Intramolecular Hydrogen Bonds Assisted Construction of Planar Tricyclic Structures for Insensitive and Highly Thermostable Energetic Materials
Abstract
1. Introduction
2. Results and Discussion
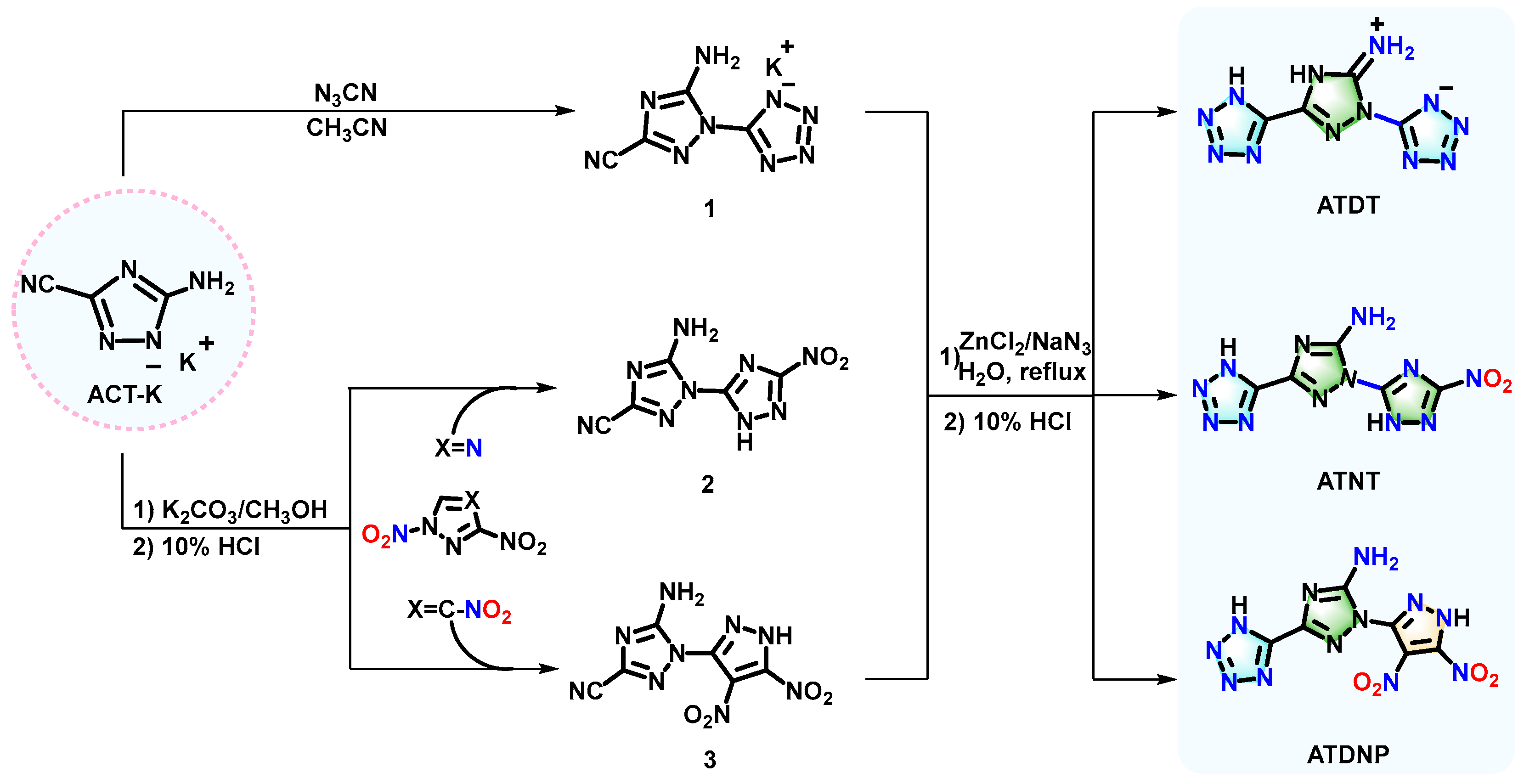
2.1. Synthesis
2.2. Single Crystal X-ray Structure Analysis
2.3. Physicochemical and Energetic Properties
| Comp | Tm a (°C) | Td b (°C) | d c (g cm−3) | ∆Hf d (kJ mol−1/kJ/g) | vD e (m s−1) | P f (GPa) | IS g (J) | FS h (N) |
|---|---|---|---|---|---|---|---|---|
| ATDT | 229.8 | 264.4 | 1.761 | 928.59/(4.22) | 8485 | 26.2 | >60 | 360 |
| ATNT | - | 361.1 | 1.836 | 772.01/(2.92) | 8375 | 26.8 | >60 | 360 |
| ATDNP | - | 317.0 | 1.857 | 786.45/(2.55) | 8502 | 29.3 | >60 | 360 |
| RDX i | - | 204 | 1.80 | 74.8/(0.25) | 8762 | 33.6 | 7.4 | 120 |
| TATB j | - | 350 | 1.93 | −139.7/(−0.54) | 8179 | 30.5 | 50 | 360 |
| HNS k | - | 318 | 1.75 | −78.2/(−0.17) | 7612 | 24.3 | 5 | 240 |
2.4. Theoretical Calculation Analysis
3. Materials and Methods
3.1. General Methods
3.2. Synthetic Procedures
4. Conclusions
Supplementary Materials
Author Contributions
Funding
Institutional Review Board Statement
Informed Consent Statement
Data Availability Statement
Conflicts of Interest
References
- Dippold, A.A.; Klapötke, T.M. A Study of Dinitro-bis-1,2,4-triazole-1,1′-diol and Derivatives: Design of High-Performance Insensitive Energetic Materials by the Introduction of N-Oxides. J. Am. Chem. Soc. 2013, 135, 9931–9938. [Google Scholar] [CrossRef] [PubMed]
- Zhang, J.; Feng, Y.; Bo, Y.; Staples, B.J.; Zhang, J.; Shreeve, J.M. One Step Closer to an Ideal Insensitive Energetic Molecule: 3,5-Diamino-6-hydroxy-2-oxide-4-nitropyrimidone and its Derivatives. J. Am. Chem. Soc. 2021, 143, 12665–12674. [Google Scholar] [CrossRef] [PubMed]
- Yin, P.; Shreeve, J.M. Nitrogen-Rich Azoles as High Density Energy Materials: Reviewing the Energetic Footprints of Heterocycles. Adv. Heterocycl. Chem. 2017, 121, 88–131. [Google Scholar]
- Chavez, D.E.; Hiskey, M.A.; Gilardi, R.D. 3′3-Azobis (6-amino-1,2,4,5-tetrazine): A Novel High-Nitrogen Energetic Material. Angew. Chem. Int. Ed. 2000, 39, 1705–1865. [Google Scholar] [CrossRef]
- Pagoria, P.F.; Lee, G.S.; Mitchell, A.R.; Schmidt, R.D. A review of energetic materials synthesis. Thermochim. Acta 2002, 384, 187–204. [Google Scholar] [CrossRef]
- Talawar, M.B.; Sivabalan, R.; Mukundan, T.; Muthurajan, H.; Sikder, A.K.; Gandhe, B.R.A. Subhananda Rao, Environmentally compatible next generation green energetic materials (GEMs). J. Hazard. Mater. 2009, 161, 589–607. [Google Scholar] [CrossRef] [PubMed]
- Klapötke, T.M.; Preimesser, A.; Stierstorfer, J. Synthesis and energetic properties of 4-diazo-2,6-dinitrophenol and 6-diazo-3-hydroxy-2,4-dinitropheno. Eur. J. Org. Chem. 2015, 20, 4311–4315. [Google Scholar] [CrossRef]
- Yin, P.; Zhang, Q.; Shreeve, J.M. Dancing with energetic nitrogen atoms: Versatile N functionalization strategies for N-heterocyclic frameworks in high energy density materials. Acc. Chem. Res. 2016, 49, 4–16. [Google Scholar] [CrossRef]
- Chen, D.; Yang, H.; Yi, Z.; Xiong, H.; Zhang, L.; Zhu, S.; Cheng, G. C8N26H4: An environmentally friendly primary explosive with high heat of formation. Angew. Chem. Int. Ed. 2018, 57, 2081–2084. [Google Scholar] [CrossRef]
- Wang, Z.; Lai, Q.; Ding, N.; Yin, P.; Pang, S.; Shreeve, J.M. Construction of zwitterionic 3D hydrogen-bonded networks: Exploring the upper-limit of thermal stability in ternary CHN-based energetic materials. Chem. Eng. J. 2023, 474, 145512. [Google Scholar] [CrossRef]
- Tang, J.; Yang, H.; Cui, Y.; Cheng, G. Nitrogen-rich tricyclic-based energetic materials. Mater. Chem. Front. 2021, 5, 7108. [Google Scholar] [CrossRef]
- Feng, Y.; Deng, M.; Song, S.; Chen, S.; Zhang, Q.; Shreeve, J.M. Construction of an Unusual Two-Dimensional Layered Structure for Fused-Ring Energetic Materials with High Energy and Good Stability. Engineering 2020, 6, 1006–1012. [Google Scholar] [CrossRef]
- Liu, Y.; Li, J.; Zhang, X.; He, C.; Pang, S. Multi-energetic group synergy driven design and synthesis of [1,2,4] triazolo[5,1-c] [1,2,4] triazinefused energetic compounds. Mater. Chem. Front. 2023, 7, 1046. [Google Scholar] [CrossRef]
- Yan, T.; Ma, J.; Yang, H.; Cheng, G. Introduction of energetic bis-1,2,4-triazoles bridges: A strategy towards advanced heat resistant explosives. Chem. Eng. J. 2022, 429, 132416. [Google Scholar] [CrossRef]
- Yan, T.; Yang, H.; Yi, Y.; Zhu, S.; Cheng, G. An advanced and applicable heat-resistant explosive through controllable regiochemical modulation. J. Mater. Chem. A 2020, 8, 23857–23865. [Google Scholar] [CrossRef]
- Li, C.; Zhu, T.; Lei, C.; Cheng, G.; Xiao, C.; Yang, H. Construction of p-nitro pyrazolenitropyrazole-1,3,4-triazole framework energetic compounds: Towards a series of high-performance heat-resistant explosives. J. Mater. Chem. A 2023, 11, 12043. [Google Scholar] [CrossRef]
- Dong, Y.; Li, M.; Cheng, G.; Huang, W.; Liu, Y.; Xiao, C.; Tang, Y. Achieving heat-resistant energetic compounds via silver-catalyzed one-pot cycloaddition of ethyl 2-isocyanoacetate and nitrogen-rich diazonium. J. Mater. Chem. A 2023, 11, 25992. [Google Scholar] [CrossRef]
- Ma, J.; Chinnam, A.K.; Cheng, G.; Yang, H.; Zhang, J.; Shreeve, J.M. 1,3,4-Oxadiazole Bridges: A Strategy to Improve Energetics at the Molecular Level. Angew. Chem. Int. Ed. 2021, 60, 5497–5504. [Google Scholar] [CrossRef] [PubMed]
- Yan, T.; Yang, C.; Cheng, G.; Yang, H. Intramolecular integration of multiple heterocyclic skeletons for energetic materials with enhanced energy & safety. Chem. Eng. J. 2022, 428, 131400. [Google Scholar]
- Yan, T.; Cheng, G.; Yang, H. 1,2,4-Oxadiazole-Bridged Polynitropyrazole Energetic Materials with Enhanced Thermal Stability and Low Sensitivity. ChemPlusChem. 2019, 84, 1567–1577. [Google Scholar] [CrossRef]
- Tang, Y.; Huang, W.; Chinnam, A.K.; Singh, J.; Staples, R.J.; Shreeve, J.M. Energetic Tricyclic Polynitropyrazole and Its Salts: Proton-Locking Effect of Guanidium Cations. Inorg. Chem. 2021; 60, 8339–8345. [Google Scholar]
- Türker, L.; Variş, S. A Review of Polycyclic Aromatic Energetic Matreials. Polycycl. Aromat. Compd. 2009, 29, 228–266. [Google Scholar] [CrossRef]
- Balaraju, M.; Kommu, N.; Vangara, S.; Sahoo, A.K.; Thaltiri, V.; Sahoo, A.K. Synthetic manifestation of trinitro-pyrazolo-2H1,2,3-triazoles (TNPT) as insensitive energetic materials. Chem. Commun. 2024, 60, 827. [Google Scholar] [CrossRef] [PubMed]
- Larin, A.A.; Degtyarev, D.D.; Ananyev, I.V.; Pivkina, A.N.; Fershtat, L.L. Linear furoxan assemblies incorporating nitrobifuroxan scaffold: En route to new high-performance energetic materials. Chem. Eng. J. 2023, 470, 14414. [Google Scholar] [CrossRef]
- Zhu, T.; Lei, C.; Li, C.; Yang, H.; Xiao, C.; Cheng, G. Preparation of novel heat-resistant and insensitive fused ring energetic materials. J. Mater. Chem. A 2023, 11, 25992. [Google Scholar] [CrossRef]
- Yadav, A.K.; Kumar, N.; Ghule, V.D.; Dharavath, S. Synthesis of Advanced Pyrazole and N−N-Bridged Bistriazole-Based Secondary High-Energy Materials. Org. Lett. 2023, 25, 8606–8610. [Google Scholar] [CrossRef] [PubMed]
- Bu, R.; Xiong, Y.; Zhang, C. π−π Stacking Contributing to the Low or Reduced Impact Sensitivity of Energetic Materials. Cryst. Growth Des. 2020, 20, 2824–2841. [Google Scholar] [CrossRef]
- Ojeda, O.U.; Çağın, T. Hydrogen Bonding and Molecular Rearrangement in 1,3,5-Triamino-2,4,6-trinitrobenzene under Compression. J. Phys. Chem. B 2011, 115, 12085–12093. [Google Scholar] [CrossRef]
- Dippold, A.A.; Klapötke, T.M. Synthesis and Characterization of 5-(1,2,4-Triazol-3-yl) tetrazoles with Various Energetic Functionalities. Chem. Asian J. 2013, 8, 1463–1471. [Google Scholar] [CrossRef]
- Chen, S.; Zhang, W.; Wang, Y.; Zhang, Q. [1,2,4] Triazolo[4,3-b] pyridazine as a building block towards low-sensitivity high-energy materials. Chem. Eng. J. 2021, 421, 129635. [Google Scholar] [CrossRef]
- Frisch, M.J.; Trucks, G.W.; Schlegel, H.B.; Scuseria, G.E.; Robb, M.A.; Cheeseman, J.R.; Scalmani, G.; Barone, V.; Petersson, G.A.; Nakatsuji, H.; et al. Gaussian 09, (Revision E.01); Gaussian, Inc.: Wallingford, CT, USA, 2009.
- Suceska, M. EXPLO5, (Version 6.05); OZM Research s.r.o: Pardubice, Czech Republic, 2018.
- United Nations. ST/SG/AC.10/11, UN Recommendations on the Transport of Dangerous Goods, Manual of Tests and Criteria; 7th rev.; United Nations: New York, NY, USA; Geneva, Switzerland, 2019. [Google Scholar]
- Ding, N.; Sun, Q.; Xu, X.; Li, Y.; Zhao, C.; Li, S.; Pang, S. Can a heavy trinitromethyl group always result in a higher density? Chem. Commun. 2023, 59, 1939. [Google Scholar] [CrossRef]
- Wang, H.; Liu, Y.; Liu, Q.; Kang, Y.; Yuan, M.; An, M.; Gao, H.; Zhang, Q.; Wang, Y. Hydrogen bonding distribution and its effect on sensitivity of planar tricyclic polyazole energetic materials. Chem. Eng. J. 2022, 433, 134479. [Google Scholar] [CrossRef]
- Zeng, Z.; Liu, Y.; Cheng, G.; Huang, W.; Wei, H.; Shreeve, J.M.; Tang, Y. Nitrogen-centered radical reaction leading to energetic materials: A mild and efficient access to N-N bridged compounds. J. Mater. Chem. A 2021, 9, 134480. [Google Scholar] [CrossRef]
- Lu, T.; Chen, Q. Interaction Region Indicator (IRI): A Very Simple Real Space Function Clearly Revealing Both Chemical Bonds and Weak Interactions. ChemRxiv 2021, 1, 231–239. [Google Scholar]
- Ding, L.; Wang, P.; Lin, Q.; Li, D.; Xu, Y.; Lu, M. Synthesis, characterization and properties of amphoteric heat-resistant explosive materials: Fused [1,2,5] oxadiazolo [3′,4′:5,6] pyrido[4,3-d] [1,2,3] triazines. Chem. Eng. J. 2022, 432, 134293. [Google Scholar] [CrossRef]
- Li, S.; Bu, R.; Gou, R.; Zhang, C. Hirshfeld Surface Method and Its Application in Energetic Crystals. Cryst. Growth Des. 2021, 21, 6619–6634. [Google Scholar] [CrossRef]
- Strömberg, A.; Gropen, O.; Wahlgren, U. Gaussian basis sets for the fourth-row main group elements. In–Xe. J. Comput. Chem. 1983, 4, 181–186. [Google Scholar] [CrossRef]
- Glukhovtsev, M.N.; Pross, A.; McGrath, M.P.; Radom, L. Extension of Gaussian-2 (G2) theory to bromine- and iodine-containing molecules: Use of effective core potentials. J. Chem. Phys. 1995, 103, 1878–1885. [Google Scholar] [CrossRef]
- Westwell, M.S.; Searle, M.S.; Wales, D.J.; Williams, D.H. Empirical Correlations between Thermodynamic Properties and Intermolecular Forces. J. Am. Chem. Soc. 1995, 117, 5013–5015. [Google Scholar] [CrossRef]






Disclaimer/Publisher’s Note: The statements, opinions and data contained in all publications are solely those of the individual author(s) and contributor(s) and not of MDPI and/or the editor(s). MDPI and/or the editor(s) disclaim responsibility for any injury to people or property resulting from any ideas, methods, instructions or products referred to in the content. |
© 2024 by the authors. Licensee MDPI, Basel, Switzerland. This article is an open access article distributed under the terms and conditions of the Creative Commons Attribution (CC BY) license (https://creativecommons.org/licenses/by/4.0/).
Share and Cite
Liu, Y.; Li, J.; Cai, J.; Zhang, X.; Hu, L.; Pang, S.; He, C. Intramolecular Hydrogen Bonds Assisted Construction of Planar Tricyclic Structures for Insensitive and Highly Thermostable Energetic Materials. Int. J. Mol. Sci. 2024, 25, 3910. https://doi.org/10.3390/ijms25073910
Liu Y, Li J, Cai J, Zhang X, Hu L, Pang S, He C. Intramolecular Hydrogen Bonds Assisted Construction of Planar Tricyclic Structures for Insensitive and Highly Thermostable Energetic Materials. International Journal of Molecular Sciences. 2024; 25(7):3910. https://doi.org/10.3390/ijms25073910
Chicago/Turabian StyleLiu, Yubing, Jie Li, Jinxiong Cai, Xun Zhang, Lu Hu, Siping Pang, and Chunlin He. 2024. "Intramolecular Hydrogen Bonds Assisted Construction of Planar Tricyclic Structures for Insensitive and Highly Thermostable Energetic Materials" International Journal of Molecular Sciences 25, no. 7: 3910. https://doi.org/10.3390/ijms25073910
APA StyleLiu, Y., Li, J., Cai, J., Zhang, X., Hu, L., Pang, S., & He, C. (2024). Intramolecular Hydrogen Bonds Assisted Construction of Planar Tricyclic Structures for Insensitive and Highly Thermostable Energetic Materials. International Journal of Molecular Sciences, 25(7), 3910. https://doi.org/10.3390/ijms25073910
