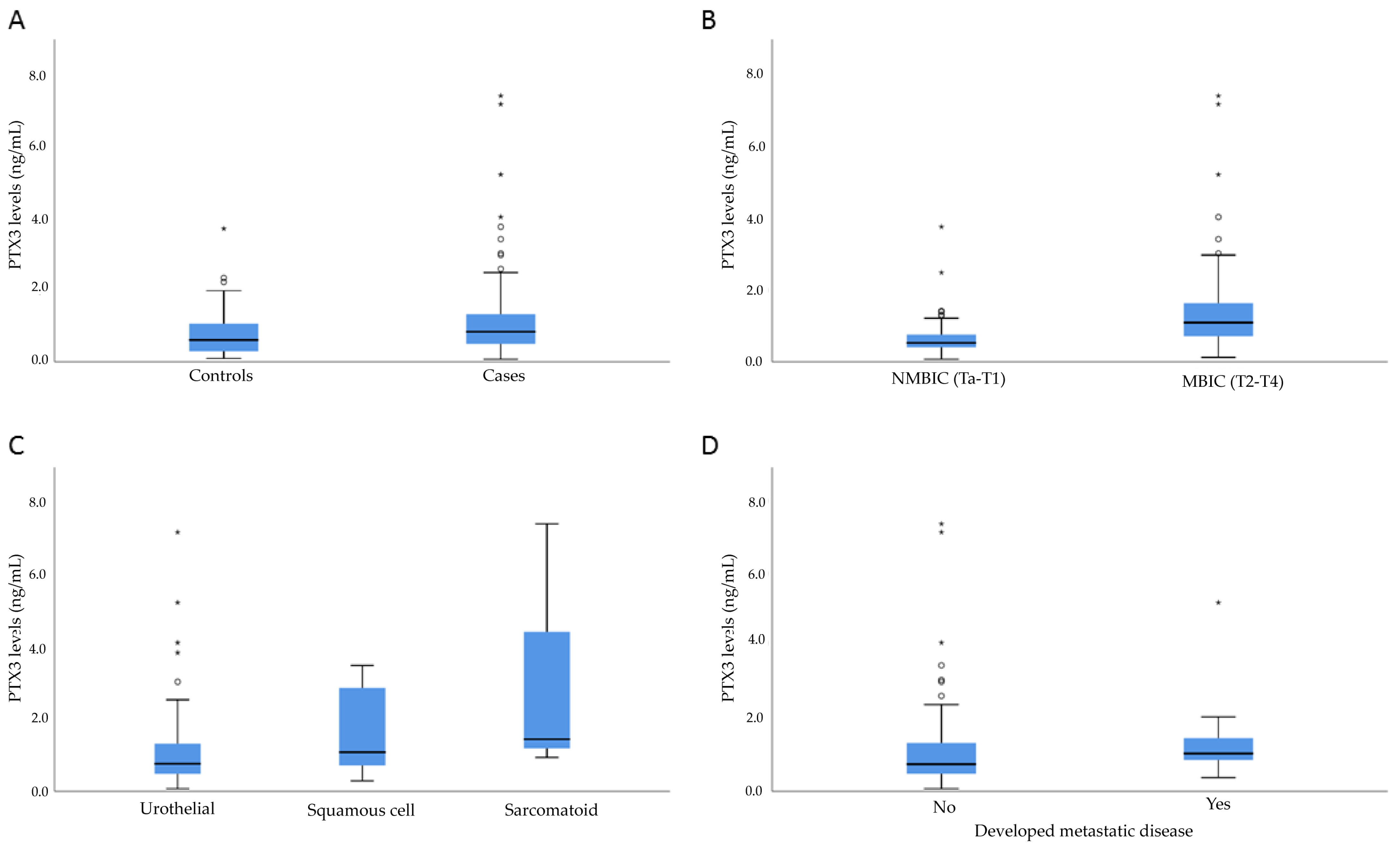
2. Results
PTX3 and Clinical Variables
3. Discussion
4. Materials and Methods
4.1. Study Subjects
4.2. PTX3 Measurement
4.3. Statistical Analyses
5. Conclusions
Supplementary Materials
Author Contributions
Funding
Institutional Review Board Statement
Informed Consent Statement
Data Availability Statement
Conflicts of Interest
References
- Dy, G.W.; Gore, J.L.; Forouzanfar, M.H.; Naghavi, M.; Fitzmaurice, C. Global Burden of Urologic Cancers, 1990–2013. Eur. Urol. 2017, 71, 437–446. [Google Scholar] [CrossRef] [PubMed]
- Antoni, S.; Ferlay, J.; Soerjomataram, I.; Znaor, A.; Jemal, A.; Bray, F. Bladder Cancer Incidence and Mortality: A Global Overview and Recent Trends. Eur. Urol. 2017, 71, 96–108. [Google Scholar] [CrossRef] [PubMed]
- Maase, H.v.d.; Sengelov, L.; Roberts, J.T.; Ricci, S.; Dogliotti, L.; Oliver, T.; Moore, M.J.; Zimmermann, A.; Arning, M. Long-Term Survival Results of a Randomized Trial Comparing Gemcitabine Plus Cisplatin, with Methotrexate, Vinblastine, Doxorubicin, Plus Cisplatin in Patients with Bladder Cancer. J. Clin. Oncol. 2005, 23, 4602–4608. [Google Scholar] [CrossRef] [PubMed]
- Yeung, C.; Dinh, T.; Lee, J.J.P. The Health Economics of Bladder Cancer: An Updated Review of the Published Literature. Pharmacoeconomics 2014, 32, 1093–1104. [Google Scholar] [CrossRef] [PubMed]
- Malmström, P.-U.; Gårdmark, T.; Sherif, A.; Ströck, V.; Hosseini-Aliabad, A.; Jahnson, S.; Aljabery, F.; Liedberg, F. Incidence, survival and mortality trends of bladder cancer in Sweden 1997–2016. Scand. J. Urol. 2019, 53, 193–199. [Google Scholar] [CrossRef]
- Russo, P.; Marino, F.; Rossi, F.; Bizzarri, F.P.; Ragonese, M.; Dibitetto, F.; Filomena, G.B.; Marafon, D.P.; Ciccarese, C.; Iacovelli, R.; et al. Is Systemic Immune-Inflammation Index a Real Non-Invasive Biomarker to Predict Oncological Outcomes in Patients Eligible for Radical Cystectomy? Medicina 2023, 59, 2063. [Google Scholar] [CrossRef]
- Zhang, X.; Liu, Q. Systemic Immune Inflammation Index and T-Staging Predict Prognosis in Patients with Muscle-Invasive Bladder Cancer. Arch. Esp. Urol. 2023, 76, 511–518. [Google Scholar] [CrossRef]
- Lee, J.; Yoo, S.; Choo, M.S.; Cho, M.C.; Son, H.; Jeong, H. Prognostic Role of Preoperative Neutrophil-To-Lymphocyte Ratio (NLR) and Recurrence at First Evaluation after Bacillus Calmette-Guerin (BCG) Induction in Non-Muscle-Invasive Bladder Cancer. Diagnostics 2023, 13, 3114. [Google Scholar] [CrossRef]
- Nardelli, C.; Aveta, A.; Pandolfo, S.D.; Tripodi, L.; Russo, F.; Imbimbo, C.; Castaldo, G.; Pastore, L. Microbiome Profiling in Bladder Cancer Patients Using the First-morning Urine Sample. Eur. Urol. Open Sci. 2024, 59, 18–26. [Google Scholar] [CrossRef]
- Agrawal, A.; Singh, P.P.; Bottazzi, B.; Garlanda, C.; Mantovani, A. Pattern recognition by pentraxins. Adv. Exp. Med. Biol. 2009, 653, 98–116. [Google Scholar] [CrossRef]
- Garlanda, C.; Bottazzi, B.; Bastone, A.; Mantovani, A. Pentraxins at the Crossroads between Innate Immunity, Inflammation, Matrix Deposition, and Female Fertility. Annu. Rev. Immunol. 2005, 23, 337–366. [Google Scholar] [CrossRef] [PubMed]
- Garlanda, C.; Bottazzi, B.; Magrini, E.; Inforzato, A.; Mantovani, A. PTX3, a Humoral Pattern Recognition Molecule, in Innate Immunity, Tissue Repair, and Cancer. Physiol. Rev. 2018, 98, 623–639. [Google Scholar] [CrossRef]
- Hu, F.Q.; Qiao, T.; Xie, X.; Hu, R.; Xiao, H.B. Knockdown of the inflammatory factor pentraxin-3 suppresses growth and invasion of lung adenocarcinoma through the AKT and NF-kappa B pathways. J. Biol. Regul. Homeost. Agents 2014, 28, 649–657. [Google Scholar] [PubMed]
- Infante, M.; Allavena, P.; Garlanda, C.; Nebuloni, M.; Morenghi, E.; Rahal, D.; Roncalli, M.; Cavuto, S.; Pesce, S.; Monari, M.; et al. Prognostic and diagnostic potential of local and circulating levels of pentraxin 3 in lung cancer patients. Int. J. Cancer 2016, 138, 983–991. [Google Scholar] [CrossRef] [PubMed]
- Deng, H.; Fan, X.; Wang, X.; Zeng, L.; Zhang, K.; Zhang, X.; Li, N.; Han, Q.; Lv, Y.; Liu, Z. Serum pentraxin 3 as a biomarker of hepatocellular carcinoma in chronic hepatitis B virus infection. Sci. Rep. 2020, 10, 20276. [Google Scholar] [CrossRef]
- Liu, B.; Zhao, Y.; Guo, L. Increased serum pentraxin-3 level predicts poor prognosis in patients with colorectal cancer after curative surgery, a cohort study. Medicine 2018, 97, e11780. [Google Scholar] [CrossRef]
- Goodison, S.; Chang, M.; Dai, Y.; Urquidi, V.; Rosser, C.J. A multi-analyte assay for the non-invasive detection of bladder cancer. PLoS ONE 2012, 7, e47469. [Google Scholar] [CrossRef] [PubMed]
- Urquidi, V.; Goodison, S.; Ross, S.; Chang, M.; Dai, Y.; Rosser, C.J. Diagnostic Potential of Urinary α1-Antitrypsin and Apolipoprotein E in the Detection of Bladder Cancer. J. Urol. 2012, 188, 2377–2383. [Google Scholar] [CrossRef]
- Matarazzo, S.; Melocchi, L.; Rezzola, S.; Grillo, E.; Maccarinelli, F.; Giacomini, A.; Turati, M.; Taranto, S.; Zammataro, L.; Cerasuolo, M.; et al. Long Pentraxin-3 Follows and Modulates Bladder Cancer Progression. Cancers 2019, 11, 1277. [Google Scholar] [CrossRef]
- Netti, G.S.; Lucarelli, G.; Spadaccino, F.; Castellano, G.; Gigante, M.; Divella, C.; Rocchetti, M.T.; Rascio, F.; Mancini, V.; Stallone, G.; et al. PTX3 modulates the immunoflogosis in tumor microenvironment and is a prognostic factor for patients with clear cell renal cell carcinoma. Aging 2020, 12, 7585–7602. [Google Scholar] [CrossRef]
- Di Caro, G.; Carvello, M.; Pesce, S.; Erreni, M.; Marchesi, F.; Todoric, J.; Sacchi, M.; Montorsi, M.; Allavena, P.; Spinelli, A. Circulating Inflammatory Mediators as Potential Prognostic Markers of Human Colorectal Cancer. PLoS ONE 2016, 11, e0148186. [Google Scholar] [CrossRef]
- Locatelli, M.; Ferrero, S.; Martinelli Boneschi, F.; Boiocchi, L.; Zavanone, M.; Maria Gaini, S.; Bello, L.; Valentino, S.; Barbati, E.; Nebuloni, M.; et al. The long pentraxin PTX3 as a correlate of cancer-related inflammation and prognosis of malignancy in gliomas. J. Neuroimmunol. 2013, 260, 99–106. [Google Scholar] [CrossRef] [PubMed]
- Diamandis, E.P.; Goodglick, L.; Planque, C.; Thornquist, M.D. Pentraxin-3 Is a Novel Biomarker of Lung Carcinoma. J. Clin. Cancer Res. 2011, 17, 2395–2399. [Google Scholar] [CrossRef] [PubMed]
- Liu, Y.; Bui, M.M.; Xu, B. Urothelial Carcinoma with Squamous Differentiation is Associated with High Tumor Stage and Pelvic Lymph-Node Metastasis. Cancer Control 2017, 24, 78–82. [Google Scholar] [CrossRef] [PubMed]
- Black, P.C.; Brown, G.A.; Dinney, C.P.N. Clinical and therapeutic significance of aberrant differentiation patterns in bladder cancer. Expert. Rev. Anticancer Ther. 2007, 7, 1015–1026. [Google Scholar] [CrossRef] [PubMed]
- Cumberbatch, M.G.K.; Jubber, I.; Black, P.C.; Esperto, F.; Figueroa, J.D.; Kamat, A.M.; Kiemeney, L.; Lotan, Y.; Pang, K.; Silverman, D.T.; et al. Epidemiology of Bladder Cancer: A Systematic Review and Contemporary Update of Risk Factors in 2018. Eur. Urol. 2018, 74, 784–795. [Google Scholar] [CrossRef] [PubMed]
- Häggström, C.; Liedberg, F.; Hagberg, O.; Aljabery, F.; Ströck, V.; Hosseini, A.; Gårdmark, T.; Sherif, A.; Malmström, P.-U.; Garmo, H.; et al. Cohort profile: The Swedish National Register of Urinary Bladder Cancer (SNRUBC) and the Bladder Cancer Data Base Sweden (BladderBaSe). J. BMJ Open 2017, 7, e016606. [Google Scholar] [CrossRef]

| Controls (n = 50) | BC (n = 118) | p | |
|---|---|---|---|
| Age, median (IQR) | 68.5 (18.1) | 74.6 (8.3) | 0.001 |
| Gender, n (%) | 0.007 | ||
| Men | 27 (54) | 89 (75.4) | |
| Women | 23 (46) | 29 (24.6) | |
| BMI, median (IQR) | 25.1 (6.7) | 25.9 (4.7) | 0.852 |
| Smoking, n (%) | 0.006 | ||
| Yes | 5 (10.0) | 21 (17.8) | |
| No | 35 (70.0) | 51 (43.2) | |
| Former | 10 (20.0) | 46 (39.0) |
| BC (n = 118) | PTX3 (ng/mL) Median (IQR) | p | |
|---|---|---|---|
| Invasiveness, n (%) | <0.001 | ||
| NMIBC | 50 (42.4) | 0.52 (0.39) | |
| MIBC | 68 (57.6) | 1.08 (0.95) | |
| Metastatic disease, n (%) | 0.009 | ||
| No | 90 (81.8) | 0.73 (0.84) | |
| Developed metastatic disease * | 16 (14.5) | 1.02 (0.72) | |
| Primary metastatic disease | 4 (3.6) | 1.35 (5.13) | |
| Missing | 8 | ||
| Tumour grade, n (%) | 0.123 | ||
| Grade 1 | 13 (12.0) | 0.47 (0.38) | |
| Grade 2 | 25 (23.1) | 0.81 (0.91) | |
| Grade 3 | 70 (64.8) | 0.87 (0.81) | |
| Missing (CIS) | 10 | ||
| Tumor grade, n (%) | 0.071 | ||
| Low grade | 22 (20.4) | 0.51 (0.87) | |
| High grade | 86 (79.6) | 0.87 (0.83) | |
| Missing (CIS) | 10 | ||
| Histological subtype, n (%) | 0.053 | ||
| Urothelial carcinoma | 103 (87.3) | 0.74 (0.81) | |
| UC with squamous cell features | 12 (10.2) | 1.05 (2.28) | |
| UC with sarcomatoid features | 3 (2.5) | 1.4 (-) |
Disclaimer/Publisher’s Note: The statements, opinions and data contained in all publications are solely those of the individual author(s) and contributor(s) and not of MDPI and/or the editor(s). MDPI and/or the editor(s) disclaim responsibility for any injury to people or property resulting from any ideas, methods, instructions or products referred to in the content. |
© 2024 by the authors. Licensee MDPI, Basel, Switzerland. This article is an open access article distributed under the terms and conditions of the Creative Commons Attribution (CC BY) license (https://creativecommons.org/licenses/by/4.0/).
Share and Cite
Vikerfors, A.; Davidsson, S.; Carlsson, J.; Jerlström, T. Plasma Levels of Pentraxin 3: A Potential Prognostic Biomarker in Urinary Bladder Cancer Patients. Int. J. Mol. Sci. 2024, 25, 3473. https://doi.org/10.3390/ijms25063473
Vikerfors A, Davidsson S, Carlsson J, Jerlström T. Plasma Levels of Pentraxin 3: A Potential Prognostic Biomarker in Urinary Bladder Cancer Patients. International Journal of Molecular Sciences. 2024; 25(6):3473. https://doi.org/10.3390/ijms25063473
Chicago/Turabian StyleVikerfors, Anders, Sabina Davidsson, Jessica Carlsson, and Tomas Jerlström. 2024. "Plasma Levels of Pentraxin 3: A Potential Prognostic Biomarker in Urinary Bladder Cancer Patients" International Journal of Molecular Sciences 25, no. 6: 3473. https://doi.org/10.3390/ijms25063473
APA StyleVikerfors, A., Davidsson, S., Carlsson, J., & Jerlström, T. (2024). Plasma Levels of Pentraxin 3: A Potential Prognostic Biomarker in Urinary Bladder Cancer Patients. International Journal of Molecular Sciences, 25(6), 3473. https://doi.org/10.3390/ijms25063473

