Genome-Wide Profiling of bZIP Transcription Factors and FocbZIP11’s Impact on Fusarium TR4 Pathogenicity
Abstract
1. Introduction
2. Results
2.1. Identification of Foc TR4 bZIP Genes
2.2. Chromosomal Location and Conserved Domain Analysis
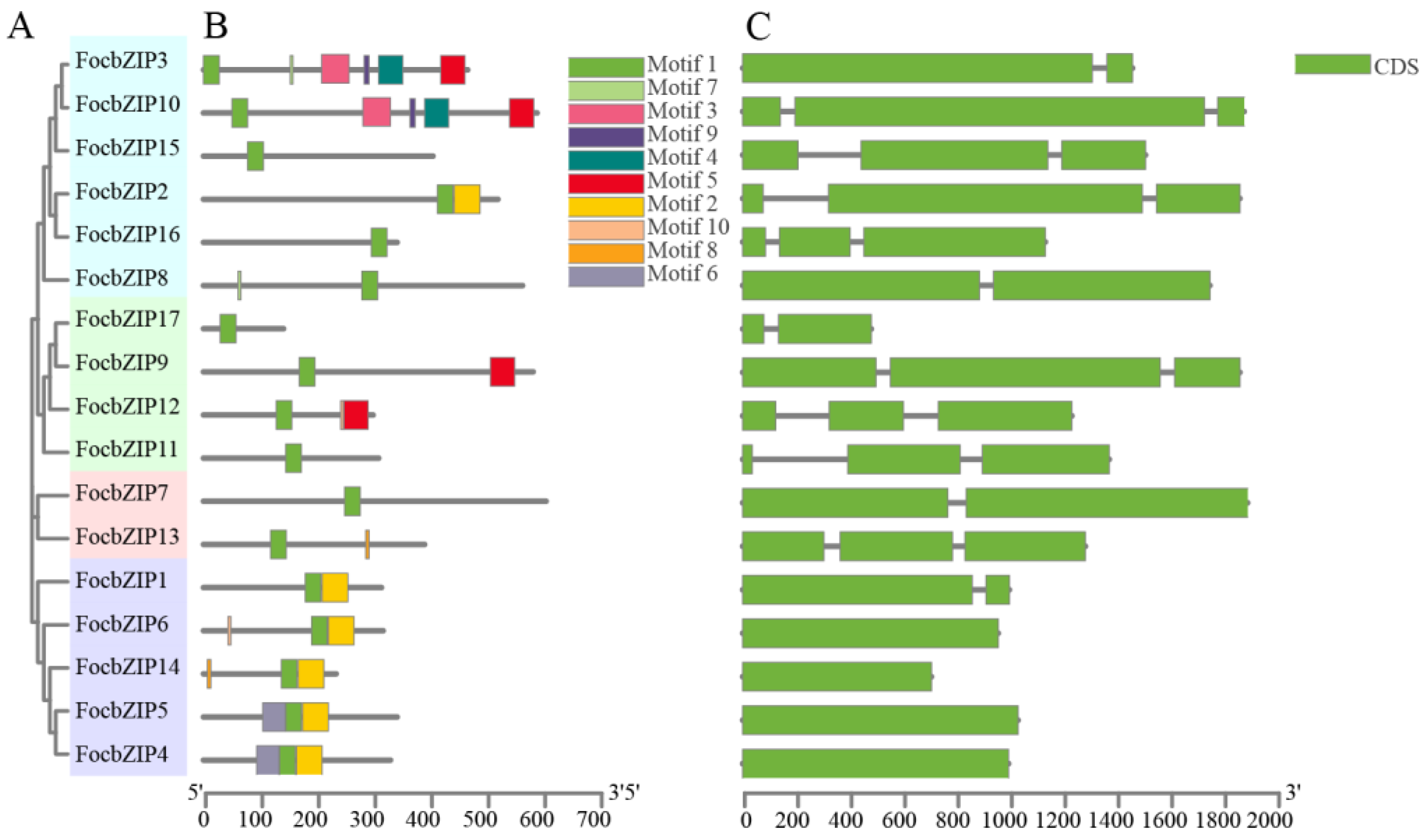
2.3. Motif, Gene Structure and Phylogenetic Analysis
2.4. cis-Element Analysis
2.5. Expression Patterns of FocbZIP Genes During the Infection Stages
2.6. FocbZIP11 Was Involved in Stress Responses
2.7. FocbZIP11 Contributes to Foc TR4 Virulence
3. Discussion
4. Materials and Methods
4.1. Plant Material and Fungal Strains
4.2. Identification of bZIP Transcription Factors in Foc TR4
4.3. Gene Structural Characterization and Phylogenetic Analysis
4.4. Total RNA Extraction and Expression Analysis of FocbZIP Genes
4.5. Transcriptome Analysis
4.6. Construction of the Gene Deletion Mutant for FocbZIP11
4.7. Virulence Assays
4.8. Statistical Analysis
Supplementary Materials
Author Contributions
Funding
Institutional Review Board Statement
Informed Consent Statement
Data Availability Statement
Conflicts of Interest
References
- FAOSTAT. Food and Agricultural Organization (FAO). Available online: http://www.fao.org/faostat/en/#data/QC (accessed on 13 November 2024).
- Bubici, G.; Kaushal, M.; Prigigallo, M.I.; Gómez-Lama Cabanás, C.; Mercado-Blanco, J. Biological control agents against Fusarium wilt of banana. Front. Microbiol. 2019, 10, 616. [Google Scholar] [CrossRef] [PubMed]
- Ohara, T.; Tsuge, T. FoSTUA, encoding a basic helix-loop-helix protein, differentially regulates development of three kinds of asexual spores, macroconidia, microconidia, and chlamydospores, in the fungal plant pathogen Fusarium oxysporum. Eukaryot. Cell. 2004, 3, 1412–1422. [Google Scholar] [CrossRef] [PubMed]
- Hurst, H.C. Transcription factors 1: bZIP proteins. Protein Profile 1995, 2, 101–168. [Google Scholar] [PubMed]
- Vinson, C.R.; Sigler, P.B.; McKnight, S.L. Scissors-grip model for DNA recognition by a family of leucine zipper proteins. Science 1989, 246, 911–916. [Google Scholar] [CrossRef]
- Landschulz, W.H.; Johnson, P.F.; McKnight, S.L. The leucine zipper: A hypothetical structure common to a new class of DNA binding proteins. Science 1988, 240, 1759–1764. [Google Scholar] [CrossRef] [PubMed]
- Xu, Y.P.; Wang, Y.C.; Zhao, H.Z.; Wu, M.D.; Zhang, J.; Chen, W.D.; Li, G.Q.; Yang, L. Genome-wide identification and expression analysis of the bZIP transcription factors in the mycoparasite Coniothyrium minitans. Microorganisms 2020, 8, 1045. [Google Scholar] [CrossRef]
- Tang, W.; Ru, Y.Y.; Hong, L.; Zhu, Q.; Zuo, R.F.; Guo, X.X.; Wang, J.Z.; Zhang, H.F.; Zheng, X.B.; Wang, P.; et al. System-wide characterization of bZIP transcription factor proteins involved in infection-related morphogenesis of Magnaporthe oryzae. Environ. Microbiol. 2015, 17, 1377–1396. [Google Scholar] [CrossRef]
- Lambou, K.; Tag, A.; Lassagne, A.; Collemare, J.; Clergeot, P.H.; Barbisan, C.; Perret, P.; Tharreau, D.; Millazo, J.; Chartier, E. The bZIP transcription factor BIP1 of the rice blast fungus is essential for infection and regulates a specific set of appressorium genes. PLoS Pathog. 2024, 20, e1011945. [Google Scholar] [CrossRef]
- Hussain, S.; Tai, B.W.; Hussain, A.; Jahan, I.; Yang, B.L.; Xing, F.G. Genome-wide identification and expression analysis of the basic leucine zipper (bZIP) transcription factor gene family in Fusarium graminearum. Genes 2022, 13, 607. [Google Scholar] [CrossRef] [PubMed]
- Montibus, M.; Ducos, C.; Bonnin-Verdal, M.N.; Bormann, J.; Ponts, N.; Richard-Forget, F.; Barreau, C. The bZIP transcription factor Fgap1 mediates oxidative stress response and trichothecene biosynthesis but not virulence in Fusarium graminearum. PLoS ONE 2013, 8, e83377. [Google Scholar] [CrossRef] [PubMed]
- Liu, N.; Wu, S.Q.; Dawood, D.H.; Tang, G.F.; Zhang, C.Q.; Liang, J.T.; Chen, Y.; Ma, Z.H. The b-ZIP transcription factor FgTfmI is required for the fungicide phenamacril tolerance and pathogenecity in Fusarium graminearum. Pest Manag. Sci. 2019, 75, 3312–3322. [Google Scholar] [CrossRef] [PubMed]
- Chen, L.L.; Ma, Y.M.; Zhao, J.Y.; Geng, X.J.; Chen, W.B.; Ding, S.L.; Li, H.Y.; Li, H.L. The bZIP transcription factor FpAda1 is essential for fungal growth and conidiation in Fusarium pseudograminearum. Curr. Genet. 2020, 66, 507–515. [Google Scholar] [CrossRef]
- Zhao, J.Y.; Peng, M.Y.; Chen, W.B.; Xing, X.P.; Shan, Y.X.; Fan, Z.; Shi, Y.; Li, H.Y.; Yang, X.; Li, H.L.; et al. Transcriptome analysis and functional validation identify a putative bZIP transcription factor, Fpkapc, that regulates development, stress responses, and virulence in Fusarium pseudograminearum. Phytopathology 2022, 112, 1299–1309. [Google Scholar] [CrossRef] [PubMed]
- Qi, X.Z.; Guo, L.J.; Yang, L.Y.; Huang, J.S. Foatf1, a bZIP transcription factor of Fusarium oxysporum f. sp. cubense, is involved in pathogenesis by regulating the oxidative stress responses of Cavendish banana (Musa spp.). Physiol. Mol. Plant Pathol. 2013, 84, 76–85. [Google Scholar] [CrossRef]
- Ding, Z.J.; Lin, H.J.; Liu, L.G.; Lu, T.T.; Xu, Y.F.; Peng, J.Y.; Ren, Y.J.; Peng, J.; Xu, T.W.; Zhang, X. Transcription factor FoAce2 regulates virulence, vegetative growth, conidiation, and cell wall homeostasis in Fusarium oxysporum f. sp. cubense. Fungal Biol. 2024, 128, 1960–1967. [Google Scholar] [CrossRef] [PubMed]
- McLoughlin, A.G.; Wytinck, N.; Walker, P.L.; Girard, I.J.; Rashid, K.Y.; de Kievit, T.; Fernando, W.G.D.; Whyard, S.; Belmonte, M.F. Identification and application of exogenous dsRNA confers plant protection against Sclerotinia sclerotiorum and Batrytis cinerea. Sci. Rep. 2018, 8, 7314–7320. [Google Scholar] [CrossRef] [PubMed]
- Bandyopadhyay, S.; Dey, I.; Suresh, M.; Sundaram, G. The basic leucine zipper domain transcription factor Atf1 directly controls Cdc13 expression and regulates mitotic entry independently of Wee1 and Cdc25 in Schizosaccharomyces pombe. Eukaryot. Cell 2014, 13, 813–821. [Google Scholar] [CrossRef]
- Calvo, I.A.; Ayté, J.; Hidalgo, E. Reversible thiol oxidation in the H2O2-dependent activation of the transcription factor Pap1. J. Cell Sci. 2013, 126, 2279–2284. [Google Scholar] [CrossRef]
- Kong, S.; Park, S.Y.; Lee, Y.H. Systematic characterization of the bZIP transcription factor gene family in the rice blast fungus, Magnaporthe oryzae. Environ. Microbiol. 2015, 17, 1425–1443. [Google Scholar] [CrossRef]
- Yin, W.X.; Cui, P.; Wei, W.; Lin, Y.; Luo, C.X. Genome-wide identification and analysis of the basic leucine zipper (bZIP) transcription factor gene family in Ustilaginoidea virens. Genome 2017, 60, 1051–1059. [Google Scholar] [CrossRef]
- Zhao, K.H.; Liu, L.M.; Huang, S.W. Genome-wide identification and functional analysis of the bZIP transcription factor family in rice bakanae disease pathogen, Fusarium fujikuroi. Int. J. Mol. Sci. 2022, 23, 6658. [Google Scholar] [CrossRef]
- Ahmad, H.M.; Wang, X.K.; Fiaz, S.; Rahman, M.U.; Nadeem, M.A.; Khan, S.A.; Ahmar, S.; Azeem, F.; Shaheen, T.; Mora-Poblete, F. Comprehensive genomics and expression analysis of eceriferum (CER) genes in sunflower (Helianthus annuus). Saudi. J. Biol. Sci. 2021, 28, 6884–6896. [Google Scholar] [CrossRef]
- Wen, D.S.; Yu, L.; Xiong, D.G.; Tian, C.M. Genome-wide identification of bZIP transcription factor genes and functional analyses of two members in Cytospora chrysosperma. J. Fungi 2021, 8, 34. [Google Scholar] [CrossRef]
- Zhou, Y.Y.; Li, Z.H.; Xu, C.T.; Pan, J.L.; Li, H.K.; Zhou, Y.; Zou, Y.J. Genome-wide analysis of bZIP gene family members in Pleurotus ostreatus, and potential roles of PobZIP3 in development and the heat stress response. Microb. Biotechnol. 2024, 17, e14413. [Google Scholar] [CrossRef]
- Zhu, Q.G.; Wang, M.M.; Gong, Z.Y.; Fang, F.; Sun, N.J.; Li, X.; Grierson, D.; Yin, X.R.; Chen, K.S. Involvement of DkTGA1 transcription factor in anaerobic response leading to persimmon fruit postharvest de-astringency. PLoS ONE 2016, 11, e0155916. [Google Scholar] [CrossRef]
- Yang, S.S.; Zhang, X.X.; Zhang, X.M.; Bi, Y.M.; Gao, W.W. A bZIP transcription factor, PqbZIP1, is involved in the plant defense response of American ginseng. PeerJ 2022, 10, e12939. [Google Scholar] [CrossRef]
- Ye, L.X.; Wu, Y.M.; Zhang, J.X.; Zhang, J.X.; Zhou, H.; Zeng, R.F.; Zheng, W.X.; Qiu, M.Q.; Zhou, J.J.; Xie, Z.Z.; et al. A bZIP transcription factor (CiFD) regulates drought- and low-temperature-induced flowering by alternative splicing in citrus. J. Integr. Plant Biol. 2023, 65, 674–691. [Google Scholar] [CrossRef] [PubMed]
- Gai, Y.P.; Li, L.; Liu, B.; Ma, H.J.; Chen, Y.N.; Zheng, F.; Sun, X.P.; Wang, M.S.; Jiao, C.; Li, H. Distinct and essential roles of bZIP transcription factors in the stress response and pathogenesis in Alternaria alternata. Microbiol. Res. 2022, 256, 126915. [Google Scholar] [CrossRef] [PubMed]
- Deng, G.M.; Yang, Q.S.; He, W.D.; Li, C.Y.; Yang, J.; Zuo, C.W.; Gao, J.; Sheng, O.; Lu, S.Y.; Zhang, S.; et al. Proteomic analysis of conidia germination in Fusarium oxysporum f. sp. cubense tropical race 4 reveals new targets in ergosterol biosynthesis pathway for controlling Fusarium wilt of banana. Appl. Microbiol. Biotechnol. 2015, 99, 7189–7207. [Google Scholar] [CrossRef] [PubMed]
- Dou, T.X.; Shao, X.H.; Hu, C.H.; Liu, S.W.; Sheng, O.; Bi, F.C.; Deng, G.M.; Ding, L.J.; Li, C.Y.; Dong, T.; et al. Host-induced gene silencing of Foc. TR4 ERG6/11 genes exhibits superior resistance to Fusarium wilt of banana. Plant Biotechnol. J. 2020, 18, 11–13. [Google Scholar] [CrossRef] [PubMed]
- Su, J.Y.; Wang, J.Y.; Tang, J.Y.; Yu, W.M.; Liu, J.J.; Dong, X.; Dong, J.H.; Chai, X.; Ji, P.Z.; Zhang, L. Zinc finger transcription factor ZFP1 is associated with growth, conidiation, osmoregulation, and virulence in the Polygonatum kingianum pathogen Fusarium oxysporum. Sci. Rep. 2024, 14, 16061. [Google Scholar] [CrossRef] [PubMed]
- Huang, H.Q.; Zhang, X.X.; Zhang, Y.; Yi, G.J.; Xie, J.H.; Viljoen, A.; Wang, W.; Mostert, D.; Fu, G.; Peng, C.C.; et al. FocECM33, a GPI-anchored protein, regulates vegetative growth and virulence in Fusarium oxysporum f. sp. cubense tropical race 4. Fungal Biol. 2022, 126, 213–223. [Google Scholar] [CrossRef]
- Liu, L.; Huang, Y.H.; Song, H.D.; Luo, M.; Dong, Z.Y. α-Pheromone precursor protein Foc4-PP1 is essential for the full virulence of Fusarium oxysporum f. sp. cubense tropical race 4. J. Fungi 2023, 16, 365. [Google Scholar] [CrossRef] [PubMed]
- He, Y.P.; Li, P.F.; Zhou, X.S.; Ali, S.; Zhu, J.; Ma, Y.N.; Li, J.L.; Zhang, N.; Li, H.P.; Li, Y.F.; et al. A ribonuclease T2 protein FocRnt2 contributes to the virulence of Fusarium oxysporum f. sp. cubense tropical race 4. Mol. Plant Pathol. 2024, 25, e13502. [Google Scholar] [CrossRef]
- Finn, R.D.; Bateman, A.; Clements, J.; Coggill, P.; Eberhardt, R.Y.; Eddy, S.R.; Heger, A.; Hetherington, K.; Holm, L.; Mistry, J.; et al. Pfam: The protein families database. Nucleic Acids Res. 2014, 42, 222–230. [Google Scholar] [CrossRef] [PubMed]
- Prakash, A.; Jeffryes, M.; Bateman, A.; Finn, R.D. The HMMER web server for protein sequence similarity search. Curr. Protoc. Bioinform. 2017, 60, 3–15. [Google Scholar] [CrossRef]
- Chen, C.J.; Chen, H.; Zhang, Y.; Thomas, H.R.; Frank, M.H.; He, Y.H.; Xia, R. Tbtools: An integrative toolkit developed for interactive analyses of big biological data. Mol. Plant. 2020, 13, 1194–1202. [Google Scholar] [CrossRef]
- Letunic, I.; Khedkar, S.; Bork, P. SMART: Recent updates, new developments and status in 2020. Nucleic Acids Res. 2021, 49, 458–460. [Google Scholar] [CrossRef] [PubMed]
- Wang, J.Y.; Chitsaz, F.; Derbyshire, M.K.; Gonzales, N.R.; Gwadz, M.; Lu, S.N.; Marchler, G.H.; Song, J.S.; Thanki, N.; Yamashita, R.A.; et al. The conserved domain database in 2023. Nucleic Acids Res. 2023, 51, 384–388. [Google Scholar] [CrossRef]
- Duvaud, S.; Gabella, C.; Lisacek, F.; Stockinger, H.; Ioannidis, V.; Durinx, C. Expasy, the Swiss Bioinformatics Resource Portal, as designed by its users. Nucleic Acids Res. 2021, 49, 216–227. [Google Scholar] [CrossRef] [PubMed]
- Pierleoni, A.; Martelli, P.L.; Fariselli, P.; Casadio, R. BaCelLo: A balanced subcellular localization predictor. Bioinformatics 2006, 22, 408–416. [Google Scholar] [CrossRef] [PubMed]
- Bailey, T.L.; Johnson, J.; Grant, C.E.; Noble, W.S. The MEME Suite. Nucleic Acids Res. 2015, 43, 39–49. [Google Scholar] [CrossRef]
- Tamura, K.; Stecher, G.; Peterson, D.; Filipski, A.; Kumar, S. MEGA6: Molecular Evolutionary Genetics Analysis version 6.0. Mol. Biol. Evol. 2013, 30, 2725–2729. [Google Scholar] [CrossRef]
- Nicholas, K.B.; Nicholas, H.B.; Deerfield, D.W.I. GeneDoc: Analysis and visualization of genetic variation. Embnew News 1997, 4, 14. [Google Scholar]
- Subramanian, B.; Gao, S.H.; Lercher, M.J.; Hu, S.N.; Chen, W.H. Evolview v3: A webserver for visualization, annotation, and management of phylogenetic trees. Nucleic Acids Res. 2019, 47, 270–275. [Google Scholar] [CrossRef]
- Lescot, M.; Déhais, P.; Thijs, G.; Marchal, K.; Moreau, Y.; Van de Peer, Y.; Rouzé, P.; Rombauts, S. PlantCARE, a database of plant cis-acting regulatory elements and a portal to tools for in silico analysis of promoter sequences. Nucleic Acids Res. 2002, 30, 325–327. [Google Scholar] [CrossRef] [PubMed]
- Bolger, A.M.; Lohse, M.; Usadel, B. Trimmomatic: A flexible trimmer for Illumina sequence data. Bioinformatics 2014, 1, 2114–2120. [Google Scholar] [CrossRef]
- Kim, D.; Langmead, B.; Salzberg, S.L. HISAT: A fast spliced aligner with low memory requirements. Nat. Methods 2015, 12, 357–360. [Google Scholar] [CrossRef]
- Love, M.I.; Huber, W.; Anders, S. Moderated estimation of fold change and dispersion for RNA-seq data with DESeq2. Genome Biol. 2014, 15, 550. [Google Scholar] [CrossRef] [PubMed]
- Jiang, J.H.; Liu, X.; Yin, Y.N.; Ma, Z.H. Involvement of a velvet protein FgVeA in the regulation of asexual development, lipid and secondary metabolisms and virulence in Fusarium graminearum. PLoS ONE 2011, 6, e28291. [Google Scholar] [CrossRef] [PubMed]
- Liu, X.H.; Lu, J.P.; Zhang, L.; Dong, B.; Min, H.; Lin, F.C. Involvement of a Magnaporthe grisea serine/threonine kinase gene, MgATG1, in appressorium turgor and pathogenesis. Eukaryot. Cell 2007, 6, 997–1005. [Google Scholar] [CrossRef]
- Liu, S.W.; Li, J.; Zhang, Y.; Viljoen, A.; Mostert, D.; Zuo, C.W.; Hu, C.H.; Bi, F.C.; Gao, H.J.; Sheng, O.; et al. Fusaric acid instigates the invasion of banana by Fusarium oxysporum f. sp. cubense TR4. New Phytol. 2020, 225, 913–929. [Google Scholar] [CrossRef] [PubMed]







| Gene Name | GenBank | gDNA (bp) | cDNA (bp) | Intron | Protein Length (aa) | MW (kDa) | pI | Subcellular Location |
|---|---|---|---|---|---|---|---|---|
| FocbZIP1 | TXB98385.1 | 1008 | 957 | 1 | 318 | 35.69 | 6.12 | Nucleus |
| FocbZIP2 | TXC02052.1 | 1878 | 1581 | 2 | 526 | 55.32 | 9.13 | Nucleus |
| FocbZIP3 | TXB97718.1 | 1473 | 1419 | 1 | 472 | 53.34 | 4.89 | Cytoplasm |
| FocbZIP4 | TXC00663.1 | 1005 | 1005 | 0 | 334 | 37.03 | 6.76 | Nucleus |
| FocbZIP5 | TXB97812.1 | 1041 | 1041 | 0 | 346 | 38.71 | 7.00 | Nucleus |
| FocbZIP6 | TXC07756.1 | 966 | 966 | 0 | 321 | 35.89 | 5.65 | Nucleus |
| FocbZIP7 | TXC03976.1 | 1907 | 1839 | 1 | 612 | 68.30 | 5.09 | Cytoplasm |
| FocbZIP8 | TXC05006.1 | 1765 | 1713 | 1 | 570 | 62.89 | 4.52 | Nucleus |
| FocbZIP9 | TXC05793.1 | 1878 | 1770 | 2 | 589 | 63.90 | 4.88 | Nucleus |
| FocbZIP10 | TXC11600.1 | 1894 | 1791 | 2 | 596 | 65.89 | 5.33 | Cytoplasm |
| FocbZIP11 | TXC11556.1 | 1385 | 942 | 2 | 313 | 33.64 | 6.71 | Nucleus |
| FocbZIP12 | TXC05920.1 | 1244 | 912 | 2 | 303 | 33.21 | 5.66 | Nucleus |
| FocbZIP13 | TXC06889.1 | 1295 | 1188 | 2 | 395 | 43.35 | 4.48 | Nucleus |
| FocbZIP14 | TXB96322.1 | 714 | 714 | 0 | 237 | 26.62 | 5.24 | Nucleus |
| FocbZIP15 | TXC09002.1 | 1522 | 1233 | 2 | 410 | 45.35 | 6.66 | Nucleus |
| FocbZIP16 | TXC11494.1 | 1144 | 1041 | 2 | 346 | 37.24 | 6.51 | Nucleus |
| FocbZIP17 | TXB95436.1 | 487 | 432 | 1 | 143 | 16.26 | 7.79 | Nucleus |
Disclaimer/Publisher’s Note: The statements, opinions and data contained in all publications are solely those of the individual author(s) and contributor(s) and not of MDPI and/or the editor(s). MDPI and/or the editor(s) disclaim responsibility for any injury to people or property resulting from any ideas, methods, instructions or products referred to in the content. |
© 2025 by the authors. Licensee MDPI, Basel, Switzerland. This article is an open access article distributed under the terms and conditions of the Creative Commons Attribution (CC BY) license (https://creativecommons.org/licenses/by/4.0/).
Share and Cite
Xie, Y.; Huang, H.; Huo, Y.; Yang, W.; Li, Y.; Liu, S.; Li, C. Genome-Wide Profiling of bZIP Transcription Factors and FocbZIP11’s Impact on Fusarium TR4 Pathogenicity. Int. J. Mol. Sci. 2025, 26, 1452. https://doi.org/10.3390/ijms26041452
Xie Y, Huang H, Huo Y, Yang W, Li Y, Liu S, Li C. Genome-Wide Profiling of bZIP Transcription Factors and FocbZIP11’s Impact on Fusarium TR4 Pathogenicity. International Journal of Molecular Sciences. 2025; 26(4):1452. https://doi.org/10.3390/ijms26041452
Chicago/Turabian StyleXie, Yanling, Huoqing Huang, Yile Huo, Wenlong Yang, Yuqing Li, Siwen Liu, and Chunyu Li. 2025. "Genome-Wide Profiling of bZIP Transcription Factors and FocbZIP11’s Impact on Fusarium TR4 Pathogenicity" International Journal of Molecular Sciences 26, no. 4: 1452. https://doi.org/10.3390/ijms26041452
APA StyleXie, Y., Huang, H., Huo, Y., Yang, W., Li, Y., Liu, S., & Li, C. (2025). Genome-Wide Profiling of bZIP Transcription Factors and FocbZIP11’s Impact on Fusarium TR4 Pathogenicity. International Journal of Molecular Sciences, 26(4), 1452. https://doi.org/10.3390/ijms26041452

