Chemical Composition and In Vitro Biological Activity of the Polar and Non-Polar Fractions Obtained from the Roots of Eleutherococcus senticosus (Rupr. et Maxim.) Maxim
Abstract
1. Introduction
2. Results and Discussion
2.1. Antioxidant Panel
2.2. Anti-Enzymatic Panel
2.3. Chemical Panel
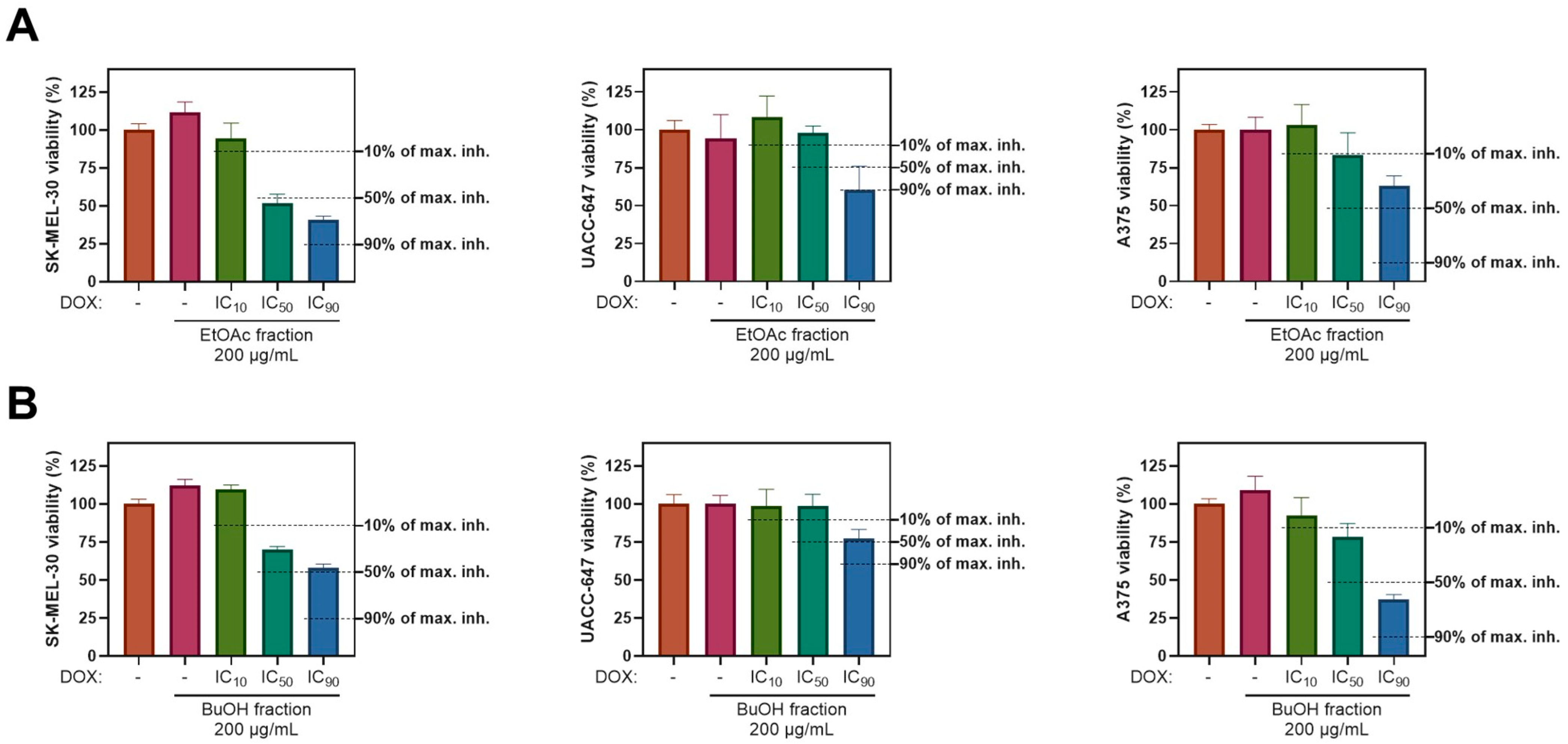
2.4. Cytotoxicity Panel
2.5. Statistical Analysis
2.5.1. Principal Component Analysis
2.5.2. Correlation Analysis
3. Materials and Methods
3.1. Chemicals and Reagents
3.2. Preparation of Raw Material, Extraction, and Isolation
3.3. Antioxidant Panel
3.3.1. DPPH Free Radical Scavenging Activity
3.3.2. ABTS Free Radical Scavenging Activity
3.3.3. Iron (II) Ion Chelation Assay
3.3.4. O2•– Scavenging Capacity Assay
3.3.5. Ferric Ion Reducing Antioxidant Power Assay
3.3.6. Cupric Ion Reducing Antioxidant Capacity Assay
3.4. Anti-Enzymatic Panel
3.4.1. Hyaluronidase Inhibitory Assay
3.4.2. Cholinesterase Inhibitory Assay
3.4.3. α-Amylase Inhibitory Assay
3.4.4. Tyrosinase Inhibitory Assay
3.5. Chemical Panel
3.5.1. Total Polyphenols Content (TPC)
3.5.2. Total Flavonoids Content (TFC)
3.5.3. Total Phenolic Acids Content (TPAC)
3.5.4. Chromatographic Analysis
3.6. Cytotoxicty Panel
Cell Culture and Cytotoxicity Assessment
3.7. Statistical Analysis
4. Conclusions
Supplementary Materials
Author Contributions
Funding
Institutional Review Board Statement
Informed Consent Statement
Data Availability Statement
Conflicts of Interest
References
- Todorova, V.; Ivanov, K.; Delattre, C.; Nalbantova, V.; Karcheva-Bahchevanska, D.; Ivanova, S. Plant Adaptogens—History and Future Perspectives. Nutrients 2021, 13, 2861. [Google Scholar] [CrossRef] [PubMed]
- Wang, Y.H.; Meng, Y.; Zhai, C.; Wang, M.; Avula, B.; Yuk, J.; Khan, I.A. The chemical characterization of Eleutherococcus senticosus and Ci-wu-jia tea using UHPLC-UV-QTOF/MS. Int. J. Mol. Sci. 2019, 20, 475. [Google Scholar] [CrossRef] [PubMed]
- Wang, R.; Sun, Y.; Wang, M.; Li, H.; Liu, S.; Liu, Z. Therapeutic Effect of Eleutherococcus senticosus (Rupr. & Maxim.) Maxim. Leaves on Ischemic Stroke via the Microbiota–Gut–Brain Axis. Phytother. Res. 2023, 37, 4801–4818. [Google Scholar]
- Huang, Y.H.; Li, J.T.; Zan, K.; Wang, J.; Fu, Q. The traditional uses, secondary metabolites, and pharmacology of Eleutherococcus species. Phytochem. Rev. 2022, 21, 1081–1184. [Google Scholar] [CrossRef]
- Łotocka, B.; Bączek, K. Anatomy of Vegetative Organs of Eleutherococcus senticosus (Rupr. & Maxim.) Maxim. (Araliaceae). Flora 2024, 314, 152470. [Google Scholar]
- Tóth-Mészáros, A.; Garmaa, G.; Hegyi, P.; Bánvölgyi, A.; Fenyves, B.; Fehérvári, P.; Csupor, D. The Effect of Adaptogenic Plants on Stress: A Systematic Review and Meta-Analysis. J. Funct. Foods 2023, 108, 105695. [Google Scholar] [CrossRef]
- Yilmaz, I.; Kiyak, B.D. Pharmacological and Therapeutic Potential of Adaptogenic Plants. Recent Adv. Mol. Biol. Biochem. 2023, 142, 144–152. [Google Scholar]
- Llopis, I.; San-Miguel, N.; Serrano, M.Á. The Effects of Psychobiotics and Adaptogens on the Human Stress and Anxiety Response: A Systematic Review. Appl. Sci. 2025, 15, 4564. [Google Scholar] [CrossRef]
- Li, X.; Chen, C.; Leng, A.; Qu, J. Advances in the extraction, purification, structural characteristics and biological activities of Eleutherococcus senticosus polysaccharides: A promising medicinal and edible resource with development value. Front. Pharmacol. 2021, 12, 753007. [Google Scholar] [CrossRef]
- Vardanyan, A.; Ghalachyan, L.; Tadevosyan, A.; Hakobjanyan, A.; Sardaryan, A.; Daryadar, M. Hydroponic Eleutherococcus senticosus (Rupr. & Maxim) as a Source of Biologically Active Compounds and Herbal Tea. In EHC2024: International Symposium on Sustainable Vegetable Production from Seed to Health Booster Sources; International Society for Horticultural Science: Leuven, Belgium, 2024; pp. 287–294. [Google Scholar]
- Gerontakos, S.; Taylor, A.; Avdeeva, A.Y.; Shikova, V.A.; Pozharitskaya, O.N.; Casteleijn, D.; Shikov, A.N. Findings of Russian literature on the clinical application of Eleutherococcus senticosus (Rupr. & Maxim.): A narrative review. J. Ethnopharmacol. 2021, 278, 114274. [Google Scholar]
- Yang, R.; Meng, X.; Zhao, W.; Xu, S.-Q.; Wang, S.-Y.; Li, M.-M.; Guan, W.; Chen, Q.-S.; Zhang, L.-L.; Kuang, H.-X.; et al. Phenylpropanoids of Eleutherococcus senticosus (Rupr. & Maxim.) Maxim. Alleviate Oxidative Stress in Alzheimer’s Disease In Vitro and In Vivo Models by Regulating Mst1 and Affecting the Nrf2/Sirt3 Pathway. Bioorg. Chem. 2025, 159, 108347. [Google Scholar]
- Wróbel-Biedrawa, D.; Podolak, I. Anti-Neuroinflammatory Effects of Adaptogens: A Mini-Review. Molecules 2024, 29, 866. [Google Scholar] [CrossRef]
- Li, X.T.; Zhou, J.C.; Zhou, Y.; Ren, Y.S.; Huang, Y.H.; Wang, S.M.; Ge, Y.W.; Zhang, L.; Liu, H.; Zhang, Y.; et al. Pharmacological effects of Eleutherococcus senticosus on neurological disorders. Phytother. Res. 2022, 36, 3490–3504. [Google Scholar] [CrossRef]
- Dong, X.; Chen, Q.; Chi, W.; Qiu, Z.; Qiu, Y. A Metabolomics Study of the Effects of Eleutheroside B on Glucose and Lipid Metabolism in a Zebrafish Diabetes Model. Molecules 2024, 29, 1545. [Google Scholar] [CrossRef]
- Jia, A.; Shi, Y.; Zhang, Y.; Diao, Y.; Chang, B.; Jiang, M.; Qiu, Y. Butanol Extract of Acanthopanax senticosus (Rupr. et Maxim.) Harms Alleviates Atherosclerosis in Apolipoprotein E-Deficient Mice Fed a High-Fat Diet. Chem. Biodivers. 2023, 20, e202200949. [Google Scholar] [CrossRef]
- Sato, T.; Aoki, T.; Ito, Y.; Oishi, K.; Fujishima, M.; Okumura, E.; Ishii, K. Effects of Continuous Supplementation of Acanthopanax senticosus Harms on the Cardiac Autonomic Function of Community-Dwelling Elderly Individuals during Resting and Standing Tests: A Randomized Controlled Trial. Front. Cardiovasc. Med. 2024, 11, 1336676. [Google Scholar] [CrossRef] [PubMed]
- Oh, E.; Kim, Y.; Park, S.Y.; Lim, Y.; Shin, J.Y.; Kim, J.Y.; Kwon, O. The Fruit of Acanthopanax senticosus Harms Improves Arterial Stiffness and Blood Pressure: A Randomized, Placebo-Controlled Trial. Nutr. Res. Pract. 2020, 14, 322–333. [Google Scholar] [CrossRef] [PubMed]
- Lyu, C.; Yang, J.; Wang, T.; Kang, C.; Wang, S.; Wang, H.; Wan, X.; Zhou, L.; Zhang, W.; Huang, L.; et al. A Field Trials-Based Authentication Study of Conventionally and Organically Grown Chinese Yams Using Light Stable Isotopes and Multi-Elemental Analysis Combined with Machine Learning Algorithms. Food Chem. 2021, 343, 128506. [Google Scholar] [CrossRef]
- Li, J.; He, Y.; Fu, J.; Wang, Y.; Fan, X.; Zhong, T.; Zhou, H. Dietary Supplementation of Acanthopanax senticosus Extract Alleviates Motor Deficits in MPTP-Induced Parkinson’s Disease Mice and Its Underlying Mechanism. Front. Nutr. 2023, 9, 1121789. [Google Scholar] [CrossRef]
- Zhang, Z.; Wu, Y.; Shi, D.; Jiang, C.; Cao, H.; Jiang, F.; Shi, X. Acanthopanax senticosus Improves Cognitive Impairment in Alzheimer’s Disease by Promoting the Phosphorylation of the MAPK Signaling Pathway. Front. Immunol. 2024, 15, 1383464. [Google Scholar] [CrossRef]
- Tohda, C.; Matsui, M.; Inada, Y.; Yang, X.; Kuboyama, T.; Kimbara, Y.; Watari, H. Combined Treatment with Two Water Extracts of Eleutherococcus senticosus Leaf and Rhizome of Drynaria fortunei Enhances Cognitive Function: A Placebo-Controlled, Randomized, Double-Blind Study in Healthy Adults. Nutrients 2020, 12, 303. [Google Scholar] [CrossRef] [PubMed]
- Gębalski, J.; Małkowska, M.; Wnorowska, S.; Gawenda-Kempczyńska, D.; Strzemski, M.; Wójciak, M.; Słomka, A.; Styczyński, J.; Załuski, D. Ethyl Acetate Fraction from Eleutherococcus divaricatus Root Extract as a Promising Source of Compounds with Anti-Hyaluronidase, Anti-Tyrosinase, and Antioxidant Activity but Not Anti-Melanoma Activity. Molecules 2024, 29, 3640. [Google Scholar] [CrossRef] [PubMed]
- Horng, C.T.; Liu, I.M.; Kuo, D.H.; Tsai, Y.W.; Shieh, P. Comparison of Xanthine Oxidase-Inhibiting and Free Radical-Scavenging Activities between Plant Adaptogens of Eleutherococcus senticosus and Rhodiola rosea. Drug Dev. Res. 2010, 71, 249–252. [Google Scholar] [CrossRef]
- Kim, Y.-H.; Cho, M.L.; Kim, D.-B.; Shin, G.-H.; Lee, J.-H.; Lee, J.S.; Park, S.-O.; Lee, S.-J.; Shin, H.M.; Lee, O.-H. The Antioxidant Activity and Their Major Antioxidant Compounds from Acanthopanax senticosus and A. koreanum. Molecules 2015, 20, 13281–13295. [Google Scholar] [CrossRef]
- Załuski, D.; Olech, M.; Kuźniewski, R.; Verpoorte, R.; Nowak, R.; Smolarz, H.D. LC-ESI-MS/MS profiling of phenolics from Eleutherococcus spp. inflorescences, structure-activity relationship as antioxidants, inhibitors of hyaluronidase and acetylcholinesterase. Saudi Pharm. J. 2017, 25, 734–743. [Google Scholar] [CrossRef]
- Jang, D.; Lee, J.; Eom, S.H.; Lee, S.M.; Gil, J.; Lim, H.B.; Hyun, T.K. Composition, Antioxidant and Antimicrobial Activities of Eleutherococcus senticosus Fruit Extracts. J. Appl. Pharm. Sci. 2016, 6, 125–130. [Google Scholar] [CrossRef]
- Gębalski, J.; Małkowska, M.; Gawenda-Kempczyńska, D.; Słomka, A.; Strzemski, M.; Styczyński, J.; Załuski, D. Eleutherococcus divaricatus Fruits Decrease Hyaluronidase Activity in Blood Serum and Protect from Oxidative Damages in In Vitro Model. Int. J. Mol. Sci. 2024, 25, 2033. [Google Scholar] [CrossRef]
- Lu, M.-X.; Yang, Y.; Zou, Q.-P.; Luo, J.; Zhang, B.-B.; Liu, X.-Q.; Hwang, E.-H. Anti-Diabetic Effects of Acankoreagenin from the Leaves of Acanthopanax gracilistylus Herb in RIN-m5F Cells via Suppression of NF-κB Activation. Molecules 2018, 23, 958. [Google Scholar] [CrossRef]
- Lim, S.H.; Park, Y.H.; Kwon, C.J.; Ham, H.J.; Jeong, H.N.; Kim, K.H.; Ahn, Y.S. Anti-Diabetic and Hypoglycemic Effect of Eleutherococcus spp. J. Korean Soc. Food Sci. Nutr. 2010, 39, 1761–1768. [Google Scholar] [CrossRef]
- Załuski, D.; Kuźniewski, R. In vitro anti-AChE, anti-BuChE, and antioxidant activity of 12 extracts of Eleutherococcus species. Oxid. Med. Cell. Longev. 2016, 2016, 4135135. [Google Scholar] [CrossRef]
- Adamczyk, K.; Olech, M.; Abramek, J.; Pietrzak, W.; Kuźniewski, R.; Bogucka-Kocka, A.; Ptaszyńska, A.A.; Rapacka-Gackowska, A.; Skalski, T.; Strzemski, M.; et al. Eleutherococcus species cultivated in Europe: A new source of compounds with antiacetylcholinesterase, antihyaluronidase, anti-DPPH, and cytotoxic activities. Oxid. Med. Cell. Longev. 2019, 2019, 8673521. [Google Scholar] [CrossRef] [PubMed]
- Kaufmann, D.; Kaur Dogra, A.; Tahrani, A.; Herrmann, F.; Wink, M. Extracts from Traditional Chinese Medicinal Plants Inhibit Acetylcholinesterase, a Known Alzheimer’s Disease Target. Molecules 2016, 21, 1161. [Google Scholar] [CrossRef]
- Graczyk, F.; Gębalski, J.; Makuch-Kocka, A.; Gawenda-Kempczyńska, D.; Ptaszyńska, A.A.; Grzyb, S.; Bogucka-Kocka, A.; Załuski, D. Phenolic Profile, Antioxidant, Anti-Enzymatic and Cytotoxic Activity of the Fruits and Roots of Eleutherococcus senticosus (Rupr. et Maxim.) Maxim. Molecules 2022, 27, 5579. [Google Scholar] [CrossRef] [PubMed]
- Jin, L.; Schmiech, M.; El Gaafary, M.; Zhang, X.; Syrovets, T.; Simmet, T. A Comparative Study on Root and Bark Extracts of Eleutherococcus senticosus and Their Effects on Human Macrophages. Phytomedicine 2020, 68, 153181. [Google Scholar] [CrossRef]
- Bączek, K.; Węglarz, Z.; Przybył, J.L. Accumulation of Biologically Active Compounds in the Rhizomes and Roots of Eleuthero (Eleutherococcus senticosus/Maxim. et Rupr./Maxim.). Adv. Environ. Biol. 2011, 5, 325–328. [Google Scholar]
- Tolonen, A.; Joutsamo, T.; Mattlla, S.; Kämäräinen, T.; Jalonen, J. Identification of Isomeric Dicaffeoylquinic Acids from Eleutherococcus senticosus Using HPLC-ESI/TOF/MS and 1H-NMR Methods. Phytochem. Anal. 2002, 13, 316–328. [Google Scholar] [CrossRef]
- Wu, Y.; Yin, Z.; Qie, X.; Chen, Y.; Zeng, M.; Wang, Z.; Qin, F.; Chen, J.; He, Z. Interaction of soy protein isolate hydrolysates with cyanidin-3-O-glucoside and its effect on the in vitro antioxidant capacity of the complexes under neutral condition. Molecules 2021, 26, 1721. [Google Scholar] [CrossRef] [PubMed]
- Naseer, S.; Iqbal, J.; Naseer, A.; Kanwal, S.; Hussain, I.; Tan, Y.; Aguilar-Marcelino, L.; Cossio-Bayugar, R.; Zajac, Z.; Bin Jardan, Y.A. Deciphering chemical profiling, pharmacological responses and potential bioactive constituents of Saussurea lappa Decne. Extracts through in vitro approaches. Saudi J. Biol. Sci. 2022, 29, 1355–1366. [Google Scholar] [CrossRef]
- Li, H.; Wang, X.; Li, Y.; Li, P.; Wang, H. Polyphenolic compounds and antioxidant properties of selected China wines. Food Chem. 2009, 112, 454–460. [Google Scholar] [CrossRef]
- Choi, C.W.; Kim, S.C.; Hwang, S.S.; Choi, B.K.; Ahn, H.J.; Lee, M.Y.; Park, S.H.; Kim, S.K. Antioxidant activity and free radical scavenging capacity between Korean medicinal plants and flavonoids by assay-guided comparison. Plant Sci. 2002, 163, 1161–1168. [Google Scholar] [CrossRef]
- Sharifi-Rad, M.; Epifano, F.; Fiorito, S.; Álvarez-Suarez, J.M. Phytochemical analysis and biological investigation of Nepeta juncea Benth. different extracts. Plants 2020, 9, 646. [Google Scholar] [CrossRef] [PubMed]
- Dziurka, K.; Dziurka, M.; Muszyńska, E.; Czyczyło-Mysza, I.; Warchoł, M.; Juzoń, K.; Mielcarek, M.; Marczak, Ł.; Szczepaniak, K.; Kalemba, E.; et al. Anatomical and Hormonal Factors Determining the Development of Haploid and Zygotic Embryos of Oat (Avena sativa L.). Sci. Rep. 2022, 12, 548. [Google Scholar] [CrossRef] [PubMed]
- Di Ferrante, N. Turbidimetric measurement of acid mucopoly-saccharides and hyaluronidase activity. J. Biol. Chem. 1956, 220, 303–306. [Google Scholar] [CrossRef] [PubMed]
- Studzińska-Sroka, E.; Dudek-Makuch, M.; Chanaj-Kaczmarek, J.; Czepulis, N.; Korybalska, K.; Rutkowski, R.; Łuczak, J.; Grabowska, K.; Bylka, W.; Witowski, J. Anti-inflammatory activity and phytochemical profile of Galinsoga parviflora Cav. Molecules 2018, 23, 2133. [Google Scholar] [CrossRef]
- Ellman, G.L.; Courtney, K.D.; Andres, V., Jr.; Featherstone, R.M. A New and Rapid Colorimetric Determination of Acetylcholinesterase Activity. Biochem. Pharmacol. 1961, 7, 88–95. [Google Scholar] [CrossRef] [PubMed]
- Telagari, M.; Hullatti, K. In-Vitro α-Amylase and α-Glucosidase Inhibitory Activity of Adiantum caudatum Linn. and Celosia argentea Linn. Extracts and Fractions. Indian J. Pharmacol. 2015, 47, 425–429. [Google Scholar]
- Gębalski, J.; Małkowska, M.; Graczyk, F.; Słomka, A.; Piskorska, E.; Gawenda-Kempczyńska, D.; Kondrzycka-Dąda, A.; Bogucka-Kocka, A.; Strzemski, M.; Sowa, I.; et al. Phenolic Compounds and Antioxidant and Anti-Enzymatic Activities of Selected Adaptogenic Plants from South America, Asia, and Africa. Molecules 2023, 28, 6004. [Google Scholar] [CrossRef]
- Singleton, V.L.; Orthofer, R.; Lamuela-Raventós, R.M. Analysis of total phenols and other oxidation substrates and antioxidants by means of folin-ciocalteu reagent. Methods Enzymol. 1999, 299, 152–178. [Google Scholar]
- Zhu, M.Z.; Wu, W.; Jiao, L.L.; Yang, P.F.; Guo, M.Q. Analysis of flavonoids in lotus (Nelumbo nucifera) leaves and their antioxidant activity using macroporous resin chromatography coupled with LC-MS/MS and antioxidant biochemical assays. Molecules 2015, 20, 10553–10565. [Google Scholar] [CrossRef]
- Polish Pharmacopoeia VI; Polish Pharmaceutical Society: Warszawa, Poland, 2002; p. 150.







| Fractions | DPPH | ABTS | O2•− |
|---|---|---|---|
| HEX | 388.07 ± 26.36 a | 132.67 ± 1.45 a | NA |
| EtOAc | 82.73 ± 0.065 b | 9.92 ± 0.17 b | 202.16 ± 5.71 a |
| BuOH | 120.57 ± 12.15 c | 23.25 ± 0.24 c | 153.54 ± 2.95 a |
| H2O | 133.68 ± 0.89 c | 22.73 ± 0.05 c | NA |
| BHA | 62.52 ± 4.13 d | 2.35 ± 0.11 d | |
| AA | 24.93 ± 0.28 e | 2.27 ± 0.07 d | 44.77 ± 0.91 b |
| TROLOX | 13.68 ± 3.53 e | 2.85 ± 0.18 d |
| Fractions | Anti-Inflammatory | Anti-Neurodegenerative | Metabolic | Anti-Aging | |
|---|---|---|---|---|---|
| Hyal | AChE | BuChE | Amyl | Tyr | |
| HEX | NA | 280.00 ± 49.72 a | 245.72 ± 11.82 a | 97.34 ± 9.18 a | 324.80 ± 30.73 a |
| EtOAc | 125.24 ± 12.29 a | NA | 301.23 ± 2.54 a | 281.63 ± 7.77 b | 147.12 ± 8.28 b |
| BuOH | 382.04 ± 33.01 b | 1000> | 1000> | NA | 214.51 ± 37.91 c |
| H2O | 361.41 ± 43.57 b | NA | NA | NA | 230.45 ± 3.78 c |
| Escin | 390.8 ± 0.81 b | ||||
| Kojic acid | 34.33 ± 1.22 d | ||||
| Donepezil | 22.68 ± 0.67 b | 87.17 ± 1.92 b | |||
| Acarbose | 384.34 ± 27.84 c | ||||
| Fractions | TPC [mgGAE/g] | TFC [mgQE/g] | TPAC [mgCAE/g] | Mass of Fraction [g] |
|---|---|---|---|---|
| HEX | 2.88 ± 0.30 a | 6.37 ± 0.39 a | 1.21 ± 0.14 b | 0.47 |
| EtOAc | 26.77 ± 1.10 b | 21.35 ± 3.34 b | 3.13 ± 0.54 a | 1.34 |
| BuOH | 7.33 ± 0.14 c | 3.90 ± 1.03 a | 0.43 ± 0.06 b | 9.89 |
| H2O | 4.52 ± 0.62 a | 5.25 ± 2.06 a | 0.67 ± 0.048 b | 4.81 |
| Σ | 41.50 | 36.87 | 5.44 |
| PA | CA | ChA | 4,5-DCA | 3,5-DCA | Eleuth B | |
|---|---|---|---|---|---|---|
| Mean ± SD | Mean ± SD | Mean ± SD | Mean ± SD | Mean ± SD | Mean ± SD | |
| HEX | 0.06 ± 0.000 | 0.12 ± 0.00 | 6.38 ± 0.00 | 0.20 ± 0.00 | 0.88 ± 0.01 | 0.13 ± 0.01 |
| EtOAc | 8.02 ± 0.01 | 9.96 ± 0.05 | 117.57 ± 0.87 | 16.58 ± 0.71 | 103.36 ± 0.39 | 1.13 ± 0.10 |
| BuOH | <LOD | <LOQ | 48.06 ± 0.23 | 0.12 ± 0.03 | 0.53 ± 0.07 | 2.49 ± 0.20 |
| H2O | <LOD | <LOQ | 65.56 ± 0.77 | <LOD | 0.12 ± 0.01 | 0.69 ± 0.06 |
| Rt (min) | Observed Ion Mass [M-H]-/(Fragments) | Δ ppm | Formula | Identified | (mg/g) | |
|---|---|---|---|---|---|---|
| 1 | 5.57 | 153.01973 | 2.58 | C7H6O4 | protocatechuic acid | 7.68 ± 0.18 |
| 2 | 8.73 | 137.02481 | 2.84 | C7H6O3 | hydroxybenzoic acid | + |
| 3 | 15.20 | 179.03505 (135,191) | 0.38 | C9H8O4 | caffeic acid | 8.64 ± 0.31 |
| 4 | 16.42 | 353.08835 (191,179) | 1.54 | C16H18O9 | chlorogenic acid | 118.5 ± 6.2 |
| 5 | 18.40 | 353.08843 (191,179) | 1.76 | C16H18O9 | cryptochlorogenic acid | 6.81 ± 1.01 |
| 6 | 23.20 | 337.09312 | 0.68 | C16H18O8 | p-coumaroylquinic acid | 1.78 ± 0.10 |
| 7 | 25.37 | 367.10366 | 0.55 | C17H20O9 | feruloylquinic acid | 2.61 ± 0.20 |
| 8 | 36.84 | 515.12021 (353) | 1.38 | C25H24O12 | 3,5-dicaffeoylquinic acid | 75.1 + 4.2 |
| 9 | 37.63 | 515.12048 (353) | 1.90 | C25H24O12 | dicaffeoylquinic acid | 93.3 + 3.3 |
| 10 | 50.90 | 515.12035 (353) | 1.65 | C25H24O12 | 4,5-dicaffeoylquinic acid | 7.11 ± 0.23 |
| 11 | 59.33 | 577.13521 (193, 385) | 0.10 | C30H26O12 | diferulic acid derivative | 3.32 ± 0.21 |
Disclaimer/Publisher’s Note: The statements, opinions and data contained in all publications are solely those of the individual author(s) and contributor(s) and not of MDPI and/or the editor(s). MDPI and/or the editor(s) disclaim responsibility for any injury to people or property resulting from any ideas, methods, instructions or products referred to in the content. |
© 2025 by the authors. Licensee MDPI, Basel, Switzerland. This article is an open access article distributed under the terms and conditions of the Creative Commons Attribution (CC BY) license (https://creativecommons.org/licenses/by/4.0/).
Share and Cite
Gębalski, J.; Małkowska, M.; Kiełkowska, E.; Graczyk, F.; Wnorowska, S.; Hołyńska-Iwan, I.; Strzemski, M.; Wójciak, M.; Załuski, D. Chemical Composition and In Vitro Biological Activity of the Polar and Non-Polar Fractions Obtained from the Roots of Eleutherococcus senticosus (Rupr. et Maxim.) Maxim. Int. J. Mol. Sci. 2025, 26, 5619. https://doi.org/10.3390/ijms26125619
Gębalski J, Małkowska M, Kiełkowska E, Graczyk F, Wnorowska S, Hołyńska-Iwan I, Strzemski M, Wójciak M, Załuski D. Chemical Composition and In Vitro Biological Activity of the Polar and Non-Polar Fractions Obtained from the Roots of Eleutherococcus senticosus (Rupr. et Maxim.) Maxim. International Journal of Molecular Sciences. 2025; 26(12):5619. https://doi.org/10.3390/ijms26125619
Chicago/Turabian StyleGębalski, Jakub, Milena Małkowska, Ewa Kiełkowska, Filip Graczyk, Sylwia Wnorowska, Iga Hołyńska-Iwan, Maciej Strzemski, Magdalena Wójciak, and Daniel Załuski. 2025. "Chemical Composition and In Vitro Biological Activity of the Polar and Non-Polar Fractions Obtained from the Roots of Eleutherococcus senticosus (Rupr. et Maxim.) Maxim" International Journal of Molecular Sciences 26, no. 12: 5619. https://doi.org/10.3390/ijms26125619
APA StyleGębalski, J., Małkowska, M., Kiełkowska, E., Graczyk, F., Wnorowska, S., Hołyńska-Iwan, I., Strzemski, M., Wójciak, M., & Załuski, D. (2025). Chemical Composition and In Vitro Biological Activity of the Polar and Non-Polar Fractions Obtained from the Roots of Eleutherococcus senticosus (Rupr. et Maxim.) Maxim. International Journal of Molecular Sciences, 26(12), 5619. https://doi.org/10.3390/ijms26125619

