Abstract
Plantation forests have been strongly established in Indonesia, with Acacias and Eucalyptus as the most common species. Using a single species in a large plantation may affect its sustainability because of the threat from biotic and abiotic factors. The soil microbiome is key to an ecological process strongly associated with both biotic and abiotic factors. However, research aiming to understand soil microbial communities in plantation forests in Indonesia is still limited. We analyzed the soil bacterial communities from six sites of plantation forests and three sites of conservation areas representing natural forest ecosystems. We produced approximately 140,136 reads from nine soil samples and generated 2385 total OTUs from the reads. The ten most abundant phyla were Proteobacteria, Acidobacteria, Actinobacteria, Chloroflexi, Firmicutes, Bacteroidetes, Verrucomicrobia, Nitrospirae, Gemmatimonadetes, and Planctomycetes. At the phylum level, the relative abundance of microbes in E. pellita plantation forests and natural forests was similar, except for Bacteroidetes. The richness and diversity of the microbiomes were slightly lower in the plantation forests than in the natural forests. Minor variations in the soil’s chemical properties may be responsible for the variations in the microbiome between natural and plantation forests. According to RDA, the K, total N, and organic C were positively correlated with the bacterial diversity, while the pH was negatively correlated. There was a positive correlation between the abundance of Bacteroidetes and the K content. However, there is not much information regarding this relationship.
1. Introduction
In Indonesia, industrial plantation forests now cover approximately 7.2 million ha; 4.01 million ha are on Sumatra Island; 2.77 million ha are on the Borneo Islands; and the rest are on the Moluccas, Papua, Sulawesi, and Nusa Tenggara Islands [1]. In 2020, the total wood production from industrial plantation forests was approximately 45.56 million m3; more than 99% was from Acacias and Eucalyptus [1]. Industrial forest plantations are managed intensively to provide raw wood material, especially for the pulp and paper industries, which currently play a major role in Indonesia’s gross domestic product (GDP), providing millions of jobs [2].
Historically, plantation forests worldwide were developed by planting one, two, or three species from one or two genera, indigenous, exotic, or both [3]. The same situation also occurred in Indonesia, with Acacias and Eucalyptus being the most dominant tree species [1]. Acacia mangium Willd and Eucalyptus pellita F. Muell are two mainstay species cultivated on mineral soils, while Acacia crassicarpa A. Cunn. ex Benth. is the most suitable for planting on peatland. With plantation forests’ simple ecosystems compared to natural forests, biodiversity and sustainability have become important issues in the management of industrial plantations. The phenomenon of changes in plant species in forest plantations due to plant disease problems in Indonesia and Vietnam indicates that the issue of sustainability in plantation forests needs more attention [3].
Soil microbial diversity has received much attention since it has become key to other biodiversity and biogeochemical cycles [4,5]. It has long been known that plant communities and soil microbial communities have feedback interactions [6]. Microorganisms, as decomposers, play a role in supplying nutrients to plants, and, vice versa; plants, as producers, supply organic carbon sources to microorganisms [7]. Therefore, soil microbes carry out key ecosystem services vital for sustaining plant growth and health [8,9,10,11,12,13]. Several previous studies showed that soil microbes were essential in stimulating the growth of plants such as rice and cork oak [14,15]. However, some studies also reported that soil microbial communities had a relationship with the incidence of plant diseases, such as Fusarium wilt disease [16] and tobacco bacterial wilt disease [17]. Because of their important roles, the soil microbial community may directly affect plant growth, health, and productivity [18].
To date, aided by the latest technologies, studies have revealed that it is not an individual microbe that plays an ecological role but, rather, the microbiome [19,20,21]. However, research aiming to understand soil microbiomes in terms of structure, composition, and functional activity in tropical forests in Indonesia is still limited. A deep analysis of microbial community structure and its roles in ecological processes will improve our understanding of how the microbial communities differ from those in natural or human-made environments. Therefore, this study was carried out to answer some of the following questions: (1) What are the properties of the microbiomes in natural and E. pellita plantation forests? (2) Do these two ecosystems have different bacterial population diversities? (3) What is the correlation between the microbiomes and chemical soil properties in these two ecosystems? Hence, in the future, this study’s findings could serve as a basis for managing industrial plantation forests, emphasizing the improvement of plant health and productivity.
2. Materials and Methods
2.1. Soil Sample Collection
We collected soil samples from Muara Enim District, South Sumatera Province (Figure 1). The site represents the following three types of forest: natural forest (NAF), plantation forest adjacent to natural forest (HPF), and distinguished plantation forests (DPF) in three replications (Figure 1). The NAF (1, 2, and 3) is a conservation area where the ecological function is well conserved as a virgin forest. There were no silvicultural practices or fertilizer input in the natural forest sites. The HPF (1, 2, and 3) and DPF (1, 2, and 3) are monoculture forest planted with E. pellita (3–4 years old) in spacings of 3 × 2 or 3 × 2.5 m (Table 1). We collected soil samples at a 0–20 cm depth from five representative points at each site and then composited them into one sample.
Figure 1.
Sites of study inb Muara Enim District, Province of South Sumatera. NAF sites (green circles) represent natural forests, HPF sites (brown circles) represent plantation forests with the same location as the natural forests, and DPF sites (blue circles) represent plantation forests with different unit locations from the natural forests.
Table 1.
Description of each sampling sites and the existing type of vegetation.
2.2. Soil Chemical Analysis
The soil chemical properties analyzed in this study were the soil pH, total organic carbon content (C), total nitrogen (N), phosphorus (P), potassium (K), and cation exchange capacity (CEC) of the soil. We carried out soil chemical analysis using the method described by BPT [22]. Before analysis, soil samples were prepared by oven drying at 105 °C, and the pH was measured by adding water at a 1:5 soil/water ratio. The organic C content was measured using the Walkley and Black method, and the total N content was measured using the Kjeldahl method. The P content was determined using a 25% HCl extract. The transmitted K cations were determined by atomic absorption spectrophotometry (SSA).
2.3. Soil DNA Extraction
We extracted DNA from the soil samples using a soil DNA extraction kit (ZymoBIOMICS DNA Mini Kit, Orange, CA, USA) according to the manufacturer’s instructions. The isolated DNA was re-suspended in 100 μL of Tris-EDTA (TE) and stored at −20 °C. To confirm its quality, the DNA was visualized on a 1% agarose gel stained with SYBR® safe (Invitrogen).
2.4. PCR Amplification and NGS Sequencing
PCR amplification of partial bacterial small-subunit ribosomal RNA genes was performed using the primers 515F and 806R with barcodes. The size of the amplified target was about 296 bp. All the PCRs were carried out with Phusion® High-Fidelity PCR Master Mix (New England Biolabs, Ipswich, MA, USA). The library was produced with the Ion Plus 48 Fragment Library Kit and was quantified using a Qubit and Q-PCR. Sequencing was carried out on the IonS5TMXL platform. The single-end reads were assigned to samples based on unique barcodes, and the barcode sequences and primers were trimmed. The raw reads were quality filtered using special filtering conditions to obtain high-quality clean reads according with Qiime (V1.7.0, http://qiime.org/scripts/split_libraries_fastq.html) (accessed on 25 July 2019) [23]. The reads were compared to the reference database (Gold database, http://drive5.com/uchime/uchime_download.html) (accessed on 25 July 2019) using the UCHIME algorithm [24] to detect chimeric sequences. The chimeric sequences were omitted to obtain the effective reads. The raw sequencing data are available at www.ncbi.nlm.nih.gov/sra/PRJNA838114 (accessed on 25 July 2019) under the Bioproject accession number PRJNA838114.
2.5. Data Analysis
Sequence analysis was performed with Uparse software (Uparse v7.0.1001, http://drive5.com/uparse/) (accessed on 25 July 2019) [25,26] using all the effective reads. Sequences with ≥97% similarity were assigned to the same operational taxonomic unit (OTU). The representative sequences for each OTU were screened for further annotations. The alpha diversity was applied in analyzing the complexity of the species diversity. The diversity in terms of the Shannon, Simpson, and Chao1 diversity indices was calculated using QIIME (Version 1.7.0) [23] and visualized using R software (Version 2.15.3). Beta diversity analysis was performed to evaluate intersample differences in species complexity using QIIME software (Version 1.7.0). Principal coordinate analysis (PCoA) was performed to obtain and visualize the main coordinates from the complex multidimensional data. The distance matrix of the unweighted unifrac between the previously obtained samples was converted to a new set of orthogonal axes, where the maximum variation factor was shown by the primary coordinate, the second maximum by the second main coordinate, and so on. The PCoA was visualized by using the WGCNA packages, stat packages, and ggplot2 packages in R (Version 2.15.3). The unweighted pair-group method with arithmetic means (UPGMA) clustering was carried out as a hierarchical clustering method to interpret the distance matrix using link averages with the QIIME software (Version 1.7.0). The correlation between the soil microbiome and soil chemical properties was analyzed using redundancy analysis (RDA).
3. Results
3.1. Soil Chemical Properties
We collected soil samples from natural forests and E. pellita plantations. The soil chemical properties from each site are listed in Table 2. The soil texture for all sites was categorized as silty clay. The soil pH values were acidic, ranging from 4.33 to 4.67. The organic C content was 2.43 to 2.96%, the total N content was 0.18 to 0.20%, the P content was 3.00 to 4.33 ppm, and the K content was 20.00 to 31.33 ppm, as presented in Table 2. Based on the assessment criteria for the soil chemical properties [22], all the locations studied were categorized as having very acidic to acidic soil (pH < 5.5). The organic C and K contents were characterized as moderate, while the total N and P contents were classified as poor.
Table 2.
Value of soil factor variables at various study sites.
3.2. Bacterial Abundance
The total bacterial community from nine soil samples covering natural forests and E. pellita plantations resulted in approximately 140,136 total reads on average, 105,651 taxon reads on average, 34,485 unique reads on average, and 1656 OTUs on average (Figure 2a). All the samples showed minor variation in the numbers of total reads, with the highest number of total reads (140,468) found in DPF3 and the lowest (140,008) found in DPF1. The numbers of taxon and unique reads also showed minor variations among the samples. The highest number of taxon reads (112,564) was observed in DPH1, while the lowest (93,104) was in HPF3. For the unique reads, the highest number was observed in HPF3, and the lowest was in DPF1. For the OTUs, DPF2 had the highest number, while DPF1 had the lowest.
Figure 2.
Bacterial annotation and abundance of soil samples. (a) The reads and OTU number statistics for each sample. The left vertical axis represents the read number, and the right vertical axis represents the number of OTUs (purple). (b) The relative abundance of the top ten phyla in each group. ‘Others’ represents the total relative abundance of the remaining phyla besides the top 10. (c) The relative abundance of the top 10 orders in each group. ‘Others’ represents the total relative abundance of the remaining orders besides the top 10. The relative abundance of phyla and order were not significantly different based on ANOVA (Supplementary of Table S1).
The eight most abundant phyla were Proteobacteria, Acidobacteria, Actinobacteria, Chloroflexi, Firmicutes, Bacteroidetes, Verrucomicrobia, and Nitrospirae (relative abundance > 1%) (Figure 2b); they were present in all the soil samples. Proteobacteria, Acidobacteria, and Actinobacteria were the most abundant, accounting for ~50%, 21%, and 15%, respectively, of the total bacterial community in the soil samples. At the phylum level, the soil microbiota of the natural and plantation forests in this study had similar relative abundance, except for Bacteroidetes, for which the abundance in natural forests (NAF) was higher than that in plantation forests (DPF and HPF). The average abundances of Proteobacteria in NAF, DPF, and HPF sites were 50.3%, 51.7%, and 47.1%, respectively, while the abundances of Acidobacteria were 20.1%, 19.4%, and 21.3%, respectively, and those of Actinobacteria were 13.9%, 16.1%, and 14.9%, respectively. The average bacterial abundance of Bacteroidetes in NAF was 2.4%, higher than that in DPF and HPF, in which it was 0.4% and 0.8%, respectively.
The most abundant orders were Rhizobiales, Rhodospririllales, Solibacterales, Acidobacteriales, Frankiales, Xanthomonadales, and Sphingobacteriales (Figure 2c). The average abundances of Rhizobiales in NAF, DPF, and HPF were 27.7%, 30.3%, and 28.1%, respectively; for Rhodospririllales, they were 9.6%, 10.6%, and 9.6%, respectively; for Solibacterales, they were 7.3%, 6.8%, and 6.9%, respectively; and for Sphingobacteriales, the abundances were 0.24% in NAF, 0.4% in DPF, and 0.7% in HPF. As for those at the phylum level, the abundance of microbes at the order level was similar between the plantation forests and natural forests.
The relative bacterial abundances at the genus level were further analyzed. Figure 3 shows the heatmap of 35 most dominant genera identified. Acidothermus was the most dominant genus, followed by Candidatus_Solibacter, Acidibacter, and Variibacter, while Labrys and Geobacter were the least dominant. We categorized these genera based on the clustering results from the z value (Table S2). Based on the ANOVA result, the bacterial abundance was not significantly different for any genera, except for Mycobacterium (Table S3). The abundance of this genus was significantly higher in DPF than in NAF and HPF.
Figure 3.
Species abundance heatmap. The horizontal axis represents the soil sample group and the vertical axis represents the top 35 genera among all the samples. Colors represent relative abundance, from high (red) to low (blue).
3.3. Bacterial Diversity
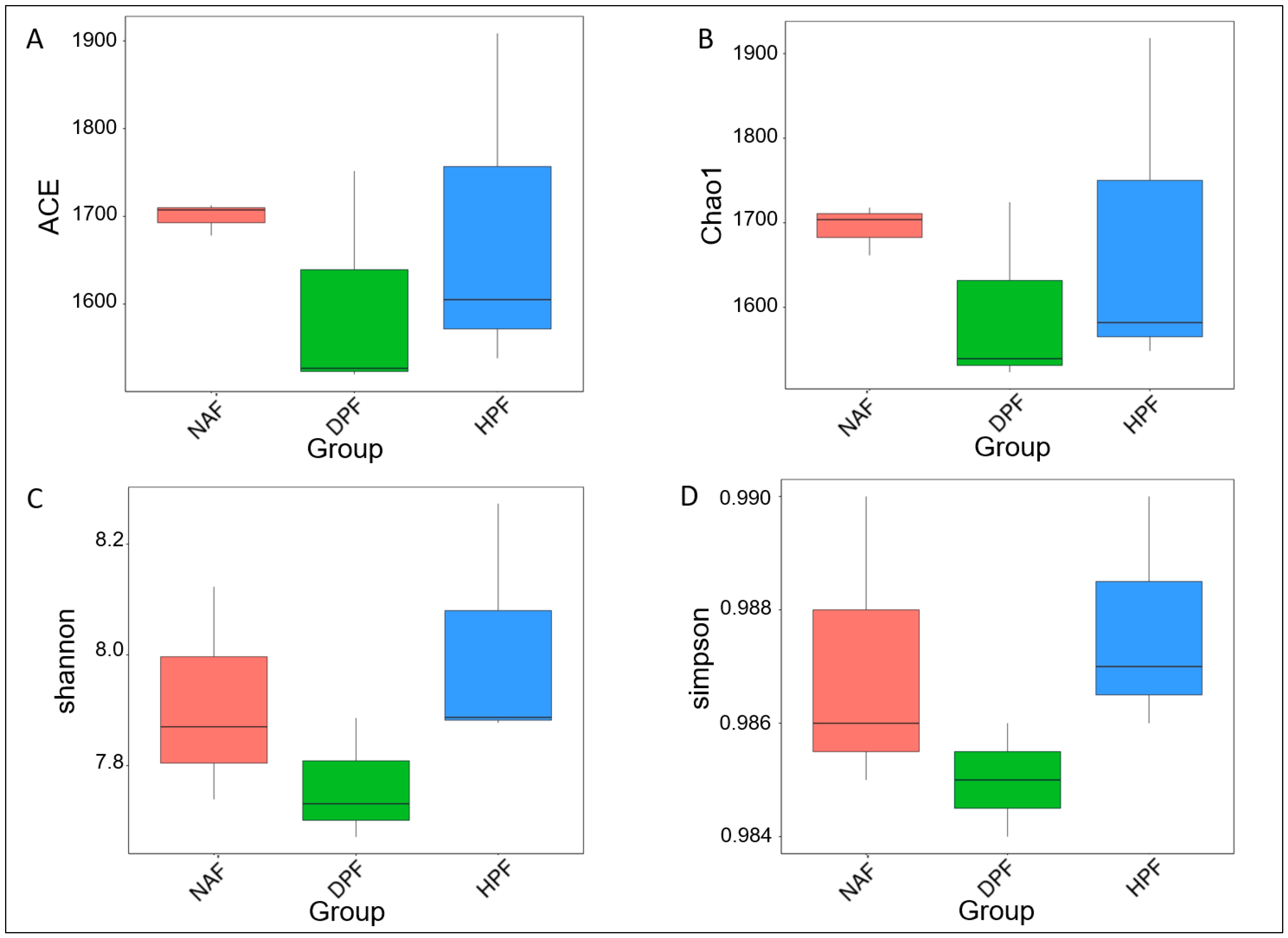
OTUs produced on 97% identity sequences are considered homologous in terms of species. The alpha diversity statistics are summarized in Figure 4. Higher ACE and Chao1 values were shown by NAF, followed by HPF and DPF. On the other hand, HPF showed higher Shannon and Simpson index values than NAF and DPF. However, two-way ANOVA for ACE, Chao1, Shannon, and Simpson indicated no significant differences among soil samples in the observed species (Table S4). This means that the richness and diversity of the microbiome in natural and plantation forest were similar.
Figure 4.
Alpha diversity index boxplots. The (A) Ace and (B) Chao1 indices describe the bacterial abundance in samples; the greater the ACE or Chao1 value, the higher the expected species richness. The (C) Shannon and (D) Simpson indices describe the bacterial diversity in samples; the greater the Shannon and Simpson indices of diversity, the higher the microbiome’s diversity.
Beta diversity analysis was further used to evaluate intersample differences in species complexity. We performed cluster analysis to study the similarity between the samples. PCoA based on the distance matrix of the unweighted unifrac between the obtained samples is shown in Figure 5B, while the phylogenetic tree is shown in Figure 5A. Individual samples in the NAF group appear to be well clustered. However, the DPF and HPF samples were not grouped properly. In general, the samples from the natural forests form a different group from the samples from the plantation forests. All the HPF samples were in a different group from the NAF samples, while one DPF sample was in a group with an NAF sample. An ANOVA test for the unweighted unifrac distance indicated significant differences only between NAF and HPF (p < 0.05) (Table S5).
Figure 5.
Cluster analysis. (A) UPGMA phylogenetic tree based on unweighted unifrac distance tree. (B) PCoA based on unweighted unifrac distance.
3.4. Relationship between Soil Chemical Properties and Microbiome
The results of the correlation analysis between the soil microbiomes and soil chemical properties are presented in Figure 6. A redundancy analysis (RDA) was performed to determine this relationship. The first axis of the RDA explained 38.3%, and the second axis explained 17.6% of the total variation of the bacterial data. Figure 6 can be interpreted qualitatively, based on the directions and lengths of the arrows. The results demonstrate that the total K content was positively correlated with the abundance of Bacteroidetes and Proteobacteria. Additionally, the total N and organic C values showed a positive correlation with Acidobacteria, Firmicutes, Verrucomicrobia, Nitrospirae, and Gemmatimonadetes abundance, whereas pH showed a negative correlation with these microbes’ abundances.
Figure 6.
Redundancy analysis (RDA) showing the relationship between soil microbiome phyla (red) and soil chemical properties (blue). Arrows indicate the directions and lengths of variables.
4. Discussion
4.1. The Difference between Bacterial Diversity in Natural Forests and Plantation Forests
Proteobacteria, Acidobacteria, and Actinobacteria were the most abundant microbes in the studied sites. This is not surprising, since Proteobacteria and Acidobacteria have also been reported to be very abundant in other locations [27,28], including a location on the same island as the studied sites [29,30,31]. These microbes are reported to be important for the decomposition of soil carbon [32,33]. Furthermore, as the major member of the detected Proteobacteria, Rhizobiales was the most abundant microbe at the order level. This order was also the most abundant in previous studies [30,31]. Rhizobiales has been reported to play an important role in soil N availability [34]. Surprisingly, although the highest abundance phylum was Proteobacteria, the highest abundance genera were from Actinobacteria and Acidobacteria. Acidothermus and Candidatus_Solibacter; as the highest abundance genera, each plays an important role in cellulose degradation and N2 cycling [35,36].
The three most abundant microbes, Proteobacteria, Acidobacteria, and Actinobacteria, showed only minor variations in natural forests and E. pellita plantations. On the other hand, some previous research has showed that the abundance of these phyla changed significantly. Proteobacteria’s abundance has been reported to decrease, while the abundance of Acidobacteria increased, upon the conversion of the forest into rubber and oil palm plantations [29,30,31]. By contrast, another study reported that the relative abundance of Acidobacteria in oil palm plantations was significantly lower than that in primary forests [37]. This inconsistency in microbial change is due to many factors that influence the dynamics of microbial populations, which include the host (such as species, ages, developmental stages, health status, and canopy), environment (such as climate, soil type, soil water content, and cultivation practices), and microbe–microbe interactions (such as microbial hubs, keystone species, and metabolites) [38].
Forest conversion into various intensively managed land uses alters the soil microbial structure and diversity in tropical and sub-tropical forests [39,40,41,42,43,44]. In our study, we compared the soil microbiome in natural vegetation consisting of various species (Table 1) and monocultural E. pellita plantations. Many papers report that the composition and diversity of the soil microbiome is strongly influenced by the aboveground diversity [45,46,47]. Through their various root exudates, mucilages, and architectures, diverse plants play an important role in shaping microbial composition [44,48,49,50]. Plant species can also influence soil chemical properties [51,52,53]. Thus, we hypothesized that the bacterial relative abundance and diversity in E. pellita plantations would be significantly different from those in natural forests. Our findings, however, showed contrary results; in the E. pellita plantation forest, the relative abundance of microbes was not significantly different from that in natural forests. These results contrast with those of previous studies, where the soil bacterial composition and diversity decreased significantly upon forest conversion into rubber and oil palm land use [29,31]. This demonstrates that the plant diversity did not significantly influence the diversity of the soil microbiomes in our studied sites.
The only relative decrease in abundance in the E. pellita plantations compared to natural forests was for Bacteroidetes. Decreases in Bacteroidetes abundance have also been reported by previous studies in agricultural soil [54]. The studies showed that the amount of Bacteroidetes decreased significantly due to their sensitivity to agricultural practices. Therefore, Bacteroidetes was recommended as a biological indicator in agricultural soil usage.
4.2. Relationship between Soil Physicochemical Properties and Bacterial Diversity
As the plant diversity did not significantly influence the bacterial diversity in the studied sites, we further analyzed the soil physicochemical properties in search of factors that influenced the soil microbiome composition and diversity. Many previous studies have reported a strong relationship between soil physicochemical properties and the soil microbiome [55,56,57,58,59]. In our study, the soil samples from natural forests and E. pellita plantations showed minor variations in soil physicochemical properties, except for the K content of the samples from natural forests, which tended to be higher (Table 2). These minor variations in the soil physicochemical properties may relate to the minor variations in the abundance and diversity of the soil microbes. In the studied sites, the silviculture practices and fertilizer input for the E. pellita plantations are less intensive than those for rubber and oil palm plantations. The Eucalyptus pellita plantation was only fertilized once with a low dose, at planting, with ~45 g/tree of TSP (triple superphosphate) (Table 1). By contrast, different cultural practices and fertilizer inputs are applied in rubber and oil palm plantations. Both are fertilized regularly every year with high doses of fertilizer. For rubber, fertilization is carried out using urea at a dose of 0.25–0.35 kg/tree/year, 0.1–0.3 kg/tree/year of KCl, 0.15–0.26 kg/tree/year of SP-36, and 0.057–0.25 kg/tree/year of kieserite [60]. For oil palms, the fertilizer dose is 0.4–2.5 kg/tree/year of urea, 0.2–3.0 kg/tree/year of KCl, 0.1–1.5 kg/tree/year of kieserite, 0.25–1.0 kg/tree/year of SP-36, and 0.02–0.1 kg/tree/year of borax [61]. As reported previously, fertilization is a major factor in microbial shifting after rainforest conversion to oil palm plantations [30].
The relationship between soil chemical properties and microbial communities is not always fully understood. For example, some previous studies reported that the N content could cause negative, positive, or no effects on the microbiome [56,62,63,64]. Long-term N addition in a mixed hardwood stand significantly increased the bacterial richness and diversity [64]. On the other hand, 20 years of N addition in a sub-alpine forest did not change the bacterial community structure or cause changes at the phylum level [65]. In our study, the N content was positively correlated with the abundance and diversity of specific bacterial phyla (Figure 6). The total N showed a positive correlation with the abundance of Acidobacteria, Firmicutes, Verrucomicrobia, Nitrospirae, and Gemmatimonadetes.
In contrast to the N content, the relative abundance of Acidobacteria showed a negative correlation with soil pH. Nitrogen fertilizer decreases soil pH [66,67]. Thus, the relative abundance of Acidobacteria decreases at higher pH levels. Previous studies have reported that soil pH strongly influences the structure and diversity of soil bacterial communities [44,58,68,69,70]. Additionally, the soil pH level strongly influences the availability of other necessary nutrients [71]. As for other soil chemical properties, the results regarding the link between pH and bacterial diversity are inconsistent. For example, a lower pH could increase the abundance of Acidobacteria [58,72]. However, another study showed a contrary result, in which a lower pH decreased Acidobacteria [62]. Although perhaps still important in the formation of community structure, soil pH was not the dominant factor responsible for changes in the composition of soil bacterial communities [56].
According to RDA (Figure 6), the K content had a strong positive correlation with the abundance of Bacteroidetes. This genus is abundantly found in natural forest, where K content is highest. This is confirmed in a previous study in which Bacteroidetes were found to prefer colonizing uncultivated soil [54].
5. Conclusions
In conclusion, this study clearly showed that the soil microbiomes in Eucalyptus pellita plantations and natural forests in South Sumatra had similar phyla relative abundances. The insignificant difference of alpha and beta diversity analysis supports this conclusion. Minor variations in soil physicochemical properties caused similar bacterial diversity upon the shift in utilization from natural forests to plantation forests. The minimal input of fertilizer in plantation forests may lead to minor changes in soil physicochemical properties.
Supplementary Materials
The following supporting information can be downloaded at: https://www.mdpi.com/article/10.3390/d14060442/s1, Table S1: Result of ANOVA for phyla and order of relative abundance; Table S2: Average of z value of each group; Table S3: Result of ANOVA for z value of bacterial abundance; Table S4: Result of ANOVA for Alpha diversity; Table S5: Result of ANOVA for unweighted unifrac.
Author Contributions
All authors are main contributors. Conceptualization, N.E.L.; data collection, N.E.L., S.U. and S.O.; validation, D.M.P., E.W. and Y.; data analysis, N.E.L., S.U., E.W., Y. and D.M.P.; map visualization, D.P.; writing—original draft preparation, N.E.L., S.U. and E.W.; writing—review and editing, D.M.P., Y., D.P., B.S. and S.O. All authors have read and agreed to the published version of the manuscript.
Funding
This research was funded by SEAMEO-BIOTROP, grant number 039.10/PSRP/SC/SPK-PNLT/II/2019. The APC was funded by PT Musi Hutan Persada (No. 430/MHP/PD/NIRU/III/2022).
Institutional Review Board Statement
Not applicable.
Informed Consent Statement
Not applicable.
Data Availability Statement
All data generated during this study are included in this published article. Sequences were deposited in the National Center for Biotechnology Information (NCBI) under the Bioproject accession number PRJNA838114.
Acknowledgments
We thank to Mitha Septiandari, Melina Dwi Rosalinda and Yayang Nurahmah for help in laboratory Works. We also thank to all R&D Staff and PT Musi Hutan Persada for help in field work.
Conflicts of Interest
The authors declare no conflict of interest.
References
- BPS-Statistics Indonesia. Statistics of Timber Culture Establishment 2020; BPS-Statistics Indonesia: Jakarta, Indonesia, 2021; pp. 16–22. [Google Scholar]
- Setyawati. Indonesia-Investments. Available online: https://www.indonesia-investments.com/news/todays-headlines/pulp-andpaper-industry-indonesia-challenges-and-opportunities/item7738 (accessed on 17 February 2021).
- Nambiar, E.K.S.; Harwood, C.E.; Mendham, D.S. Paths to sustainable wood supply to the pulp and paper industry in Indonesia after diseases have forced a change of species from acacia to eucalypts. Aust. For. 2018, 81, 148–161. [Google Scholar] [CrossRef]
- Meng, S.; Peng, T.; Liu, X.; Wang, H.; Huang, T.; Gu, J.; Hu, Z. Ecological role of bacteria involved in the biogeochemical cycles of mangroves based on functional genes detected through GeoChip 5.0. ASM 2022, 7, e00936-21. [Google Scholar] [CrossRef]
- Liu, X.; Wang, Y.; Gu, J.D. Ecological distribution and potential roles of Woesearchaeota in anaerobic biogeochemical cycling unveiled by genomic analysis. Comput. Struct. Biotechnol. J. 2021, 19, 794–800. [Google Scholar] [CrossRef] [PubMed]
- Bever, J.D.; Westover, K.M.; Antonovics, J. Incorporating the soil community into plant population dynamics: The utility of the feedback approach. J. Ecol. 1997, 85, 561–573. [Google Scholar] [CrossRef]
- Eisenhauer, N.; Bessler, H.; Engels, C.; Gleixner, G.; Habekost, M.; Milcu, A.; Partsch, S.; Sabais, A.C.W.; Scherber, C.; Steinbeiss, S.; et al. Plant diversity effects on soil microorganisms support the singular hypothesis. Ecology 2010, 91, 485–496. [Google Scholar] [CrossRef] [PubMed]
- Berg, G.; Köberl, M.; Rybakova, D.; Müller, H.; Grosch, R.; Smalla, K. Plant microbial diversity is suggested as the key to future biocontrol and health trends. FEMS Microbiol. Ecol. 2017, 93, fix050. [Google Scholar] [CrossRef]
- Pieterse, C.M.; Dicke, M. Plant interactions with microbes and insects: From molecular mechanisms to ecology. Trends Plant Sci. 2007, 12, 564–569. [Google Scholar] [CrossRef] [Green Version]
- Van der Heijden, M.G.A.; Bardgett, R.D.; van Straalen, N.M. The unseen majority: Soil microbes as drivers of plant diversity and productivity in terrestrial ecosystems. Ecol. Lett. 2008, 11, 296–310. [Google Scholar] [CrossRef]
- Delgado-Baquerizo, M.; Maestre, F.T.; Reich, P.B.; Jeffries, T.C.; Gaitan, J.J.; Encinar, D.; Berdugo, M.; Campbell, C.D.; Singh, K.H. Microbial diversity drives multifunctionality in terrestrial ecosystems. Nat. Commun. 2016, 7, 10541. [Google Scholar] [CrossRef] [Green Version]
- Yang, H.; Li, J.; Xiao, Y.; Gu, Y.; Liu, H.; Liang, Y.; Liu, X.; Hu, J.; Meng, D.; Yin, H. An integrated insight into the relationship between soil microbial community and tobacco bacterial wilt disease. Front. Microbiol. 2017, 8, 2179. [Google Scholar] [CrossRef] [Green Version]
- Jansson, J.K.; Hofmockel, K.S. The soil microbiome-from metagenomics to metaphenomics. Curr. Opin. Micrbiol. 2018, 43, 162–168. [Google Scholar] [CrossRef] [PubMed]
- Duy, M.V.; Hoi, N.T.; Ve, N.B.; Thuc, L.V.; Trang, N.Q. Influence of Cellulomonas flavigena, Azospirillum sp. and Pseudomonas sp. on rice growth and yield grown in submerged soil amended with rice straw. In Recent Trends in PGPR Research for Sustainable Crop Productivity; Sayyed, R.Z., Reddy, M.S., Al-Turki, A.I., Eds.; Scientific Publishers: Hanoi Vietnam, India, 2016; pp. 238–242. [Google Scholar]
- Siegel-Hertz, K.; Edel-Hermann, V.; Chapelle, E.; Terrat, S.; Raaijmakers, J.M.; Steinberg, C. Comparative microbiome analysis of a Fusarium wilt suppressive soil and a Fusarium wilt conducive soil from the Châteaurenard region. Front. Microbiol. 2018, 9, 568. [Google Scholar] [CrossRef] [PubMed]
- Zhou, J.; Liu, X.; Yuan, F.; Deng, B.; Yu, X. Biocatalysis of heterogenously-expressed chitosanase for the preparation of desirable chitosan oligosaccharides applied againts phytopathogenic fungi. ACS Sustain. Chem. Eng. 2020, 8, 4781–4791. [Google Scholar] [CrossRef]
- Xiao, Y.; Liu, X.; Meng, D.; Tao, J.; Gu, Y.; Yin, H.; Lia, J. The role of soil bacterial community during winter follow period in the incidence of tobacco bacterial wilt disease. Appl. Microbial. Biotechnol. 2018, 102, 1–14. [Google Scholar] [CrossRef] [PubMed]
- Siong, A.; Li, Z.; Wang, E.; Xu, D.; Wang, S.; Bi, J.; Wang, H.; Jeyakumar, P.; Li, Z.; Fan, F. Supplying silicon alters community and reduces soil cadmium bioavailability to promote health wheat growth and yield. Sci. Total Environ. 2021, 796, 148797. [Google Scholar] [CrossRef]
- Gopal, M.; Gupta, A.; Thomas, G.V. Bespoke microbiome therapy to manage plant diseases. Front. Microbiol. 2013, 4, 1–4. [Google Scholar] [CrossRef] [Green Version]
- Forde, B.M.; O’Toole, P.W. Next-generation sequencing technologies and their impact on microbial genomics. Brief Funct. Genom. 2013, 12, 440–453. [Google Scholar] [CrossRef] [Green Version]
- Rinke, C.; Schwientek, P.; Sczyrba, A.; Ivanova, N.N.; Anderson, I.J.; Cheng, J.F.; Darling, A.; Malfatti, S.; Swan, B.K.; Gies, E.A.; et al. Insights into the phylogeny and coding potential of microbial dark matter. Nature 2013, 499, 431–437. [Google Scholar] [CrossRef] [Green Version]
- Balai Penelitian Tanah. Petunjuk Teknis Edisi 2. Analisis Kimia Tanah, Tanaman, Air, dan Pupuk; Balai Penelitian Tanah: Bogor, Indonesia, 2009. [Google Scholar]
- Bokulich, N.A.; Subramanian, S.; Faith, J.J.; Gevers, D.; Gordon, J.I.; Knight, R.; Mills, D.A.; Caporaso, J.G. Quality-filtering vastly improves diversity estimates from Illumina amplicon sequencing. Nat. Methods 2013, 10, 57–59. [Google Scholar] [CrossRef]
- Caporaso, J.G.; Kuczynski, J.; Stombaugh, J.; Bittinger, K.; Bushman, F.D.; Costello, E.K.; Fierer, N.; Pena, A.G.; Goodrich, J.K.; Gordon, J.I.; et al. QIIME allows analysis of high throughput community sequencing data. Nat. Methods 2010, 7, 335–336. [Google Scholar] [CrossRef] [Green Version]
- Edgar, R.C. UPARSE: Highly accurate OTU sequences from microbial amplicon reads. Nat. Methods 2013, 10, 996–998. [Google Scholar] [CrossRef] [PubMed]
- Haas, B.J.; Gevers, D.; Earl, A.M.; Feldgarden, M.; Ward, D.V.; Giannoukos, G.; Ciulla, D.; Tabbaa, D.; Highlander, S.K.; Sodergren, E.; et al. Chimeric 16S rRNA sequence formation and detection in Sanger and 454-pyrosequenced PCR amplicons. Genome Res. 2011, 21, 494–504. [Google Scholar] [CrossRef] [PubMed] [Green Version]
- Rousk, J.; Bååth, E.; Brookes, P.C.; Lauber, C.L.; Lozupone, C.; Caporaso, J.G.; Knight, R.; Fierer, N. Soil bacterial and fungal communities across a pH gradient in an arable soil. ISME J. 2010, 4, 1340–1351. [Google Scholar] [CrossRef] [PubMed]
- Tripathi, B.M.; Edwards, D.P.; Mendes, L.W.; Kim, M.; Dong, K.; Kim, H.; Adams, J. The impact of tropical forest logging and oil palm agriculture on the soil microbiome. Mol. Ecol. 2016, 25, 2244–2257. [Google Scholar] [CrossRef]
- Schneider, D.; Engelhaupt, M.; Allen, K.; Kurniawan, S.; Krashevska, V.; Heinemann, M.; Nacke, H.; Wijayanti, M.; Meryandini, A.; Corre, M.D.; et al. Impact of lowland rainforest transformation on diversity and composition of soil prokaryotic communities in Sumatra (Indonesia). Front. Microbiol. 2015, 6, 1339. [Google Scholar] [CrossRef] [PubMed] [Green Version]
- Berkelmann, B.; Schneider, D.; Engelhaupt, M.; Heinemann, M.; Christel, S.; Wijayanti, M.; Meryandini, A.; Daniel, R. How rainforest conversion to agricultural systems in Sumatra (Indonesia) affects active soil bacterial communities. Front. Microbiol. 2018, 9, 2381. [Google Scholar] [CrossRef]
- Berkelmann, B.; Schneider, D.; Meryandini, A.; Daniel, R. Unravelling the effects of tropical land use conversion on the soil microbiome. Environ. Microbiomes 2020, 15, 5. [Google Scholar] [CrossRef] [Green Version]
- Hansel, C.M.; Fendorf, S.; Jardine, P.M.; Francis, C.A. Changes in bacterial and archaeal community structure and functional diversity along a geochemically variable soil profile. Appl. Environ. Microbiol. 2008, 74, 1620–1633. [Google Scholar] [CrossRef] [Green Version]
- Leff, J.W.; Nemergut, D.R.; Grandy, A.S.; O’Neill, S.P.; Wickings, K.; Townsend, A.R.; Cleveland, C.C. The effects of soil bacterial community structure on decomposition in a tropical rain forest. Ecosystems 2012, 15, 284–298. [Google Scholar] [CrossRef]
- Erlarcer, A.; Cernava, T.; Cardinal, M.; Soh, J.; Sensen, C.W.; Grube, M.; Berg, G. Rhizobiales as functional and endosymbiontic members in the lichen symbiosis of Lobaria pulmonaria L. Front. Microbiol. 2015, 6, 53. [Google Scholar] [CrossRef]
- Barabote, R.D.; Xie, G.; Leu, D.H.; Normand, P.; Necsulea, A.; Daubin, V.; Médigue, C.; Adney, W.S.; Xu, X.C.; Lapidus, A.; et al. Complete genome of the cellulolytic thermophile Acidothermus cellulolyticus 11B provides insights into its ecophysiological and evolutionary adaptations. Genome Res. 2009, 19, 1033–1043. [Google Scholar] [CrossRef] [PubMed] [Green Version]
- Ward, N.L.; Challacombe, J.F.; Janssen, P.H.; Henrissat, B.; Coutinho, P.M.; Wu, M.; Xie, G.; Haft, D.H.; Sait, M.; Badger, J.; et al. Three genomes from the phylum Acidobacteria provide insight into the lifestyles of these microorganisms in soils. Appl. Environ. Microbiol. 2009, 75, 2046–2056. [Google Scholar] [CrossRef] [PubMed] [Green Version]
- Wood, S.A.; Gilbert, J.A.; Leff, J.W.; Fierer, N.; D’Angelo, H.; Bateman, C.; Gedallovich, S.M.; Gillikin, C.M.; Gradoville, M.R.; Mansor, P.; et al. Consequences of tropical forest conversion to oil palm on soil bacterial community and network structure. Soil Biol. Biochem. 2017, 112, 258–268. [Google Scholar] [CrossRef]
- Dastogeer, K.M.G.; Tumpa, F.H.; Sultana, A.; Akter, M.A.; Chakraborty, A. Plant microbiome–an account of the factors that shape community composition and diversity. Curr. Plant Biol. 2020, 23, 100161. [Google Scholar] [CrossRef]
- Amoo, A.E.; Babalola, O.O. Impact of Land Use on Bacterial Diversity and Community Structure in Temperate Pine and Indigenous Forest Soils. Diversity 2019, 11, 217. [Google Scholar] [CrossRef] [Green Version]
- Brinkmann, N.; Schneider, D.; Sahner, J.; Ballauff, J.; Edy, N.; Barus, H.; Irawan, B.; Budi, S.W.; Qaim, M.; Daniel, R.; et al. Intensive tropical land use massively shifts soil fungal communities. Sci. Rep. 2019, 9, 3403. [Google Scholar] [CrossRef] [Green Version]
- Rodrigus, J.L.M.; Pellizari, V.H.; Mueller, R.; Baek, K.; Jesus, E.C.; Paula, F.S.; Mirza, B.; Hamaoui, G.S., Jr.; Tsai, S.M.; Feigl, B.; et al. Conversion of the Amazon rainforest to agriculture results in biotic homogenization of soil bacterial communities. Proc. Natl. Acad. Sci. USA 2013, 110, 988–993. [Google Scholar] [CrossRef] [Green Version]
- Lan, G.; Wu, Z.; Yang, C.; Sun, R.; Chen, B.; Zhang, X. Forest conversion alters the structure and functional processes of tropical forest soil microbial communities. Land Degrad. Dev. 2020, 32, 613–627. [Google Scholar] [CrossRef]
- Song, H.; Singh, D.; Tomlinson, K.W.; Yang, X.; Ogwu, M.C.; Slik, J.W.F.; Adams, J.M. Tropical forest conversion to rubber plantation in southwest China results in lower fungal beta diversity and reduced network complexity. FEMS Microbiol. Ecol. 2019, 95, fiz092. [Google Scholar] [CrossRef] [Green Version]
- Meng, M.; Lin, J.; Guo, X.; Liu, X.; Wu, J.; Zhao, Y.; Zhang, J. Impacts of forest conversion on soil bacterial community composition and diversity in subtropical forests. Catena 2019, 175, 167–173. [Google Scholar] [CrossRef]
- McHugh, T.A.; Schwartz, E. Changes in plant community composition and reduced precipitation have limited effects on the structure of soil bacterial and fungal communities present in a semiarid grassland. Plant Soil 2015, 388, 175–186. [Google Scholar] [CrossRef]
- Lima-Perim, J.E.; Romagnoli, E.M.; DiniAndreote, F.; Durrer, A.; Dias, A.C.F.; Andreote, F.D. Linking the composition of bacterial and archaeal communities to characteristics of soil and flora composition in the Atlantic rainforest. PLoS ONE 2016, 11, e0146566. [Google Scholar] [CrossRef] [PubMed] [Green Version]
- Vitali, F.; Mastromei, G.; Senatore, G.; Caroppo, C.; Casalone, E. Long lasting effects of the conversion from natural forest to poplar plantation on soil microbial communities. Microbiol. Res. 2016, 182, 89–98. [Google Scholar] [CrossRef] [PubMed]
- Grayston, S.J.; Griffith, G.S.; Mawdsley, J.L.; Campbell, C.D.; Bardgett, R.D. Accounting for variability in soil microbial communities of temperate upland grassland ecosystems. Soil Biol. Biochem. 2001, 33, 533–551. [Google Scholar] [CrossRef]
- Prober, S.M.; Leff, J.W.; Bates, S.T.; Borer, E.T.; Firn, J.; Harpole, W.S.; Lind, E.M.; Seabloom, E.W.; Adler, P.B.; Bakker, J.D.; et al. Plant diversity predicts beta but not alpha diversity of soil microbes across grasslands worldwide. Ecol. Lett. 2015, 18, 85–95. [Google Scholar] [CrossRef]
- He, S.; Guo, L.; Niu, M.; Miao, F.; Jiao, S.; Hu, T.; Long, M. Ecological diversity and co-occurrence patterns of bacterial community through soil profile in response to long-term switchgrass cultivation. Sci. Rep. 2017, 7, 3608. [Google Scholar] [CrossRef]
- Aponte, C.; García, L.V.; Marañón, T. Tree species effect on litter decomposition and nutrient release in Mediterranean oak forests changes over time. Ecosystems 2012, 15, 1204–1218. [Google Scholar] [CrossRef] [Green Version]
- Dawud, S.M.; Raulund-Rasmussen, K.; Domisch, T.; Finer, L.; Jaroszewicz, W.; Vesterdal, L. Is tree species diversity or species identity the more important driver of soil carbon stocks, C/N ratio, and pH? Ecosystems 2016, 19, 645–660. [Google Scholar] [CrossRef] [Green Version]
- Xu, Q.F.; Jiang, P.K.; Wu, J.S.; Zhou, G.M.; Shen, R.F.; Fuhrmann, J.J. Bamboo invasion of native broadleaf forest modified soil microbial communities and diversity. Biol. Invasions 2015, 17, 433–444. [Google Scholar] [CrossRef]
- Wolińska, A.; Kuźniar, A.; Zielenkiewicz, U.; Szafranek-Nakonieczna, A.; Banach, A.; Błaszczyk, M. Bacteroidetes as a sensitive biological indicator of agricultural soil usage revealed by a culture-independent approach. Appl. Soil Ecol. 2017, 119, 128–137. [Google Scholar] [CrossRef]
- Haas, J.C.; Street, N.R.; Sjödin, A.; Lee, N.M.; Högberg, M.N.; Näsholm, T.; Hurry, V. Microbial community response to growing season and plant nutrient optimisation in a boreal Norway spruce forest. Soil Biol. Biochem. 2018, 125, 197–209. [Google Scholar] [CrossRef]
- Ramirez, K.S.; Lauber, C.L.; Knight, R.; Bradford, M.A.; Fierer, N. Consistent effects of nitrogen fertilization on soil bacterial communities in contrasting systems. Ecology 2010, 91, 3463–3470. [Google Scholar] [CrossRef] [PubMed]
- Leff, J.W.; Jones, S.E.; Prober, S.M.; Barberán, A.; Borer, E.T.; Firn, J.L.; Harpole, W.S.; Hobbie, S.E.; Hofmockel, K.S.; Knops, J.M.H.; et al. Consistent responses of soil microbial communities to elevated nutrient inputs in grasslands across the globe. Proc. Natl. Acad. Sci. USA 2015, 112, 10967–10972. [Google Scholar] [CrossRef] [PubMed] [Green Version]
- Lauber, C.L.; Hamady, M.; Knight, R.; Fierer, N. Pyrosequencing-based assessment of soil pH as a predictor of soil bacterial community composition at the continental scale. Appl. Environ. Microbiol. 2009, 75, 5111–5120. [Google Scholar] [CrossRef] [Green Version]
- Ulrich, A.; Becker, R. Soil parent material is a key determinant of the bacterial community structure in arable soils. FEMS Microbial. Ecol. 2006, 56, 430–443. [Google Scholar] [CrossRef] [Green Version]
- Purnamayani, R.; Asni, N. Teknologi Pemupukan Karet Unggul dan Lokal Spesifik Lokasi; Balai Pengkajian Teknologi Pertanian Jambi: Jambi, Indonesia, 2013. [Google Scholar]
- Kiswanto; Purwanta, J.H.; Wijayanto, B. Teknologi Budidaya Kelapa Sawit. Balai Besar Pengkajian dan Pengembangan Teknologi Pertanian; Badan Penelitian dan Pengembangan Pertanian: Bogor, Indonesia, 2008; pp. 12–13. [Google Scholar]
- Dai, Z.; Su, W.; Chen, H.; Barberan, A.; Zhao, H.; Yu, M.; Yu, L.; Brookes, P.C.; Schadt, C.W.; Chang, S.X.; et al. Longterm nitrogen fertilization decreases bacterial diversity and favors the growth of Actinobacteria and Proteobacteria in agro-ecosystems across the globe. Glob. Chang. Biol. 2018, 24, 3452–3461. [Google Scholar] [CrossRef]
- Ramirez, K.S.; Craine, J.M.; Fierer, N. Consistent effects of nitrogen amendments on soil microbial communities and processes across biomes. Glob. Chang. Biol. 2012, 18, 1918–1927. [Google Scholar] [CrossRef]
- Turlapati, S.A.; Minocha, R.; Bhiravarasa, P.S.; Tisa, L.S.; Thomas, W.K.; Minocha, S.C. Chronic N-amended soils exhibit an altered bacterial community structure in Harvard Forest, MA, USA. FEMS Microbiol. Ecol. 2013, 83, 478–493. [Google Scholar] [CrossRef] [Green Version]
- Frey, B.; Carnol, M.; Dharmarajah, A.; Brunner, I.; Schleppi, P. Only minor changes in the soil microbiome of a sub-alpine forest after 20 years of moderately increased nitrogen loads. Front. For. Glob. Chang. 2020, 3, 77. [Google Scholar] [CrossRef]
- Pierre, W.H. Nitrogenous fertilizers and soil acidity: Effect of various nitrogenous fertilizers on soil reaction. Agron. J. 1928, 20, 2–16. [Google Scholar] [CrossRef] [Green Version]
- Kissel, D.E.; Bock, B.R.; Ogles, C.Z. Thoughts on acidification of soils by nitrogen and sulfur fertilizers. Agrosyst. Geosci. Environ. 2020, 3, e20060. [Google Scholar] [CrossRef]
- Hartman, W.H.; Richardson, C.J.; Vilgalys, R.; Bruland, G.R. Environmental and anthropogenic controls over bacterial communities in wetland soils. Proc. Natl. Acad. Sci. USA 2008, 105, 17842–17847. [Google Scholar] [CrossRef] [PubMed] [Green Version]
- Bárcenas-Moreno, G.; Bååth, E.; Rousk, J. Functional implications of the pH-trait distribution of the microbial community in a re-inoculation experiment across a pH gradient. Soil Biol. Biochem. 2016, 93, 69–78. [Google Scholar] [CrossRef]
- Cho, S.J.; Kim, M.H.; Lee, Y.O. Effect of pH on soil bacterial diversity. J. Ecol. Environ. Sci. 2016, 40, 10. [Google Scholar] [CrossRef] [Green Version]
- Truog, E. Soil reaction influence on availability of plant nutrients. Soil Sci. Soc. Am. Proc. 1946, 11, 305–308. [Google Scholar] [CrossRef] [Green Version]
- Jones, R.T.; Robeson, M.S.; Lauber, C.L.; Hamady, M.; Knight, R.; Fierer, N. A comprehensive survey of soil acidobacterial diversity using pyrosequencing and clone library analyses. ISME J. 2009, 3, 442–453. [Google Scholar] [CrossRef]
Publisher’s Note: MDPI stays neutral with regard to jurisdictional claims in published maps and institutional affiliations. |
© 2022 by the authors. Licensee MDPI, Basel, Switzerland. This article is an open access article distributed under the terms and conditions of the Creative Commons Attribution (CC BY) license (https://creativecommons.org/licenses/by/4.0/).





