Coumarin–Dithiocarbamate Derivatives as Biological Agents
Abstract
1. Introduction
2. Biological Effects of Coumarins Containing the Dithiocarbamate Moiety
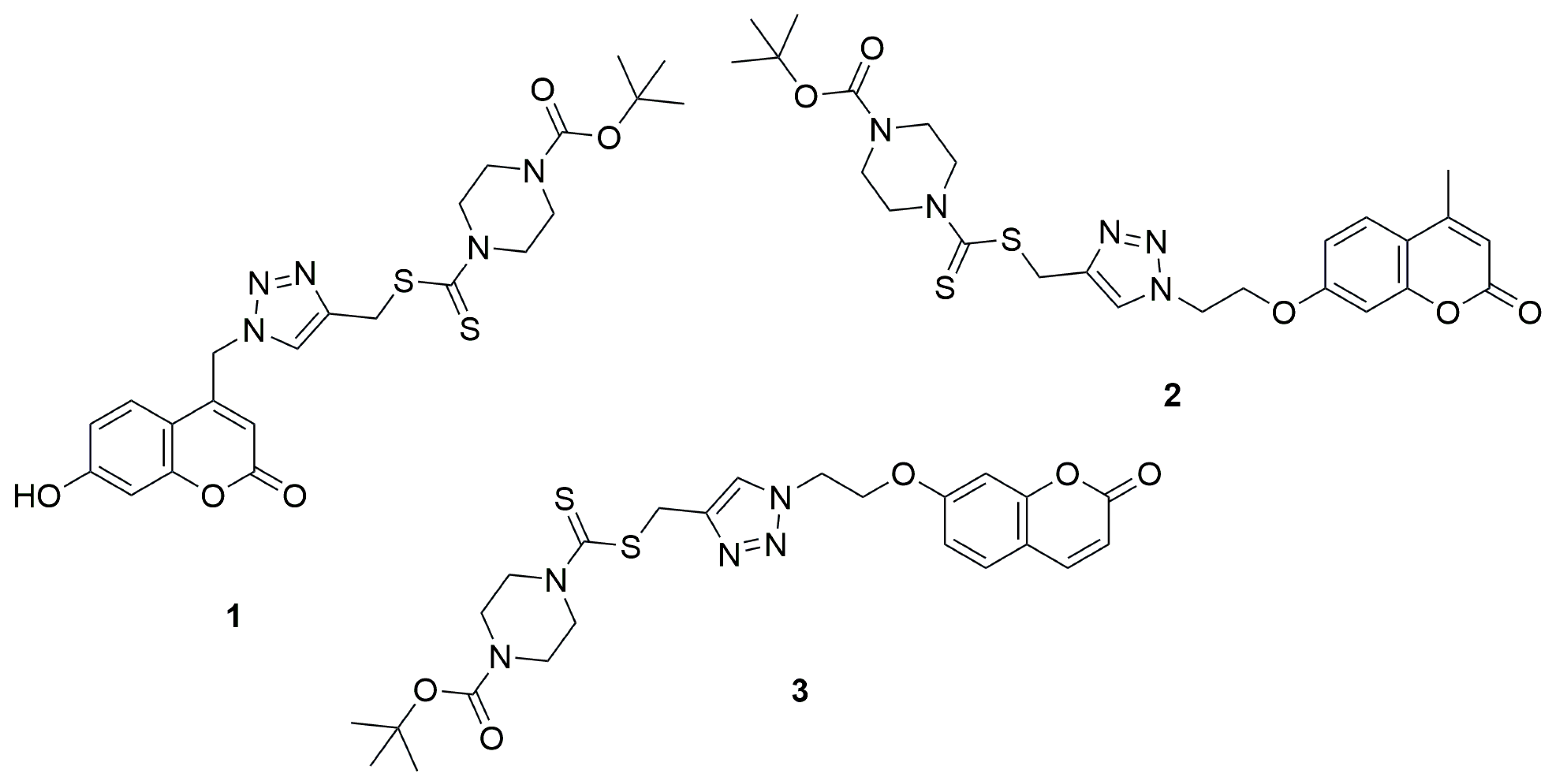
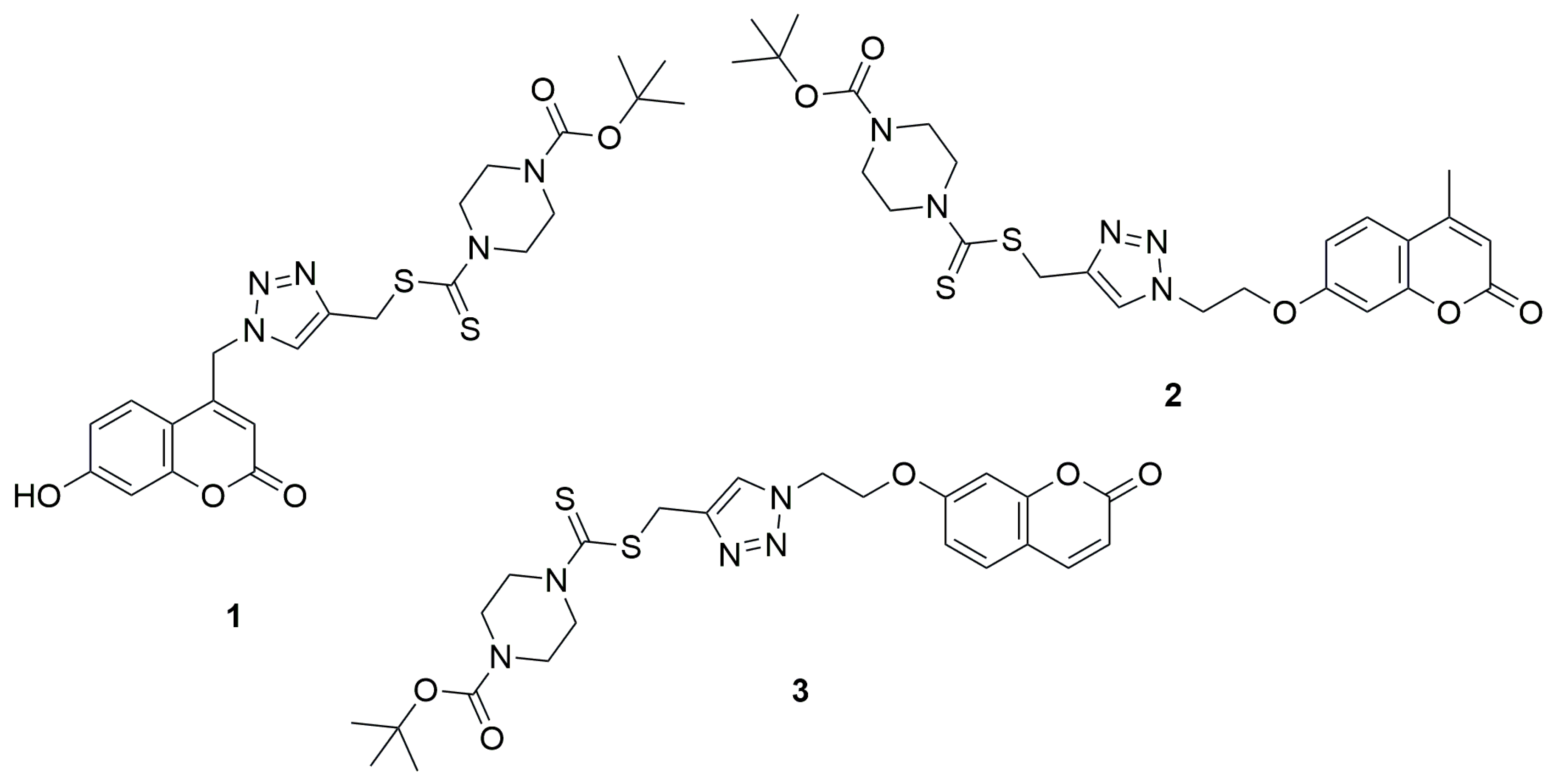
2.1. Coumarin–Dithiocarbamate Derivatives with Cytotoxic Activity
2.2. Coumarin–Dithiocarbamate Derivatives with Central Nervous System (CNS) Activity
2.3. Coumarin–Dithiocarbamate Derivatives with α-Glucosidase Inhibitory Effects
2.4. Coumarin–Dithiocarbamate Derivatives with Antimicrobial, Antifungal, and Antiparasitic Activity
3. Conclusions
Author Contributions
Funding
Conflicts of Interest
References
- Debnath, B.; Manna, S.; Maity, A.; Panda, S.; Bandyopadhyay, K.; Bhattacharjee, S.; Khan, S.; Islam, S.M.; Thekkekkara, D.; Alam Khan, S.; et al. Synthetic Strategies and Structure Activity Relationships (SAR) of Biologically Active Coumarin-Based Hybrids. ChemistrySelect 2025, 10, e202406069. [Google Scholar] [CrossRef]
- Annunziata, F.; Pinna, C.; Dallavalle, S.; Tamborini, L.; Pinto, A. An Overview of Coumarin as a Versatile and Readily Accessible Scaffold with Broad-Ranging Biological Activities. Int. J. Mol. Sci. 2020, 21, 4618. [Google Scholar] [CrossRef] [PubMed]
- Poterucha, T.J.; Goldhaber, S.Z. Warfarin and Vascular Calcification. Am. J. Med. 2016, 129, 635.e1–635.e4. [Google Scholar] [CrossRef]
- Van Schie, R.M.F.; Wessels, J.A.M.; le Cessie, S.; de Boer, A.; Schalekamp, T.; van der Meer, F.J.M. Loading and maintenance dose algorithms for phenprocoumon and acenocoumarol using patient characteristics and pharmacogenetic data. Eur. Heart J. 2011, 32, 1909–1917, Erratum in Eur. Heart J. 2013, 34, 1854. [Google Scholar] [CrossRef]
- King, N.; Tran, M.-H. Long-Acting Anticoagulant Rodenticide (Superwarfarin) Poisoning: A Review of Its Historical Development, Epidemiology, and Clinical Management. Transfus. Med. Rev. 2015, 29, 250–258. [Google Scholar] [CrossRef]
- Walsh, T.J.; Standiford, H.C.; Reboli, A.C.; John, J.F.; Mulligan, M.E.; Ribner, B.S.; Montgomerie, J.Z.; Goetz, M.B.; Mayhall, C.G.; Rimland, D.; et al. Randomized double-blinded trial of rifampin with either novobiocin or trimethoprim-sulfamethoxazole against methicillin-resistant Staphylococcus aureus colonization: Prevention of antimicrobial resistance and effect of host factors on outcome. Antimicrob. Agents Chemother. 1993, 37, 1334–1342. [Google Scholar] [CrossRef]
- Bethea, D.; Fullmer, B.; Seltzer, S.G.; Tiano, J.; Rischko, C.; Gillespie, L.; Brown, D.; Gasparro, F.P. Psoralen photobiology an photochemotherapy: 50 years of science and medicine. J. Dermatol. Sci. 1999, 19, 78–88. [Google Scholar] [CrossRef]
- Bhagat, P.P.; Bansode, T.N. Coumarin Derivatives: Pioneering New Frontiers in Biological Applications. Cur. Org. Chem. 2024, 29, 794–813. [Google Scholar] [CrossRef]
- Singh, H.; Singh, J.V.; Bhagat, K.; Gulati, H.K.; Sanduja, M.; Kumar, N.; Kinarivala, N.; Sharma, S. Rational approaches, design strategies, structure activity relationship and mechanistic insights for therapeutic coumarin hybrids. Bioorg. Med. Chem. 2019, 27, 3477–3510. [Google Scholar] [CrossRef]
- Aly, A.A.; Brown, A.B.; Bedair, T.M.I.; Ishak, E.A. Dithiocarbamate salts: Biological activity, preparation, and utility in organic synthesis. J. Sulfur. Chem. 2012, 33, 605–617. [Google Scholar] [CrossRef]
- Grainger, R.S.; Innocenti, P. New Applications of Dithiocarbamates in Organic Synthesis. Inc. Heteroatom. Chem. 2007, 18, 568–571. [Google Scholar] [CrossRef]
- Kanchi, S.; Singh, P.; Bisetty, K. Dithiocarbamates as hazardous remediation agent: A critical review on progress in environmental chemistry for inorganic species studies of 20th century. Arab. J. Chem. 2014, 7, 11–25. [Google Scholar] [CrossRef]
- Morf, P.; Raimondi, F.; Nothofer, H.G.; Schnyder, B.; Yasuda, A.; Wessels, J.M.; Jung, T.A. Dithiocarbamates: Functional and versatile linkers for the forma-tion of self-assembled monolayers. Langmuir 2006, 22, 658–663. [Google Scholar] [CrossRef]
- Moad, G. A critical survey of dithiocarbamate reversible addition-fragmentation chain transfer (RAFT) agents in radical polymerization. J. Polym. Sci. Part A Polym. Chem. 2019, 57, 216–227. [Google Scholar] [CrossRef]
- Szolar, O.H.J. Environmental and pharmaceutical analysis of dithiocarbamates. Anal. Chim. Acta 2007, 582, 191. [Google Scholar] [CrossRef] [PubMed]
- Bala, V.; Gupta, G.; Sharma, V.L. Chemical and medicinal versatility of dithiocarbamates: An overview. Mini Rev. Med. Chem. 2014, 14, 1021–1032. [Google Scholar] [CrossRef] [PubMed]
- Adokoh, C.K. Therapeutic potential of dithiocarbamate supported gold compounds. RSC Adv. 2020, 10, 2975–2988. [Google Scholar] [CrossRef]
- De Freitas Oliveira, J.W.; Rocha, H.A.O.; Queiroz de Medeiros, W.M.T.; Silva, M.S. Application of Dithiocarbamates as Potential New Antitrypanosomatids-Drugs: Approach Chemistry, Functional and Biological. Molecules 2019, 24, 2806. [Google Scholar] [CrossRef]
- Odularu, A.T.; Ajibade, P.A. Dithiocarbamates: Challenges, Control, and Approaches to Excellent Yield, Characterization, and Their Biological Applications. Bioinorg. Chem. Appl. 2019, 2019, 8260496. [Google Scholar] [CrossRef]
- Mangasuli, S.N.; Hosamani, K.M.; Managutti, P.B. Synthesis of novel coumarin derivatives bearing dithiocarbamate moiety: An approach to microwave, molecular docking, Hirshfeld surface analysis, DFT studies and potent anti-microbial agents. J. Mol. Struct. 2019, 1195, 58–72. [Google Scholar] [CrossRef]
- Zvarych, V.; Stasevych, M.; Lunin, V.; Deniz, N.G.; Sayil, C.; Ozyurek, M.; Guclu, K.; Vovk, M.; Novikov, V. Synthesis and investigation of antioxidant activity of the dithiocarbamate derivatives of 9,10-anthracenedione. Monatshefte 2016, 147, 2093–2101. [Google Scholar] [CrossRef]
- Hamdani, S.S.; Khan, B.A.; Hameed, S.; Rashid, F.; Zaib, S.; Ahmad, K.; Mughal, E.U.; Iqbal, J. Cytotoxicity, pro-apoptotic activity and in silico studies of dithiocarbamates and their structure based design and SAR studies. Med. Chem. 2019, 15, 892–902. [Google Scholar] [CrossRef] [PubMed]
- Len, C.; Boulogne-Merlot, A.S.; Postel, D.; Ronco, G.; Villa, P.; Goubert, C.; Jeufrault, E.; Mathon, B.; Simon, H. Synthesis and antifungal activity of novel bis(dithiocarbamate) derivatives of glycerol. J. Agric. Food Chem. 1996, 44, 2856–2858. [Google Scholar] [CrossRef]
- Hogarth, G. Metal-dithiocarbamate complexes: Chemistry and biolog-ical activity. Mini Rev. Med. Chem. 2012, 12, 1202–1215. [Google Scholar] [CrossRef]
- Shinde, S.D.; Sakla, A.P.; Shankaraiah, N. An insight into medicinal attributes of dithiocarbamates: Bird’s eye view. Bioorg. Chem. 2020, 105, 104346. [Google Scholar] [CrossRef]
- Liang, Y.; de Wispelaere, M.; Carocci, M.; Liu, Q.; Wang, J.; Yang, P.L.; Gray, N.S. Structure-Activity Relationship Study of QL47: A broad-spectrum antiviral agent. ACS Med. Chem. Lett. 2017, 8, 344–349. [Google Scholar] [CrossRef]
- Skrott, Z.; Mistrik, M.; Andersen, K.K.; Friis, S.; Majera, D.; Gursky, J.; Ozdian, T.; Bartkova, J.; Turi, Z.; Moudry, P.; et al. Alcohol-abuse drug disulfiram targets cancer via p97 segregase adaptor NPL4. Nature 2017, 55, 194–199. [Google Scholar] [CrossRef]
- Hanel, H.; Raether, W.; Dittmar, W. Evaluation of fungicidal action in vitro and in a skin model considering the influence of penetration kinetics of various standard antimycotics. Ann. N. Y. Acad. Sci. 1998, 544, 329–337. [Google Scholar] [CrossRef]
- Ramirez, M.A.; Borja, N.L. Epalrestat: An aldose reductase inhibitor for the treatment of diabetic neuropathy. Pharmacotherapy 2008, 28, 646–655. [Google Scholar] [CrossRef]
- Moriarty, R.M.; Naithani, R.; Kosmeder, J.; Prakash, O. Cancer chemopreventive activity of sulforamate derivatives. Eur. J. Med. Chem. 2006, 41, 121–124. [Google Scholar] [CrossRef]
- Duan, Y.-C.; Ma, Y.-C.; Zhang, E.; Shi, X.-J.; Wang, M.-M.; Ye, X.-W.; Liu, H.-M. Design and synthesis of novel 1,2,3-triazole-dithiocarbamate hybrids as potential anticancer agents. Eur. J. Med. Chem. 2013, 62, 11–19. [Google Scholar] [CrossRef]
- Ye, X.-W.; Zheng, Y.-C.; Duan, Y.-C.; Wang, M.-M.; Yu, B.; Ren, J.-L.; Ma, J.-L.; Zhang, E.; Liu, H.-M. Synthesis and biological evaluation of coumarin-1,2,3-triazole-dithiocarbamate hybrids as potent LSD1 inhibitors. Med. Chem. Commun. 2014, 5, 650–654. [Google Scholar] [CrossRef]
- Li, R.-D.; Wang, H.-L.; Li, Y.-B.; Wang, Z.-Q.; Wang, X.; Wang, Y.-T.; Ge, Z.-M.; Li, R.-T. Discovery and optimization of novel dual dithiocarbamates as potent anticancer agents. Eur. J. Med. Chem. 2015, 93, 381–391. [Google Scholar] [CrossRef] [PubMed]
- Haiyan, S.; Hongshun, S.; Mingzhen, L.; Wei, H.; Guangfu, Y. Lead optimization and antiproliferative activity using a new dithiocarbamates substructure. Chin. J. Org. Chem. 2018, 38, 2067–2075. [Google Scholar] [CrossRef]
- Zhu, H.; Ying, S.; Zhou, B.; Hu, X.; Liang, X.; Li, W.; Wang, D.; Jin, H.; Pan, Y. Design, synthesis, and evaluation of novel coumarin-dithiocarbamate derivatives (IDs) as anti-colorectal cancer agents. J. Enzym. Inhib. Med. Chem. 2021, 36, 593–604. [Google Scholar] [CrossRef] [PubMed]
- Begines, P.; Bonardi, A.; Giovannuzzi, S.; Nocentini, A.; Gratteri, P.; De Luca, V.; Gonzalez-Bakker, A.; Padron, J.M.; Capasso, C.; Supuran, C.T. Synthesis and investigation of selective human carbonic anhydrase IX, XII inhibitors using coumarins bearing a sulfonamide or biotin moiety. Chem.-Biol. Interact. 2024, 404, 111284. [Google Scholar] [CrossRef]
- He, Q.; Liu, J.; Lan, J.-S.; Ding, J.; Sun, Y.; Fang, Y.; Jiang, N.; Yang, Z.; Sun, L.; Jin, Y.; et al. Coumarin-dithiocarbamate hybrids as novel multitarget AChE and MAO-B inhibitors against Alzheimer’s disease: Design, synthesis and biological evaluation. Bioorg. Chem. 2018, 81, 512–528. [Google Scholar] [CrossRef]
- Azam, U.; Naseer, M.M.; Rochais, C. Analysis of skeletal diversity of multi-target directed ligands (MTDLs) targeting Alzheimer’s disease. Eur. J. Med. Chem. 2025, 286, 117277. [Google Scholar] [CrossRef]
- Rullo, M.; La Spada, G.; Stefanachi, A.; Macchia, E.; Pisani, L.; Leonetti, F. Playing Around the Coumarin Core in the Discovery of Multimodal Compounds Directed at Alzheimer’s-Related Targets: A Recent Literature Overview. Molecules 2025, 30, 891. [Google Scholar] [CrossRef]
- Mishra, P.S.; Kumar, A.; Kaur, K.; Jaitak, V. Recent Developments in Coumarin Derivatives as Neuroprotective Agents. Curr. Med. Chem. 2024, 31, 5702–5738. [Google Scholar] [CrossRef]
- Patel, A.; Shah, D.; Patel, Y.; Patel, S.; Mehta, M.; Bambharoliya, T. A Review on Recent Development of Novel Heterocycles as Acetylcholinesterase Inhibitor for the Treatment of Alzheimer’s Disease. Curr. Drug Targets 2023, 24, 225–246. [Google Scholar] [CrossRef] [PubMed]
- Zhang, H.; Wang, Y.; Wang, Y.; Li, X.; Wang, S.; Wang, Z. Recent advance on carbamate-based cholinesterase inhibitors as potential multifunctional agents against Alzheimer’s disease. Eur. J. Med. Chem. 2022, 240, 114606. [Google Scholar] [CrossRef] [PubMed]
- Husain, A.; Balushi, K.A.; Akhtar, M.J.; Khan, S.A. Coumarin linked heterocyclic hybrids: A promising approach to develop multi target drugs for Alzheimer’s disease. J. Mol. Struct. 2021, 1241, 130618. [Google Scholar] [CrossRef]
- Manzoor, S.; Hoda, N. A comprehensive review of monoamine oxidase inhibitors as Anti-Alzheimer’s disease agents: A review. Eur. J. Med. Chem. 2020, 206, 112787. [Google Scholar] [CrossRef] [PubMed]
- Gontijo, V.S.; Viegas, F.P.D.; Ortiz, C.J.C.; de Freitas Silva, M.; Damasio, C.M.; Rosa, M.C.; Campos, T.G.; Couto, D.S.; Dias, K.S.T.; Viegas, C. Molecular Hybridization as a Tool in the Design of Multi-target Directed Drug Candidates for Neurodegenerative Diseases. Curr. Neuropharmacol. 2020, 18, 348–407. [Google Scholar] [CrossRef]
- Jiang, N.; Huang, Q.; Liu, J.; Liang, N.; Li, Q.; Li, Q.; Xie, S.-S. Design, synthesis and biological evaluation of new coumarin-dithiocarbamate hybrids as multifunctional agents for the treatment of Alzheimer’s disease. Eur. J. Med. Chem. 2018, 146, 287–298. [Google Scholar] [CrossRef]
- Elahabaadi, E.; Salarian, A.A.; Nassireslami, E. Design, Synthesis, and Molecular Docking of Novel Hybrids of Coumarin-Dithiocarbamate Alpha-Glucosidase Inhibitors Targeting Type 2 Diabetes Mellitus. Polycycl. Aromat. Comp. 2021, 1, 4317–4327. [Google Scholar] [CrossRef]
- Mollazadeh, M.; Mohammadi-Khanaposhtani, M.; Valizadeh, Y.; Zonouzi, A.; Faramarzi, M.A.; Kiani, M.; Biglar, M.; Larijani, B.; Hamedifar, H.; Mahdavi, M.; et al. Novel Coumarin Containing Dithiocarbamate Derivatives as Potent α-Glucosidase Inhibitors for Management of Type 2 Diabetes. Med. Chem. 2021, 17, 264–272. [Google Scholar] [CrossRef]
- Kraljević, T.; Piškor, J.; Brajša, K.; Kralj, M.; Krištafor, S.; Frkanec, R.; Šuman, L.; Karminski-Zamola, G.; Piantanida, I.; Frkanec, L. Design, synthesis and biological evaluation of novel 7-hydroxycoumarin–1,2,3-triazole hybrids bearing dithiocarbamate/sulfonamide moieties. Eur. J. Med. Chem. 2016, 124, 794–808. [Google Scholar] [CrossRef]
- Mangasuli, S.; Patil, B.R.; Patil, S.; Basanagouda, M.; Kulkarni, M.V.; Biradar, D. Design, Synthesis and Antimicrobial Evaluation of Some New Coumarin Dithiocarbamate Derivatives. J. Heterocycl. Chem. 2018, 55, 1644. [Google Scholar]
- Abdel-Aziz, N.F.; Elshahawy, I.E.; Abdelmaksoud, N.M.; Abdelwahab, A.B.; El-Sawy, E.R. Coumarin-6-sulfonyl derivative: A novel antimicrobial candidate and agriculture control of strawberry black root-rot. Biocatal. Agric. Biotechnol. 2025, 66, 103611. [Google Scholar] [CrossRef]
- Philip, B.M.; Joseph, J.S.; Kumar, K.M.; Devarajegowda, H.C.; Chandy, J.; Sajan, D. Molecular docking and spectral analysis of (5,7-Dimethyl-2-oxo-2H-chromen-4-yl)-methyl diethyldithiocarbamate: A potential bioactive agent. Chem. Phys. Lett. 2018, 711, 87–99. [Google Scholar] [CrossRef]
- Rennar, G.A.; Gallinger, T.L.; Mader, P.; Lange-Grünweller, K.; Haeberlein, S.; Grünweller, A.; Grevelding, C.G.; Schlitzer, M. Disulfiram and dithiocarbamate analogues demonstrate promising antischistosomal effects. Eur. J. Med. Chem. 2022, 236, 114641. [Google Scholar] [CrossRef]

















Disclaimer/Publisher’s Note: The statements, opinions and data contained in all publications are solely those of the individual author(s) and contributor(s) and not of MDPI and/or the editor(s). MDPI and/or the editor(s) disclaim responsibility for any injury to people or property resulting from any ideas, methods, instructions or products referred to in the content. |
© 2025 by the authors. Licensee MDPI, Basel, Switzerland. This article is an open access article distributed under the terms and conditions of the Creative Commons Attribution (CC BY) license (https://creativecommons.org/licenses/by/4.0/).
Share and Cite
Wiliński, P.; Kurzątkowski, A.; Ostrowska, K. Coumarin–Dithiocarbamate Derivatives as Biological Agents. Int. J. Mol. Sci. 2025, 26, 9667. https://doi.org/10.3390/ijms26199667
Wiliński P, Kurzątkowski A, Ostrowska K. Coumarin–Dithiocarbamate Derivatives as Biological Agents. International Journal of Molecular Sciences. 2025; 26(19):9667. https://doi.org/10.3390/ijms26199667
Chicago/Turabian StyleWiliński, Piotr, Aleksander Kurzątkowski, and Kinga Ostrowska. 2025. "Coumarin–Dithiocarbamate Derivatives as Biological Agents" International Journal of Molecular Sciences 26, no. 19: 9667. https://doi.org/10.3390/ijms26199667
APA StyleWiliński, P., Kurzątkowski, A., & Ostrowska, K. (2025). Coumarin–Dithiocarbamate Derivatives as Biological Agents. International Journal of Molecular Sciences, 26(19), 9667. https://doi.org/10.3390/ijms26199667

