Hybridization Design and High-Throughput Screening of Peptides with Immunomodulatory and Antioxidant Activities
Abstract
1. Introduction
2. Results
2.1. Hybrid Peptide Design
2.2. Hybrid Peptide Sequence Information and Toxicity Prediction
2.3. Three-Dimensional Modeling and Molecular Docking with HDOCK
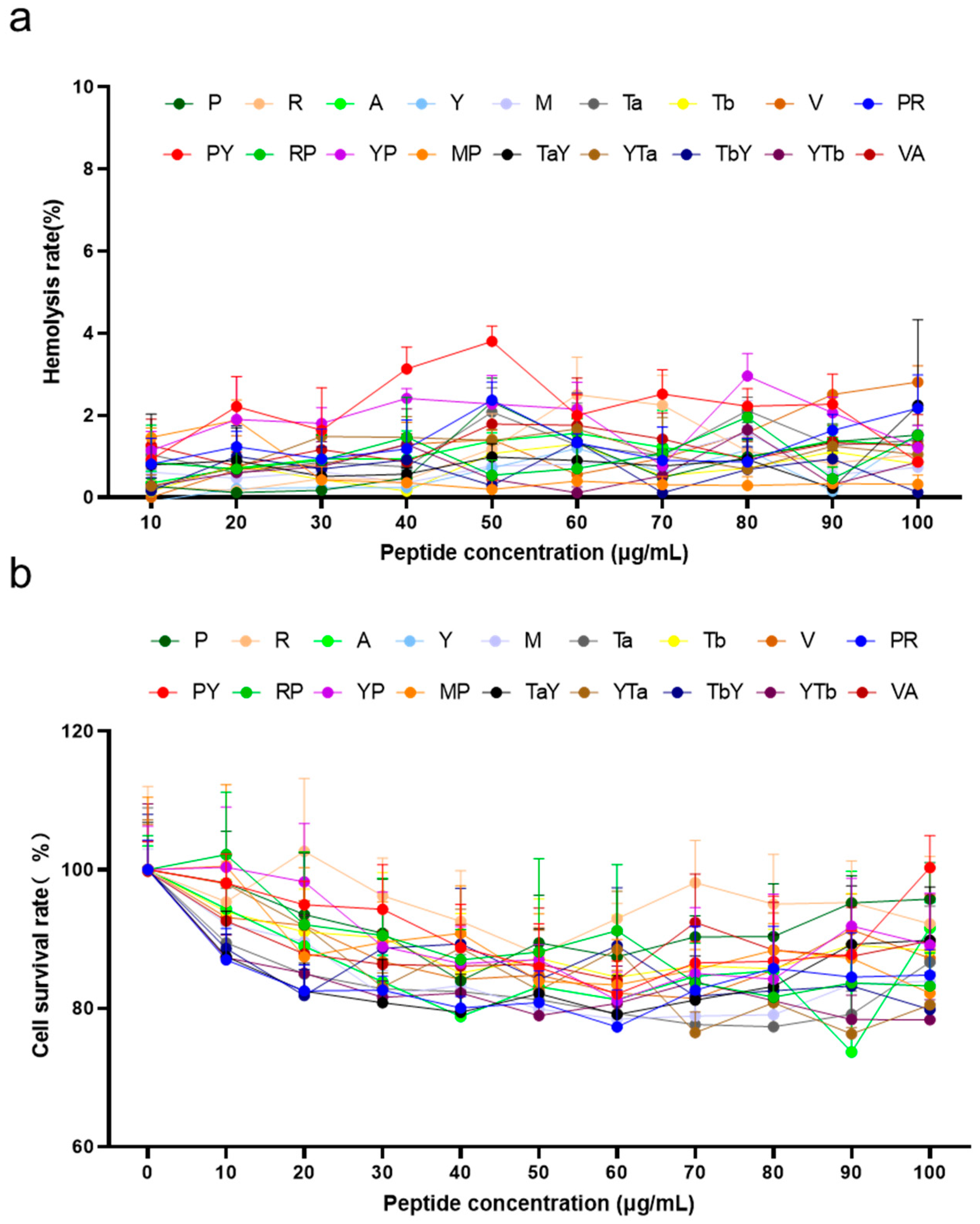
2.4. Biocompatibility of Hybrid Peptides
2.5. Screening Hybrid Peptides for Immune Modulatory and Antioxidant Activities Using Luciferase Reporter Assays
2.6. Immune-Enhancing Activity of Hybrid Peptides
2.7. Protective Effect of Hybrid Peptides Against H2O2-Induced Oxidative Damage in HepG2 Cells
3. Discussion
4. Materials and Methods
4.1. Peptide Design and Synthesis
4.2. Peptide Modeling and Molecular Docking
4.3. Cell Culture
4.4. Construction of Luciferase Reporter Gene Stable Cell Lines and Luciferase Reporter Assay
4.5. Cytotoxicity Assay
4.6. Hemolysis Assay
4.7. Enzyme-Linked Immunosorbent Assay (ELISA)
4.8. H2O2-Induced Oxidative Damage Model in HepG2 Cells
4.9. Statistical Analysis
5. Conclusions
Supplementary Materials
Author Contributions
Funding
Institutional Review Board Statement
Informed Consent Statement
Data Availability Statement
Conflicts of Interest
Abbreviations
| TLR4 | Toll-like receptor 4 |
| MD2 | Myeloid differentiation protein-2 |
| LPS | Lipopolysaccharides |
| NF-κB | Nuclear factor kappa-B |
| ARE | Antioxidant response elements |
| Keap1 | Kelch-like ECH-associated protein 1 |
| Nrf2 | Nuclear factor erythroid 2-related factor 2 |
| TNF-α | Tumor necrosis factor-α |
| IL-6 | Interleukin-6 |
| IL-1β | Interleukin-1β |
References
- Wang, J.; Han, C.; Lu, Z.; Ge, P.; Cui, Y.; Zhao, D.; Yang, X.; Wu, B.; Qiang, L.; Zhang, Y.; et al. Simulated microgravity suppresses MAPK pathway-mediated innate immune response to bacterial infection and induces gut microbiota dysbiosis. FASEB J. 2020, 34, 14631–14644. [Google Scholar] [CrossRef] [PubMed]
- Kim, S.M.; Park, S.; Hwang, S.H.; Lee, E.Y.; Kim, J.H.; Lee, G.S.; Lee, G.; Chang, D.H.; Lee, J.G.; Hwang, J.; et al. Secreted Akkermansia muciniphila threonyl-tRNA synthetase functions to monitor and modulate immune homeostasis. Cell Host Microbe 2023, 31, 1021–1037.e1010. [Google Scholar] [CrossRef]
- Wraith, D.C. The Future of Immunotherapy: A 20-Year Perspective. Front. Immunol. 2017, 8, 1668. [Google Scholar] [CrossRef] [PubMed]
- Ferlay, J.; Shin, H.R.; Bray, F.; Forman, D.; Mathers, C.; Parkin, D.M. Estimates of worldwide burden of cancer in 2008: GLOBOCAN 2008. Int. J. Cancer 2010, 127, 2893–2917. [Google Scholar] [CrossRef] [PubMed]
- Cao, L.L.; Kagan, J.C. Targeting innate immune pathways for cancer immunotherapy. Immunity 2023, 56, 2206–2217. [Google Scholar] [CrossRef]
- Goldszmid, R.S.; Dzutsev, A.; Trinchieri, G. Host immune response to infection and cancer: Unexpected commonalities. Cell Host Microbe 2014, 15, 295–305. [Google Scholar] [CrossRef] [PubMed]
- Fitzgerald, K.A.; Kagan, J.C. Toll-like Receptors and the Control of Immunity. Cell 2020, 180, 1044–1066. [Google Scholar] [CrossRef]
- Li, W.; Liu, M.; Lai, S.; Xu, C.; Lu, F.; Xiao, X.; Bao, Y. Immunomodulatory effects of polysaccharopeptide (PSP) in human PBMC through regulation of TRAF6/TLR immunosignal-transduction pathways. Immunopharmacol. Immunotoxicol. 2010, 32, 576–584. [Google Scholar] [CrossRef] [PubMed]
- Zhou, L.; Liu, Z.; Wang, Z.; Yu, S.; Long, T.; Zhou, X.; Bao, Y. Astragalus polysaccharides exerts immunomodulatory effects via TLR4-mediated MyD88-dependent signaling pathway in vitro and in vivo. Sci. Rep. 2017, 7, 44822. [Google Scholar] [CrossRef]
- Yu, Z.; Wang, Y.; Shuian, D.; Liu, J.; Zhao, W. Identification and Molecular Mechanism of Novel Immunomodulatory Peptides from Gelatin Hydrolysates: Molecular Docking, Dynamic Simulation, and Cell Experiments. J. Agric. Food Chem. 2023, 71, 2924–2934. [Google Scholar] [CrossRef]
- Wang, Z.; Chen, G.; Chen, L.; Liu, X.; Fu, W.; Zhang, Y.; Li, C.; Liang, G.; Cai, Y. Insights into the binding mode of curcumin to MD-2: Studies from molecular docking, molecular dynamics simulations and experimental assessments. Mol. Biosyst. 2015, 11, 1933–1938. [Google Scholar] [CrossRef] [PubMed]
- Wu, S.; Zhang, C.; Wang, Y.; Li, P.; Du, X.; Wang, X. Dissecting the species-specific recognition of Neoseptin 3 by TLR4/MD2 via molecular dynamics simulations. Phys. Chem. Chem. Phys. 2023, 25, 13012–13018. [Google Scholar] [CrossRef]
- Halliwell, B. Understanding mechanisms of antioxidant action in health and disease. Nat. Rev. Mol. Cell Biol. 2023, 25, 13–33. [Google Scholar] [CrossRef] [PubMed]
- Raghunath, A.; Sundarraj, K.; Nagarajan, R.; Arfuso, F.; Bian, J.; Kumar, A.P.; Sethi, G.; Perumal, E. Antioxidant response elements: Discovery, classes, regulation and potential applications. Redox Biol. 2018, 17, 297–314. [Google Scholar] [CrossRef]
- Zhu, L.; He, S.; Huang, L.; Ren, D.; Nie, T.; Tao, K.; Xia, L.; Lu, F.; Mao, Z.; Yang, Q. Chaperone-mediated autophagy degrades Keap1 and promotes Nrf2-mediated antioxidative response. Aging Cell 2022, 21, e13616. [Google Scholar] [CrossRef] [PubMed]
- Liu, S.; Pi, J.; Zhang, Q. Signal amplification in the KEAP1-NRF2-ARE antioxidant response pathway. Redox Biol. 2022, 54, 102389. [Google Scholar] [CrossRef]
- Abed, D.A.; Goldstein, M.; Albanyan, H.; Jin, H.; Hu, L. Discovery of direct inhibitors of Keap1–Nrf2 protein–protein interaction as potential therapeutic and preventive agents. Acta Pharm. Sin. B 2015, 5, 285–299. [Google Scholar] [CrossRef] [PubMed]
- Luan, J.; Wang, L.; Yang, J.; Li, X.; Wang, J.; Cui, F.; Mi, H.; Xu, Y.; Yi, S.; Li, J. Identification, molecular docking, and protective effects on H2O2-induced HEK-293 cell oxidative damage of antioxidant peptides from Pacific saury (Cololabis saira). Food Funct. 2023, 14, 160–170. [Google Scholar] [CrossRef]
- Miao, X.; Liu, X.; Chen, H.; Wang, C.; Diao, J. Restoration and preservation effects of mung bean antioxidant peptides on H2O2-induced WRL-68 cells via Keap1-Nrf2 pathway. Food Sci. Nutr. 2023, 11, 7130–7144. [Google Scholar] [CrossRef]
- Lai, J.; Yao, Y.; Zhang, Y.; Liu, Y.; Lu, C.; Meng, C.; Xia, D.; Li, Y.; Cao, K.; Gao, X.; et al. Cell-Penetrating Peptide Conjugated Au Nanoclusters Selectively Suppress Refractory Lymphoma Cells via Targeting Both Canonical and Noncanonical NF-κB Signaling Pathways. Bioconjug. Chem. 2023, 34, 228–237. [Google Scholar] [CrossRef] [PubMed]
- Kumar, S.D.; Kim, E.Y.; Radhakrishnan, N.K.; Bang, J.K.; Yang, S.; Shin, S.Y. Enhanced Antibacterial, Anti-Inflammatory, and Antibiofilm Activities of Tryptophan-Substituted Peptides Derived from Cecropin A-Melittin Hybrid Peptide BP100. Molecules 2024, 29, 5231. [Google Scholar] [CrossRef]
- Wang, J.; Tang, Y.; Zhao, X.; Ding, Z.; Ahmat, M.; Si, D.; Zhang, R.; Wei, X. Molecular hybridization modification improves the stability and immunomodulatory activity of TP5 peptide. Front. Immunol. 2024, 15, 1472839. [Google Scholar] [CrossRef] [PubMed]
- Trevellin, G.F.; Kwag, J.; Shui, M.L.; Klim, H.; Alvarez, V.; Darling, L.E.O.; Elmore, D.E. Hybrids of Membrane-Translocating Antimicrobial Peptides Show Enhanced Activity through Membrane Permeabilization. ACS Med. Chem. Lett. 2024, 15, 1918–1924. [Google Scholar] [CrossRef] [PubMed]
- Zhang, L.; Wei, X.; Zhang, R.; Si, D.; Petitte, J.N.; Ahmad, B.; Zhang, M. A Novel Peptide Ameliorates LPS-Induced Intestinal Inflammation and Mucosal Barrier Damage via Its Antioxidant and Antiendotoxin Effects. Int. J. Mol. Sci. 2019, 20, 3974. [Google Scholar] [CrossRef]
- Tsaban, T.; Varga, J.K.; Avraham, O.; Ben-Aharon, Z.; Khramushin, A.; Schueler-Furman, O. Harnessing protein folding neural networks for peptide-protein docking. Nat. Commun. 2022, 13, 176. [Google Scholar] [CrossRef]
- Rajpoot, S.; Solanki, K.; Kumar, A.; Zhang, K.Y.J.; Pullamsetti, S.S.; Savai, R.; Faisal, S.M.; Pan, Q.; Baig, M.S. In-Silico Design of a Novel Tridecapeptide Targeting Spike Protein of SARS-CoV-2 Variants of Concern. Int. J. Pept. Res. Ther. 2022, 28, 28. [Google Scholar] [CrossRef] [PubMed]
- Masomian, M.; Lalani, S.; Poh, C.L. Molecular Docking of SP40 Peptide towards Cellular Receptors for Enterovirus 71 (EV-A71). Molecules 2021, 26, 6576. [Google Scholar] [CrossRef]
- Wong, F.; Krishnan, A.; Zheng, E.J.; Stark, H.; Manson, A.L.; Earl, A.M.; Jaakkola, T.; Collins, J.J. Benchmarking AlphaFold-enabled molecular docking predictions for antibiotic discovery. Mol. Syst. Biol. 2022, 18, e11081. [Google Scholar] [CrossRef] [PubMed]
- Raveh, B.; London, N.; Schueler-Furman, O. Sub-angstrom modeling of complexes between flexible peptides and globular proteins. Proteins 2010, 78, 2029–2040. [Google Scholar] [CrossRef]
- Pierce, B.G.; Wiehe, K.; Hwang, H.; Kim, B.H.; Vreven, T.; Weng, Z. ZDOCK server: Interactive docking prediction of protein-protein complexes and symmetric multimers. Bioinformatics 2014, 30, 1771–1773. [Google Scholar] [CrossRef]
- Eberhardt, J.; Santos-Martins, D.; Tillack, A.F.; Forli, S. AutoDock Vina 1.2.0: New Docking Methods, Expanded Force Field, and Python Bindings. J. Chem. Inf. Model. 2021, 61, 3891–3898. [Google Scholar] [CrossRef] [PubMed]
- Yan, Y.; Tao, H.; He, J.; Huang, S.Y. The HDOCK server for integrated protein-protein docking. Nat. Protoc. 2020, 15, 1829–1852. [Google Scholar] [CrossRef] [PubMed]
- Geng, C.; Narasimhan, S.; Rodrigues, J.P.; Bonvin, A.M. Information-Driven, Ensemble Flexible Peptide Docking Using HADDOCK. Methods Mol. Biol. 2017, 1561, 109–138. [Google Scholar] [CrossRef] [PubMed]
- Sung, N.-Y.; Jung, P.-M.; Yoon, M.; Kim, J.-S.; Choi, J.-I.; Jeong, H.G.; Lee, J.-W.; Kim, J.-H. Anti-inflammatory effect of sweetfish-derived protein and its enzymatic hydrolysate on LPS-induced RAW264.7 cells via inhibition of NF-κB transcription. Fish. Sci. 2012, 78, 381–390. [Google Scholar] [CrossRef]
- Wang, X.J.; Hayes, J.D.; Wolf, C.R. Generation of a stable antioxidant response element-driven reporter gene cell line and its use to show redox-dependent activation of nrf2 by cancer chemotherapeutic agents. Cancer Res. 2006, 66, 10983–10994. [Google Scholar] [CrossRef]
- Hou, Y.; Wang, Z.; Liu, P.; Wei, X.; Zhang, Z.; Fan, S.; Zhang, L.; Han, F.; Song, Y.; Chu, L.; et al. SMPDL3A is a cGAMP-degrading enzyme induced by LXR-mediated lipid metabolism to restrict cGAS-STING DNA sensing. Immunity 2023, 56, 2492–2507.e2410. [Google Scholar] [CrossRef] [PubMed]
- Yang, Q.; Cai, X.X.; Huang, M.C.; Wang, S.Y. A specific peptide with immunomodulatory activity from Pseudostellaria heterophylla and the action mechanism. J. Funct. Foods 2020, 68, 9. [Google Scholar] [CrossRef]
- He, P.; Wang, Q.; Zhan, Q.; Pan, L.; Xin, X.; Wu, H.; Zhang, M. Purification and characterization of immunomodulatory peptides from enzymatic hydrolysates of duck egg ovalbumin. Food Funct. 2021, 12, 668–681. [Google Scholar] [CrossRef] [PubMed]
- Yang, Q.; Cai, X.; Huang, M.; Chen, X.; Tian, Y.; Chen, G.; Wang, M.; Wang, S.; Xiao, J. Isolation, Identification, and Immunomodulatory Effect of a Peptide from Pseudostellaria heterophylla Protein Hydrolysate. J. Agric. Food Chem. 2020, 68, 12259–12270. [Google Scholar] [CrossRef]
- Zhang, W.; Ye, L.; Wang, F.; Zheng, J.; Tian, X.; Chen, Y.; Ding, G.; Yang, Z. Immunomodulatory Effects of the Meretrix Meretrix Oligopeptide (QLNWD) on Immune-Deficient Mice. Molecules 2019, 24, 4452. [Google Scholar] [CrossRef]
- Devi, S.; Kumar, N.; Kapila, S.; Mada, S.B.; Reddi, S.; Vij, R.; Kapila, R. Buffalo casein derived peptide can alleviates H2O2 induced cellular damage and necrosis in fibroblast cells. Exp. Toxicol. Pathol. 2017, 69, 485–495. [Google Scholar] [CrossRef]
- Zhang, L.; Wei, X.; Zhang, R.; Koci, M.; Si, D.; Ahmad, B.; Cheng, J.; Wang, J. Development of a Highly Efficient Hybrid Peptide That Increases Immunomodulatory Activity Via the TLR4-Mediated Nuclear Factor-κB Signaling Pathway. Int. J. Mol. Sci. 2019, 20, 6161. [Google Scholar] [CrossRef] [PubMed]
- Duan, T.; Du, Y.; Xing, C.; Wang, H.Y.; Wang, R.F. Toll-Like Receptor Signaling and Its Role in Cell-Mediated Immunity. Front. Immunol. 2022, 13, 812774. [Google Scholar] [CrossRef]
- Pei, X.-D.; He, Y.-N.; Wu, Q.-L.; Zhang, Y.-M.; Li, F.; Jiao, D.-Q.; Liu, X.-L.; Wang, C.-H. Novel Antioxidant Peptides Derived from Feather Keratin Alleviate H2O2-Induced Oxidative Damage in HepG2 Cells via Keap1/Nrf2 Pathway. J. Agric. Food Chem. 2023, 71, 20062–20072. [Google Scholar] [CrossRef] [PubMed]
- Henninot, A.; Collins, J.C.; Nuss, J.M. The Current State of Peptide Drug Discovery: Back to the Future? J. Med. Chem. 2018, 61, 1382–1414. [Google Scholar] [CrossRef]
- Otvos, L. The latest trends in peptide drug discovery and future challenges. Expert Opin. Drug Discov. 2024, 19, 869–872. [Google Scholar] [CrossRef] [PubMed]
- Zhang, J.; Sun, Y.; Sun, C.; Shang, D. The antimicrobial peptide LK2(6)A(L) exhibits anti-inflammatory activity by binding to the myeloid differentiation 2 domain and protects against LPS-induced acute lung injury in mice. Bioorg. Chem. 2023, 132, 106376. [Google Scholar] [CrossRef]
- Xiang, W.; Clemenza, P.; Klousnitzer, J.; Chen, J.; Qin, W.; Tristram-Nagle, S.; Doi, Y.; Di, Y.P.; Deslouches, B. Rational Framework for the Design of Trp- and Arg-Rich Peptide Antibiotics Against Multidrug-Resistant Bacteria. Front. Microbiol. 2022, 13, 889791. [Google Scholar] [CrossRef] [PubMed]
- Kim, H.M.; Park, B.S.; Kim, J.I.; Kim, S.E.; Lee, J.; Oh, S.C.; Enkhbayar, P.; Matsushima, N.; Lee, H.; Yoo, O.J.; et al. Crystal structure of the TLR4-MD-2 complex with bound endotoxin antagonist Eritoran. Cell 2007, 130, 906–917. [Google Scholar] [CrossRef]
- Ciesielska, A.; Matyjek, M.; Kwiatkowska, K. TLR4 and CD14 trafficking and its influence on LPS-induced pro-inflammatory signaling. Cell. Mol. Life Sci. 2021, 78, 1233–1261. [Google Scholar] [CrossRef] [PubMed]
- Ain, Q.U.; Batool, M.; Choi, S. TLR4-Targeting Therapeutics: Structural Basis and Computer-Aided Drug Discovery Approaches. Molecules 2020, 25, 627. [Google Scholar] [CrossRef] [PubMed]
- Mineo, S.; Takahashi, N.; Yamada-Hara, M.; Tsuzuno, T.; Aoki-Nonaka, Y.; Tabeta, K. Rice bran-derived protein fractions enhance sulforaphane-induced anti-oxidative activity in gingival epithelial cells. Arch. Oral Biol. 2021, 129, 105215. [Google Scholar] [CrossRef]
- Xiao, T.; Zeng, J.; Qiu, L.; Wang, R.; Li, N.; Deng, Z.; Zheng, L. Combining in silico and in vitro approaches to identify endogenous hypoglycemic peptides from human milk. Food Funct. 2022, 13, 2899–2912. [Google Scholar] [CrossRef] [PubMed]
- Jin, W.J.; Kim, B.; Kim, D.; Park Choo, H.Y.; Kim, H.H.; Ha, H.; Lee, Z.H. NF-κB signaling regulates cell-autonomous regulation of CXCL10 in breast cancer 4T1 cells. Exp. Mol. Med. 2017, 49, e295. [Google Scholar] [CrossRef]





| Peptide | Sequence | Abbreviation |
|---|---|---|
| TP5 | RKDVY | P |
| Tα1-a | KEKKEVVE | Ta |
| Tα1-b | EVVEEA | Tb |
| Aβ | DAEFRHDSGYEVHHQKLVFFAEDVGSNKGAIIGLMVG | A |
| RP5 | RGPPP | R |
| PH | TQIDKVVHFDKLPGF | H |
| YG9 | YGPSSYGYG | Y |
| MMO | QLNWD | M |
| VLP | VLPVPQK | V |
| Peptide Name | Sequence | Residue Number | Molecular Weight (Da) | Water Solubility | Toxicity Prediction | |
|---|---|---|---|---|---|---|
| 1 | PR | RKDVYRGPPP | 10 | 1184.35 | Good | non |
| 2 | PV | RKDVYVLPVPQK | 12 | 1441.71 | Good | non |
| 3 | PH | RKDVYTQIDKVVHFDKLPGF | 20 | 2405.75 | Good | non |
| 4 | PY | RKDVYYGPSSYGYG | 14 | 1611.71 | Good | non |
| 5 | PM | RKDVYQLNWD | 10 | 1336.45 | Good | non |
| 6 | RP | RGPPPRKDVY | 10 | 1184.35 | Good | non |
| 7 | VP | VLPVPQKRKDVY | 12 | 1441.71 | Good | non |
| 8 | HP | TQIDKVVHFDKLPGFRKDVY | 20 | 2405.75 | Good | non |
| 9 | YP | YGPSSYGYGRKDVY | 14 | 1611.71 | Good | non |
| 10 | MP | QLNWDRKDVY | 10 | 1336.45 | Good | non |
| 11 | TaR | KEKKEVVERGPPP | 13 | 1492.72 | Good | non |
| 12 | TaV | KEKKEVVEVLPVPQK | 15 | 1750.08 | Good | non |
| 13 | TaH | KEKKEVVETQIDKVVHFDKLPGF | 23 | 2714.12 | Good | non |
| 14 | TaY | KEKKEVVEYGPSSYGYG | 17 | 1920.08 | Good | non |
| 15 | TaM | KEKKEVVEQLNWD | 13 | 1644.82 | Good | non |
| 16 | RTa | RGPPPKEKKEVVE | 13 | 1492.72 | Good | non |
| 17 | VTa | VLPVPQKKEKKEVVE | 15 | 1750.08 | Good | non |
| 18 | HTa | TQIDKVVHFDKLPGFKEKKEVVE | 23 | 2714.12 | Good | non |
| 19 | YTa | YGPSSYGYGKEKKEVVE | 17 | 1920.08 | Good | non |
| 20 | MTa | QLNWDKEKKEVVE | 13 | 1644.82 | Good | non |
| 21 | TbR | EVVEEARGPPP | 11 | 1179.28 | Good | non |
| 22 | TbV | EVVEEAVLPVPQK | 13 | 1436.64 | Good | non |
| 23 | TbH | EVVEEATQIDKVVHFDKLPGF | 21 | 2400.68 | Good | non |
| 24 | TbY | EVVEEAYGPSSYGYG | 15 | 1606.64 | Good | non |
| 25 | TbM | EVVEEAQLNWD | 11 | 1331.38 | Good | non |
| 26 | RTb | RGPPPEVVEEA | 11 | 1179.28 | Good | non |
| 27 | VTb | VLPVPQKEVVEEA | 13 | 1436.64 | Good | non |
| 28 | HTb | TQIDKVVHFDKLPGFEVVEEA | 21 | 2400.68 | Good | non |
| 29 | YTb | YGPSSYGYGEVVEEA | 15 | 1606.64 | Good | non |
| 30 | MTb | QLNWDEVVEEA | 11 | 1331.38 | Good | non |
| 31 | AR | DAEFRHDSGYEVHHQKLVFFAEDVGSNKGAIIGLMVGRGPPP | 42 | 4579.05 | Good | non |
| 32 | AV | DAEFRHDSGYEVHHQKLVFFAEDVGSNKGAIIGLMVGVLPVPQK | 44 | 4836.42 | Good | non |
| 33 | AH | DAEFRHDSGYEVHHQKLVFFAEDVGSNKGAIIGLMVGTQIDKVVHFDKLPGF | 52 | 5800.44 | Good | non |
| 34 | AY | DAEFRHDSGYEVHHQKLVFFAEDVGSNKGAIIGLMVGYGPSSYGYG | 46 | 5006.41 | Good | non |
| 35 | AM | DAEFRHDSGYEVHHQKLVFFAEDVGSNKGAIIGLMVGQLNWD | 42 | 4731.15 | Good | non |
| 36 | RA | RGPPPDAEFRHDSGYEVHHQKLVFFAEDVGSNKGAIIGLMVG | 42 | 4579.05 | Good | non |
| 37 | VA | VLPVPQKDAEFRHDSGYEVHHQKLVFFAEDVGSNKGAIIGLMVG | 44 | 4836.42 | Good | non |
| 38 | HA | TQIDKVVHFDKLPGFDAEFRHDSGYEVHHQKLVFFAEDVGSNKGAIIGLMVG | 52 | 5800.44 | Good | non |
| 39 | YA | YGPSSYGYGDAEFRHDSGYEVHHQKLVFFAEDVGSNKGAIIGLMVG | 46 | 5006.41 | Good | non |
| 40 | MA | QLNWDDAEFRHDSGYEVHHQKLVFFAEDVGSNKGAIIGLMVG | 42 | 4731.15 | Good | non |
| Peptide | Sequence | HDOCK Score | |
|---|---|---|---|
| 1 | YP | YGPSSYGYGRKDVY | −309.2 |
| 2 | PY | RKDVYYGPSSYGYG | −229.8 |
| 3 | YTa | YGPSSYGYGKEKKEVVE | −207.6 |
| 4 | VA | VLPVPQKDAEFRHDSGYEVHHQKLVFFAEDVGSNKGAIIGLMVG | −203.7 |
| 5 | PR | RKDVYRGPPP | −198.1 |
| 6 | MP | QLNWDRKDVY | −194.6 |
| 7 | RP | RGPPPRKDVY | −193.1 |
| 8 | YTb | YGPSSYGYGEVVEEA | −191.2 |
| 9 | TbY | EVVEEAYGPSSYGYG | −191 |
| 10 | TaY | KEKKEVVEYGPSSYGYG | −189.6 |
| 11 | TaV | KEKKEVVEVLPVPQK | −184 |
| 12 | PV | RKDVYVLPVPQK | −182.3 |
| 13 | PH | RKDVYTQIDKVVHFDKLPGF | −179.4 |
| 14 | VTa | VLPVPQKKEKKEVVE | −177.2 |
| 15 | TaH | KEKKEVVETQIDKVVHFDKLPGF | −176.6 |
| 16 | PM | RKDVYQLNWD | −176.3 |
| 17 | HTa | TQIDKVVHFDKLPGFKEKKEVVE | −175.3 |
| 18 | MTb | QLNWDEVVEEA | −175.1 |
| 19 | TbH | EVVEEATQIDKVVHFDKLPGF | −174.7 |
| 20 | AH | DAEFRHDSGYEVHHQKLVFFAEDVGSNKGAIIGLMVGTQIDKVVHFDKLPGF | −172.8 |
| 21 | HTb | TQIDKVVHFDKLPGFEVVEEA | −172.6 |
| 22 | TbV | EVVEEAVLPVPQK | −169.9 |
| 23 | TbM | EVVEEAQLNWD | −169.2 |
| 24 | VP | VLPVPQKRKDVY | −167.6 |
| 25 | VTb | VLPVPQKEVVEEA | −167.5 |
| 26 | HP | TQIDKVVHFDKLPGFRKDVY | −167.3 |
| 27 | AY | DAEFRHDSGYEVHHQKLVFFAEDVGSNKGAIIGLMVGYGPSSYGYG | −163.9 |
| 28 | YA | YGPSSYGYGDAEFRHDSGYEVHHQKLVFFAEDVGSNKGAIIGLMVG | −163.8 |
| 29 | HA | TQIDKVVHFDKLPGFDAEFRHDSGYEVHHQKLVFFAEDVGSNKGAIIGLMVG | −162.2 |
| 30 | AV | DAEFRHDSGYEVHHQKLVFFAEDVGSNKGAIIGLMVGVLPVPQK | −161.9 |
| 31 | AM | DAEFRHDSGYEVHHQKLVFFAEDVGSNKGAIIGLMVGQLNWD | −158.1 |
| 32 | TaM | KEKKEVVEQLNWD | −157.8 |
| 33 | TbR | EVVEEARGPPP | −156.2 |
| 34 | MA | QLNWDDAEFRHDSGYEVHHQKLVFFAEDVGSNKGAIIGLMVG | −154.4 |
| 35 | TaR | KEKKEVVERGPPP | −153.8 |
| 36 | MTa | QLNWDKEKKEVVE | −151.2 |
| 37 | RTa | RGPPPKEKKEVVE | −144.8 |
| 38 | AR | DAEFRHDSGYEVHHQKLVFFAEDVGSNKGAIIGLMVGRGPPP | −140.4 |
| 39 | RTb | RGPPPEVVEEA | −136.8 |
| 40 | RA | RGPPPDAEFRHDSGYEVHHQKLVFFAEDVGSNKGAIIGLMVG | −131.3 |
| Peptide Name | Sequence | Core | Allow | Core+ Allow | Gener | Disall | |
|---|---|---|---|---|---|---|---|
| 1 | PR | RKDVYRGPPP | 83.1 | 16.1 | 99.2 | 0.0 | 0.8 |
| 2 | PV | RKDVYVLPVPQK | 84.3 | 14.2 | 98.5 | 0.0 | 1.5 |
| 3 | PH | RKDVYTQIDKVVHFDKLPGF | 83.7 | 15.6 | 99.3 | 0.7 | 0.0 |
| 4 | PY | RKDVYYGPSSYGYG | 84.4 | 15.6 | 100.0 | 0.0 | 0.0 |
| 5 | PM | RKDVYQLNWD | 83.5 | 15.7 | 99.2 | 0.8 | 0.0 |
| 6 | RP | RGPPPRKDVY | 85.4 | 14.6 | 100.0 | 0.0 | 0.0 |
| 7 | VP | VLPVPQKRKDVY | 83.6 | 16.4 | 100.0 | 0.0 | 0.0 |
| 8 | HP | TQIDKVVHFDKLPGFRKDVY | 82.2 | 17.8 | 100.0 | 0.0 | 0.0 |
| 9 | YP | YGPSSYGYGRKDVY | 82.7 | 17.3 | 100.0 | 0.0 | 0.0 |
| 10 | MP | QLNWDRKDVY | 85.0 | 15.0 | 100.0 | 0.0 | 0.0 |
| 11 | TaR | KEKKEVVERGPPP | 85.8 | 14.2 | 100.0 | 0.0 | 0.0 |
| 12 | TaV | KEKKEVVEVLPVPQK | 82.5 | 16.8 | 99.3 | 0.7 | 0.0 |
| 13 | TaH | KEKKEVVETQIDKVVHFDKLPGF | 84.1 | 15.2 | 99.3 | 0.7 | 0.0 |
| 14 | TaY | KEKKEVVEYGPSSYGYG | 84.7 | 15.3 | 100.0 | 0.0 | 0.0 |
| 15 | TaM | KEKKEVVEQLNWD | 85.4 | 14.6 | 100.0 | 0.0 | 0.0 |
| 16 | RTa | RGPPPKEKKEVVE | 84.9 | 15.1 | 100.0 | 0.0 | 0.0 |
| 17 | VTa | VLPVPQKKEKKEVVE | 84.7 | 13.9 | 98.6 | 1.5 | 0.0 |
| 18 | HTa | TQIDKVVHFDKLPGFKEKKEVVE | 85.5 | 14.5 | 100.0 | 0.0 | 0.0 |
| 19 | YTa | YGPSSYGYGKEKKEVVE | 84.6 | 15.4 | 100.0 | 0.0 | 0.0 |
| 20 | MTa | QLNWDKEKKEVVE | 86.2 | 13.8 | 100.0 | 0.0 | 0.0 |
| 21 | TbR | EVVEEARGPPP | 84.0 | 16.0 | 100.0 | 0.0 | 0.0 |
| 22 | TbV | EVVEEAVLPVPQK | 85.2 | 14.1 | 99.3 | 0.7 | 0.0 |
| 23 | TbH | EVVEEATQIDKVVHFDKLPGF | 86.0 | 14.0 | 100.0 | 0.0 | 0.0 |
| 24 | TbY | EVVEEAYGPSSYGYG | 82.9 | 15.5 | 98.4 | 1.6 | 0.0 |
| 25 | TbM | EVVEEAQLNWD | 85.2 | 14.1 | 99.3 | 0.8 | 0.0 |
| 26 | RTb | RGPPPEVVEEA | 85.5 | 14.5 | 100.0 | 0.0 | 0.0 |
| 27 | VTb | VLPVPQKEVVEEA | 85.2 | 14.8 | 100.0 | 0.0 | 0.0 |
| 28 | HTb | TQIDKVVHFDKLPGFEVVEEA | 86.8 | 13.2 | 100.0 | 0.0 | 0.0 |
| 29 | YTb | YGPSSYGYGEVVEEA | 83.6 | 15.6 | 99.2 | 0.8 | 0.0 |
| 30 | MTb | QLNWDEVVEEA | 85.9 | 14.1 | 100.0 | 0.0 | 0.0 |
| 31 | AR | DAEFRHDSGYEVHHQKLVFFAEDVGSNKGAIIGLMVGRGPPP | 85.8 | 14.2 | 100.0 | 0.0 | 0.0 |
| 32 | AV | DAEFRHDSGYEVHHQKLVFFAEDVGSNKGAIIGLMVGVLPVPQK | 86.1 | 13.9 | 100.0 | 0.0 | 0.0 |
| 33 | AH | DAEFRHDSGYEVHHQKLVFFAEDVGSNKGAIIGLMVGTQIDKVVHFDKLPGF | 86.2 | 13.8 | 100.0 | 0.0 | 0.0 |
| 34 | AY | DAEFRHDSGYEVHHQKLVFFAEDVGSNKGAIIGLMVGYGPSSYGYG | 85.5 | 14.5 | 100.0 | 0.0 | 0.0 |
| 35 | AM | DAEFRHDSGYEVHHQKLVFFAEDVGSNKGAIIGLMVGQLNWD | 85.4 | 14.6 | 100.0 | 0.0 | 0.0 |
| 36 | RA | RGPPPDAEFRHDSGYEVHHQKLVFFAEDVGSNKGAIIGLMVG | 85.7 | 14.3 | 100.0 | 0.0 | 0.0 |
| 37 | VA | VLPVPQKDAEFRHDSGYEVHHQKLVFFAEDVGSNKGAIIGLMVG | 86.1 | 13.9 | 100.0 | 0.0 | 0.0 |
| 38 | HA | TQIDKVVHFDKLPGFDAEFRHDSGYEVHHQKLVFFAEDVGSNKGAIIGLMVG | 85.5 | 14.5 | 100.0 | 0.0 | 0.0 |
| 39 | YA | YGPSSYGYGDAEFRHDSGYEVHHQKLVFFAEDVGSNKGAIIGLMVG | 84.6 | 15.4 | 100.0 | 0.0 | 0.0 |
| 40 | MA | QLNWDDAEFRHDSGYEVHHQKLVFFAEDVGSNKGAIIGLMVG | 86.2 | 13.8 | 100.0 | 0.0 | 0.0 |
Disclaimer/Publisher’s Note: The statements, opinions and data contained in all publications are solely those of the individual author(s) and contributor(s) and not of MDPI and/or the editor(s). MDPI and/or the editor(s) disclaim responsibility for any injury to people or property resulting from any ideas, methods, instructions or products referred to in the content. |
© 2025 by the authors. Licensee MDPI, Basel, Switzerland. This article is an open access article distributed under the terms and conditions of the Creative Commons Attribution (CC BY) license (https://creativecommons.org/licenses/by/4.0/).
Share and Cite
Wang, J.; Zhang, R.; Zhao, X.; Zhang, J.; Tong, Y.; Abbas, Z.; Li, Z.; Zhang, H.; Si, D.; Wei, X. Hybridization Design and High-Throughput Screening of Peptides with Immunomodulatory and Antioxidant Activities. Int. J. Mol. Sci. 2025, 26, 505. https://doi.org/10.3390/ijms26020505
Wang J, Zhang R, Zhao X, Zhang J, Tong Y, Abbas Z, Li Z, Zhang H, Si D, Wei X. Hybridization Design and High-Throughput Screening of Peptides with Immunomodulatory and Antioxidant Activities. International Journal of Molecular Sciences. 2025; 26(2):505. https://doi.org/10.3390/ijms26020505
Chicago/Turabian StyleWang, Junyong, Rijun Zhang, Xuelian Zhao, Jing Zhang, Yucui Tong, Zaheer Abbas, Zhenzhen Li, Haosen Zhang, Dayong Si, and Xubiao Wei. 2025. "Hybridization Design and High-Throughput Screening of Peptides with Immunomodulatory and Antioxidant Activities" International Journal of Molecular Sciences 26, no. 2: 505. https://doi.org/10.3390/ijms26020505
APA StyleWang, J., Zhang, R., Zhao, X., Zhang, J., Tong, Y., Abbas, Z., Li, Z., Zhang, H., Si, D., & Wei, X. (2025). Hybridization Design and High-Throughput Screening of Peptides with Immunomodulatory and Antioxidant Activities. International Journal of Molecular Sciences, 26(2), 505. https://doi.org/10.3390/ijms26020505

