Abstract
A one-pot multicomponent reaction has been used to synthesize the title compound, ethyl 4-[5-(methoxymethyl)furan-2-yl]-6-methyl-2-oxo-1,2,3,4-tetrahydropyrimidine-5-carboxylate by PTSA catalyzed Biginelli reaction. The chemical structure of the product was confirmed by spectroscopic evidence, FTIR, HRESI-MS, 1D-, and 2D NMR.
1. Introduction
Nitrogen containing heterocycles are widespread in many naturally occurring compounds. They build the core structures of many biologically active scaffolds as well as some industrial compounds. Among these, dihydropyrimidinone (DHPM) derivatives attract many researchers due to their simple synthesis protocol. The synthesis of DHPM was firstly reported by Italian chemist Pietro Biginelli in 1893 through simple one-pot multicomponent reaction of benzaldehyde, urea, and ethyl acetoacetate employing HCl as catalyst [1]. Furthermore, the attractiveness of DHPM derivatives are associated with their unique pharmacological activities such as antioxidant [2], anti-inflammation, antibacterial, antifungal [3], anti HIV [4], anticancer [5], and antihypertensive activities [6]. In continuation of our research for finding an anticancer agent acting as inhibitor of the mitotic kinesin Eg5, we have successfully synthesized a series of DHPM derivatives employing Biginelli reaction and herein we report a new DHPM derivative namely ethyl 4-[5-(methoxymethyl)furan-2-yl]-6-methyl-2-oxo-1,2,3,4-tetrahydropyrimidine-5-carboxylate (4).
2. Results and Discussion
The synthesis of the title compound (4) was conducted in one step reaction as presented in Scheme 1.
Scheme 1.
Synthesis of ethyl 4-[5-(methoxymethyl)furan-2-yl]-6-methyl-2-oxo-1,2,3,4-tetrahydro pyrimidine-5-carboxylate (4).
The synthesis of the title compound was performed by combining usual Biginelli procedure with methylation at hydroxyl methyl group of the furan ring as reported by Yoshida et al. [7]. The reaction was carried out in methanol in the presence of 0.025 mol % of PTSA as catalyst at room temperature. The usage of PTSA as a catalyst for Biginelli reaction was previously reported by Jin et al. [8] and Matache et al. [9]. Besides solvent, methanol was also acting as a methylation agent. The target molecule 4 was obtained as white solid in 40% yield with m.p. of 178–180 °C. The structure of the compound 4 was established by FTIR, HRESI-MS, 1H-, APT-, and 2D NMR spectral data.
The HRESIMS displayed a negative molecular ion at m/z 293.1145 indicating a molecular formula of C14H18N2O5 and 8 degrees of unsaturation (see Supplementary Material Figure S1). The FTIR spectrum exhibited absorption bands at 3238, 1710, 1656 cm−1 indicating the presence of an –NH amide group, carbonyl group of an ester, and an amide respectively [10] (see Supplementary Material, Figure S2).
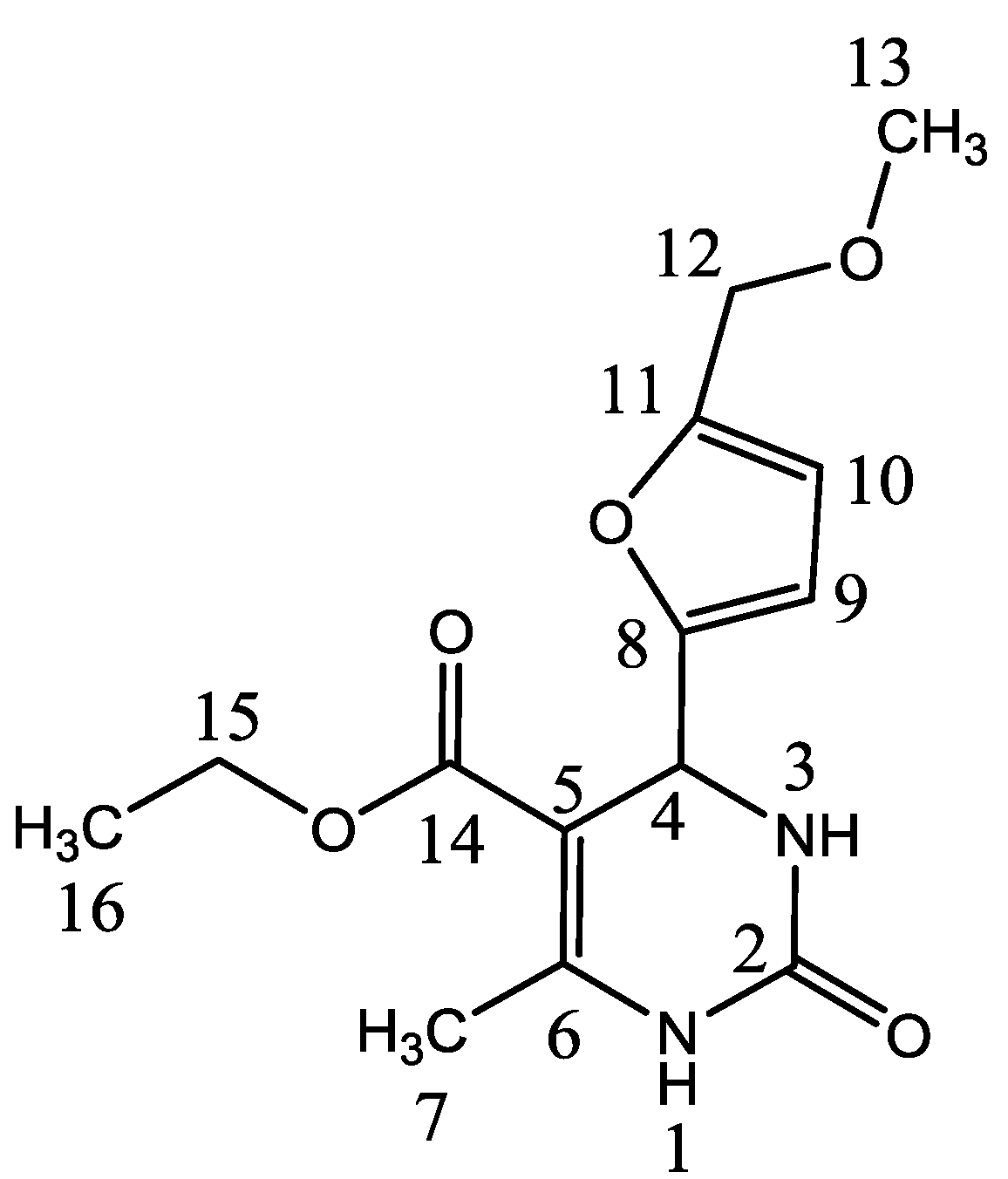
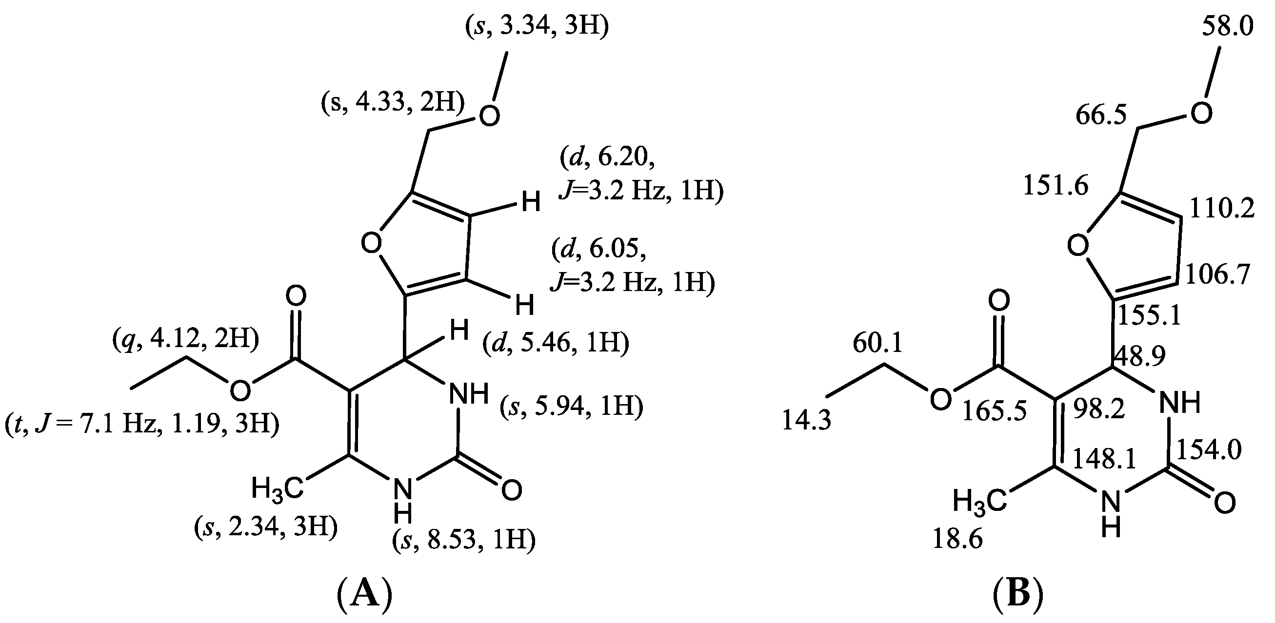
To facilitate the discussion, we provide the numbering of the title compound as displayed in Figure 1, while the NMR chemical shifts is displayed in Figure 2. The existence of tetrahydropyrimidine ring is proven by the following data. Two broad single signals at 5.94 and 8.53 ppm of 1H-NMR spectrum indicated two amide protons (see Supplementary Material, Figure S3), while the carbonyl group is assigned by the 13C signal at 154.0 ppm (see Supplementary Material, Figure S4). The sp2 two carbon atoms were confirmed by two 13C signals at 98.2 and 148.1 ppm, whereas a signal at 48.9 ppm indicated a sp3 carbon atom which attaches a proton that appeared as a doublet signal at 5.46 ppm. A methyl group attached in a sp2 carbon atom was observed as a singlet signal at 2.34 ppm. This information indicated that the title compound possessing 6-methyl-4-aryl-3,4-dihidropyrimidin-2-on scaffold, typical skeleton of Biginelli product. The existence of the ethyl ester group was confirmed by a 13C signal at 165.5 ppm indicated a carbonyl ester, whereas the ethyl group was observed by 1H signal as a quartet at 4.12 ppm indicated an oxy-methylene (13C signal was observed at 60.1 ppm), and the methyl group appeared as a triplet at 1.19 ppm (13C signal was observed at 14.3 ppm) [11,12].
Figure 1.
Numbering of the title compound.
Figure 2.
1H- (A) and 13C- (B) NMR chemical shifts (CDCl3) of the title compound.
Furthermore, in the aromatic area, two signals—δH (ppm) 6.05 (d, J = 3.1 Hz, 1H) and 6.20 (d, J = 3.1 Hz, 1H)—were observed, indicating the presence of two protons in an orto position of H-9 and H-10 in a furan ring. The oxy-methylene fragment appeared as a singlet signal at δH 4.33 ppm or at 66.5 ppm in the carbon signal. A methoxy fragment attached in an aliphatic carbon atom was demonstrated by a singlet signal at δH 3.34 ppm or at 58.0 ppm in the carbon signal. The APT spectra showed 14 signals representing all carbon atoms of the title compound.
The existence of two NH protons was also confirmed by HMQC experiment which showed the existence of two proton signals exhibiting no correlation with carbon atoms (see Supplementary Material, Figure S5). Based on HMBC experiment (see Supplementary Material, Figure S6), the presence of 6-methyl-4-aryl-3,4-dihydropyrimidin-2-one scaffold possessing ester substituent at C-5 was convinced by a correlation of proton H-4 (δH 5.46 ppm) with olefinic carbon and α,β-unsaturated carbonyl ester δC (ppm) 98.2 (C-5), 148.1 (C-6), 165.5 (C-14) respectively, carbonyl urea-type (δC 154.0 ppm, C-2), and two carbon from the furan ring—δC (ppm) 155.1 (C-8) and 106.7 (C-9). The presence of this skeleton was also convinced by a long range correlation of NH proton δH 8.53 ppm (H-1) with two α,β-unsaturated olefinic carbon atoms (C-5 and C-6) and methyl olefinic (δC 18.6 ppm, C-7). Furthermore, the presence of furan ring was convinced by two aromatic protons—δH (ppm) 6.05 (H-9) and 6.20 (H-10)—which correlated with its three neighboring carbon atoms—δC (ppm) 155.1 (C-8), 151.6 (C-11), and 110.2 (C-10) or 106.7 (C-9). In addition, the presence of methoxymethylene substituent at C-11 was convinced by a long range correlation between methylene proton δH 4.33 with two carbon of furan ring (C-10 and C-11) and methoxy carbon (δC 58 ppm, C-13). The selected long range correlation is suitable with the structure of the title compound is displayed in Figure 3. The structure refinement parameters is displayed in Table 1. Based on the structure elucidation of the obtained spectrum, the title compound is a new compound.
Figure 3.
Selected HMBC correlation for compound 4.
Table 1.
NMR data of Ethyl 4-[5-(methoxymethyl)furan-2-yl]-6-methyl-2-oxo-1,2,3,4-tetrahydropyrimidine-5-carboxylate in CDCl3.
3. Materials and Methods
The chemicals used in the research were provided from the commercial sources and pro analysis or pro synthesis grade. The melting point was measured with a Fisher–Johns melting point apparatus 220 VAC (Fisher Scientific, Waltham, MA, USA) and uncorrected. The reaction progress and purity of the product were monitored by thin layer chromatography on silica gel GF254 plates (E Merck, Darmstadt, Germany) and the spots were identified by UV lamp (λ 254 nm). The mass spectra was recorded by HRESI-MS (waters LCT premier XE, Waters Corp, Milford, MA, USA). FTIR spectra was recorded in KBr powder with the Diffuse Reflectance Method on spectrophotometer IRTracer100 (Shimadzu, Kyoto, Japan). NMR spectra (1H, APT, HMBC, and HMQC) were recorded on JEOL 400 ECA spectrometer (JEOL, Tokyo, Japan) using CDCl3 as a solvent and internal standard.
Synthesis Procedure of the Title Compound
The mixture of 2 mmol 5-hydroxymethyl furfural, 3 mmol urea, 3 mmol ethyl acetoacetate, 0.5 mmol PTSA, and 5 mL methanol was stirred for 24 h at room temperature, the reaction progress was monitored by TLC on a silica gel plate employing chloroform:ethyl acetate (1:2) as a mobile phase. After the reaction was completed, the reaction mixture was then subjected to silica gel column chromatography using chloroform:ethyl acetate (1:2) as eluent to yield 40% of title compound.
4. Conclusion
One-pot multicomponent Biginelli reaction was employed to conduct the synthesis of a new compound ethyl 4-[5-(methoxymethyl)furan-2-yl]-6-methyl-2-oxo-1,2,3,4-tetrahydropyrimidine-5-carboxylate.
Supplementary Materials
The following are available on line at www.mdpi.com/1422-8599/2017/3/M954, HRESIMS, FTIR, 1H-, NMR, APT, HMQC, and HMBC spectra of the title compound are reported in the supplementary materials as Figures S1–S6 and structure refinement parameters as Table 1.
Supplementary File 1Supplementary File 2Supplementary File 3Supplementary File 4Acknowledgments
The authors gratefully acknowledge to Lembaga Penelitian dan Inovasi, Airlangga University for research funding through the Hibah Riset Mandat Grant 2017.
Author Contributions
H.S. brought out the idea, managed the research, and wrote the article. S.Z. carried out the synthesis, K.U.H. analyzed the spectra. I.I. elucidated the spectral data. A.N.K. elucidated the spectral data and corrected the draft. All the authors have read the draft.
Conflicts of Interest
The authors declare no conflict of interest.
References
- Biginelli, P. Derivati Aldeiduredici Degli Eteri Acetile Dossal-Acetico. Gazz. Chim. Ital. 1893, 23, 360–413. [Google Scholar]
- De Vasconcelos, A.; Oliveira, P.S.; Ritter, M.; Freitag, A.; Romano, L.; Quina, F.H.; Pizzuti, L.; Pereira, C.M.P.; Stefanello, F.M.; Barschak, A.G. Antioxidant capacity and environmentally friendly synthesis of dihydropyrimidin-(2H)-ones promoted by naturally occurring organic acids. J. Biochem. Mol. Toxicol. 2012, 26, 155–161. [Google Scholar] [CrossRef] [PubMed]
- Bhatewara, A.; Jetti, S.R.; Kadre, T.; Paliwal, P.; dan Jain, S. Microwave-assisted synthesis and biological evaluation of dihydropyrimidinone derivatives as anti-inflammatory, antibacterial, and antifungal agents. Int. J. Med. Chem. 2013, 2013, 1–5. [Google Scholar] [CrossRef] [PubMed]
- Kim, J.; Park, C.; Ok, T.; So, W.; Jo, M.; Seo, M.; Kim, Y.; Sohn, J.H.; Park, Y.; Ju, M.K.; et al. Discovery of 3,4-dihydropyrimidin-2(1H)-ones with inhibitory activity against HIV-1 replication. Bioorg. Med. Chem. Lett. 2012, 22, 2119–2124. [Google Scholar] [CrossRef] [PubMed]
- Sośnicki, J.G.; Struk, Ł.; Kurzawski, M.; Perużyńska, M.; Maciejewska, G.; dan Droździk, M. Regioselective synthesis of novel 4,5-diaryl functionalized 3,4-dihydropyrimidine-2(1H)-thiones via a non-biginelli-type approach and evaluation of their in vitro anticancer activity. Org. Biomol. Chem. 2014, 12, 3427–3440. [Google Scholar] [CrossRef] [PubMed]
- Nagarajaiah, H.; Mukhopadhyay, A.; dan Moorthy, J.N. Biginelli reaction: An overview. Tetrahedron Lett. 2016, 57, 5135–5149. [Google Scholar] [CrossRef]
- Yoshida, N.; Kasuya, N.; Haga, N.; Fukuda, K. Brand-new biomass-based vinyl polymers from 5-hydroxymethylfurfural. Polym. J. 2008, 40, 1164–1169. [Google Scholar] [CrossRef]
- Jin, T.; Zhang, S.; Li, T. p-Toluenesulfonic Acid-catalyzed efficient synthesis of dihydropyrimidines: Improved high yielding protocol for the biginelli reaction. Synth. Commun. 2002, 32, 1847–1851. [Google Scholar] [CrossRef]
- Matache, M.; Dobrota, C.; Bogdan, N.D.; Dumitru, I.; Ruta, L.L.; Paraschivescu, C.C.; Farcasanu, I.C.; Baciu, I.; Funeriu, D.P. Synthesis of fused dihydro-pyrimido [4, 3-d] coumarins using Biginelli multicomponent reaction as key step. Tetrahedron 2009, 65, 5949–5957. [Google Scholar] [CrossRef]
- Pretsch, E.; Bühlmann, P.; Badertscher, M. Structure Determination of Organic Compounds, Tables of Spectral Data, 4th Completely Revised ed.; Springer: Berlin, Germany, 2009; pp. 70, 134, 138. [Google Scholar]
- Pavia, D.L.; Lampman, G.M.; Kriz, G.S.; Vyvyan, J.R. Introduction to Spectroscopy, 4th ed.; Brooks/Cole, Cengage Learning: Belmont, CA, USA, 2009; pp. 151, 178, 293. [Google Scholar]
- Breitmaier, E. Structure Elucidation by NMR in Organic Chemistry: A Practical Guide, 3th Revised ed.; John Wiley & Sons, Ltd.: West Sussex, UK, 2002; pp. 11–12. [Google Scholar]
© 2017 by the authors. Licensee MDPI, Basel, Switzerland. This article is an open access article distributed under the terms and conditions of the Creative Commons Attribution (CC BY) license (http://creativecommons.org/licenses/by/4.0/).



