Electrochemical Boron Detection with Ferrocene and Catechol-Functionalized Cyclodextrin Inclusion Complex
Abstract
1. Introduction
2. Results
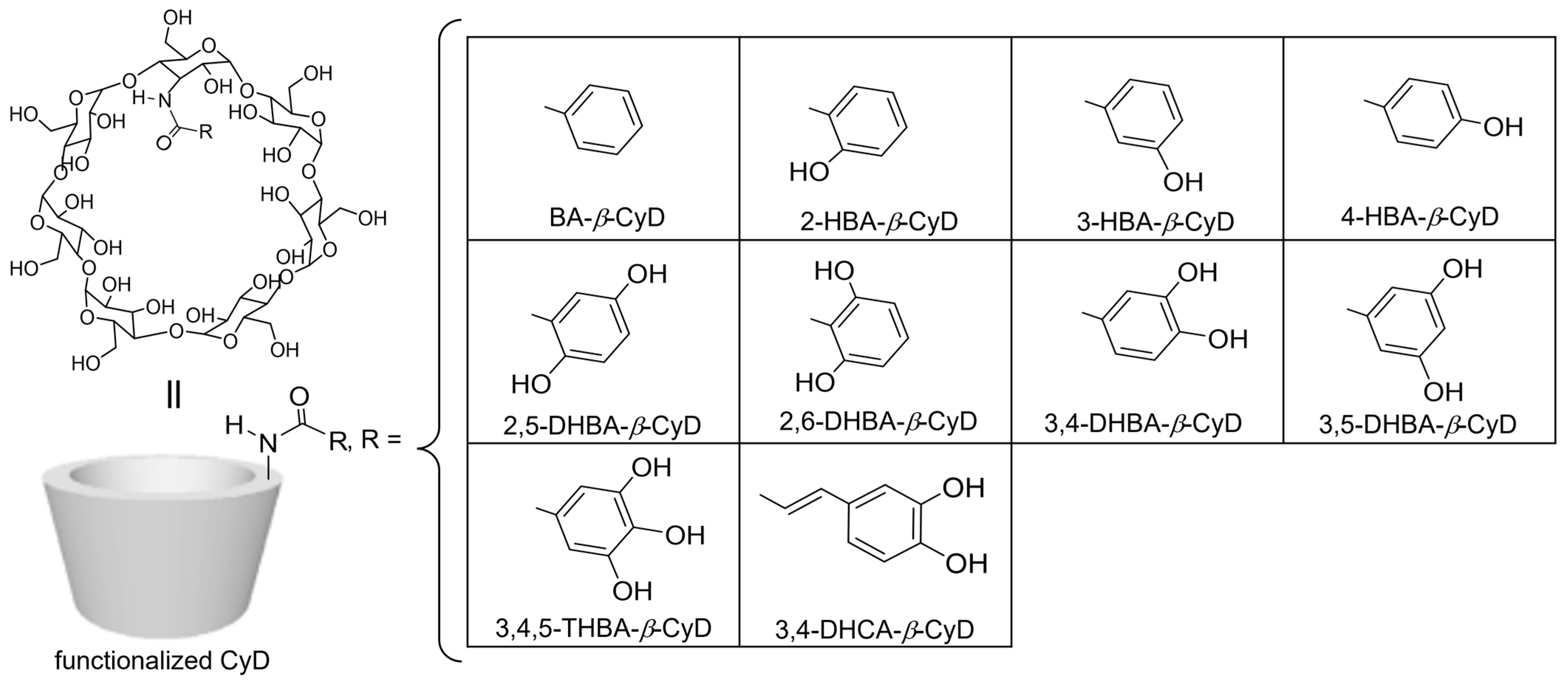
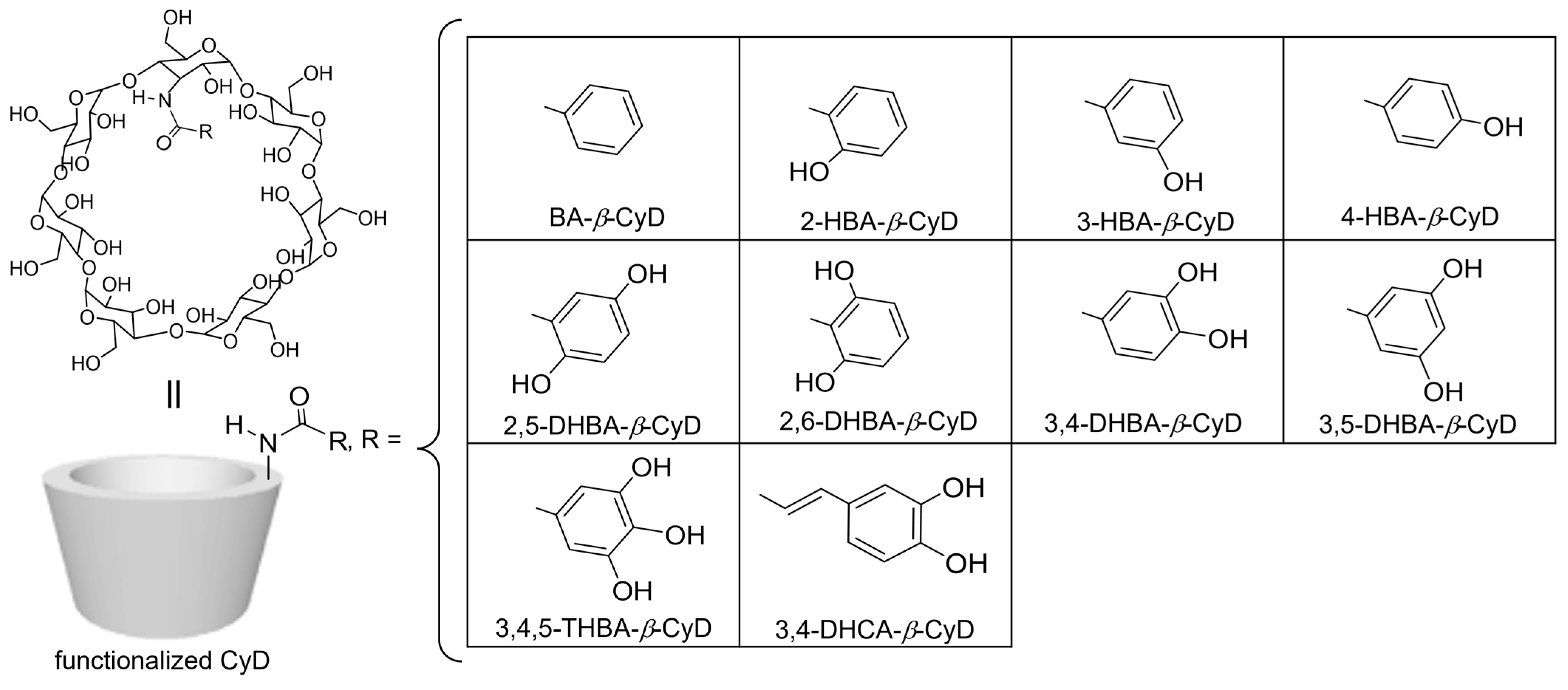
2.1. Effect of CyD Functionalization Site
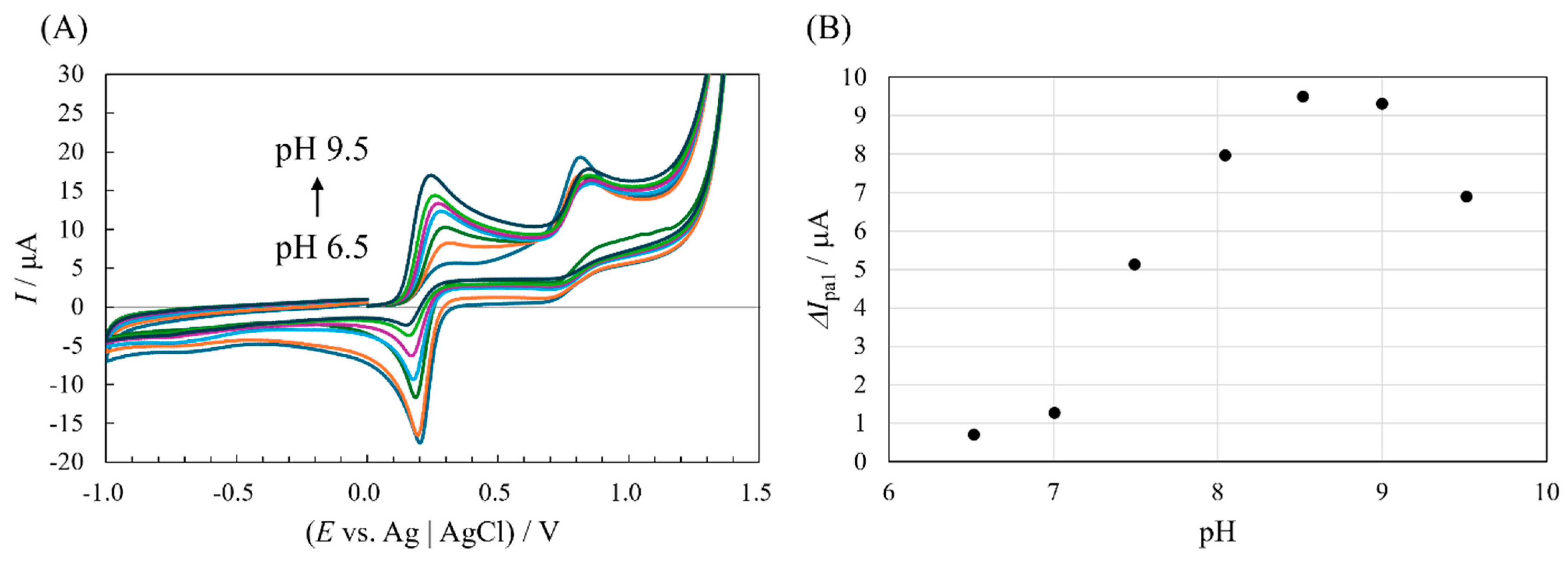
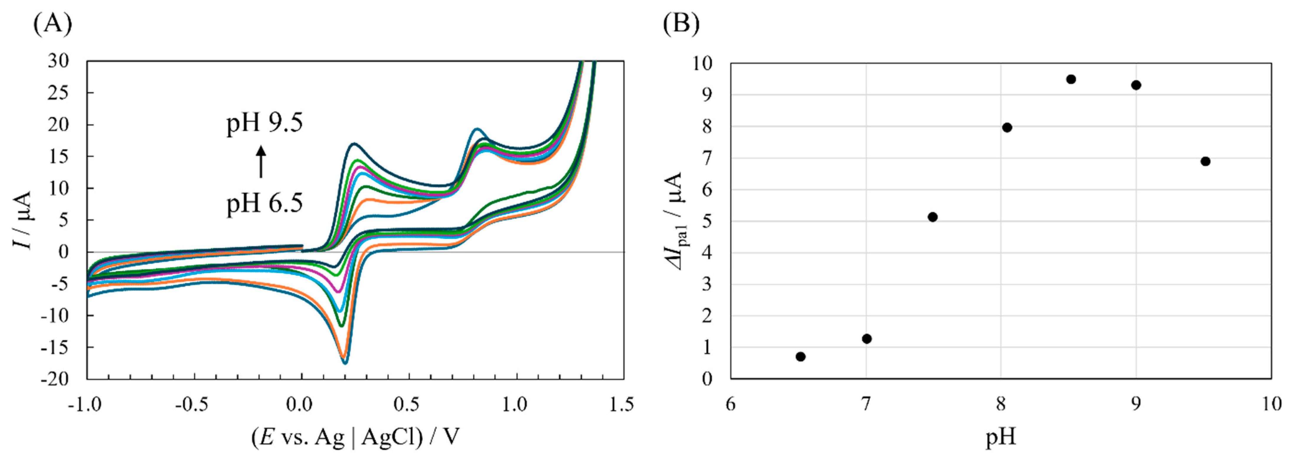
2.2. Determination of Optimum pH
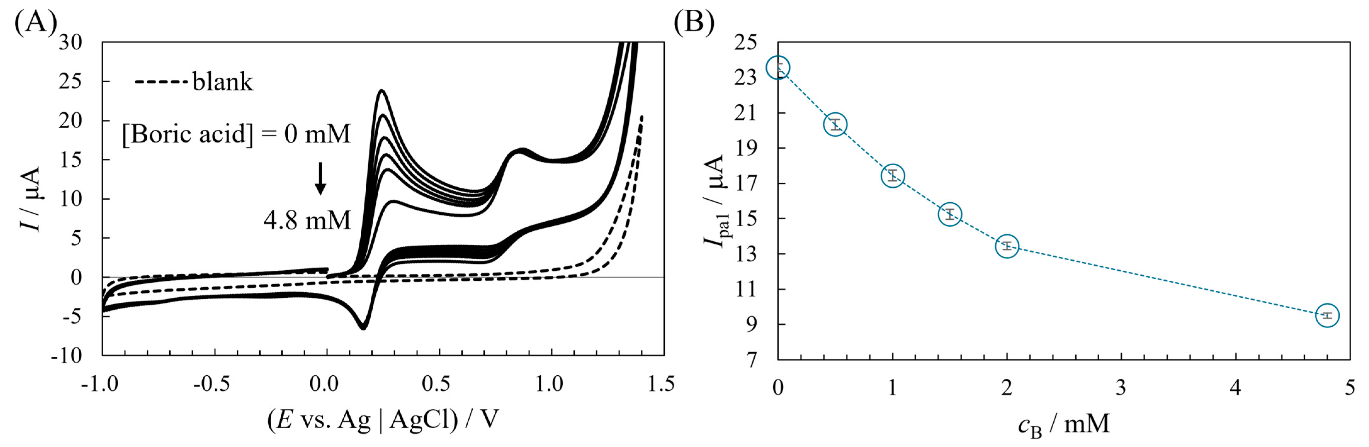
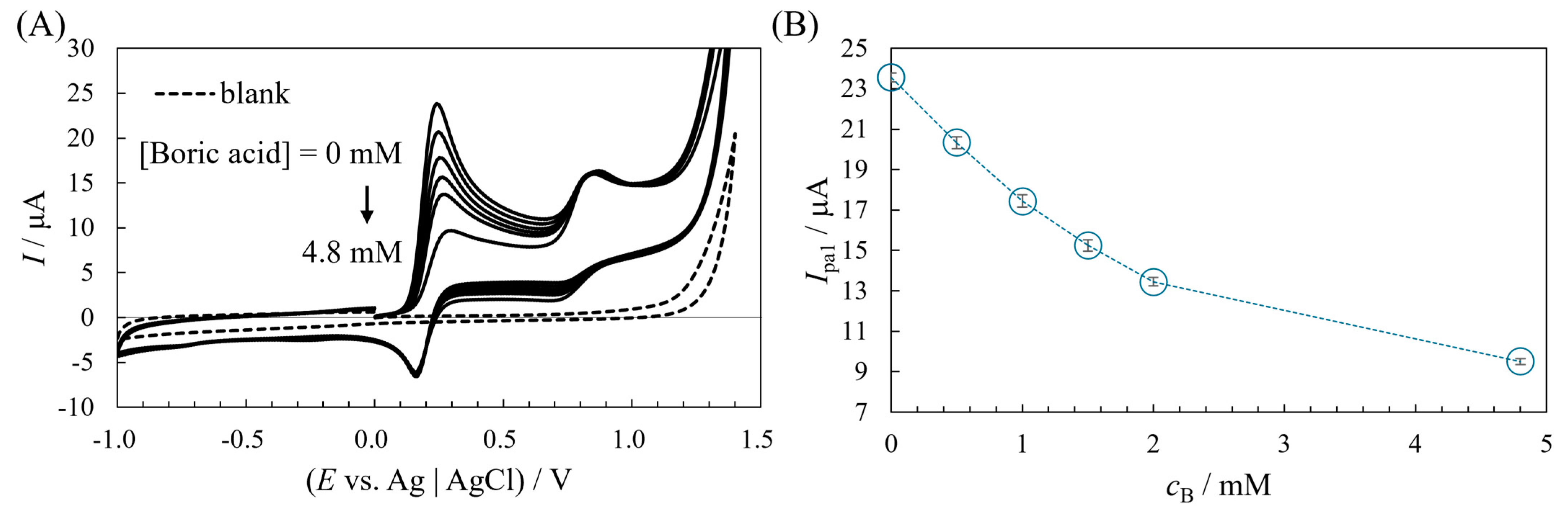
2.3. Response of Fc/3,4-DHBA-β-CyD to Boron
CVs at Various Boron Concentrations
2.4. Evaluation of Analytical Performance
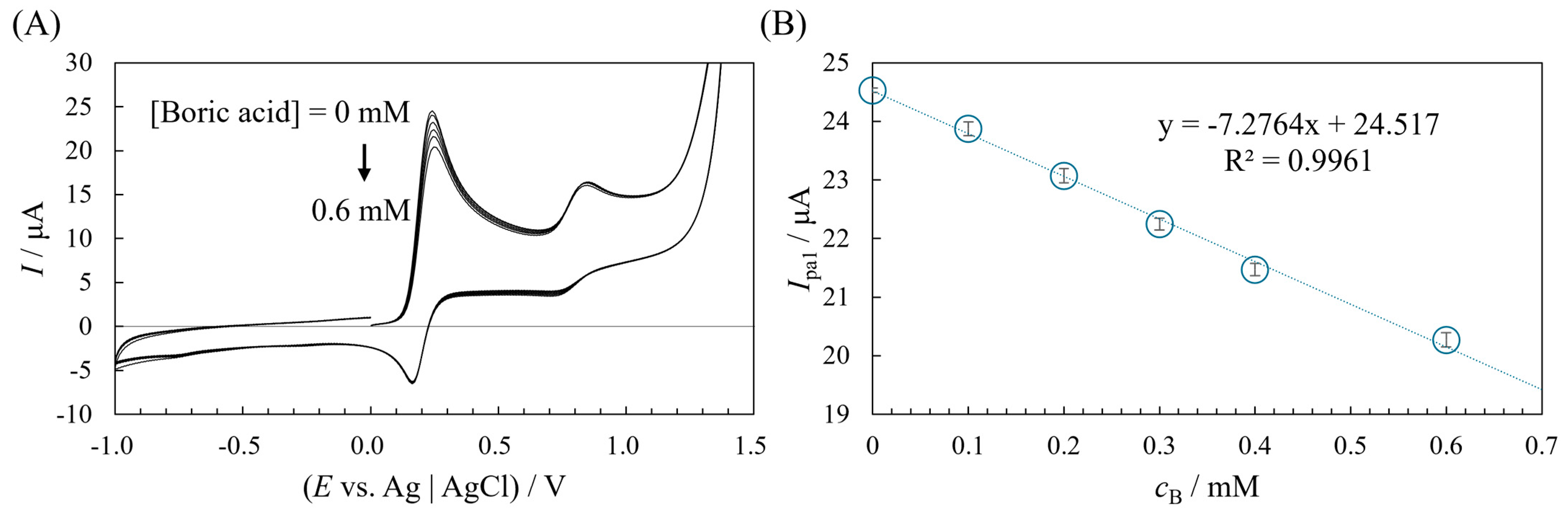
2.4.1. Limit of Detection
2.4.2. Analysis of Spiked Samples
2.4.3. Selectivity for Boron
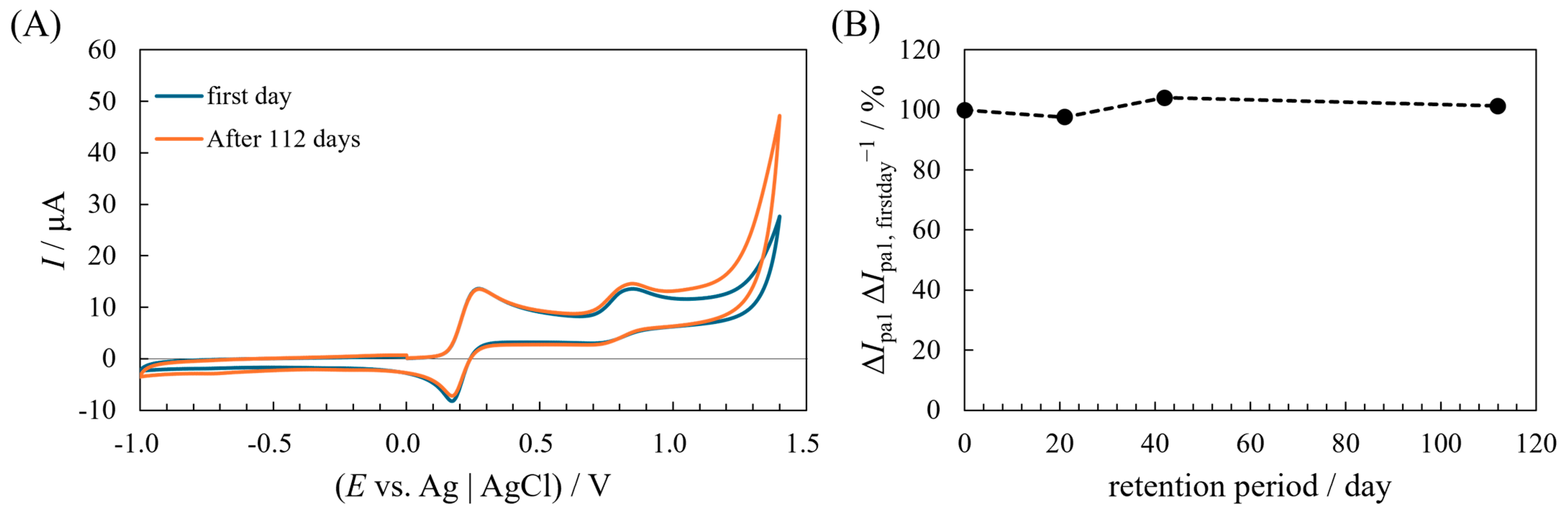
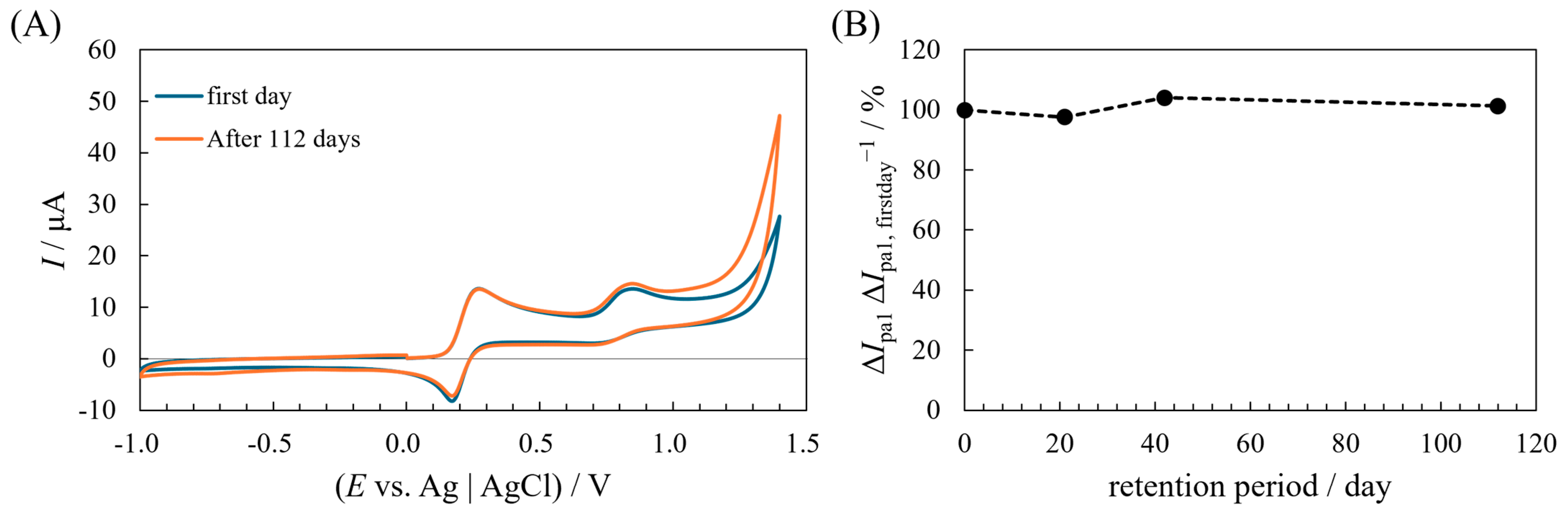
2.4.4. Stability of 3,4-DHBA-β-CyD
3. Discussion
4. Materials and Methods
4.1. Apparatus
4.2. Reagents
4.3. Synthesis of Functionalized CyDs
4.4. Electrochemical Measurements
4.5. UV-Vis Spectroscopy
4.6. Data Analysis
5. Conclusions
Supplementary Materials
Author Contributions
Funding
Institutional Review Board Statement
Informed Consent Statement
Data Availability Statement
Conflicts of Interest
References
- Nielsen, F.H. Update on human health effects of boron. J. Trace Elem. Med. Biol. 2014, 28, 383–387. [Google Scholar] [CrossRef] [PubMed]
- Uluisik, I.; Karakaya, H.C.; Koc, A. The importance of boron in biological systems. J. Trace Elem. Med. Biol. 2018, 45, 156–162. [Google Scholar] [CrossRef] [PubMed]
- Zhao, S.; Huq, E.; Fahad, S.; Kamran, M.; Riaz, M. Boron toxicity in plants: Understanding mechanisms and developing coping strategies; a review. Plant Cell Rep. 2024, 43, 238. [Google Scholar] [CrossRef]
- Kan, F.; Kucukkurt, I. The effects of boron on some biochemical parameters: A review. J. Trace Elem. Med. Biol. 2023, 79, 127249. [Google Scholar] [CrossRef] [PubMed]
- Duydu, Y.; Başaran, N. Effects of boron exposure on human reproduction and development. Curr. Opin. Toxicol. 2023, 34, 100403. [Google Scholar] [CrossRef]
- WHO. Guidelines for Drinking Water Quality, 4th ed.; WHO Press: Geneva, Switzerland, 2011; p. 323. [Google Scholar]
- González, P.; Sixto, A.; Knochen, M. Multi-pumping flow system for the determination of boron in eye drops, drinking water and ocean water. Talanta 2017, 166, 399–404. [Google Scholar] [CrossRef]
- Suzuki, Y.; Tanaka, Y.; Motomizu, S.; Yamane, T.; Kawakubo, S. Development of a flow-injection analytical system for boron determination by chromotropic acid with a simple flow system and a compact fluorometric detector using ultraviolet LED as an excitation source. Bull. Soc. Sea Water Sci. Jpn. 2022, 76, 43–49. [Google Scholar] [CrossRef]
- Güler, E.; Kaya, C.; Kabay, N.; Arda, M. Boron removal from seawater: State-of-the-art review. Desalination 2015, 356, 85–93. [Google Scholar] [CrossRef]
- Güler, E.; Kabay, N.; Yüksel, M.; Yiğit, N.Ö.; Kitiş, M.; Bryjak, M. Integrated solution for boron removal from seawater using RO process and sorption-membrane filtration hybrid method. J. Membr. Sci. 2011, 375, 249–257. [Google Scholar] [CrossRef]
- Hilal, N.; Kim, G.J.; Somerfield, C. Boron removal from saline water: A comprehensive review. Desalination 2011, 273, 23–35. [Google Scholar] [CrossRef]
- Chen, F.; Guo, L.; Ai, Y.; Hou, X.; Yang, H.Y. Determination of boron concentration in aqueous solutions based on conductivity measurement: A boron sensor based on conductivity measurement. Int. J. Environ. Sci. Technol. 2019, 16, 1711–1716. [Google Scholar] [CrossRef]
- Navarro-Pérez, V.; Simón, I.; Cámara-Zapata, J.M.; Muñoz-Acero, J.; Alfosea-Simón, M.; Garcia-Sánchez, F.; Simón-Grao, S. Effects of high boron concentration in irrigation water on the relative tolerance and metabolic responses of different citrus varieties: Lemon, orange and mandarin. Sci. Hortic. 2024, 338, 113660. [Google Scholar] [CrossRef]
- Huang, Z.; Wang, S.; Dewhurst, R.D.; Ignat’ev, N.V.; Finze, M.; Braunschweig, H. Boron: Its Role in Energy-Related Processes and Applications. Angew. Chem. Int. Ed. 2020, 59, 8800–8816. [Google Scholar] [CrossRef] [PubMed]
- Ali, F.; Hosmane, N.S.; Zhu, Y. Boron chemistry for medical applications. Molecules 2020, 25, 828. [Google Scholar] [CrossRef] [PubMed]
- Dong, M.; Zhou, S.; Xue, W.; Feng, X.; Sayyed, M.I.; Khandaker, M.U.; Bradley, D.A. The potential use of boron containing resources for protection against nuclear radiation. Radiat. Phys. Chem. 2021, 188, 109601. [Google Scholar] [CrossRef]
- Items Related to the Protection of Human Health, Uniform National Effluent Standards (Last Update: 21 October 2015), National Effluent Standards, Water/Soil/Ground Environment, Ministry of the Environment, Government of Japan. Available online: https://www.env.go.jp/en/water/wq/nes.html (accessed on 28 April 2025).
- Endo, M.; Yoshikawa, E.; Nemoto, S.; Takahashi, Y.; Sakai, K.; Mizuguchi, H.; Sakai, A.; Sugawara, K.; Sato, K.; Ihara, T. Simple and rapid determination of boron in the wastewater with azomethine H using accelerating effect of ammonium ion. J. Water Environ. Technol. 2013, 11, 355–365. [Google Scholar] [CrossRef]
- Tu, K.L.; Nghiem, L.D.; Chivas, A.R. Boron removal by reverse osmosis membranes in seawater desalination applications. Sep. Purif. Technol. 2010, 75, 87–101. [Google Scholar] [CrossRef]
- Köse, T.E.; Öztürk, N. Boron removal from aqueous solutions by ion-exchange resin: Column sorption–elution studies. J. Hazard. Mater. 2008, 152, 744–749. [Google Scholar] [CrossRef]
- Jin, W.H.; Seldon, C.; Butkus, M.; Sauerwein, W.; Giap, H.B. A review of boron neutron capture therapy: Its history and current challenges. Int. J. Part. Ther. 2022, 9, 71–82. [Google Scholar] [CrossRef]
- Wittig, A.; Michel, J.; Moss, R.L.; Stecher-Rasmussen, F.; Arlinghaus, H.F.; Bendel, P.; Mauri, P.L.; Altieri, S.; Hilger, R.; Salvadori, P.A.; et al. Boron analysis and boron imaging in biological materials for boron neutron capture therapy (BNCT). Crit. Rev. Oncol. Hematol. 2008, 68, 66–90. [Google Scholar] [CrossRef]
- Olesik, J.W. Elemental analysis using ICP-OES and ICP/MS. Anal. Chem. 1991, 63, 12A–21A. [Google Scholar] [CrossRef]
- Smith, F.G.; Wiederin, D.R.; Houk, R.S.; Egan, C.B.; Serfass, R.E. Measurement of boron concentration and isotope ratios in biological samples by inductively coupled plasma mass spectrometry with direct injection nebulization. Anal. Chim. Acta 1991, 248, 229–234. [Google Scholar] [CrossRef]
- Sah, R.N.; Brown, P.H. Boron determination—A review of analytical methods. Microchem. J. 1997, 56, 285–304. [Google Scholar] [CrossRef]
- He, M.-Y.; Deng, L.; Lud, H.; Jin, Z.-D. Elimination of the boron memory effect for rapid and accurate boron isotope analysis by MC-ICP-MS using NaF. J. Anal. At. Spectrom. 2019, 34, 1026–1032. [Google Scholar] [CrossRef]
- Wu, X.; Li, Z.; Chen, X.; Fossey, J.S.; James, T.D.; Jiang, Y. Selective sensing of saccharides using simple boronic acids and their aggregates. Chem. Soc. Rev. 2013, 42, 8032–8048. [Google Scholar] [CrossRef] [PubMed]
- Sato, K.; Kimoto, H.; Hashimoto, T.; Hayashita, T. Boric acid detection in water by gallacetophenone. J. Ion Exch. 2022, 33, 100–104. [Google Scholar] [CrossRef]
- Boonkanon, C.; Phatthanawiwat, K.; Wongniramaikul, W.; Choodum, A. Curcumin nanoparticle doped starch thin film as a green colorimetric sensor for detection of boron. Spectrochim. Acta A 2020, 224, 117315. [Google Scholar] [CrossRef] [PubMed]
- Silvermann, L.; Trego, K. Colorimetric microdetermination of boron by the curcumin acetone solution method. Anal. Chem. 1953, 25, 1264–1267. [Google Scholar] [CrossRef]
- Pena-Pereira, F.; Velazquez, A.; Lavilla, I.; Bendicho, C. A paper-based colorimetric assay with non-instrumental detection for determination of boron in water samples. Talanta 2020, 208, 120365. [Google Scholar] [CrossRef]
- Casulli, M.A.; Yan, R.; Takeuchi, S.; Cesari, A.; Mancin, F.; Hayashita, T.; Hashimoto, T.; Taurino, I. Cyclodextrin-based nanogels for stabilization and sensing of curcumin. ACS Appl. Nano Mater. 2024, 7, 20153–20162. [Google Scholar] [CrossRef]
- Basson, W.D.; Böhmer, R.G.; Stanton, D.A. An automated procedure for the determination of boron in plant tissue. Analyst 1969, 94, 1135–1141. [Google Scholar] [CrossRef]
- López, F.J.; Giménez, E.; Hernández, F. Analytical study on the determination of boron in environmental water samples. Fresenius J. Anal. Chem. 1993, 346, 984–987. [Google Scholar] [CrossRef]
- Takehara, K.; Fujimori, T.; Inagi, K.; Kajiwara, M.; Harata, Y.; Yoshimura, K. Voltammetric determination of boric acid using the ternary complexation system with salicylaldehyde and H-acid. Electroanalysis 2013, 25, 387–393. [Google Scholar] [CrossRef]
- Kajiwara, M.; Ito, Y.N.; Miyazaki, Y.; Fujimori, T.; Takehara, K.; Yoshimura, K. Voltammetric study of the boric acid–salicylaldehyde–H-acid ternary system and its application to the voltammetric determination of boron. Phys. Chem. Chem. Phys. 2015, 17, 4578–4588. [Google Scholar] [CrossRef]
- Fujimori, T.; Akimoto, H.; Tsuji, Y.; Takehara, K.; Yoshimura, K. Electrochemical determination of boric acid using the boric acid–tiron complexation system. Electroanalysis 2010, 22, 1337–1343. [Google Scholar] [CrossRef]
- Nakano, E.; Iwatsuki, S.; Inamo, M.; Takagi, H.D.; Ishihara, K. Optimization of conditions for the determination of boron by a ruthenium(II) complex having diol moiety: A mechanistic study. Talanta 2008, 74, 533–538. [Google Scholar] [CrossRef] [PubMed]
- Sato, K.; Kimoto, H.; Hayashita, T.; Hashimoto, T. Electrochemical detection of boric acid using gallacetophenonato-(β-diketonato) ruthenium complex in water. Anal. Sci. 2023, 39, 1073–1080. [Google Scholar] [CrossRef] [PubMed]
- Callicoat, D.L.; Wolszon, J.D. Carminic acid procedure for determination of boron. Anal. Chem. 1959, 31, 1434–1437. [Google Scholar] [CrossRef]
- Reed, R.A. Spectrophotometric method for the determination of boron in glasses, glazes and ceramic colours. Analyst 1977, 102, 831–836. [Google Scholar] [CrossRef]
- Şahin, İ.; Nakiboğlu, N. Voltammetric determination of boron by using alizarin red S. Anal. Chim. Acta 2006, 572, 253–258. [Google Scholar] [CrossRef]
- Tanaka, T.; Nishu, K.; Nabekawa, H.; Hayashi, H. Determination of trace boron in iron and steel by adsorptive stripping voltammetry using beryllon III. ISIJ Int. 2006, 46, 1318–1323. [Google Scholar] [CrossRef]
- Zhirkov, A.A.; Razvazhnaya, O.V.; Kazakova, T.A.; Petrenko, D.B.; Proskurnin, M.A.; Dedkov, Y.M.; Zuev, B.K. Quantification of boron in water by spectrophotometry and thermal lens spectrometry using reaction with beryllon III. J. Anal. Chem. 2011, 66, 1180–1185. [Google Scholar] [CrossRef]
- Ducret, L. Separation et dosage de traces de bore dans le silicium: Nouvelle méthode de séparation et de dosage de traces de bore. application au dosage du bore dans le silicium. Anal. Chim. Acta 1957, 17, 213–219. [Google Scholar] [CrossRef]
- Zhu, D. Study of extraction-spectrophotometric microdetermination of boron with methylene blue and its application. Anal. Sci. 1991, 7, 1283–1286. [Google Scholar] [CrossRef]
- Pasztor, L.; Bode, J.D.; Fernando, Q. Determination of micro quantities of boron in steel by solvent extraction method. Anal. Chem. 1960, 32, 277–281. [Google Scholar] [CrossRef]
- Sato, K.; Kimoto, H.; Hashimoto, T. Mechanism of current amplification based on cyclodextrin-supported supramolecular interaction between catechol and ferrocene. J. Electroanal. Chem. 2025, 980, 118994. [Google Scholar] [CrossRef]
- Casulli, M.A.; Taurino, I.; Hashimoto, T.; Carrara, S.; Hayashita, T. Electrochemical assay for extremely selective recognition of fructose based on 4-ferrocene-phenylboronic acid probe and β-cyclodextrins supramolecular complex. Small 2020, 16, 2003359. [Google Scholar] [CrossRef]
- Furikado, Y.; Nagahata, T.; Okamoto, T.; Sugaya, T.; Iwatsuki, S.; Inamo, M.; Takagi, H.D.; Odani, A.; Ishihara, K. Universal reaction mechanism of boronic acids with diols in aqueous solution: Kinetics and the basic concept of a conditional formation constant. Chem. Eur. J. 2014, 20, 13194–13202. [Google Scholar] [CrossRef]
- Watanabe, E.; Miyamoto, C.; Tanaka, A.; Iizuka, K.; Iwatsuki, S.; Inamo, M.; Takagi, H.D.; Ishihara, K. Relative kinetic reactivity of boronic acid and boronate ion towards tiron, 2,2′-biphenol, and propylene glycol. Dalton Trans. 2013, 42, 8446–8453. [Google Scholar] [CrossRef]
- Ingri, N. Equilibium studies of polyanions 8. On the first equibrium steps in the hydrolysis of boric acid, a comparison between equilibria in 0.1 M and 3.0 M NaClO4. Acta Chem. Scand. 1962, 16, 439–448. [Google Scholar] [CrossRef]
- Benesi, H.A.; Hildebrand, J.H. A Spectrophotometric Investigation of the Interaction of Iodine with Aromatic Hydrocarbons. J. Am. Chem. Soc. 1949, 71, 2703–2707. [Google Scholar] [CrossRef]
- Yamada, T.; Fujiwara, S.; Fujita, K.; Tsuchido, Y.; Hashimoto, T.; Hayashita, T. Development of Dipicolylamine-Modified Cyclodextrins for the Design of Selective Guest-Responsive Receptors for ATP. Molecules 2018, 23, 635. [Google Scholar] [CrossRef] [PubMed]
- Kasprzak, A.; Borys, K.M.; Molchanov, S.; Adamczyk-Woźniak, A. Spectroscopic insight into supramolecular assemblies of boric acid derivatives and β-cyclodextrin. Carbohydr. Polym. 2018, 198, 294–301. [Google Scholar] [CrossRef] [PubMed]








| Added/mM | Found/mM | Recovery/% | RSD/% | R2 | |
|---|---|---|---|---|---|
| Puddle water | 0.60 | 0.56 | 93.3 | 1.36 | 0.9874 |
| River water | 0.60 | 0.68 | 113.2 | 0.81 | 0.9959 |
| Tap water | 0.60 | 0.59 | 98.6 | 1.93 | 0.9631 |
Disclaimer/Publisher’s Note: The statements, opinions and data contained in all publications are solely those of the individual author(s) and contributor(s) and not of MDPI and/or the editor(s). MDPI and/or the editor(s) disclaim responsibility for any injury to people or property resulting from any ideas, methods, instructions or products referred to in the content. |
© 2025 by the authors. Licensee MDPI, Basel, Switzerland. This article is an open access article distributed under the terms and conditions of the Creative Commons Attribution (CC BY) license (https://creativecommons.org/licenses/by/4.0/).
Share and Cite
Sato, K.; Kimoto, H.; Hashimoto, T. Electrochemical Boron Detection with Ferrocene and Catechol-Functionalized Cyclodextrin Inclusion Complex. Int. J. Mol. Sci. 2025, 26, 4432. https://doi.org/10.3390/ijms26094432
Sato K, Kimoto H, Hashimoto T. Electrochemical Boron Detection with Ferrocene and Catechol-Functionalized Cyclodextrin Inclusion Complex. International Journal of Molecular Sciences. 2025; 26(9):4432. https://doi.org/10.3390/ijms26094432
Chicago/Turabian StyleSato, Kai, Hiroshi Kimoto, and Takeshi Hashimoto. 2025. "Electrochemical Boron Detection with Ferrocene and Catechol-Functionalized Cyclodextrin Inclusion Complex" International Journal of Molecular Sciences 26, no. 9: 4432. https://doi.org/10.3390/ijms26094432
APA StyleSato, K., Kimoto, H., & Hashimoto, T. (2025). Electrochemical Boron Detection with Ferrocene and Catechol-Functionalized Cyclodextrin Inclusion Complex. International Journal of Molecular Sciences, 26(9), 4432. https://doi.org/10.3390/ijms26094432

