Abstract
Stem bark of Phoebe lanceolata was extracted with ethanol and fractionated with ethyl acetate yielded soluble and insoluble fractions. Ethyl acetate insoluble fraction was subjected to column chromatography afforded two oxalyl-fused didehydroaporphine alkaloids, N-6/C-7 oxalyl-fused 2,9-dihydroxy-1,10-dimethoxy 6a,7-didehydroaporphine and N-6/C-7 oxalyl-fused 1,2,9,10-tetramethoxy 6a,7-didehydroaporphine along with well known β-sitosterol and β-sitosterol glucoside. The structures of isolated compounds were elucidated by chemical and spectral analysis.
1. Introduction
Phoebe lanceolata belonging to family Lauraceae is an evergreen tree and well reputed in traditional medicine in India [1]. Ethanolic extract of the stem bark showed antidiabetic, antibacterial and antifungal activity (preliminary work done by us at different laboratory). We recently reported an aporphine alkaloid, nordelporphine [2] from this source and now outlined the isolation and characterization of two oxalyl-fused didehydroaporphine alkaloids.
2. Results and discussion
Compound 1 was isolated as black crystals, m.p. 280-2830C (uncorr.) deduced the molecular formula C20H15NO6 from the molecular ion at m/z 365.7 in the LC-EIMS (positive mode). This compound was elucidated as N-6/C-7 oxalyl-fused 2,9-dihydroxy-1,10-dimethoxy 6a,7- didehydroaporphine by direct comparison (UV, IR and NMR) to published data for laurodionine [3] isolated from P. formosana. Compound 2 was isolated as black-brown crystals, m.p. 2050C deduced the molecular formula C22H19O6N from the molecular ion at m/z 393.3 in the EIMS. The IR absorptions at 1734 cm-1 was characteristic for carbonyl function. 1H NMR spectrum revealed the presence of four methoxy (δ 3.92, 3.63, 3.76 and 3.85) and three aromatic protons (δ 7.81, 7.12 and 6.73).
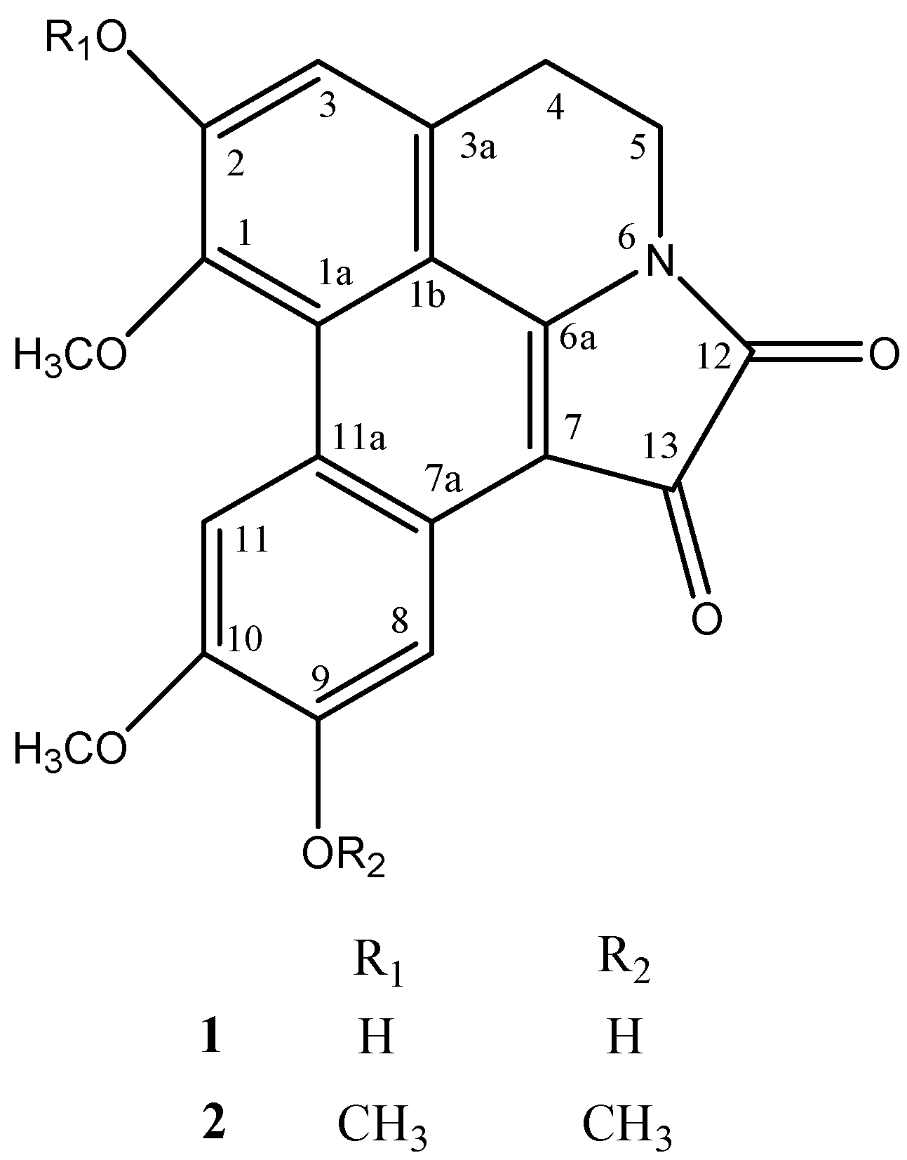
Figure 1.
Chemical structures of compound 1 and 2.
Figure 1.
Chemical structures of compound 1 and 2.

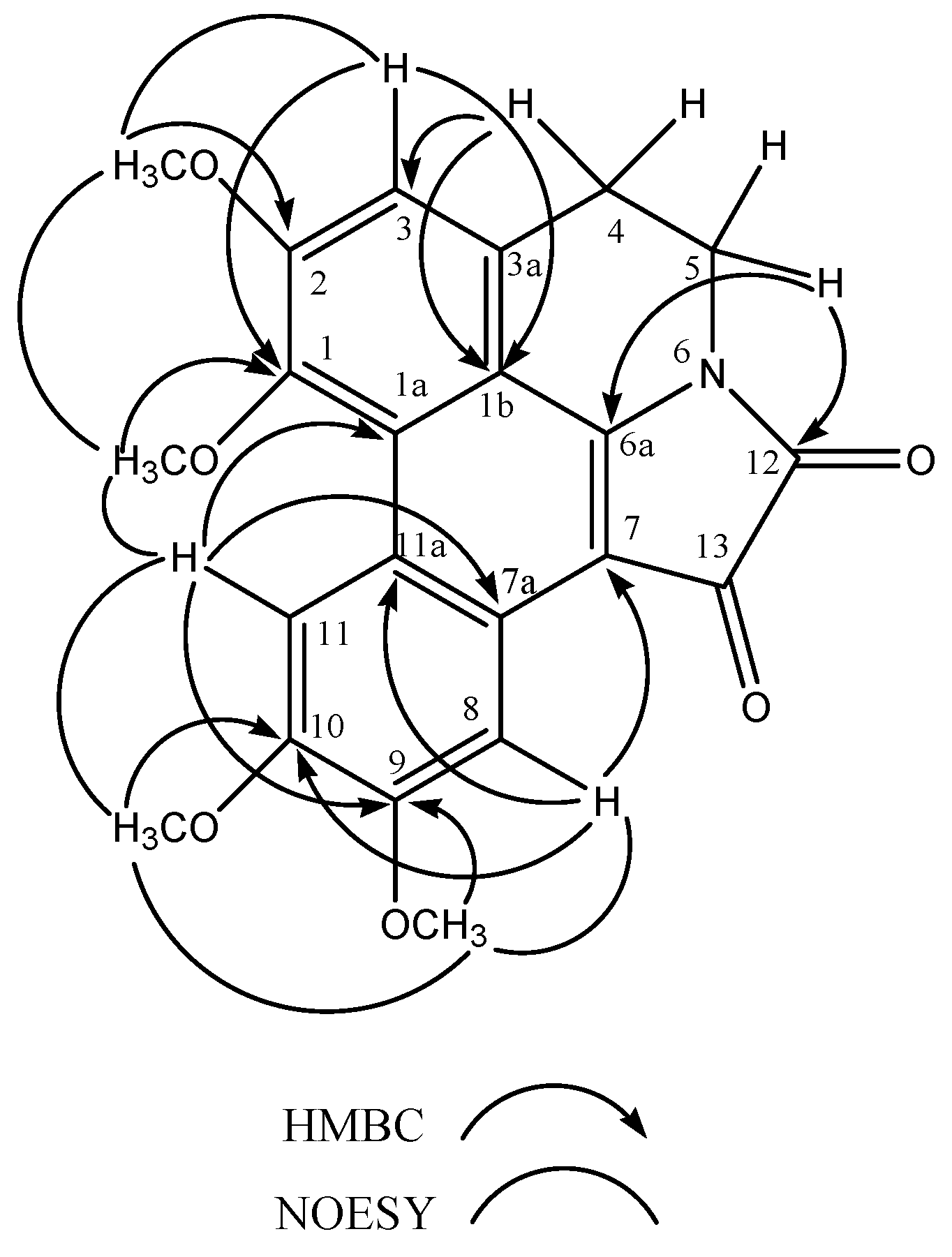
Figure 2.
Important HMBC and NOESY correlations of compound 2.
Figure 2.
Important HMBC and NOESY correlations of compound 2.

13C NMR spectrum expressed the evidence for two carbonyl groups (δ 163.83 and 173.33). DEPT (1350) showed the presence of four CH3, two CH2, three CH and thirteen quaternary carbons. HMBC and NOESY correlations are shown in Fig. 2. These data were somewhat similar to that of 1 except the presence of two methoxy groups instead hydroxy groups. On methylation [4], compound 1 afforded black brown product identical to 2 indicated that the locations of methoxy groups in 2 were similar to those of hydroxy groups in 1. The HMBC correlation of OCH3-1 (δ 3.92) to C-1 (δ 144.54), OCH3-2 (δ 3.63) to C-2 (δ 159.28), OCH3-9 (δ 3.76) to C-9 (δ 152.23) and OCH3-10 (δ 3.85) to C-10 (δ 148.77) whereas the NOESY correlation of OCH3-1 to OCH3-2 and H-11 (δ 7.81); OCH3-2 to OCH3-1 and H-3 (δ 7.12); OCH3-9 to OCH3-10 and H-8 (δ 6.73) and OCH3-10 to OCH3-9 and H-11 were further confirmed the position of all methoxy groups. EIMS (positive mode) revealed a molecular ion at m/z 393, another ion at m/z 377 (loss of CH4) and the most abundant ion [C16H5NO4]•+ at m/z 275 was due to loss of C5H10O2. On the basis of these findings and the proposed structure described by Castedo et al., [5], the compound 2 was characterized as N-6/C-7 oxalyl-fused 1,2,9,10-tetramethoxy 6a,7-didehydroaporphine.
3. Experimental
3.1. General
Melting points were determined on Perfit melting point apparatus; UV spectra on Perkin-Elmer, Lambda- 25 spectrophotometer in MeOH; IR spectra on Perkin-Elmer, Spectrum RX I FT-IR spectrophotometer (KBr discs); NMR spectra on JEOL NMR spectrophotometer (300 MHz for 1H and 125 MHz for 13C in DMSO, TMS as internal standard); LC-EIMS on Finnigan MAT spectrophotometer. Preparative TLC (0.5 mm thick layer) was carried out on silica gel (Merck 10-40 μ) spots were detected using UV at 254 and 365 nm and Dragendorff’s reagent.
3.2. Plant material
Stem bark (6 kg) of P. lanceolata was collected from Kartikswami temple, Dist. Chamoli (Uttarakhand) and identified by Prof. R.D. Gaur, Department of Botany, H.N.B. Garhwal University Srinagar. A voucher specimen (GUH-17598) of the plant was deposited in the Departmental Herbarium.
3.3. Extraction and isolation
Coarsely powdered stem bark (2 kg) was extracted twice with 95% ethanol (5L) at 500C (15 hours) on a heating mantle. After removal of the solvent under reduced pressure, the residue (230 g) was fractionated with EtOAc (repeated 3-4 times) yielded soluble and insoluble portions. The insoluble portion (120 g) was pre-adsorbed onto silica gel (50 g) and subjected to column chromatography over silica gel (500 g, Merck, 60-120 mesh). The elution was perform first with CHCl3 and then with CHCl3 containing increasing amount of MeOH. The fractions obtained were collected every 50 ml. The elution with CHCl3–MeOH (47:3→9:1) afforded twelve fractions of 250 ml. These fractions were combined on the basis TLC analysis and subjected to preparative TLC in CHCl3–MeOH (8:2) afforded compounds 1 (23 mg) and 2 (20 mg), purified by recrystallised with CHCl3–MeOH (1:1).
3.5. N-6/C-7 oxalyl-fused 1,2,9,10-tetramethoxy 6a,7-didehydroaporphine (2)
D Black-brown crystals (CHCl3/MeOH); m.p. 205-2070C; : +470 (c 0.3, MeOH); M.F. C22H19NO6, UV : 206, 268, 434 nm; IR : 2956, 1734, 1662, 1554, 1471 cm-1. 1H, 13C, HMBC and NOESY NMR data: see Table-1; LCMS: 393 [M]+, 377 [C21H15NO6]•+, 275 [C16H5NO4]•+, 148 [C8H6NO2]+; Elemental analysis: (found C- 67.24%, H- 04.84%, N- 03.56 and O- 24.46%; calculated for C22H19NO6 C- 67.17%, H- 04.87%, N- 03.56 and O- 24.40%).
Table 1.
13C and 1H NMR data of 2 in DMSO d6
3.6. Methylation of compound 1
Dimethyl sulfate (1.5 mg) and dry potassium carbonate (1.5 mg) were added to compound 1 (5 mg) in 5 ml of acetone. The mixture was stirred vigorously and refluxed for 30 minutes in round bottom flask on water bath. The concentrated filtrate afforded methylated product, M.P. 205-2060C as a black brown compound.
Supplementary Materials
Supplementary File 1Supplementary File 2Supplementary File 3Supplementary File 4Supplementary File 5Supplementary File 6Acknowledgements
The work was supported by UGC New Delhi, India; Grant No. 33-282/2007(SR). Authors are grateful to Prof. M. S. M. Rawat for providing lab facilities and NIPER Chandigarh for scanning LCMS of isolated compounds.
References
- Gaur, R.D. Flora of Garhwal North West Himalaya; Trans Media: Srinagar Garhwal, 1999; p. 59. [Google Scholar]
- Semwal, D.K.; Rawat, U. Nordelporphine alkaloid from bark of Phoebe lanceolata. Orient. J. Chem. 2007, 23, 771–772. [Google Scholar]
- Chen, C.C.; Huang, Y.L.; Lee, S.S.; Ou, J.C. A new oxalyl- fused aporphine alkaloid from Phoebe formosana. J. Nat. Prod. 1997, 60, 826–827. [Google Scholar] [CrossRef]
- Luo, Y.; Liu, Y.; Luo, D.; Li, B.; Zhang, G. Cytotoxic alkaloids from Boehmeria siamensis. Planta Med. 2003, 69, 842–845. [Google Scholar] [PubMed]
- Castedo, L.; Sal, C.; Sad, J.M.; Suau, R. Synthesis of oxoaporphines. An unusual photocyclization-photoreduction of 2,3-diaryl-Δ2-pyrroline-4,5-diones. J. Org. Chem. 1982, 47, 513–517. [Google Scholar] [CrossRef]
© 2008 by the authors; licensee Molecular Diversity Preservation International, Basel, Switzerland. This article is an open-access article distributed under the terms and conditions of the Creative Commons Attribution license (http://creativecommons.org/licenses/by/3.0/).