Abstract
Meloidogyne hapla is one of the most important nematode pathogens. It is a sedentary, biotrophic parasite of plants that overwinters in the soil or in diseased roots. The development of M. hapla is temperature dependent. Numerous studies have been performed on the effect of temperature on the development of M. hapla, but only a few of them analyzed the heat shock protein (hsp) genes. The aim of the study was to perform expression profiling of eight hsp genes (Mh-hsp90, Mh-hsp1, Mh-hsp4, Mh-hsp6, Mh-hsp60, Mh-dnj19, Mh-hsp43, and Mh-hsp12.2) at two development stages of M. hapla, i.e., in eggs and second-stage juveniles (J2). The eggs and J2 were incubated under cold stress (5 °C), heat stress (35 °C, 40 °C), and non-stress (10 °C, 20 °C, and 30 °C) conditions. Expression profiling was performed by qPCR. It was demonstrated that only two genes, Mh-hsp60 and Mh-dnj19, have been upregulated by heat and cold stress at both development stages. Heat stress upregulated the expression of more hsp genes than cold stress did. The level of upregulation of most hsp genes was more marked in J2 than in eggs. The obtained results suggest that the Mh-hsp90 and Mh-hsp1 genes can be used as bioindicators of environmental impacts on nematodes of the Meloidogyne genus.
1. Introduction
Meloidogyne hapla Chitwood, 1949 (northern root-knot nematode) is one of the most important nematode pathogens. It is a sedentary, biotrophic parasite of plants and it overwinters in the soil or in diseased roots. M. hapla occurs in cold regions of crop production where the mean temperature is −15 °C in the coldest month and approximately 27 °C in the warmest month [1]. The amount of yield loss varies according to the host status, agronomic practices, and environmental conditions. Meloidogyne spp. are poikilothermic animals, which is why soil temperature impacts on the rate of development and hence the number of generations that the nematode will complete in a cropping cycle, as well as the rate of population growth and, consequently, the crop yield losses [2].
Temperature acclimation is an adaptive response of organisms to low or high temperature that increases their capacity to tolerate freezing or heating. Numerous studies indicate that heat shock protein (Hsp proteins) play an important role in the process of nematode adaptation to the environment [3,4,5]. To date, the heat shock genes (hsp genes) and the Hsp proteins they encode have been best studied and described in the free-living bacterivorous nematode Caenorhabditis elegans (Maupas, 1900). Studies have shown that the expression of hsp genes influences the lifespan of C. elegans [6,7,8]. It has also been shown that hsp genes in C. elegans are induced in response to various stressors, such as oxidative stress [9,10,11], electromagnetic field [12,13,14], immunological stress [15,16,17], or toxic chemical compounds [18,19,20]. However, thermal stress is one of the stress factors most often used in experiments aimed at activating hsp genes in C. elegans [21,22,23].
Research on hsp genes was also carried out on nematodes parasitizing plants belonging to the genus Meloidogyne. Studies of the hsp genes in this group of nematodes have so far focused mainly on the hsp90 gene and the Hsp90 protein encoded by this gene [24,25,26]. Based on the study results, it was also found that the hsp90 gene of Meloidogyne artiellia Franklin, 1961 is homologous to the daf-21 gene in C. elegans [24]. The influence of temperature on the expression of the hsp90 gene in M. artiellia and M. incognita was also studied [24,25]. Studies on the Mh-hsp90 gene as well as the Mh-hsp1, Mh-hsp60, Mh-hsp43, and Mh-hsp12.3 genes in M. hapla showed an increase in the expression of this gene as a result of the effect of the diffusate derived from Vicia sativa L. seeds [27]. The influence of stress-inducing temperatures and organic compounds on the expression of the hsp90 gene was also studied in M. hapla [28]. The genome of M. hapla is the smallest among the genomes of multicellular animals examined so far [29]. A sequenced genome opens the possibility of identifying hsp genes and studying their response to environmental stressors. The results of such research would complement the current knowledge about the life processes of M. hapla and, more broadly, nematodes of the Meloidogyne genus.
This article presents an original study of the effect of different temperatures and incubation times on the expression of selected hsp genes in eggs and second-stage juveniles (J2) of northern root-knot nematode.
2. Results
2.1. Identification of hsp Genes in the Meloidogyne hapla Genome
Hsp genes (Table 1) were identified by BLASTn search of genomic M. hapla (PRJNA29083–VW9) sequence against C. elegans (PRJNA13758) at WormBase ParaSite (version WS285) [30].
Table 1.
Meloidogyne hapla genes homologous to Caenorhabditis elegans hsp genes.
The applicable primers located on different exons of the Mh-hsp4, Mh-hsp6, Mh-dnj19, and Mh-hsp12.2 genes (Table S1) were designed based on the hsp gene sequences found.
2.2. Expression Profiling of hsp Genes
Depending on the incubation time used, temperatures of 30 °C, 35 °C, and 40 °C were lethal for J2. When exposed to 40 °C, all J2 had died after 336 h of incubation. Individuals exposed to 35 °C were dead after 1008 h of incubation, whereas those exposed to 30 °C were dead after 1344 h of incubation. The variants of the experiments presented above, in which J2 died, were not used for further research, i.e., J2 that died as a result of being incubated in the above temperature and time combinations were not included in the hsp gene expression studies.
The influence of stress (5 °C—cold stress, 35 °C and 40 °C—heat stress) and non-stress temperatures (normal conditions) (10 °C, 20 °C—control temperature, 30 °C) on the expression of eight hsp genes in eggs and J2 of M. hapla was investigated. Expression profiling of hsp genes showed the association of their expression level with the M. hapla developmental stage, temperature, and incubation time.
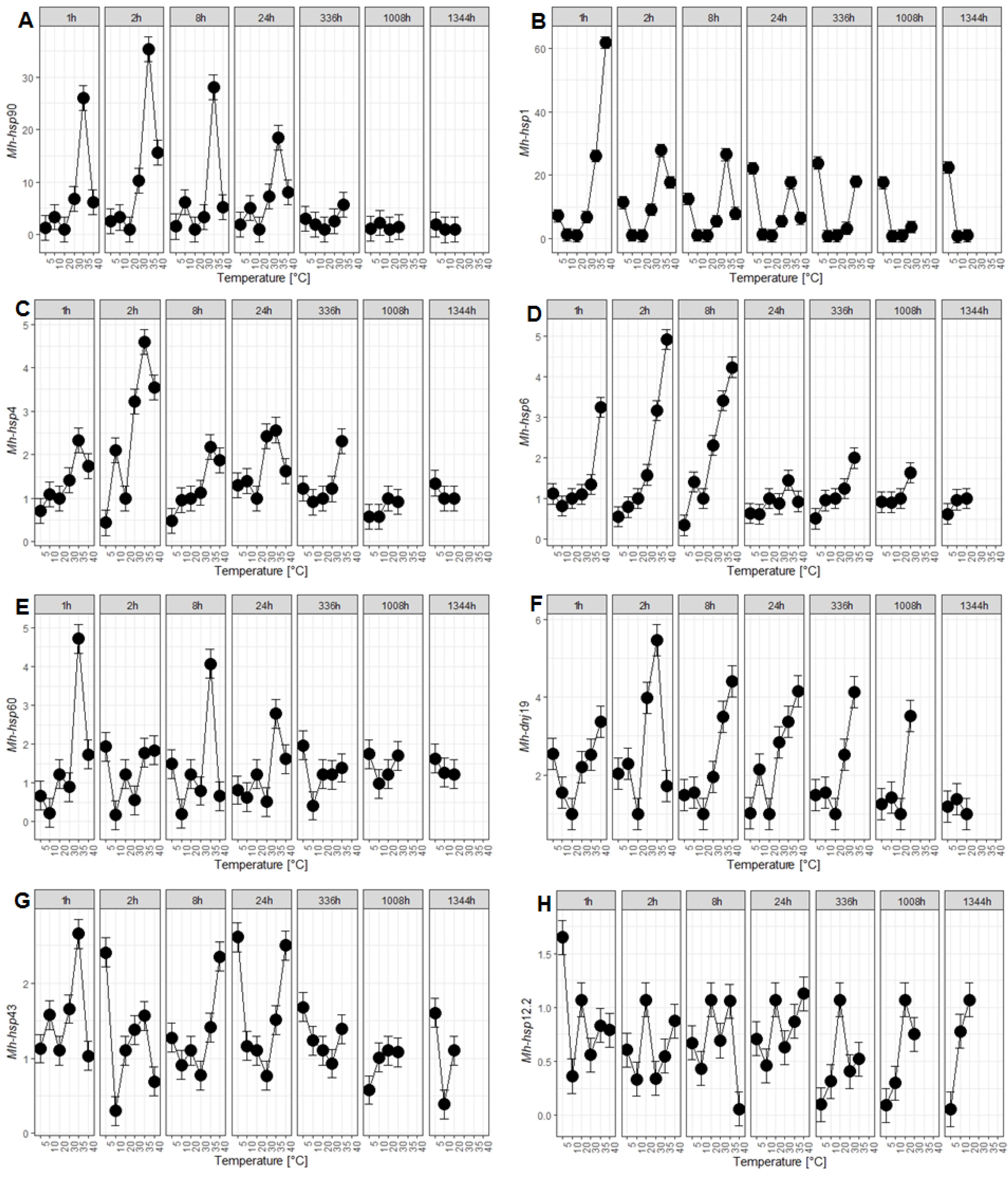
In both stages, an increase in the transcription level of all hsp genes was observed in response to heat stress, with the exception of the Mh-hsp12.2 gene in J2. Only two genes, Mh-hsp60 and Mh-dnj19, in both developmental stages upregulated their expression in response to heat and cold stress. As a result of cold stress, an increase in the expression of the Mh-hsp60, Mh-dnj19, and Mh-hsp12.2 genes was observed in both investigated developmental stages (Figure 1E,F,H and Figure 2E,F,H, respectively). The strongest response to heat and cold stress was observed in the Mh-hsp1 gene in J2 (Figure 2B). The second highest increase in the expression level as a result of heat stress was observed in the Mh-hsp90 gene in J2 (Figure 2A). It was also demonstrated that the Mh-hsp90, Mh-hsp4, and Mh-hsp6 genes did not respond to cold stress in both stages of M. hapla development (Figure 1A,C,D and Figure 2A,C,D). For the remaining genes, i.e., Mh-hsp1 and Mh-hsp43, an increase in expression caused by cold stress was found only in J2 (Figure 2B,G) (Table 2). In the conducted studies, differences in expression levels of hsp genes between the analysed developmental stages were also observed. In most of the analysed hsp genes (except for the Mh-hsp43 and Mh-hsp12.2 genes), higher expression levels were observed in J2 than in eggs.
Figure 1.
Expression profiling of hsp genes in the Meloidogyne hapla at the developmental stage of the egg: (A) Mh-hsp90, (B) Mh-hsp1, (C) Mh-hsp4, (D) Mh-hsp6, (E) Mh-hsp60, (F) Mh-dnj19, (G) Mh-hsp43, (H) Mh-hsp12.2 after 1, 2, 8 and 24 h of incubation time at the indicated temperature. Control temperature was 20 °C. Average effects (marginal means) estimated for the best model identified in the model selection are presented. The dot indicates the value of the estimate, the whiskers indicate the 95% confidence interval of this estimate.
Figure 2.
Expression profiling of hsp genes in the Meloidogyne hapla at second-stage juveniles: (A) Mh-hsp90, (B) Mh-hsp1, (C) Mh-hsp4, (D) Mh-hsp6, (E) Mh-hsp60, (F) Mh-dnj19, (G) Mh-hsp43, (H) Mh-hsp12.2 after 1, 2, 8 and 24 h of incubation time at the indicated temperature. Control temperature—20 °C. Average effects (marginal means) estimated for the best model identified in the model selection are presented. The dot indicates the value of the estimate, the whiskers indicate the 95% confidence interval of this estimate.
Table 2.
Increased expression level (+) or lack of response (−) of heat shock genes to heat and cold stress in eggs and in J2 of Meloidogyne hapla.
2.3. Response of hsp Genes to Heat Stress
In eggs under heat stress, Mh-hsp1, Mh-hsp6, Mh-hsp43, and Mh-hsp12.2 genes were observed to respond after the shortest time of exposure (Figure 1B,D,G,H, respectively). The most effective temperature was 35 °C. Their expression reached the highest level after 1 h treatment and had increased from 1.7 (Mh-hsp12.2), 3.2 (Mh-hsp43), and 3.3 (Mh-hsp6) to 4.4 (Mh-hsp1) fold. Expression of Mh-hsp4 and Mh-hsp90 reached the highest level (2.0-fold and 4.96-fold increasing, respectively) after 2 h of heat stress treatment (Figure 1C,A, respectively). The expression of the Mh-hsp60 and Mh-dnj19 genes also increased, but to a lesser extent, reaching the maximum level after 24 h at 40 °C and after 8 h at 35 °C, respectively (Figure 2E,F).
Changes in the expression level of hsp genes in J2 were much more marked than in eggs. The highest (61.8-fold) and fastest (1 h of treatment) response to heat stress was found for Mh-hsp1 at 40 °C (Figure 2B). The response displayed by this gene to heat stress in J2 was over 14-fold stronger than was its response in eggs. This gene stood out from the other hsp genes in that its expression remained consistently high throughout the experiment. The fast (1 h) upregulation of gene expression by heat stress was also detected for Mh-hsp60 (Figure 2E) and Mh-hsp43 (Figure 2G) genes, but their expression levels were significantly lower (4.7-fold for Mh-hsp60 and 2.7-fold for Mh-hp43, correspondingly). Other genes, i.e., Mh-hsp90, Mh-hsp4, Mh-hsp6, and Mh-dnj19, required a longer (2 h) exposure to heat stress treatment to reach the maximum expression levels (35.3-fold for Mh-hsp90, 4.6-fold for Mh-hsp4, 4.9 fold for Mh-hsp6, and 5.5 fold for Mh-dnj19 (Figure 2A,C,D,F, respectively). Mh-hsp90 was also one of the genes whose expression increased the most in J2 (8-fold) compared to its expression level in eggs. The response of Mh-hsp43 and Mh-hsp60 to heat stress was biphasic. The highest expression level of Mh-hsp60 was detected after 1 h and 8 h of heat stress treatment (Figure 2E). Mh-hsp43 responded similarly to heat stress, but the expression of this gene after the long-term (8 and 24 h) treatment occurred not at 35 °C, but at 40 °C (Figure 2G).
2.4. Response of hsp Genes to Cold Stress
The effect of cold stress (5 °C) on the expression levels of hsp genes was more moderate than the effect of heat stress. In eggs, cold stress increased expression of only three (Mh-hsp60, Mh-dnj19, and Mh-hsp12.2; Figure 1E,F,H, respectively) from eight analyzed genes. Their expression increased from 1.4 fold for Mh-hsp12.2 and 1.8 fold for Mh-dnj19 to the highest level (1.9 fold) for the Mh-hsp60 gene.
Mh-hsp1, Mh-hsp60, Mh-dnj19, Mh-hsp43, and Mh-hsp12.2 genes responded to cold stress in J2. The highest level of expression among all investigated hsp genes was observed in the Mh-hsp1 gene (23.9 fold after 336 h incubation). The expression level of this gene remained consistently high throughout the entire experiment, just as it did in the case of heat stress (Figure 2B). Apart from the Mh-hsp1 gene, the only gene whose expression increase was observed after several incubation periods was the Mh-hsp43 gene. An increase in the expression of this gene was observed after 2 h (2.4 fold), 24 h (2.6 fold), 336 h (1.7 fold), and 1344 h (1.6 fold) (Figure 2G). In the Mh-dnj19 gene, a biphasic increase in expression was observed after 1 h (2.5 fold) and 2 h (2.0 fold) (Figure 2F). For the Mh-hsp60 (Figure 2E) and Mh-hsp12.2 (Figure 2H) genes, a single increase in expression was observed after 2 h (1.9 fold) and 1 h (1.7 fold) of incubation, respectively.
3. Discussion
As a result of the imposition of a stress factor (biotic or abiotic), metabolic changes occur in the cells. The cell’s response to stressful stimuli includes, among others, an increase in the expression of heat shock genes, and then the synthesis of heat shock proteins also called chaperones [31].
For M. hapla, only four hsp genes have been described [27]. In this work, we extended the annotation of the M. hapla genome and further identified four orthologs based on the C. elegans hsp gene sequences: Mh-hsp4, Mh-hsp6, Mh-dnj19, and Mh-hsp12.2 (Table 1).
According to the literature, the exposure to temperatures of 5 °C (cold stress) [32,33,34], 35 °C, and 40 °C (heat stress) [35,36,37] significantly inhibited the development of this nematode. In order to demonstrate the temperature effects on hsp gene expression, the individuals exposed to normal conditions (10 °C, 20 °C—control and 30 °C) [35,38] were also covered in the gene expression profiling exercise.
Among all analysed hsp genes, the highest increase in expression caused by heat and cold stress was observed in J2 in the Mh-hsp1 gene (Figure 2B), but only by heat stress in the Mh-hsp90 gene (Figure 2A). The Hsp90 and Hsp70 proteins encoded by these genes are the main chaperones in the cytosol of eukaryotic cells. They perform an important role in protein quality control by preventing the aggregation of proteins, catalysing the folding of newly synthesized proteins and promoting the degradation of denatured ones [39]. The very high increase in the expression of these genes observed in the study confirms their protective function in J2 stage of M. hapla against thermal stress. Both in the research presented in this paper and in that conducted by De Luca on M. artiellia [24], Bai on M. incognita [25], and Wu on M. hapla [28], it was established that the expression of the hsp90 gene was always significantly higher at temperatures causing heat stress in the studied developmental stages of Meloidogyne. A significant increase in the expression of this gene was observed not only during thermal stress but also during stress caused by heavy metals or inorganic compounds [24,25,27,28]. A clear increase in the expression of the hsp90 gene as a result of various environmental stressors suggests that this gene can be used as a potential bioindicator of the environmental impact on nematodes belonging to the genus Meloidogyne [25,28].
Among the examined hsp genes, the strongest expression upregulation is displayed by the Mh-hsp1 gene in J2 under heat and cold stress (Figure 2B). The obtained results are in line with data obtained in studies of cyst forming nematodes of the genus Globodera, G. rostochiensis and G. pallida, where the influence of temperature on the expression level of this gene was demonstrated [40,41]. Heat stress upregulated hsp1 expression in these three species of nematodes. In G. pallida, the expression of hsp1 was upregulated not only by heat but also by cold stress [42]. Studies have shown that Hsp70 proteins perform a decisive role in acquiring thermotolerance, i.e., the cell’s resistance to high, often lethal, temperatures. The cells that are persistently resistant to thermal stress display consistently high levels of Hsp proteins [43]. Moreover, it was found that in C. elegans the number of hsp70A gene (hsp1 synonym) transcripts increases several times in response to heat shock and is primarily responsible for the increased thermotolerance of this species [44,45]. In M. hapla, the Mh-hsp1 gene is likely also responsible for acquiring thermotolerance in J2. Research on this gene in C. elegans has also proven its significant role in the early development of the juvenile stage and the regulation of the lifespan of this nematode [46,47,48]. It has also been shown that over expression of hsp1 leads to impaired motility of C. elegans [49].
Heat stress was found to increase the expression of the Mh-hsp4 (Figure 1C and Figure 2C) and Mh-hsp6 genes (Figure 1D and Figure 2D) in eggs and in J2 of M. hapla. The obtained results are consistent with those obtained on C. elegans, indicating that heat stress increases expression of hsp4 [50,51,52,53] and hsp6 genes [54,55,56]; however, the expression of these genes does not increase under cold stress [53].
The expression of the Mh-hsp60 gene in eggs and in J2 increased as a result of heat stress; however, under cold stress, it was the case only in eggs. (Figure 1E and Figure 2E). Experiments conducted on C. elegans and Plectus acuminatus regarding the increase in hsp60 gene expression as a result of heat stress confirm the results obtained in this study [57,58,59]. However, there are no comparative studies on the effect of cold stress on the expression of the hsp60 gene in C. elegans and other nematodes. The obtained results regarding the increase in the expression of the Mh-hsp60 gene in both developmental stages of M. hapla during cold stress necessitate additional experiments to more precisely examine the response of this gene to low stress temperatures.
The expression of the Mh-dnj19 gene displayed an increase in the expression of this gene in eggs and J2 of M. hapla exposed to heat and cold stress (Figure 1F and Figure 2F). The only research on the dnj19 gene was carried out on C. elegans, where an increase in the expression of this gene was observed during heat stress [60].
An increase in the expression of the Mh-hsp43 gene was demonstrated in M. hapla eggs in response to heat stress, whereas in J2 it was the case in response to heat and cold stress (Figure 1G and Figure 2G). Similar studies were conducted on C. elegans. Studies performed on this model organism showed an increase in hsp43 gene expression as a result of incubation at 37 °C for 2.5 h [61]. Studies on the nematode Bursaphelenchus xylophilus showed an increase in the expression of the hsp43 gene during a 4-h incubation at 30 °C compared to the expression of this gene examined in nematodes incubated at 20 °C [62]. The experiments described above confirm the research results obtained in this study regarding the increase in Mh-hsp43 gene expression during heat stress in both developmental stages of M. hapla.
Analysis of the Mh-hsp12.2 gene showed an increase in its expression as a result of heat stress and cold stress in eggs, whereas in J2 it was the case for cold stress only (Figure 1H and Figure 2H). The obtained results are consistent with those obtained in C. elegans, where an increase in the expression of this gene in eggs was demonstrated under the influence of heat stress [63]. However, Douglas did not observe an increase in the expression of this gene in mature C. elegans (wild strain N2) under heat stress [64]. Other studies have shown a slight increase in the expression of the hsp12.2 gene in the L3 stage of C. elegans under cold stress and no expression of this gene under heat stress [65].
The expression of hsp genes measured under the same conditions of temperature and incubation time differed between the examined developmental stages of M. hapla. In almost all hsp genes (except Mh-hsp43 and Mh-hsp12.2), higher expression levels were always observed in J2 as compared to the expression of these genes in eggs. This is consistent with results obtained on M. artiella. The expression of the hsp90 gene at 5 °C was higher in eggs compared to the expression of this gene in J2. However, the expression of this gene at 30 °C was higher in J2 than in eggs [24]. Studies on M. incognita showed that under normal conditions, the constitutive expression of the hsp90 gene was higher in eggs than in J2 [66]. Studies of the daf21 (hsp90) and hsp12.2 genes in C. elegans showed their diverse constitutive expression in each of the examined developmental stages of this nematode [65]. Perhaps the developmental stages examined in this study also show differences in the constitutive expression of hsp genes, while incubation of both stages at stress-inducing temperatures deepens these differences. Another reason for the lower expression of hsp genes in M. hapla eggs may be that it is less sensitive to abiotic environmental factors, including heat and cold stress. Vrain [67] showed that eggs and first-stage juveniles (J1) developing inside the egg are less sensitive to low temperatures than are J2. The eggshell, consisting of three layers, an outer vitelline, a middle chitin, and an inner lipid layer, probably forms an insulating protective barrier not only physically but also thermally [68]. Moreover, eggs are laid by the female into a gelatinous matrix, creating the egg mass. This gelatinous matrix holds the eggs together and protects them from extreme environmental conditions, including extreme temperatures [69].
The highest expression levels of the analysed hsp genes were most often observed after 1, 2, 8, and 24 h of incubation at a stress temperature. After that period, their expression decreased, especially in J2. This is in line with the results obtained for C. elegans, where changes in expression of the dnj12, dnj19, and dnj13 genes in 10-day old nematodes after heat stress were found to be much less marked than in 4-day nematodes [60]. In 1-day old C. elegans, the expression of the hsp70, hsp16.2, and hsp16.11 genes after heat stress was much higher than in 4- and 7-day old nematodes [70]. The reason for the decrease in expression levels of the studied genes may be attributable to damage to proteins associated with the aging of cells at the tested J2 individuals of M. hapla, as misfolding and the loss of functions of various proteins sensitive to temperature [70] were observed in C. elegans as a result of the aging of this organism.
The results of this study, as well as those of Bai [25] and Dobosz [27], suggest that Mh-hsp1 and Mh-hsp90 genes could be used as bioindicators to reflect the impact of the environmental impact more fully of root-knot nematodes. An interesting research aspect would also be to undertake research on the silencing of the expression of these two genes, Mh-hsp90 and Mh-hsp1, whose expression, as a result of heat stress, reached the highest levels in the presented research. This would provide scope and ample opportunity to learn the functions of these genes in M. hapla.
4. Materials and Methods
4.1. Meloidogyne hapla Culture
The individuals of M. hapla were harvested from the roots of carrots (Daucus carota L.) and morphologically and genetically identified in accordance with Karssen’s and Petersen and Vrain’s diagnostic protocols [71,72]. The nematodes were cultured on tomato plants (Solanum lycopersicum L., Moneymaker variety). Tomato plants were placed in phytotron chambers where they were grown in temperature conditions 20 °C/18 °C (day/night) and a 16/8 h photoperiod (day/night) until they developed from four to five full proper leaves. The seedlings were subsequently repotted to receptacles filled with soil (1:1 gravel and soil for the production of vegetables), which contained J2 of M. hapla, at a density of 50 individuals per 200 cm3 of the soil. After 60 days, the roots of the tomato plants were gently removed from the soil and rinsed with water. Egg masses (containing nematodes in the developmental stage of the egg) were mechanically obtained from the cleaned roots and placed in the water in Petri dishes (3.5 cm in diameter, 1 cm in height). Using a stereoscopic microscope (Leica M205 C), egg masses were segregated, and the stage of their development was assessed based on size and colour. Egg masses at an early stage of development are smaller, whitish, and contain eggs at the stage of embryonic development leading to the creation of the first-stage juveniles (J1). Mature egg masses are larger, brownish, and contain eggs at various stages of embryo development, as well as J1s and J2s ready to leave the eggs [24,73,74]. Only white egg masses were chosen for the egg stage tests. J2 individuals were obtained from all egg masses, both more or less mature. For this purpose, the egg masses were incubated in water in Petri dishes at the optimal temperature of 20 °C until J2 emerged from the eggshells [32].
4.2. Heat and Cold Stress
The study was performed in three repetitions according to the modified methodology of De Luca [24]. Separately, one egg mass (egg stage) and 200 J2 (up to 24 h from hatching) were placed in a Petri dish each (3.5 cm in diameter, 1 cm in height) in distilled water (4 mL). Petri dishes, thus prepared, were incubated at the appropriate temperature for 1, 2, 8, and 24 h; J2 were additionally incubated for 336, 1008, and 1344 h at stress temperatures and in non-stress temperatures (normal conditions). The stress temperatures that significantly limited the development of northern root-knot nematode were found to be 5 °C, causing cold stress [32,33,34], and 35 °C and 40 °C, causing heat stress [35,36,37]. The temperature range from 10 °C to 30 °C constitutes normal conditions as the ontogenesis of this nematode species unfolds at these temperatures, progressing at the lowest rate at 10 °C and at the highest rate at 30 °C. [35,38]. The control temperature adopted throughout the duration of the experiment was 20 °C, the optimum temperature for development of M. hapla [36,75] (Figure 3).
Figure 3.
Incubation temperatures selected for the experiments (O–optimum temperature/control) (according to [32,33,36,67]).
The exposure of the nematodes at the mentioned temperatures was carried out in the incubator (Shaking incubator, NB-205V). After this exposure, the mortality of J2 was checked using a light microscope. Dead J2 were not used for tests. Then, both developmental stages of the nematodes were immediately transferred to Eppendorf tubes and preserved with phenosol (RNA preservative reagent by A&A Biotechnology RNA) and frozen at −80 °C, until the extraction of total RNA was obtained. RNA extraction, cDNA synthesis, primer design, and quantitative polymerase chain reaction (qPCR) were performed according to the methodology described in the publication by Dobosz [27].
4.3. Data Analyses
The values obtained for three independent tested samples were compared with the values calculated for control samples. For this purpose, the t-Student test was used [76]. The obtained data were modeled using generalized linear models (GLM) with a Gaussian (normal) error distribution [77]. All calculations were performed in the R computing environment [78]. The leading predictors in all models were temperature and incubation time, which were treated as categorical variables (factors). The reference level was 20 °C and the incubation time was 1 h. The model that was most suitable for the data was selected using model selection procedure, in which the fit of the models was assessed based on information theory criteria. In addition, packages from the “tidyverse” library were also used for calculations and visualization of results.
5. Conclusions
Thus far, hsp gene expression profiling has not been performed in M. hapla. It has been demonstrated for the first time that genes Mh-hsp90, Mh-hsp1, Mh-hsp4, Mh-hsp6, Mh-hsp60, Mh-dnj19, Mh-hsp43, and Mh-hsp12.2 respond to stress temperatures differently in eggs and in J2 of M. hapla. Changes in the expression level of most hsp genes (in addition to the Mh-hsp43 and Mh-hsp12.2 genes) were found to be more marked in J2 than in eggs. This suggests that eggs are less sensitive to stress temperatures. The obtained results also suggest that Mh-hsp90 and Mh-hsp1 genes can be used as bioindicators of the environmental impact on nematodes belonging to the genus Meloidogyne. On the other hand, the Mh-hsp1 gene may be involved in acquiring thermotolerance by J2 of M. hapla.
Supplementary Materials
The following supporting information can be downloaded at: https://www.mdpi.com/article/10.3390/ijms25094867/s1.
Author Contributions
Conceptualization, Ł.F.; methodology, Ł.F., T.M., R.D.; software, Ł.F; formal analysis, ŁF; investigation, Ł.F.; resources, Ł.F., R.D.; data curation, Ł.F.; writing—original draft preparation, Ł.F.; writing—review and editing, Ł.F., T.M., R.D.; visualization, Ł.F., T.M., R.D.; supervision, Ł.F., T.M., R.D.; project administration, Ł.F.; funding acquisition, Ł.F. All authors have read and agreed to the published version of the manuscript.
Funding
This research was funded by Poland’s National Science Centre, grant type Preludium, grant number No. 2016/21/N/NZ9/03434 (Narodowe Centrum Nauki—NCN; ncn.gov.pl).
Institutional Review Board Statement
Not applicable.
Informed Consent Statement
Not applicable.
Data Availability Statement
Data is contained within the article or Supplementary Materials.
Acknowledgments
We thank Grażyna Winiszewska-Ślipińska, Przemysław Chylarecki, Marcin Wardal, and other anonymous reviewers for their constructive comments and suggestions, which have significantly improved the paper.
Conflicts of Interest
The authors declare no conflicts of interest.
References
- Wu, X.; Zhu, X.; Wang, Y.; Liu, X.; Chen, L.; Duan, Y. The cold tolerance of the northern root-knot nematode, Meloidogyne hapla. PLoS ONE 2018, 13, e0190531. [Google Scholar] [CrossRef] [PubMed]
- Giné, A.; López-Gómez, M.; Vela, M.D.; Ornat, C.; Talavera, M.; Verdejo-Lucas, S.; Sorribas, F.J. Thermal requirements and population dynamics of root-knot nematodes on cucumber and yield losses under protected cultivation. Plant Pathol. 2014, 63, 1446–1453. [Google Scholar] [CrossRef]
- Zhao, Y.L.; Wang, D.Y. Formation and regulation of adaptive response in nematode Caenorhabditis elegans. Oxid. Med. Cell. Longev. 2012, 2012, 564093. [Google Scholar] [CrossRef] [PubMed]
- Weinstein, D.J.; Allen, S.E.; Lau, M.C.Y.; Erasmus, M.; Asalone, K.C.; Walters-Conte, K.; Deikus, G.; Sebra, R.; Borgonie, G.; Van Heerden, E.; et al. The genome of a subterrestrial nematode reveals adaptations to heat. Nat. Commun. 2019, 10, 5268. [Google Scholar] [CrossRef] [PubMed]
- Fanelli, E.; Troccoli, A.; Tarasco, E.; De Luca, F. Molecular characterization and functional analysis of the Hb-hsp90-1 gene in relation to temperature changes in Heterorhabditis bacteriophora. Front. Physiol. 2021, 12, 615653. [Google Scholar] [CrossRef] [PubMed]
- Manière, X.; Krisko, A.; Pellay, F.X.; Di Meglio, J.M.; Hersend, P.; Matic, I. High transcript levels of heat-shock genes are associated with sorter lifespan of Caenorhabditis elegans. Exp. Gerontol. 2014, 60, 12–17. [Google Scholar] [CrossRef]
- Richter, K. daf-41/p23: A small protein heating up lifespan regulation. PLoS Genet. 2015, 11, e1005188. [Google Scholar] [CrossRef] [PubMed]
- Jiang, S.; Jiang, C.P.; Cao, P.; Liu, Y.H.; Gao, C.H.; Yi-Xi, X. Sonneradon a extends lifespan of Caenorhabditis elegans by modulating mitochondrial and IIS signaling pathways. Mar. Drugs 2022, 20, 59. [Google Scholar] [CrossRef] [PubMed]
- Li, W.H.; Shi, Y.C.; Chang, C.H.; Huang, C.W.; Liao, V.H.C. Selenite protects Caenorhabditis elegans from oxidative stress via DAF-16 and TRXR-1. Mol. Nutr. Food Res. 2014, 58, 863–874. [Google Scholar] [CrossRef]
- Chen, W.; Lin, H.R.; Wei, C.M.; Luo, X.H.; Sun, M.L.; Yang, Z.Z.; Chen, X.Y.; Wang, H.B. Echinacoside, a phenylethanoid glycoside from Cistanche deserticola, extends lifespan of Caenorhabditis elegans and protects from Ab-induced toxicity. Biogerontology 2018, 19, 47–65. [Google Scholar] [CrossRef]
- Govindan, S.; Amirthalingam, M.; Duraisamy, K.; Govindhan, T.; Sundararaj, N.; Palanisamy, S. Phytochemicals-induced hormesis protects Caenorhabditis elegans against α-synuclein protein aggregation and stress through modulating HSF-1 and SKN-1/Nrf2 signaling pathways. Biomed. Pharmacother. 2018, 102, 812–822. [Google Scholar] [CrossRef] [PubMed]
- Cranfield, C.G.; Dawe, A.; Karloukovski, V.; Dunin–Borkowski, R.E.; de Pomerai, D.; Dobson, J. Biogenic magnetite in the nematode Caenorhabditis elegans. Proc. R. Soc. Ser. B 2004, 271, S436–S439. [Google Scholar] [CrossRef]
- Huang, G.S.; Yeh, L.K.; Chen, Y.C. Nanoparticle-enhanced magnetic field induces apoptosis in nematodes. NSTI-Nanotech 2008, 2, 497–500. [Google Scholar]
- Dawe, A.S.; Nylund, R.; Leszczynski, D.; Kuster, N.; Reader, T.; De Pomerai, D.I. Continuous wave and simulated GSM exposure at 1.8 W/kg and 1.8 GHz do not induce hsp16-1 heat-shock gene expression in Caenorhabditis elegans. Bioelectromagnetics 2008, 29, 92–99. [Google Scholar] [CrossRef]
- Bolz, D.D.; Tenor, J.L.; Aballay, A. A conserved PMK-1/p38 MAPK is required in Caenorhabditis elegans tissue-specific immune response to Yersinia pestis infection. JBC 2010, 285, 10832–10840. [Google Scholar] [CrossRef]
- Prithika, U.; Deepa, V.; Balamurugan, K. External induction of heat shock stimulates the immune response and longevity of Caenorhabditis elegans towards pathogen exposure. Innate Immun. 2016, 22, 466–478. [Google Scholar] [CrossRef] [PubMed]
- Eckl, J.; Sima, S.; Marcus, K.; Lindemann, C.; Richter, K. Hsp90-downregulation influences the heat-shock response, innate immune response and onset of oocyte development in nematodes. PLoS ONE 2017, 12, e0186386. [Google Scholar] [CrossRef]
- Avila, D.S.; Benedetto, A.; Au, C.; Bornhorst, J.; Aschner, M. Involvement of heat shock proteins on Mn-induced toxicity in Caenorhabditis elegans. BMC Pharmacol. Toxicol. 2016, 17, 54. [Google Scholar] [CrossRef]
- Ezemaduka, A.N.; Wang, Y.; Li, X. Expression of CeHSP17 protein in response to heat shock and heavy metal ions. J. Nematol. 2017, 49, 334–340. [Google Scholar]
- Li, Y.; Guan, S.; Liu, C.; Chen, X.; Zhu, Y.; Xie, Y.; Wang, J.; Ji, X.; Li, L.; Li, Z.; et al. Neuroprotective effects of Coptis chinensis Franch polysaccharide on amyloid-beta (Aβ)-induced toxicity in a transgenic Caenorhabditis elegans model of Alzheimer’s disease (AD). Int. J. Biol. Macromol. 2018, 113, 991–995. [Google Scholar] [CrossRef]
- Huang, Y.; Sterken, M.G.; Van Zwet, K.; Van Sluijs, L.; Pijlman, G.P.; Kamanga, J.E. Heat stress reduces the susceptibility of Caenorhabditis elegans to orsay virus infection. Genes 2021, 12, 1161. [Google Scholar] [CrossRef] [PubMed]
- Pagliuso, D.C.; Bodas, D.M.; Pasquinelli, A.E. Recovery from heat shock requires themicroRNA pathway in Caenorhabditis elegans. PLoS Genet. 2021, 17, e1009734. [Google Scholar] [CrossRef] [PubMed]
- Zhang, Q.Y.; Ji, Y.T.; Wang, P.; Xie, H.; Kong, H.H.; Qu, C.Q. Paeoniflorin protects Caenorhabditis elegans from heat stress. Cur. Top. Nutraceutical Res. 2022, 20, 43–50. [Google Scholar] [CrossRef] [PubMed]
- De Luca, F.; Di Vito, M.; Fanelli, E.; Reyes, A.; Greco, N.; De Giorgi, C. Characterization of the heat shock protein 90 gene in the plant parasitic nematode Meloidogyne artiellia and its expression as related to different developmental stages and temperature. Gene 2009, 440, 16–22. [Google Scholar] [CrossRef] [PubMed]
- Bai, C.; Duan, Y.; Chen, L.; Liu, Y.; Zheng, Y.; Wang, Y.; Zhu, X. Gene cloning and gene expression of Hsp90 from Meloidogyne incognita under the temperature and heavy metal stress. Int. J. Agric. Biol. 2014, 16, 451–460. [Google Scholar]
- Kundu, A.; Dutta, A.; Mandal, A.; Negi, L.; Malik, M.; Puramchatwad, R.; Antil, J.; Singh, A.; Rao, U.; Saha, S.; et al. A comprehensive in vitro and in silico analysis of nematicidal action of essential oils. Front. Plant Sci. 2021, 11, 614143. [Google Scholar] [CrossRef] [PubMed]
- Dobosz, R.; Flis, Ł.; Bocianowski, J.; Malewski, T. Effect of Vicia sativa L. on motility, mortality and expression levels of hsp genes in J2 stage of Meloidogyne hapla. J. Nematol. 2023, 55, 1–17. [Google Scholar] [CrossRef] [PubMed]
- Wu, X.; Yu, H.; Yang, R.; Zhou, Y.; Zhu, X.; Wang, Y.; Liu, X.; Fan, H.; Chen, L.; Duan, Y. Evaluation of suitable reference genes for gene expression analysis in the northern root-knot nematode; Meloidogyne hapla. PLoS ONE 2019, 14, e0218610. [Google Scholar] [CrossRef] [PubMed]
- Opperman, C.H.; Bird, D.M.; Williamson, V.M.; Rokhsar, D.S.; Burke, M.; Cohn, J.; Cromer, J.; Diener, S.; Gajan, J.; Graham, S.; et al. Sequence and genetic map of Meloidogyne hapla: A compact nematode genome for plant parasitism. Proc. Natl. Acad. Sci. USA 2008, 105, 14802–14807. [Google Scholar] [CrossRef]
- WormBase ParaSite (version WS285). Available online: https://parasite.wormbase.org/index.html (accessed on 1 March 2022).
- Feder, M.E.; Hofmann, G.E. Heat-shock proteins, molecular chaperones, and the stress response: Evolutionary and ecological physiology. Annu. Rev. Physiol. 1999, 61, 243–282. [Google Scholar] [CrossRef]
- Vrain, T.C.; Barker, K.R. Influence of low temperature on development of Meloidogyne incognita and Meloidogyne hapla eggs in egg masses. J. Nematol. 1978, 10, 311–313. [Google Scholar] [PubMed]
- Charchar, J.M.; Santo, G.S. Effect of temperature on the embryogenic development and hatching of Meloidogyne chitwoodi races 1 and 2 and M. hapla. Nematol. Bras. 2001, 25, 71–77. [Google Scholar]
- Gulyas, L.; Powell, J.R. Cold shock induces a terminal investment reproductive response in C. elegans. Sci. Rep. 2022, 12, 1338. [Google Scholar] [CrossRef] [PubMed]
- Thomason, I.J.; Lear, B. Rate of reproduction of Meloidogyne spp. as influenced by soil temperature. Phytopathology 1961, 51, 520–524. [Google Scholar]
- Kinloch, R.A.; Allen, M.W. Interaction of Meloidogyne hapla and M. javanica infecting tomato. J. Nematol. 1972, 4, 7–16. [Google Scholar] [PubMed]
- Treinin, M.; Shliar, J.; Jiang, H.; Powell-Coffman, J.A.; Bromberg, Z.; Horowitz, M. HIF-1 is required for heat acclimation in the nematode Caenorhabditis elegans. Physiol. Genom. 2003, 14, 17–24. [Google Scholar] [CrossRef] [PubMed]
- Inserra, R.N.; Griffin, G.D.; Sisson, D.V. Effects of temperature and root leachates on embryogenic development and hatching of Meloidogyne chitwoodi and M. hapla. J. Nematol. 1983, 15, 123–127. [Google Scholar]
- Hartl, F.U.; Bracher, A.; Hayer-Hartl, M. Molecular chaperones in protein folding and proteostasis. Nature 2011, 475, 324–332. [Google Scholar] [CrossRef] [PubMed]
- den Akker, S.E.-V.; Laetsch, D.R.; Thorpe, P.; Lilley, J.C.; Danchin, E.G.J.; Da Rocha, M.; Rancurel, C.; Holroyd, N.E.; Cotton, J.A.; Szitenberg, A.; et al. The genome of the yellow potato cyst nematode, Globodera rostochiensis, reveals insights into the basis of parasitism and virulence. Genome Biol. 2016, 17, 124. [Google Scholar] [CrossRef]
- Jones, L.M.; Eves-Van den Akker, S.; Van-Oosten Hawle, P.; Atkinson, H.J.; Urwin, P.E. Duplication of hsp-110 is implicated in differential success of Globodera species under climate change. Mol. Biol. Evol. 2018, 35, 2401–2413. [Google Scholar] [CrossRef]
- Cymerys, J.; Niemiałtowski, M. Heat shock proteins—A molecular perpetual motion machine. Postępy Biol. Komórki 2004, 31, 332–339. (In Polish) [Google Scholar]
- Zhang, H.; Zhou, Q.; Yang, Y.; Chen, X.; Yan, B.; Du, A. Characterization of heat shock protein 70 gene from Haemonchus contortus and its expression and promoter analysis in Caenorhabditis elegans. Parasitology 2013, 140, 683–694. [Google Scholar] [CrossRef] [PubMed]
- Snutch, T.P.; Heschl, M.F.P.; Baillie, D.L. The Caenorhabditis elegans hsp70 genefamily: A molecular genetic characterization. Gene 1988, 64, 241–255. [Google Scholar] [CrossRef] [PubMed]
- Morley, J.F.; Morimoto, R.I. Regulation of longevity in Caenorhabditis elegans by heat shock factor and molecular chaperones. Mol. Biol. Cell 2004, 15, 657–664. [Google Scholar] [CrossRef]
- Craig, E.A. Hsp70 at the membrane: Driving protein translocation. BMC Biol. 2018, 16, 11. [Google Scholar] [CrossRef] [PubMed]
- Papsdorf, K.; Sima, S.; Schmauder, L.; Peter, S.; Renner, L.; Hoffelner, P.; Richter, K. Head-bent resistant Hsc70 variants show reduced Hsp40 affinity and altered protein folding activity. Sci. Rep. 2019, 9, 11955. [Google Scholar] [CrossRef] [PubMed]
- Papsdorf, K.; Sacherl, J.; Richter, K. The balanced regulation of Hsc70 by DNJ-13 and UNC-23 is required for muscle functionality. J. Biol. Chem. 2014, 289, 25250–25261. [Google Scholar] [CrossRef] [PubMed]
- Shen, X.; Ellis, R.E.; Lee, K.; Liu, C.Y.; Yang, K.; Solomon, A.; Yoshida, H.; Morimoto, R.; Kurnit, D.M.; Mori, K.; et al. Complementary signaling pathways regulate the unfolded protein response and are required for C. elegans development. Cell 2001, 107, 893–903. [Google Scholar] [CrossRef] [PubMed]
- Yoneda, T.; Benedetti, C.; Urano, F.; Clark, S.G.; Harding, H.P.; Ron, D. Compartment-specific perturbation of protein handling activates genes encoding mitochondrial chaperones. J. Cell Sci. 2004, 117, 4055–4066. [Google Scholar] [CrossRef]
- Rodrigues, A.J.; Neves-Carvalho, A.; Teixeira-Castro, A.; Rokka, A.; Corthals, G.; Logarinho, E.; Maciel, P. Absence of ataxin-3 leads to enhanced stress response in C. elegans. PLoS ONE 2011, 6, e18512. [Google Scholar] [CrossRef]
- Dues, D.J.; Andrews, E.K.; Schaar, C.E.; Bergsma, A.L.; Senchuk, M.M.; Van Raamsdonk, J.M. Aging causes decreased resistance to multiple stresses and a failure to activate specific stress response pathways. Aging 2016, 8, 777–795. [Google Scholar] [CrossRef] [PubMed]
- Labbadia, J.; Morimoto, R.I. Repression of the heat shock response is a programmed event at the onset of reproduction. Mol. Cell 2015, 59, 639–650. [Google Scholar] [CrossRef] [PubMed]
- Labbadia, J.; Brielmann, R.M.; Neto, M.F.; Lin, Y.F.; Haynes, C.M.; Morimoto, R.I. Mitochondrial stress restores the heat shock response and prevents proteostasis collapse during aging. Cell Rep. 2017, 21, 1481–1494. [Google Scholar] [CrossRef]
- Kammenga, J.E.; Arts, M.S.J.; Oude-Breuil, W.J.M. HSP60 as a potential biomarker of toxic stress in the nematode Plectus acuminatus. Arch. Environ. Contam. Toxicol. 1998, 34, 253–258. [Google Scholar] [CrossRef] [PubMed]
- Lu, M.; Tan, L.; Zhou, X.G.; Yang, Z.L.; Zhu, Q.; Chen, J.N.; Luo, H.R.; Wu, G.S. Tectochrysin increases stress resistance and extends the lifespan of Caenorhabditis elegans via FOXO/DAF-16. Biogerontology 2020, 21, 669–682. [Google Scholar] [CrossRef]
- Shi, L.; Yu, X.T.; Li, H.; Wu, G.S.; Luo, H.R. D-chiro-inositol increases antioxidant capacity and longevity of Caenorhabditis elegans via activating Nrf-2/SKN-1 and FOXO/DAF-16. Exp. Gerontol. 2023, 175, 112145. [Google Scholar] [CrossRef] [PubMed]
- Kirstein, J.; Arnsburg, K.; Scior, A.; Szlachcic, A.; Guilbride, D.L.; Morimoto, R.I.; Bukau, B.; Nillegoda, N.B. In vivo properties of the disaggregase function of J-proteins and Hsc70 in Caenorhabditis elegans stress and aging. Aging Cell 2017, 16, 1414–1424. [Google Scholar] [CrossRef] [PubMed]
- Fu, R.; Huang, Z.; Li, H.; Zhu, Y.; Zhang, H. A hemidesmosome-to-cytoplasm translocation of small Heat Shock Proteins provides immediate protection against heat stress. Cell Rep. 2020, 33, 108410. [Google Scholar] [CrossRef]
- Wang, F.; Li, D.; Chen, Q.; Ma, L. Genome-wide survey and characterization of the small heat shock protein gene family in Bursaphelenchus xylophilus. Gene 2016, 579, 153–161. [Google Scholar] [CrossRef]
- Sánchez-Blanco, A.; Rodríguez-Matellán, A.G.; Reis-Sobreiro, M.; Sáenz-Narciso, B.; Cabello, J.; Mohler, W.A.; Mollinedo, F. Caenorhabditis elegans as a platform to study the mechanism of action of synthetic antitumor lipids. Cell Cycle 2014, 13, 3375–3389. [Google Scholar] [CrossRef]
- Douglas, P.M.; Baird, N.A.; Simic, M.S.; Uhlein, S.; McCormick, M.A.; Wolff, S.C.; Kennedy, B.K.; Dillin, A. Heterotypic signals from neural HSF-1 separate thermotolerance from longevity. Cell Rep. 2015, 12, 1196–1204. [Google Scholar] [CrossRef] [PubMed]
- Krause, M. Structural and Functional Characterization of Small Heat Shock Proteins of the Nematode Caenorhabditis elegans. Ph.D. Thesis, Department Chemie Lehrstuhl für Biotechnologie, Technische Universität, München, Germany, 2013. Available online: https://mediatum.ub.tum.de/doc/1172984/1172984.pdf (accessed on 2 February 2024).
- Lourenço-Tessutti, I.T.; Souza Junior, J.D.; Martins-de-Sa, D.; Viana, A.A.B.; Carneiro, R.M.D.G.; Togawa, R.C.; de Almeida-Engler, J.; Batista, J.A.N.; Silva, M.C.M.; Fragoso, R.R.; et al. Knock-down of heat-shock protein 90 and isocitrate lyase gene expression reduced root-knot nematode reproduction. Phytopathology 2015, 105, 628–637. [Google Scholar] [CrossRef] [PubMed]
- Vrain, T.C.; Barker, K.R.; Holtzman, I.G. Influence of low temperature on rate of development of Meloidogyne incognita and Meloidogyne hapla larvae. J. Nematol. 1978, 10, 166–171. [Google Scholar] [PubMed]
- Curtis, R.H.; Robinson, A.F.; Perry, R.N. Hatch and host location. In Root-Knot Nematodes, 1st ed.; Perry, R.N., Moens, M., Starr, J.L., Eds.; CABI: Wallingford, UK, 2009; pp. 139–162. [Google Scholar]
- Sharon, E.; Spiegel, Y. Glycoprotein characterization of the gelatinous matrix in the root-knot nematode Meloidogyne javanica. J. Nematol. 1993, 25, 585–589. [Google Scholar] [PubMed]
- Ben-Zvi, A.; Miller, E.A.; Morimoto, R.I. Collapse of proteostasis represents an early molecular event in Caenorhabditis elegans aging. Proc. Natl. Acad. Sci. USA 2009, 106, 14914–14919. [Google Scholar] [CrossRef] [PubMed]
- Karssen, G. The Plant Parasitic Nematode Genus Meloidogyne Göldi, 1892 (Tylenchida) in Europe, 1st ed.; Koninklijke Brill NY: Leiden, The Netherlands, 2002; pp. 25–52. [Google Scholar]
- Petersen, D.J.; Vrain, T.C. Rapid identification of Meloidogyne chitwoodi, M. hapla and M. fallax using PCR primers to amplify their ribosomal intergenic spacer. Fundam. Appl. Nematol. 1996, 19, 601–605. [Google Scholar]
- Evans, A.A.F.; Perry, R.N. Survival mechanisms. In Root-Knot Nematodes, 1st ed.; Perry, R.N., Moens, M., Starr, J.L., Eds.; CABI: Wallingford, UK, 2009; pp. 201–220. [Google Scholar]
- Díaz-Manzano, F.E.; Olmo, R.; Cabrera, J.; Barcala, M.; Escobar, C.; Fenoll, C. Long-term in vitro system for maintenance and amplification of root-knot nematodes in Cucumis sativus roots. Front. Plant Sci. 2016, 7, 124. [Google Scholar] [CrossRef] [PubMed]
- Bird, A.F.; Wallace, H.R. The influence of temperature on Meloidogyne hapla and Meloidogyne javanica. Nematologica 1965, 11, 581–589. [Google Scholar]
- Tournayre, J.; Reichstadt, M.; Parry, L.; Fafournoux, P.; Jousse, C. “Do my qPCR calculation”; a web tool. Bioinformation 2019, 15, 369–372. [Google Scholar] [CrossRef]
- Biecek, P. Data Analysis with R. Linear Models with Fixed, Random and Mixed Effects; PWN: Warszawa, Polska, 2013; pp. 1–316. (In Polish) [Google Scholar]
- R Core Team. R: A languague and Environment for Statistical Computing; R foundation for statistical computing: Vienna, Austria, 2022; Available online: https://www.R-project.org/ (accessed on 5 May 2023).
- Burnham, K.P.; Anderson, D.R. Model Selection and Multimodel Inference: A Practical Information-Theoretic Approach; Springer Science Business Media: New York, NY, USA, 2002; pp. 1–485. [Google Scholar]
- Wickham, H.; Averick, M.; Bryan, J.; Chang, W.; D’Agostino McGowan, L.; Romain, F.; Grolemund, G.; Hayes, A.; Henry, L.; Hester, J.; et al. Welcome to the tidyverse. JOSS 2019, 4, 1686. [Google Scholar] [CrossRef]
Disclaimer/Publisher’s Note: The statements, opinions and data contained in all publications are solely those of the individual author(s) and contributor(s) and not of MDPI and/or the editor(s). MDPI and/or the editor(s) disclaim responsibility for any injury to people or property resulting from any ideas, methods, instructions or products referred to in the content. |
© 2024 by the authors. Licensee MDPI, Basel, Switzerland. This article is an open access article distributed under the terms and conditions of the Creative Commons Attribution (CC BY) license (https://creativecommons.org/licenses/by/4.0/).


