Abstract
The strategy of active surveillance for papillary thyroid microcarcinoma (PTMC) is becoming increasingly popular within the global medical community. A key criterion for selecting this strategy is the absence of any signs of lymphogenic or distant metastases. The present study assessed the diagnostic accuracy of molecular genetic markers for predicting the metastatic potential of patients with PTMC. We evaluated the expression levels of 33 molecular genetic markers in cytology samples from 92 patients with PTMC and confirmed histological diagnosis. Among these patients, 32 had metastases to regional cervical lymph nodes. Our findings revealed the upregulated expression of the HMGA2, TIMP1, and FN1 genes, as well as microRNA-146b, in patients with metastatic PTMC. Conversely, we found the downregulated expression of miRNA-7 and -148b in metastatic tumors. In metastatic tumors, significant reductions were observed in DIO1 activity (11-fold), TFF3 gene expression (8-fold), TPO expression (4-fold), and SLC26A7 expression (2.6-fold). All the markers exhibited high sensitivity (84.5–90.6%) in detecting metastatic PTMC, although the specificity proved to be low. The use of molecular markers to predict lymphogenic metastatic spread in patients with PTMC could enhance existing risk grading systems. Such assessments can already be applicable at the preoperative stage.
Keywords:
metastatic; papillary thyroid microcarcinoma; molecular testing; HMGA2; TIMP1; FN1; miRNA-146b; miRNA-7; miRNA-148b; SLC26A7 1. Introduction
Papillary thyroid microcarcinoma (PTMC) is among the most frequently diagnosed forms of thyroid cancer, with recent decades witnessing an upward trend in incidence. From 1990 to 2017, the global annual age-standardized incidence rate (ASIR) of thyroid cancer increased from 2.1 to 3.15, with an annual growth rate of 1.59% []. The increasing number of diagnosed cases can be attributed to several factors, including advancements in diagnostic procedures and a rise in the frequency of fine-needle aspiration biopsy (FNAB) utilization. Contemporary imaging techniques and diagnostic approaches have enabled the detection of even minute lesions in the thyroid gland, consequently leading to an increase in the number of diagnosed cases of PTMC [].
There is a tendency for specialists to perform FNAB of even minor thyroid lesions despite the absence of consensus in clinical guidelines regarding the necessity of such procedures []. Thus, given even the slightest suspicion of malignancy, biopsies are conducted, thus leading to a rise in the number of diagnosed PTMC cases. Surgical interventions for thyroid conditions are frequently guided by FNAB results, thus contributing to an increased number of such procedures []. There is a controversy among expert opinion on this approach due to evidence indicating that a significant number of detected microcarcinomas re-main stable and do not progress over extended periods []. Currently, the strategy of active surveillance (AS) for PTMC is gaining increasing popularity in the global medical community [].
Research has shown that only 5% of all papillary microcarcinomas progress and necessitate active interventions []. However, this seemingly small percentage remains clinically significant, as tumor progression poses a considerable threat to patient well-being. The successful implementation of the AS strategy, therefore, requires close monitoring and regular evaluation to allow for the prompt detection of any changes in the tumor and facilitate timely intervention. Active surveillance of patients is currently predicated on tumors with the following characteristics: a diameter of less than 1 cm and a location distant from the trachea, esophagus, and laryngeal nerves [].
Of particular importance is the patient’s psychological readiness for active surveillance. It is imperative that patients receive comprehensive information regarding the potential benefits and risks associated with this approach, along with the requirement for routine monitoring and examinations [].
Notwithstanding the significance of the aforementioned criteria for choosing a strategy for active surveillance of papillary thyroid microcarcinoma, it must be acknowledged that these criteria are relative and subjective. Every instance of papillary thyroid microcarcinoma exhibits unique characteristics, and its progression can be affected by multiple factors [].
The selection of an active surveillance strategy is contingent upon the absence of any indications of lymphogenic or distant metastases. In the event of metastases emerging during AS, a more aggressive treatment plan, including thyroidectomy, lymphadenectomy, and radioiodine therapy, becomes imperative. This treatment plan is more intensive than the one that could be used for a newly diagnosed microcarcinoma, with hemithyroidectomy typically a sufficient treatment option []. The quest for novel markers with which to predict the aggressiveness of PTMC as early as the preoperative stage remains an urgent and unresolved problem. Several studies [,] have investigated the prognostication of papillary thyroid cancer (PTC) aggressiveness through molecular genetic analysis. These studies have led to the establishment of molecular risk groups (MRGs). Specifically, the low-risk MRG exhibited RAS-like alterations, while the intermediate-risk MRG demonstrated BRAF alterations []. The high-risk profile was characterized by the presence of mutations in the TERT, TP53, AKT1, and PIK3CA genes. The molecular profile was shown to predict the risk of distant metastases with a reasonable degree of accuracy based on the presence of TERT, TP53, AKT1, and PIK3CA mutations [,]. This increase in accuracy generally improves the estimation of recurrence risk, as per ATA guidelines []. Nevertheless, prognostication of cervical lymph node metastasis based solely on mutational data proved unfeasible.
The associations that have been revealed between the presence of regional metastases in patients with PTC and the miRNA + mRNA expression levels in tumor tissue are of particular interest. However, the feasibility of detecting these molecular genetic alterations in FNAB specimens has not been assessed in these studies [,,,].
Our previous study investigated the potential of various molecular markers (e.g., miRNA and protein-coding gene expression) for preoperative prediction of lymphogenic metastasis and extrathyroidal invasion in PTC []. The present investigation assesses the diagnostic accuracy of molecular genetic markers in predicting the metastatic potential of patients with PTMC.
2. Results
The study population included 92 patients, with 81.5% being female and 18.5% being male. The mean age of patients undergoing surgery was 47 years (range: 18–76 years). The prevalence of PTMC was found to be most significant in the right thyroid lobe, with a 70% occurrence, while the left thyroid lobe exhibited a 30% prevalence. According to the standardized European Thyroid Imaging Reporting and Data System (EU-TIRADS), six (6.5%) patients were classified as EU-TIRADS category 3, 19 (20.7%) patients were classified as EU-TIRADS category 4, and 67 (72.8%) patients were classified as EU-TIRADS category 5. According to the Bethesda System for Reporting Thyroid Cytopathology (TBSRTC, 2023), the distribution of the analyzed patient group was as follows. Atypia of Undetermined Significance (AUS) was identified in 2 (2.2%) patients, Follicular neoplasm (FN) was diagnosed in 13 (14.1%) patients, Suspicious for Malignancy (SM) was identified in 43 (46.7%) patients, and Malignant (M) was diagnosed in 34 (37%) patients. The surgical interventions performed included hemithyroidectomy in 60 (65.2%) cases, and thyroidectomy in 32 (34.8%) cases, with central lymphadenectomy conducted in 27 patients and a combination of central and lateral lymphadenectomy in 5 patients. The presence of metastases, as determined by ultrasound imaging or thyroglobulin measurement in the fluid removed during FNAB prior to surgery, served as an indication for lymphadenectomy. Prophylactic lymphadenectomy was not performed. The mean tumor nodule size was estimated to be 7 mm, with a range of 4–9 mm.
Statistically significant differences were detected for 11 out of 33 analyzed molecular genetic markers: miRNAs miRNA-146b, miRNA-7, and miRNA-148b, as well as messenger RNAs FN1, TIMP1, TPO, SLC26A7, HMGA2, DIO1, TFF3, and the BRAF mutation (Table 1).

Table 1.
Comparative analysis of patients with metastatic spread (n = 32) and without metastatic spread (n = 60) of PTMC.
In patients with metastatic PTMC, the expression levels of the HMGA2 gene (a transcriptional regulation factor), the TIMP1 gene (a matrix metalloproteinase inhibitor), and the FN1 gene (encoding fibronectin) were found to be elevated, along with the upregulation of microRNA-146b. Downregulation of miRNA-7 and miRNA-148b was also detected in metastatic tumors, indicating their tumor suppressor roles. The presence of metastatic tumors was associated with a significant decrease in the activity of iodothyronine deiodinase (DIO1), with an average reduction of 11-fold, an 8-fold decrease in the expression of the TFF3 gene, a 4-fold decrease in the expression of the thyroid peroxidase (TPO) gene, and a 2.6-fold decrease in the expression of the SLC26A7 (the sulfate anion transporter) gene.
Given the allowance for multiple hypothesis testing with Bonferroni correction, the significance level p of 0.05/33 = 0.0015 was achieved exclusively for miRNA-146b (p = 0.013).
The BRAFV600E mutation was detected in 24 out of 32 patients with metastases and 34 out of 60 patients without metastases. The odds ratio, with a 95% confidence interval, was determined to be 4.6 (1.8–11.9), and the p-value was found to be 0.0016.
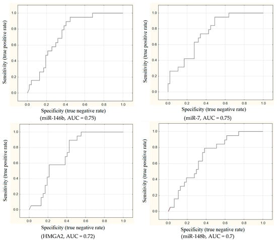
The areas under ROC curves (AUC) were calculated for all these 11 markers. This study found that the AUC values for miRNA-146b, miRNA-7, HMGA2, and miRNA-148b were greater than 0.7, indicating a satisfactory outcome (see Figure 1).

Figure 1.
ROC analysis of molecular genetic markers of metastatic PTMC.
The optimal separation threshold for these markers was determined by calculating the Youden index. The diagnostic capability was assessed for each of these four markers and the BRAF mutation (Table 2). The presence of a detected BRAFV600E mutation, a miRNA-146b expression level ≥ 5.4, a miR-7 expression level ≤ 0.13, an HGMA2 expression level ≥ 0.17, and a miRNA-148b expression level ≤ 0.67 was identified as a set of diagnostic factors for metastatic PTMC.

Table 2.
Diagnostic characteristics of molecular genetic markers for detecting metastatic PTMC.
Except for the BRAF mutation, all markers demonstrated high sensitivity but low specificity (approximately 50%) in the detection of metastatic PTMC. In summary, the expression levels of miRNA and mRNA were consistent with metastatic carcinoma in most patients without metastases.
3. Discussion
The ATA recurrence risk stratification system assesses the likelihood of PTMC persistence to be low. Unifocal papillary microcarcinomas located inside the thyroid gland and exhibiting no aggressive histological signs are believed to be characterized by a recurrence risk of less than 1% []. According to the aforementioned guidelines, the recurrence risk is associated with the presence of cervical lymph node metastases. When assessing the recurrence risk, it is imperative to consider the number and size of metastases, the number of affected lymph nodes with extracapsular invasion, and their localization (in the central or lateral cervical region). Therefore, the histological variant and the stage of the neoplastic process can be identified based on the presence of capsular invasion, multifocality, and cervical lymph node metastases. However, only after the final histological examination can this determination be made. This issue constitutes a significant challenge for proponents of active surveillance in PTMC.
A comprehensive observational study of active surveillance for patients with PTMC was undertaken at the Kuma Clinic, following a suggestion from Akira Miyauchi []. In this study, 3222 patients with microcarcinomas were followed, and their outcomes were compared to those of 2424 patients who underwent surgical treatment. Over a 20-year period, the AS group demonstrated a statistically significantly increased incidence of cervical lymph node metastasis (1.7% vs. 0.7% in the group of operated patients). The authors, however, inferred a low likelihood of metastatic progression, thus deeming active surveillance appropriate. The literature suggests that the risk of metastatic dissemination is elevated in individuals under 30 years of age, of male sex, and with tumors measuring 6 mm or more in size [,].
The Memorial Sloan Kettering Cancer Center (MSKCC), in collaboration with the Kuma Hospital group, has developed a clinical protocol to evaluate the suitability of active surveillance for specific patients []. The “ideal” candidates for this procedure are patients over the age of 60 years who have a tumor that is not adjacent to the thyroid capsule. A “suitable” candidate is defined as a patient who meets specific criteria. These criteria include being younger and having a multifocal tumor with a potentially aggressive molecular phenotype, as indicated by the presence of BRAF and TERT mutations, as well as PD-L1 positivity. The tumor must be located adjacent to the thyroid capsule, but it should not be situated within the risk zones. Additionally, the presence of other imaging features that could complicate further surveillance should be taken into consideration, such as thyroiditis or other benign thyroid nodules. An “ill-suited” candidate is defined as one with tumors in high-risk locations, such as near the trachea or the recurrent laryngeal nerve or with signs of extrathyroidal invasion. The authors of these recommendations note that many of these characteristics are rather relative and strongly dependent on the expertise of the clinic and its medical personnel. According to experts in the field, molecular genetic studies hold considerable promise as a means of identifying indications for using the active surveillance approach. However, these methods are not yet commonly used, especially in developing countries [].
In the United States, cytological diagnosis of indeterminate thyroid nodules currently employs three commercially available molecular tests. Afirma GSC is an RNA-based genomic sequencing classifier that utilizes gene expression to ascertain the malignant potential of a node. ThyGeNext + ThyraMIR is a multiplatform test that encompasses the evaluation of genetic alterations in DNA, mRNA, and regulators of gene expression, known as microRNAs. Thyroseq GC is a multigenic genomic classifier. However, the limitations of these tests preclude their ability to provide insights into the risk of metastasis in papillary thyroid cancer []. We determined the molecular markers using real-time PCR. These studies are relatively inexpensive, straightforward to execute, and accessible in most PCR laboratories, including in developing countries. The aforementioned factors engender the possibility of conducting such testing in authentic clinical settings.
At present, BRAF mutation is the most extensively researched and readily accessible molecular genetic marker. A comprehensive meta-analysis [] revealed a 43% increased risk of cervical lymph node metastasis in PTMC patients carrying the BRAFV600E mutation (OR = 1.43, 95% CI = 1.19–1.71). According to our data, the OR was 4.6 (CI = 1.8–11.9), which is probably related to the higher occurrence of this mutation (63%) in the study group. Should this marker serve as the sole criterion, 63% of PTMC patients would be a priori unsuitable for continued active surveillance.
A meta-analysis published in 2017 reported the potential role of microRNA-146b in oncogenesis of papillary thyroid cancer []. Its elevated expression level was associated with a more aggressive course of the disease. According to the findings of this study, the use of this marker for predicting metastatic spread has been shown to be more accurate than prediction based on BRAF mutation (87.5% sensitivity, 50% specificity). The remaining two microRNAs (miR-7 and miR-148b) and the HMGA2 gene exhibited a comparable degree of accuracy. The high sensitivity of the test enables the accurate prediction of metastases in the neck lymph nodes in patients with papillary microcarcinomas. However, when applied universally to all patients eligible for active surveillance, the test will provide low specificity results, suggesting that approximately half of patients with PTMC should undergo surgery. Therefore, none of these indicators should be considered definitive and should only be used as supplementary methods in cases of uncertainty. For example, a case that meets these criteria might include a tumor with a size slightly exceeding 10 mm or the presence of cervical lymph nodes that are deemed to be suspicious according to ultrasound imaging.
Following the implementation of the Bonferroni correction, only miR-146b remained statistically significant (p < 0.0015). This finding suggests that some associations with other molecular genetic markers may be accidental. To test this hypothesis, larger-scale studies with a substantial number of patients will be required.
4. Materials and Methods
Between 2021 and 2023, 92 patients were chosen with PTMC, with 32 of them having metastases to regional cervical lymph nodes. The study design was approved by the Ethics Committee of the South Ural State Medical University on 18 April 2019 (Protocol No. 3). Each patient provided informed consent following a thorough explanation of all procedures. Archival cytological preparations obtained by FNAB were used to analyze the molecular profile. All the samples were examined by a morphologist and had sufficient cellular strength. Not requiring special storage conditions, stained cytological preparations were stored at room temperature. While the retrospective design of this study may have introduced some bias, its impact on the results is considered negligible.
The mRNA set was primarily selected based on the literature review. Protein-coding genes were chosen so that their exon–intron structure enabled the detection of mRNA without the preliminary removal of genomic DNA. The list of mRNAs included 18 genes: FN1, GMNN, CDKN2A, TIMP1, CITED1, TPO, SLC26A7, HMGA, PD-L1, CPQ, RXRG, CLU, DIO1, TFF3, MEP, ECM1, SRPN, and TSHR.
The microRNA set was selected based on our own data [] and an analysis of existing literature data. A total of 13 microRNAs were included in experimental analysis: miR-146b-5p, miR-199b-5p, miR-221-3p, miR-223-3p, miR-31-5p, miR-375, miR-451a, miR-551b-3p, miR-185, miR-21, miR-148b-3p, miR-7m2, and miR-125b-5p. The BRAF V600E mutation and mtDNA were investigated independently. In total, 33 molecular genetic markers were analyzed in this investigation.
RNA isolation. The dried cytological preparation was washed into a tube containing three 200 μL portions of guanidine lysis buffer (4 M guanidine isothiocyanate, 25 mM sodium citrate, 0.3% sarkosyl, and 3% DTT aliquoted in an oxygen-free atmosphere, supplied by AO Vector-Best, Novosibirsk, Russia). The sample was thoroughly mixed and subsequently subjected to a thermal shaker for 15 min at a temperature of 65 °C. Subsequently, the tube was centrifuged at 10,000× g for 2 min. The supernatant was then transferred into new vials, followed by the addition of an equal volume of isopropanol. The reaction mixture was thoroughly mixed and left at room temperature for 5 min. After centrifugation for 10 min at 12,000× g, the supernatant was discarded, and the pellet was washed with 500 μL 70% ethanol and 300 μL acetone. Finally, the RNA was dissolved in 200 μL of deionized water. If not analyzed immediately, the RNA preparations were stored at −20 °C until further use.
Semi-quantitative assessment of messenger RNA level. All oligonucleotides were synthesized at AO Vector-Best (Novosibirsk, Russia). A semi-quantitative assessment of mRNA level was conducted using real-time RT-PCR with specific primers and fluorescent-labeled probes to detect the mRNAs of the respective genes and the phosphoglycerate kinase (PGK1) housekeeping gene, which was used as a normalization gene. The RT-PCR protocol was as follows: incubation at 45 °C for 30 min; heating at 95 °C for 2 min, followed by 50 cycles: denaturation at 94 °C for 10 s, annealing and elongation at 60 °C for 20 s. The relative expression level was calculated using the 2−ΔCq method [].
Detection of microRNAs. Real-time RT-PCR detection of 16 miRNAs was conducted for all types of tumors and lesions. Mature miRNAs were detected by stem-loop RT-PCR []. Real-time reverse-transcription PCR was conducted, as previously described []. A reverse transcription reaction followed by real-time PCR was performed individually for each miRNA. A single replicate of the analysis was performed for each sample. The miRNA level was normalized to the geometric mean of the levels of three reference miRNAs (miR-197-3p, -23a-3p, and -29b-3p) using the 2−ΔCq method.
Detection of somatic BRAF mutation. All the samples were analyzed to detect somatic mutations, specifically V600E, V600K, and V600R, in the BRAF gene. Somatic mutations were detected by allele-specific PCR with a hydrolyzable probe. The PCR protocol was as follows: pre-heating at 95 °C for 2 min, followed by 50 cycles of denaturation at 94 °C for 10 s and annealing and elongation at 60 °C for 15 s.
A statistical data analysis was conducted using the SPSS Statistics 23 (IBM, Armonk, NY, USA) and Excel software (Microsoft, Redmond, WA, USA). The data are presented as the mean and median values, as well as the first (Q1) and third (Q3) quartiles. A comparative analysis of two independent groups for quantitative traits was performed using the Mann–Whitney U test. The multiple hypothesis testing problem was solved using the family-wise error rate (FWER) with Bonferroni correction. The significance level p was calculated as 0.05 divided by the number of features being compared. A total of 33 features were compared in our study. Therefore, the differences at significance level p < 0.05/33 = 0.0015 were considered statistically significant. The odds ratio (OR) with a 95% confidence interval (CI) was calculated to assess associations between two binary characteristics.
A ROC analysis was conducted to assess the predictive power of expression levels of various microRNAs and genes and to predict the risk of detecting lymphogenic metastases in PTMC. The operating characteristics of the following parameters were calculated: sensitivity (SEN), specificity (SPC), positive predictive value (PPV), and negative predictive value (NPV). Test comparison was conducted with allowance for the area under the ROC curves (AUC). The expert scale employed for the assessment of model performance was as follows. Scores ranging from 0.9 to 1.0 are considered to be of excellent caliber, while those falling between 0.8 and 0.9 are deemed to be very good. Scores from 0.7 to 0.8 are classified as good, with those ranging from 0.6 to 0.7 being considered fair. Scores falling below 0.6 are classified as unsatisfactory.
5. Conclusions
A growing trend among clinicians involves favoring AS over surgical intervention for patients presenting with PTMC. A primary concern in dynamic patient monitoring is the potential for cervical metastasis. Resection of a single thyroid lobe is deemed sufficient in cases of papillary microcarcinoma. Should cervical lymph node metastases be detected during surgery, total thyroidectomy and radioiodine therapy will be required. Molecular markers may offer supplementary prognostic value to existing risk stratification systems in predicting lymphogenic metastasis in patients with PTMC. These studies are straightforward to perform and readily accessible preoperatively. A predictive panel incorporating multiple markers may provide a future solution to this issue. The incorporation of mir-146 into prospective active surveillance studies is expected to enable a more accurate assessment of its prognostic value in the early development of cervical lymph node metastases in individuals with thyroid cancer.
Author Contributions
Conceptualization, S.A.L., S.E.T. and V.E.V.; methodology, S.E.T., S.A.L. and A.V.D.; validation, S.A.L. and S.E.T.; formal analysis, S.A.L. and S.V.S.; investigation, S.E.T., S.A.L., A.V.D. and Y.A.V.; resources, S.A.L., E.V.B., E.A.T. and L.S.U.; data curation, S.A.L., S.E.T. and S.V.K.; writing—original draft preparation, S.E.T., S.A.L. and A.V.D.; writing—review and editing, S.V.S. and D.G.B.; supervision, S.V.S., V.E.V. and D.G.B.; project administration, S.A.L. and S.E.T.; funding acquisition, E.V.B., E.A.T. and L.S.U. All authors have read and agreed to the published version of the manuscript.
Funding
This study was supported by the Russian Science Foundation (project No. 20-14-00074-P). This research was funded by the Ministry of Science and Higher Education of the Russian Federation (Grant Number: 075-15-2022-310). This study was supported by the Tomsk State University Development Program (Priority-2030).
Institutional Review Board Statement
The study design was approved by the Ethics Committee of the South Ural State Medical University dated 18 April 2019 (protocol No. 3).
Informed Consent Statement
Consent has been obtained from each patient after full explanation of the purpose and nature of all procedures used.
Data Availability Statement
Data is contained within the article.
Acknowledgments
The research was carried out within the state assignment of the Ministry of Health of the Russian Federation (theme No. 124020600011-5).
Conflicts of Interest
Sergei E. Titov was employed in AO Vector-Best. The authors declare that this research was conducted in the absence of any commercial or financial relationships that could be construed as a potential conflict of interest. The funders had no role in the design of the study; in the collection, analyses, or interpretation of data; in the writing of the manuscript, or in the decision to publish the results.
References
- Deng, Y.; Li, H.; Wang, M.; Li, N.; Tian, T.; Wu, Y.; Xu, P.; Yang, S.; Zhai, Z.; Zhou, L.; et al. Global Burden of Thyroid Cancer From 1990 to 2017. JAMA Netw. Open 2020, 3, e208759. [Google Scholar] [CrossRef] [PubMed]
- Sugitani, I. Active surveillance of low-risk papillary thyroid microcarcinoma. Best Pract. Res. Clin. Endocrinol. Metab. 2023, 37, 101630. [Google Scholar] [CrossRef] [PubMed]
- Jasim, S.; Dean, D.S.; Gharib, H. Fine-Needle Aspiration of the Thyroid Gland. In Endotext; Feingold, K.R., Anawalt, B., Blackman, M.R., Boyce, A., Chrousos, G., Corpas, E., de Herder, W.W., Dhatariya, K., Dungan, K., Hofland, J., et al., Eds.; MDText.com, Inc.: South Dartmouth, MA, USA, 2000. [Google Scholar] [PubMed]
- Bi, J.; Zhang, H. A meta-analysis of total thyroidectomy and lobectomy outcomes in papillary thyroid microcarcinoma. Medicine 2023, 102, e36647. [Google Scholar] [CrossRef] [PubMed]
- Haugen, B.R.; Alexander, E.K.; Bible, K.C.; Doherty, G.M.; Mandel, S.J.; Nikiforov, Y.E.; Pacini, F.; Randolph, G.W.; Sawka, A.M.; Schlumberger, M.; et al. 2015 American thyroid association management guidelines for adult patients with thyroid nodules and differentiated thyroid cancer: The American thyroid association guidelines task force on thyroid nodules and differentiated thyroid cancer. Thyroid 2016, 26, 1–133. [Google Scholar] [CrossRef]
- Miyauchi, A.; Ito, Y.; Fujishima, M.; Miya, A.; Onoda, N.; Kihara, M.; Higashiyama, T.; Masuoka, H.; Kawano, S.; Sasaki, T.; et al. Long-Term Outcomes of Active Surveillance and Immediate Surgery for Adult Patients with Low-Risk Papillary Thyroid Microcarcinoma: 30-Year Experience. Thyroid 2023, 33, 817–825. [Google Scholar] [CrossRef]
- Brito, J.P.; Ito, Y.; Miyauchi, A.; Tuttle, R.M. A Clinical Framework to Facilitate Risk Stratification When Considering an Active Surveillance Alternative to Immediate Biopsy and Surgery in Papillary Microcarcinoma. Thyroid 2016, 26, 144–149. [Google Scholar] [CrossRef]
- Kong, S.H.; Ryu, J.; Kim, M.J.; Cho, S.W.; Song, Y.S.; Yi, K.H.; Park, D.J.; Hwangbo, Y.; Lee, Y.J.; Lee, K.E.; et al. Longitudinal Assessment of Quality of Life According to Treatment Options in Low-Risk Papillary Thyroid Microcarcinoma Patients: Active Surveillance or Immediate Surgery (Interim Analysis of MAeSTro). Thyroid 2019, 29, 1089–1096. [Google Scholar] [CrossRef]
- Jin, L.; Zhou, L.; Wang, J.B.; Tao, L.; Lu, X.X.; Yan, N.; Chen, Q.M.; Cao, L.P.; Xie, L. Whether Detection of Gene Mutations Could Identify Low- or High-Risk Papillary Thyroid Microcarcinoma? Data from 393 Cases Using the Next-Generation Sequencing. Int. J. Endocrinol. 2024, 2024, 2470721. [Google Scholar] [CrossRef]
- Patel, S.G.; Carty, S.E.; McCoy, K.L.; Ohori, N.P.; LeBeau, S.O.; Seethala, R.R.; Nikiforova, M.N.; Nikiforov, Y.E.; Yip, L. Preoperative detection of RAS mutation may guide extent of thyroidectomy. Surgery 2017, 161, 168–175. [Google Scholar] [CrossRef]
- Yip, L.; Nikiforova, M.N.; Yoo, J.Y.; McCoy, K.L.; Stang, M.T.; Armstrong, M.J.; Nicholson, K.J.; Ohori, N.P.; Coyne, C.; Hodak, S.P.; et al. Tumor genotype determines phenotype and disease-related outcomes in thyroid cancer: A study of 1510 patients. Ann. Surg. 2015, 262, 519–525; discussion 524–525. [Google Scholar] [CrossRef]
- Song, Y.S.; Lim, J.A.; Choi, H.; Won, J.K.; Moon, J.H.; Cho, S.W.; Lee, K.E.; Park, Y.J.; Yi, K.H.; Park, D.J.; et al. Prognostic effects of TERT promoter mutations are enhanced by coexistence with BRAF or RAS mutations and strengthen the risk prediction by the ATA or TNM staging system in differentiated thyroid cancer patients. Cancer 2016, 122, 1370–1379. [Google Scholar] [CrossRef] [PubMed]
- Schumm, M.A.; Shu, M.L.; Hughes, E.G.; Nikiforov, Y.E.; Nikiforova, M.N.; Wald, A.I.; Lechner, M.G.; Tseng, C.H.; Sajed, D.P.; Wu, J.X.; et al. Prognostic Value of Preoperative Molecular Testing and Implications for Initial Surgical Management in Thyroid Nodules Harboring Suspected (Bethesda V) or Known (Bethesda VI) Papillary Thyroid Cancer. JAMA Otolaryngol. Head. Neck Surg. 2023, 149, 735–742. [Google Scholar] [CrossRef]
- Yip, L.; Gooding, W.E.; Nikitski, A.; Wald, A.I.; Carty, S.E.; Karslioglu-French, E.; Seethala, R.R.; Zandberg, D.P.; Ferris, R.L.; Nikiforova, M.N.; et al. Risk assessment for distant metastasis in differentiated thyroid cancer using molecular profiling: A matched case-control study. Cancer 2021, 127, 1779–1787. [Google Scholar] [CrossRef]
- Liu, J.B.; Baugh, K.A.; Ramonell, K.M.; McCoy, K.L.; Karslioglu-French, E.; Morariu, E.M.; Ohori, N.P.; Nikiforova, M.N.; Nikiforov, Y.E.; Carty, S.E.; et al. Molecular Testing Predicts Incomplete Response to Initial Therapy in Differentiated Thyroid Carcinoma Without Lateral Neck or Distant Metastasis at Presentation: Retrospective Cohort Study. Thyroid 2023, 33, 705–714. [Google Scholar] [CrossRef] [PubMed]
- Zafon, C.; Gil, J.; Pérez-González, B.; Jordà, M. DNA methylation in thyroid cancer. Endocr. Relat. Cancer 2019, 26, R415–R439. [Google Scholar] [CrossRef]
- Rogucki, M.; Buczyńska, A.; Krętowski, A.J.; Popławska-Kita, A. The Importance of miRNA in the Diagnosis and Prognosis of Papillary Thyroid Cancer. J. Clin. Med. 2021, 10, 4738. [Google Scholar] [CrossRef]
- Nieto, H.R.; Thornton, C.E.M.; Brookes, K.; Nobre de Menezes, A.; Fletcher, A.; Alshahrani, M.; Kocbiyik, M.; Sharma, N.; Boelaert, K.; Cazier, J.B.; et al. Recurrence of Papillary Thyroid Cancer: A Systematic Appraisal of Risk Factors. J. Clin. Endocrinol. Metab. 2022, 107, 1392–1406. [Google Scholar] [CrossRef]
- Wang, M.; Li, R.; Zou, X.; Wei, T.; Gong, R.; Zhu, J.; Li, Z. A miRNA-clinicopathological nomogram for the prediction of central lymph node metastasis in papillary thyroid carcinoma-analysis from TCGA database. Medicine 2020, 99, e21996. [Google Scholar] [CrossRef] [PubMed]
- Lukyanov, S.A.; Titov, S.E.; Kozorezova, E.S.; Demenkov, P.S.; Veryaskina, Y.A.; Korotovskii, D.V.; Ilyina, T.E.; Vorobyev, S.L.; Zhivotov, V.A.; Bondarev, N.S.; et al. Prediction of the Aggressive Clinical Course of Papillary Thyroid Carcinoma Based on Fine Needle Aspiration Biopsy Molecular Testing. Int. J. Mol. Sci. 2024, 25, 7090. [Google Scholar] [CrossRef]
- Lee, E.K.; Moon, J.H.; Hwangbo, Y.; Ryu, C.H.; Cho, S.W.; Choi, J.Y.; Chung, E.J.; Jeong, W.J.; Jung, Y.S.; Ryu, J.; et al. Progression of Low-Risk Papillary Thyroid Microcarcinoma During Active Surveillance: Interim Analysis of a Multicenter Prospective Cohort Study of Active Surveillance on Papillary Thyroid Microcarcinoma in Korea. Thyroid 2022, 32, 1328–1336. [Google Scholar] [CrossRef]
- Dimov, R.; Kostov, G.; Doykov, M.; Hristov, B. Papillary microcarcinoma of the thyroid gland—Does size matter? Acta Endocrinol. 2023, 19, 163–168. [Google Scholar] [CrossRef] [PubMed]
- Lee, E.; Terhaar, S.; McDaniel, L.; Gorelik, D.; Gerhard, E.; Chen, C.; Ma, Y.; Joshi, A.S.; Goodman, J.F.; Thakkar, P.G. Diagnostic performance of the second-generation molecular tests in the assessment of indeterminate thyroid nodules: A systematic review and meta-analysis. Am. J. Otolaryngol. 2022, 43, 103394. [Google Scholar] [CrossRef] [PubMed]
- Attia, A.S.; Hussein, M.; Issa, P.P.; Elnahla, A.; Farhoud, A.; Magazine, B.M.; Youssef, M.R.; Aboueisha, M.; Shama, M.; Toraih, E.; et al. Association of BRAFV600E Mutation with the Aggressive Behavior of Papillary Thyroid Microcarcinoma: A Meta-Analysis of 33 Studies. Int. J. Mol. Sci. 2022, 23, 15626. [Google Scholar] [CrossRef]
- Wang, T.; Xu, H.; Qi, M.; Yan, S.; Tian, X. miRNA dysregulation and the risk of metastasis and invasion in papillary thyroid cancer: A systematic review and meta-analysis. Oncotarget 2017, 9, 5473–5479. [Google Scholar] [CrossRef] [PubMed]
- Titov, S.E.; Ivanov, M.K.; Karpinskaya, E.V.; Tsivlikova, E.V.; Shevchenko, S.P.; Veryaskina, Y.A.; Akhmerova, L.G.; Poloz, T.L.; Klimova, O.A.; Gulyaeva, L.F.; et al. miRNA profiling, detection of BRAF V600E mutation and RET-PTC1 translocation in patients from Novosibirsk oblast (Russia) with different types of thyroid tumors. BMC Cancer 2016, 16, 201. [Google Scholar] [CrossRef]
- Livak, K.J.; Schmittgen, T.D. Analysis of relative gene expression data using real-time quantitative PCR and the 2(-Delta Delta C(T)) Method. Methods 2001, 25, 402–408. [Google Scholar] [CrossRef]
- Chen, C.; Ridzon, D.A.; Broomer, A.J.; Zhou, Z.; Lee, D.H.; Nguyen, J.T.; Barbisin, M.; Xu, N.L.; Mahuvakar, V.R.; Andersen, M.R.; et al. Real-time quantification of microRNAs by stem-loop RT-PCR. Nucleic Acids Res. 2005, 33, e179. [Google Scholar] [CrossRef]
Disclaimer/Publisher’s Note: The statements, opinions and data contained in all publications are solely those of the individual author(s) and contributor(s) and not of MDPI and/or the editor(s). MDPI and/or the editor(s) disclaim responsibility for any injury to people or property resulting from any ideas, methods, instructions or products referred to in the content. |
© 2025 by the authors. Licensee MDPI, Basel, Switzerland. This article is an open access article distributed under the terms and conditions of the Creative Commons Attribution (CC BY) license (https://creativecommons.org/licenses/by/4.0/).