Abstract
Land use in Mexico has dramatically changed in recent decades since deforested lands have been repurposed for agriculture. We evaluated the amphibian taxonomic and functional diversity of a heterogeneous landscape with ten land cover/use types in west-central Mexico. Taxonomic diversity was evaluated with q-order indices, and functional diversity was calculated with three multivariate functional diversity indices by land cover/use. The relationship between amphibian diversity, habitat structure, and environmental variables was analyzed using multidimensional distance-based analyses. Our results showed that most native land cover types exhibited a similar species richness (low values) among the studied crops, except for the riparian habitat surrounded by tropical dry forest (high richness) and secondary vegetation (intermediate richness). Regarding functional diversity, the riparian habitat surrounded by tropical dry forest, sugar cane field, and secondary vegetation had the highest values. The secondary vegetation had more functional groups than other land cover/use types. Despite the lack of a clear spatial pattern of amphibian taxonomic and functional diversity, we determined that attributes such as herbaceous cover and water availability are essential to maintain both facets with high amphibian diversity in the land cover/use types (e.g., secondary vegetation and sugar cane).
1. Introduction
Land use has greatly changed worldwide over the last few decades. Global forest area decreased 3% from 1990 to 2015 (4128 million ha to 3999 million ha). In Mexico, the forest loss net rate has halved from 190,000 ha annually during the 1990s to 92,000 ha between 2010–2015 [1], mainly due to the repurposing of land for agriculture [2]. Moreover, the Mexican land cover distribution between 2001–2014 changed due to an increase in woody vegetation and croplands, and a decrease in pastures [3]. The most important crops are corn, a seasonal culture, and sugar cane, a perennial culture. In 2019, the area covered by corn was 4% (8,207,064 ha), and sugar cane was <1% (873,978 ha) of Mexico’s surface [4].
Land-use change might modify natural habitats, species composition, and local ecosystem functioning, impacting the composition, structure, and diversity of natural communities [5,6,7]. Thus, community composition, functional diversity, food web interactions, and ecosystem functioning differ between natural and managed habitats [8,9,10,11]. The classic approach for studying biodiversity has focused on the taxonomic facet, which involves analyzing species richness, abundance, and evenness [12] without considering its functional role within ecosystems [13]. Therefore, ecosystem functions must be integrated into ecological studies [14,15,16]. In the case of amphibian species, some studies have analyzed the variation of different diversity facets across environmental gradients and human pressures, evidencing the importance of incorporating environmental and human impact variables to understand the drivers of species richness and functional diversity patterns [17,18]. In this sense, evaluating the amphibian taxonomic and functional diversity in land cover/use types in heterogeneous landscapes gives a better understanding of how diversity changes among native land cover and land use types.
Amphibians have a variety of natural history and life history strategies. Amphibian species show many ecological differences and are affected in different ways by environmental changes. Some species have become locally or globally extinct or less frequent [19], while others have not declined, and some are even increasing [20]. The distribution of these organisms is partly determined by the land cover heterogeneity [21] and the microhabitat availability [22]. They also perform many functions across ecosystems, such as algae consumption [23], predating invertebrates and vertebrates [24], accumulating and exchanging nitrogen, calcium, and potassium [23,25], and mediating the energy flow between aquatic and terrestrial environments [26]. Moreover, amphibians are considered environmental quality bioindicators due to their low mobility, variation in abundance, and susceptibility to environmental changes [27,28].
Some studies have compared taxonomic and functional amphibian diversity across human-modified landscapes [21,29]. Anthropogenic disturbances may negatively impact diversity because species maintain homogenized traits to adapt to disturbances [30]. Furthermore, species with specific functional traits have a greater predisposition to extinction [31].
Mexico occupies the fifth place in amphibian richness worldwide, with 418 species. Additionally, it harbors many endemic species (70% of the total richness) [32]. Hence, it is crucial to understand the diversity patterns regarding phylogenetic, taxonomic, and functional diversity facets in natural and perturbed habitats. The number of studies in natural and perturbed habitats including more than one diversity facet has increased in the last five years [33,34,35], but there is still insufficient information about the taxonomic and functional facets of the amphibian assemblages across different habitats. Therefore, we assessed amphibian taxonomic and functional diversity variation among heterogeneous landscape covers and land uses in the west-central region of Mexico, where a considerable surface of natural vegetation has been deforested to establish corn and sugar cane crops. We hypothesized that the two facets of biodiversity would have similar trends: the highest taxonomic and functional diversity would occur in the native vegetation cover, particularly in the riparian habitat surrounded by tropical forest (RH-TDF).
2. Materials and Methods
2.1. Study Area
The study area included different land cover/use types in the municipalities of Ahualulco de Mercado and Teuchitlán (20°42′02″ N, 20°41′07″ N and 103°58′30″ W, 103°50′57″ W), both located in the west-central state of Jalisco, Mexico (Figure 1). The elevation in the area ranges between 1247 to 2300 m asl. The weather is semi-warm /semi-dry, with mean temperatures between 18–20 °C [36]. The average annual precipitation is 800–1200 mm; rain mostly occurs in the summer, and the dry period takes place during spring and winter [37]. We selected the following ten main land cover/use types (sampling sites): sugar cane field (CA), riparian habitat surrounded by crops (RH-C), cornfield (CO), highly perturbed tropical dry forest (HPTDF), TDF, RH-TDF, riparian habitat surrounded temperate forest (RH-TF), secondary vegetation surrounded by temperate forest (SV-TF), oak forest (OF) and pine-oak forest (POF).
Figure 1.
Study area in Jalisco, Mexico (a). Sampling points in the landscape (b). Sampling plots (c,d). Codes: sugar cane field (CA), riparian habitat surrounded by crops (RH-C), cornfield (CO), highly perturbated tropical dry forest (HPTDF), tropical dry forest (TDF), riparian habitat surrounded by tropical dry forest (RH-TDF), riparian habitat surrounded temperate forest (RH-TF), secondary vegetation surrounded by temperate forest (SV-TF), oak forest (OF) and pine-oak forest (POF).
The land cover/use type delimitation was based on the cartography of vegetation cover, altitude, and current land use [38]. We also corroborated the land cover by assessing plant species composition and physiognomic characteristics [39]. The TDF was found from 1200 to 1700 m asl with different perturbation levels and included Bursera bipinnata, Ipomoea murucoides, Lysiloma acapulcense, Opuntia fuliginosa y Tecoma stans as dominant species [40]. The TDF also had temporary and permanent water bodies, and some areas were deforested, so CO and CA were established instead.
The OF was present between 1500 and 1900 m asl, with Quercus resinosa, Q. magnolifolia, Q. castanea, and Q. gentry as dominant species. The POF was found from 1800 to 2590 m asl. The dominant species were Q. resinosa, Q. magnoliifolia, Pinus oocarpa, P. devoniana, and P. lumholtzii. [38]. The POF had temporal streams surrounded by the temperate forest and an artificial water pond surrounded by secondary vegetation.
2.2. Field Survey
We established 69 diurnal and fixed-radius point counts (i.e., 500 m2 circular plots) distributed as follows: 10 in POF and OF; 9 in RH-C; 7 in SV-TF; 6 in HPTDF, CO, and CA; and 5 in RH-TF, RH-TDF, and TDF. The sampling points were selected considering land tenancies and the access allowed by the government or private owners. Plots in specific land covers were separated at least 4 km from each other to avoid edge effects [41], except for the riparian habitats (RH-C, RH-TDF, RH-TF) (20 m). Monthly samplings of the amphibian assemblage were conducted from July 2011 to August 2012 in RH-TDF, TDF, RH-TF, SV-TF, OF, and POF. Each point was surveyed eight times. Moreover, from September 2012 to September 2013, nine surveys were performed in CA, RH-C, CO, and HPTDF. All plots were established 400 m from each other to avoid spatial pseudoreplication [42].
The vegetation structure was also characterized at each fixed-radius point count for amphibians. Arboreal, shrub, and herbaceous coverages were recorded for each plot. In addition, the dominant species of each stratum were registered. The floristic checklist was based on previous botanical studies [40,43]. Additionally, using a qualitative scale, we registered several habitat variables for each plot as follows: the rocks (structures >1 m of diameter), stones (<1 m of diameter), leaf litter, fire, and cow grazing (Supplementary Material, Table S1).
2.3. Data Analysis
2.3.1. Taxonomic Diversity
The amphibian taxonomic and functional diversity analysis was performed spatially since more than 50% of the species were absent in the dry season. Amphibian taxonomic diversity was estimated by the land cover/use type with the diversity of orders, q, representing the effective number of species. We considered q = 0 the species richness; q = 1, all species included with a weight exactly proportional to their abundance in the community, i.e., the abundant species; and q = 2, the very abundant species [44]. To evaluate sample completeness and compare the amphibian diversity among land uses, we follow an integrated approach based on the framework of Hill numbers [45]. These analyzes were performed using iNEXT online [46].
2.3.2. Functional Diversity
For functional diversity (FD) analysis, we obtained information on eight functional traits related to amphibians’ reproduction, habitat, and morphology (Supplementary Material, Table S2). This information was taken from the literature, our field observations, and individual measurements during this study and others in nearby areas of west-central Mexico. Then, we calculated three functional diversity indices by the land cover/use type based on species composition, abundance, and functional traits: (a) Functional richness (FRic); (b) Functional evenness (FEve); and (c) Functional divergence (FDiv) [47] using the FD-package in R-project [48,49]. The differences of the functional indices through the land cover/use type were evaluated by the confidence intervals overlap estimated by null models using the Picante package in R-project [50]. The null models were generated by performing null distributions of each FD index by randomizing the community matrix 1000 times with a swap algorithm method. This method uses the observed matrix as the starting point, preserving the total species richness at each land cover/use type and the number of sites in which each species can be found [51].
Amphibian functional groups were identified through cluster analysis based on a Gower distance matrix, a complete linkage method, and the similarity profile test (SIMPROF). In addition, a principal coordinate analysis (PCO) was performed to visualize the different functional patterns among these groups. The PCO ordination was built with the same cluster analysis resemblance coefficient, complemented with a multiple correlation analysis that shows the functional traits as vectors.
A shadow diagram was constructed to visualize the species’ contribution to land cover/use types considering their abundance. A clustering analysis between species was also performed using the group average linkage method and Whittaker’s coefficient of association. In addition, a SIMPROF routine was used to test each dendrogram node and highlight branches with no remaining structure. The functional groups were also incorporated in this diagram.
2.3.3. Amphibian Diversity vs. Habitat Characteristics
The relationship between amphibian diversity and environmental variables was evaluated using the distance-based linear models (DistLM) and distance-based redundancy analysis (dbRDA) [52]. Before performing these analyses, multicollinearity was reduced using Pearson correlations to eliminate predictable variables with r ≥ 0.9. Therefore, nine of ten environmental variables were included in the analyses (Supplementary Material, Table S1).
Both DistLM and dbRDA were carried out at land cover level with a Bray-Curtis similarity matrix built with fourth-root transformed amphibian abundances. In DistLM, a forward selection procedure and the adjusted coefficient of determination (R2adj) were considered the selection criteria for predictive variables. The statistical significance of the marginal and sequential tests was evaluated with 10,000 permutations. The dbRDA ordination was constrained by the global model’s best-fit explanatory significant environmental variables. The amphibian composition and abundance changes were also visualized with a PCO ordination based on the previously mentioned resemblance coefficient and the same data pre-treatment. All species were shown as vectors generated by multiple correlations. The cluster analysis, SIMPROF, PCO, shade diagram, DistLM, and dbRDA were performed in Primer 7 from PRIMER-e [53].
3. Results
3.1. Taxonomic Diversity
This study registered two hundred and sixty-six adult individuals belonging to sixteen amphibian species, twelve genera, and nine families. The most diverse family was Hylidae, with four species, followed by Craugastoridae with three species, and Bufonidae and Ranidae with two species. The other families had one species. About 56% of the total species richness corresponded to Mexican endemic species. In addition, according to Mexican law, four species belonged to some protection category: three had the Special Protection status and one was classified as Threatened (Supplementary Material, Table S3).
The estimated sample completeness for all land cover/use types was between 80% and 100%, except for HPTDF and RH-TDF (75% and 56%, respectively). The sample coverage of the abundant and very abundant species detected in the cover/land use types was from 84% to 100% and 75% to 100%, respectively (Supplementary Material, Table S4). The undetected species richness within the land cover/use types varied from zero to eight; for OF and RH-C, one species was undetected; for HPTDF, two; and for RH-TDF, eight. For the abundant species (q = 1), one species was undetected in CO, TDF, RH-TF, and OF, and two in HPTDF and RH-TDF. The very abundant species (q = 2) that were not detected corresponded to one species in OF, RH-TDF, and TDF; two in HPTDF; and four in RH-TF (Supplementary Material, Table S4).
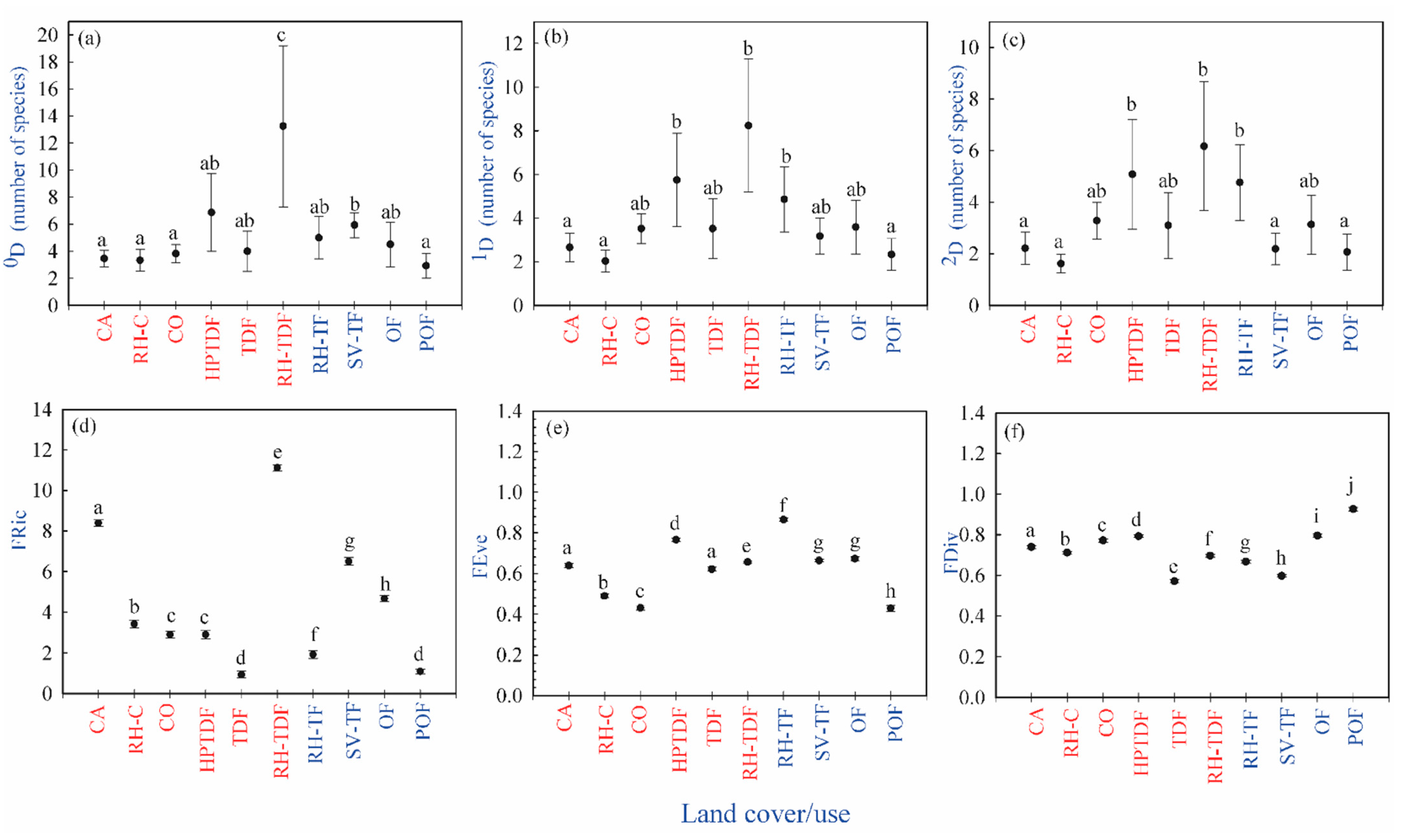
Non-asymptotic analysis for the diversity of order q = 0 (0D) showed that CA, RH-C, CO, and POF had the lowest amphibian species richness (2.76–3.82 species), SV-TF was intermediate (5.93 species), and RH-TDF was the highest (13.18 species). The other land cover/use types, HPTDF, TDF, RH-TF, and OF, had a low-medium number of amphibious (4–6.79 species) (Figure 2a). In the diversity of order q = 1 (1D) analysis, CA, RH-C, and POF showed a lower number of abundant species (2.05–2.65 species) than HPTDF, RH-TDF, and RH-TF (4.67–8.31 species). The sites CO, TDF, SV-TF, and OF had an intermediate number of abundant species (3.18–3.59 species) (Figure 2b). Regarding the diversity of order q = 2 (2D), CA, RH-C, SV-TF, and POF showed a lower number of very abundant species (1.63–2.21 species) than the other land covers, and HPTDF, RH-TDF, and RH-TF showed the highest number of very abundant species (3.10–5.04 species). The CO, TDF, and OF sites had an intermediate number of very abundant species (3.10–3.28 species) (Figure 2c).
Figure 2.
Taxonomic and functional diversity for the amphibian’s assemblage per site in a heterogeneous landscape in west-central Mexico. (a–c) Non-asymptotic coverage-based rarefaction and extrapolation values of taxonomic diversity (0D, 1D and 2D), maximum standardized coverage Cmax = 93%. (d–f), and functional diversity metrics (functional richness [FRic] (d), functional evenness [FEve] (e), functional divergence [FDiv] (f)). Codes: sugar cane field (CA), riparian habitat surrounded by crops (RH-C), cornfield (CO), highly perturbated tropical dry forest (HPTDF), tropical dry forest (TDF), riparian habitat surrounded by tropical dry forest (RH-TDF), riparian habitat surrounded temperate forest (RH-TF), secondary vegetation surrounded by temperate forest (SV-TF), oak forest (OF) and pine-oak forest (POF). Tropical habitats are represented in red and temperate habitats are shown in blue. Different lowercase letters indicate significant differences (p ≤ 0.05) among cover/use types.
The evenness profile was computed for a coverage value of 93% for all land cover/use types. Pielou’s evenness showed low values for CO and RH-TF (0.59 and 0.65, respectively), intermediate values for CA, RH-TDF, POF, and OF (values from 0.79 to 0.85), and high values for all the other land cover/use types (> 0.90). The evenness in abundant species (1D) showed the lowest values in SV-TF, RH-TDF, CO, and CA (0.37–0.68) and the highest values in RH-TF, POF, OF, TDF, HPTDF, and RH-C (0.71–1). Moreover, the evenness of very abundant species (2D) showed the highest values in RH-TF, TDF, HPTDF, and CO (0.24–0.49), and the lowest values in POF, OF, SV-TF, RH-TDF, RH-C, and CA (0.56–0.94) (Supplementary Material A, Table S4).
3.2. Functional Diversity
In general, the functional richness (FRic) was different in all sites (values from 0.93 to 11.11) except HPTDF and CO, which had the same value (2.9, respectively). The land covers/use types with the highest FRic were RH-TDF and CA (11.11 and 8.39, respectively), followed by SV-TF (6.50) and OF (4.66) with intermediate values. In contrast, RH-C, CO, HPTDF, TDF, RH-TF, and POF showed the lowest FRic values (from 1.09 to 3.43) (Figure 2d).
In the functional evenness (FEve), the land cover/use types with the highest values were RH-TF and HPTDF (0.86 and 0.77, respectively), followed by CA, TDF, RH-TDF, SV-T, and OF (0.62–0.67). In contrast, RH-C, CO, and POF (0.43–0.48) had the lowest FEve values (Figure 2e). Conversely, POF showed the highest functional divergence (FDiv), followed by CA, RH-C, CO, HPTDF, RH-TDF, RH-TF, and OF (0.93–0.66). The lowest FDiv was in TDF and SV-TF (0.57 and 0.60, respectively) (Figure 2f).
The PCO ordination, coupled with the cluster analysis and SIMPROF outputs, explained 82.9% of the total variation on the first two axes, showing four different functional groups among amphibian species (Figure 3a).
Figure 3.
PCO and dbRDA ordinations. (a) PCO ordination shows functional traits per amphibian species and functional groups; (b) The relationship between amphibian species composition and land cover/use types; (c) dbRDA ordination shows the relationship between environmental predictors that best explained the amphibian community variation across land cover/use types. Codes: sugar cane field (CA), riparian habitat surrounded by crops (RH-C), cornfield (CO), highly perturbated tropical dry forest (HPTDF), tropical dry forest (TDF), riparian habitat surrounded by tropical dry forest (RH-TDF), riparian habitat surrounded temperate forest (RH-TF), secondary vegetation surrounded by temperate forest (SV-TF), oak forest (OF) and pine-oak forest (POF). Craugastor hobartsmithi (Crho), Craugastor occidentalis (Croc), Craugastor augusti (Crau), Eleutherodactylus sp. (Elsp), Incilius occidentalis (Inoc), Rhinella horribilis (Riho), Exerodonta smaragdina (Exsm), Dryophytes arenicolor (Drar), Dryophytes eximius (Drex), Sarcohyla hapsa (Saha), Leptodactylus melanonotus (Leme), Hypopachus variolosus (Hyva), Agalychnis dacnicolor (Agda), Rana aff. forrieri (Rafo), Rana neovolcanica (Rane), Spea multiplicata (Spmu). Tropical habitats are represented in red and temperate habitats are shown in blue.
The group ‘‘a’’ was associated with Rhinella horribilis and Incilius occidentalis. This group was featured by toxicity, large size, more terrestrial habitat (microhabitat: leaf litter, under rocks, edge of water bodies), and pustulated skin; the group ‘‘b’’ was formed by the frogs Exerodonta smaragdina, Agalychnis dacnicolor, and Sarcohyla hapsa, characterized by variable dorsal patterns as numerous spots with variable shape and size, or dorsal color green reticulated with a reticulated lateral dark stripe, or dorsal green homogeneous with isolated white dots. In contrast, the group ‘‘c’’ integrated by Craugastor augusti, C. hobartsmithi, C. occidentalis, Eleutherodactylus sp., and Leptodactylus melanonotus was featured with the reproductive mode (eggs laid on the ground, and larvae develop within the egg or eggs laid on foam nest). Finally, the group ‘‘d’’ corresponded to Spea multiplicata, Dryophytes arenicolor, Dryophytes eximius, Hypopachus variolosus, Rana neovolcanica, and R. aff. forreri. This group was associated with a diet of small and medium-size invertebrates, termites, ants, and diurnal-nocturnal activity (Figure 3a).
These four functional groups were not present in every land cover/use type. SV-TF was the only land cover with four functional groups, and all the other sites had three functional groups, except for CO, TDF, and POF, which had two. The groups “c” (five species) and “d” (six species) had the highest number of species, which implies greater functional redundancy, compared to groups “a” and “b” represented by two and three species, respectively. The functional group “c” was present in all land cover/use types, while groups “d” and “a” were present in eight and seven types, respectively, and group “b” was only present in three (Figure 4). Additionally, there were differences in the dominant functional groups for each land cover/use type. In CO, HPTDF, TDF, and POF, the most abundant functional group (total number of individuals) was “c”, and in CA, the most abundant functional group was “d”. The most abundant functional groups were the groups “c” and “d” for the other land cover/use types.
Figure 4.
Shade diagram of amphibian species composition vs. land cover/use types. Shading intensity within the matrix indicates the species’ relative abundance. The dendrogram shows clusters found by the SIMPROF. Another cluster analysis and a SIMPROF procedure determined the amphibian functional groups: (a) Group ‘‘a’’ was featured by toxicity, big size, and terrestrial habitat; (b) Group ‘‘b’’ by a dorsal pattern; (c) Group ‘‘c’’ by the reproductive mode; and (d) Group ‘‘d’’ by the diet and period of activity. Codes: sugar cane field (CA), riparian habitat surrounded by crops (RH-C), cornfield (CO), highly perturbated tropical dry forest (HPTDF), tropical dry forest (TDF), riparian habitat surrounded by tropical dry forest (RH-TDF), riparian habitat surrounded temperate forest (RH-TF), secondary vegetation surrounded by temperate forest (SV-TF), oak forest (OF) and pine-oak forest (POF), Craugastor hobartsmithi (Crho), Craugastor occidentalis (Croc), Craugastor augusti (Crau), Eleutherodactylus sp. (Elsp), Incilius occidentalis (Inoc), Rhinella horribilis (Riho), Exerodonta smaragdina (Exsm), Dryophytes arenicolor (Drar), Dryophytes eximius (Drex), Sarcohyla hapsa (Saha), Leptodactylus melanonotus (Leme), Hypopachus variolosus (Hyva), Agalychnis dacnicolor (Agda), Rana aff. forrieri (Lifo), Rana neovolcanica (Line), and Spea multiplicata (Spmu).
The shade plot showed that the frogs R. neovolcanica, L. melanonotus, and C. occidentalis were the most abundant species regardless of the land cover/use type. The dominant species in land cover/use types without immediate water availability or close to a low flow stream that was almost completely dry in the dry season were: (1) C. occidentalis in oak forest (OF), pine-oak forest (POF), riparian habitat surrounded temperate forest (RH-TF) and tropical dry forest (TDF); (2) Eleutherodactylus sp. in CO; (3) Rhinella horribilis in highly perturbed tropical dry forest (HPTDF). In contrast, the dominant species in land cover/use types close to high flow streams or an artificial water pond were: (1) R. neovolcanica in CA, riparian habitat surrounded by tropical forest (RH-TDF), and secondary vegetation surrounded by temperate forest (SV-TF); (2) L. melanonotus in riparian habitat surrounded by crops (RH-C) (Figure 4). Concerning the amphibian species’ rarity, six unique and one duplicate species were in land cover/use types with water nearby, except in HPTDF, where S. multiplicata (unique) was recorded. Additionally, we found four singleton and one doubleton species in land cover with water nearby.
3.3. Amphibian Diversity vs. Habitat Characteristics
The DistLM output showed the amphibian composition and abundance variation was mainly explained by the herbaceous cover, cow grazing, and water availability (R2adj = 0.723, P = 0.0375) among land cover/use types (Supplementary Material, Table S5).
The dbRDA ordination showed that herbaceous cover was the most important predictor of tropical land cover/use types (Figure 3c); L. melanonotus and Eleutherodactylus sp. were related with CA and RH-C, C. hobartsmithi, S. multiplicata, and R. horribilis with CO and HPTDF, and R. neovolcanica with RH-TDF (Figure 3b). Nevertheless, TDF was the only tropical land cover/use type correlated with cow grazing and a high contribution of C. occidentalis. Conversely, the temperate land cover/use types were characterized by lower values of herbaceous cover, although SV-TF and RH-TF had the highest correlation with water availability (Figure 3c). PCO ordination also showed that C. occidentalis, I. occidentalis, and C. augusti were associated with POF, OF, RH-TF, and TDF, and D. arenicolor, D. eximius, S. hapsa, and E. smaragdina were mainly associated with SV-TF and RH-TF (Figure 3b).
4. Discussion
In this study, we analyzed the amphibian species richness and abundance in ten land cover/use types in Mexico. Compared to other landscapes with two or more land cover/use types in west-central Mexico, we found lower values of amphibian species richness (16) and abundance (266 individuals). For example, Marroquín-Páramo et al. [54] studied TDF, TF, and avocado orchards in the state of Michoacán, registering ten species in TDF, two in TF, and two in avocado cultures, with a total of 13 species and 205 individuals. Álvarez-Grzybowska et al. [35] reported 12 species in TDF and 13 in POF in the state of Jalisco, with 16 species and 180 individuals. Species richness and abundance respond to human activities, such as land-use practices and changes that generate habitat fragmentation. Therefore, a decrease in abundance can be detected before any local species becomes extinct [54,55].
This study hypothesized that the native land covers, especially the RH-TDF, fostered higher taxonomic and functional amphibian diversity than land use types. This hypothesis was based on the fact that the land cover types had a more complex vegetation structure (e.g., strata number, plant richness, and abundance) and less human impact than the land use types. However, our results showed that only the RH-TDF, but not the other native land covers, benefited from these characteristics. The RH-TDF provided the amphibians with water availability and lower temperatures all year, particularly during the dry season. Regarding the native land covers, we expected that tropical land covers (HPTDF, TDF, RH-TDF, and RH-C) would have higher amphibian diversity than temperate ones (POF, OF, RH-TF, and SV-TF), given that tropical land covers had more complex vegetation structure. However, our results showed that most native land cover types exhibited similarly low species richness compared to both studied crops, except for RH-TDF (high richness) and SV-TF (intermediate species richness). Moreover, we initially considered that the land cover types with permanent water might harbor higher amphibian diversity, but our results showed this hypothesis was only partially true since the RH-TDF was the only permanent water cover displaying high richness. The high richness of the RH-TDF could be explained by water availability and lower temperatures under the vegetation cover with high complexity (several strata and plant richness). In the case of SV-TF, it seems that the presence of a big pond (15 m × 20 m) increased species richness despite the scarce vegetation cover around it and the substantially diminished water levels during the dry season.
The increase in species richness could be related to the location of the site and its biotic and abiotic characteristics. Since RH-C had water availability and a more complex vegetation structure, we expected it to have higher species richness than RH-TF. However, the RH-C is next to the CA and CO, which negatively impacts the vegetation structure by diminishing the plant richness and cover. The fact that the HPTDF had more species than the TDF was surprising, and was probably related to the harboring of herbaceous plants, which offer more cover.
Our study showed that the RH-TDF had higher values of species richness (0D), abundant (1D) and very abundant species (2D), and functional richness (FRic), but with an intermediate functional evenness (FEve) and low functional divergence (FDiv). This result suggests that dominant species of the RH-TDF differ in functional traits, have lower competition, and efficiently use resources through niche complementarity [56]. Luna-Gómez et al. [57] also reported this for TDF streams in Chamela, Jalisco; they reported species segregation at breeding sites, suggesting resource partition within the amphibian assemblage.
The lowest values of 0D and all functional diversity metrics were recorded in HPTDF, TDF, OF, POF, and CO. The fact that species richness and the functional indexes were low in these land cover/use types suggests less competition among species and the existence of unoccupied potentially available ecological niches, especially in the TDF and HPTDF. Alternatively, this observation could indicate limited resources and available ecological niches derived from environmental conditions such as water stress [56,58,59]. Our results contrast with the findings of Álvarez-Grzybowska et al. [35], who reported high species richness and low functional traits in the TDF. They suggested the existence of potentially available ecological niches and a high potential to invade exotic or translocated species, which could occupy vacant niches [29,56,60]. CA, RH-C, CO, and POF had low values of 0D; however, CA had a high functional richness (FRic), and the other three land cover/uses had low functional richness. This lower 0D and FRic also suggests less competition and a niche complementarity among species [56].
In this study, there was no matching between taxonomic and functional diversity in any land cover/use types, except between RH-TDF and SV-TF. Generally, taxonomic diversity was higher in land cover types with water availability and more complex vegetation structure, but functional diversity did not always follow this pattern (e.g., CA). Environmental heterogeneity promotes species richness and composition in amphibian habitats because it can provide food resources, space, and different microhabitat types [10,61]. It is well known that tropical habitats are more heterogeneous than temperate ones, which implies a higher richness of species and life forms as well as a complex stratification of the vegetation in different covers, such as herbaceous, shrub, and arboreal covers. Therefore, it is unsurprising that tropical land cover/use types were associated with a higher herbaceous cover.
Additionally, the amphibian species associate with the different land cover/use types depending on their physiological, morphological, and reproductive characteristics. For example, the frogs L. melanonotus and Eleutherodactylus sp. in the functional group “c” live in the CA and RH-C, and have a foam nest or direct development; in particular, the frogs benefit from the CA because of its closeness to water bodies. Conversely, although C. hobartsmithi (group “c”), S. multiplicata (group “d”), and R. horribilis (group “a”) belong to different functional groups, they all relate to the CO and HPTDF because they have a more keratinized skin that allows them to inhabit stressful habitats. In contrast, R. neovolcanica (group “d”) is found in habitats with high water availability, such as the RH-TDF. TDF was the only land cover correlated with cow grazing and the presence of C. occidentalis (group “c”). This land cover is a seasonal habitat that provides an ecological niche for this species during the wet season in the leaf litter and sometimes under the herbaceous stratus. C. occidentalis has more keratinized skin than other frogs (genus Rana), making it tolerant to perturbations; this is probably why it is present in this habitat.
In addition, SV-TF and RH-TF, which are the temperate land cover/use types, had the highest correlation with water availability, given the presence of permanent (SV-TF) or temporal (RH-TF) water bodies. Suitable aquatic habitats are essential for species that reproduce in the water or nearby [62]. Thereby, the species associated with SV-TF and RH-TF were D. arenicolor and D. eximius (both group “d”), and S. hapsa, and E. smaragdina (both in group “b”). Other species associated with temperate land cover types (POF, OF, and RH-TF) were C. occidentalis, C. augusti (both from group “c”), and I. occidentalis (group “d”).
Species extinction is likely to occur in modified landscapes with low native vegetation cover, diminished landscape connectivity, disturbed native vegetation, and intensive land use. The most affected species are those with critical functional roles or within key functional groups [63]. Habitat modification changes environmental conditions and vegetation composition and structure, leading to the modification of habitat features essential for amphibians, such as floor temperature and humidity [64,65]. Therefore, habitat modification ultimately diminishes microhabitat availability. Disturbed habitats or secondary forests have a better conservation value than agricultural land but not as important as old-growth forests [66]. Besides, monocultures can negatively impact the herpetofauna depending on the agricultural management practice and the crop [67,68]. For example, corn culture and coffee plantations use herbicides, fertilizers, fungicides, and fire, affecting the vegetation structure and the crop’s growth (annual vs. perennial). In contrast, some crops, such as avocado orchards, have similar herpetofauna species richness compared to the surrounding temperate forest (pine-oak) and tropical deciduous forest (TDF) [54]. The site species composition is influenced by the surrounding or nearby vegetation [6,54,69]. In fragmented tropical landscapes, Suazo-Ortuño et al. [69] reported that the surrounding matrix’s composition and quality could lead to the maintenance of herpetofauna.
West-central Mexico is a complex matrix of different land cover/use types. The TDF is important for amphibians because these forests shelter ~30% of the Mexican amphibian species and ~25% of the species endemic to Mexico [6,70]. In comparison, temperate forests such as OF and POF are the habitat of a smaller number of species and endemism, but the species’ identity and function are different [35]. Moreover, the gallery forest and the riparian habitat are essential for species reproduction [71], connectivity among patches, and for facilitating gene flow among amphibians’ populations [72]. Because many amphibian species depend on water bodies for their life cycles, their preservation is critical for other species’ viability [73]. Cornfield and sugar cane plots, which are typical in Mexico, are stressful habitats for amphibians because, when they are established, the land is devoid of plant cover and has high temperatures and solar radiation. Habitat loss and degradation, pollution, disease, invasive species, and climate change are the main threats to amphibian species. Although habitat loss is the most critical threat, the combined effect of several threats is devastating for amphibian populations [74].
This study shows different patterns between the amphibian taxonomic and functional diversity in most land cover/use types. Several factors at different spatial scales influence these facets. At the local level, these factors include vegetation structure, water availability, temperature, and human use [33,35,54,75]; at the landscape level, they correspond to native vegetation patches and spatial connectivity [21,22,76]; and at a broad spatial scale, climate (temperature, precipitation, temperature seasonality, and precipitation seasonality) [17,18] and land cover diversity [17] have a significant effect on functional diversity and species richness. Moreover, human population density and urban area cover might have an irreversible negative impact on amphibian functional diversity and species richness [18]. Our study was performed at a landscape scale; here, amphibian species richness and abundance in the corn and sugar cane land-use types were maintained by individuals of different species from surrounding land cover types with had streams and ponds to provide critical resources in the face of harsh environments. In landscapes intervened by agricultural and livestock activities, amphibian conservation should rely on the maintenance of native vegetation patches and connectivity among land cover/use types compatible with the recovery of native plant species [77,78]. Maintaining secondary forests and water bodies in proper conditions is essential for amphibian conservation in agricultural landscapes [54]. Given the heterogeneous land cover of most landscapes, understanding taxonomic and functional community changes in response to land cover changes provides knowledge to implement management practices to conserve biodiversity.
Supplementary Materials
The following supporting information can be downloaded at: https://www.mdpi.com/article/10.3390/d14090738/s1. Table S1: Structural habitat variables measured on the amphibian’s land cover/use plots; Table S2: Functional traits used in this study and their ecological meaning; Table S3: Amphibian species recorded in the study area by land cover/use and protection category; Table S4: Abundance-based diversity of orders q = 0, 1, and 2 for the amphibian assemblage per site in a heterogeneous land cover/use landscape in west-central Mexico; Table S5: Results of the DistLM marginal and sequential tests to get the best predictable model between amphibian species composition and environmental variables across land cover/use types. References [34,35,79] are cited in the supplementary materials.
Author Contributions
Conceptualization and methodology, V.C.R.-E., F.A.R.-Z., K.E.P.-J. and A.L.S.-P., formal analysis and investigation, V.C.R.-E., F.A.R.-Z., K.E.P.-J., E.Á.-G., and A.A.G.-G., resources V.C.R.-E. and A.L.S.-P., writing original draft preparation V.C.R.-E., F.A.R.-Z. and K.E.P.-J., writing-review and editing V.C.R.-E., F.A.R.-Z., K.E.P.-J., A.L.S.-P., E.Á.-G. and A.A.G.-G., project administration and funding acquisition V.C.R.-E., F.A.R.-Z., and A.L.S.-P. All authors have read and agreed to the published version of the manuscript.
Funding
This research received no external funding.
Institutional Review Board Statement
Not applicable.
Data Availability Statement
Not applicable.
Acknowledgments
We thank the H. Ayuntamiento de Ahualulco del Mercado, Ejido de Santa Cruz de Bárcenas, Ricarda Orozco-Wences and Edgar Lucke-Gracián for donations in kind and logistical support as well as the H. Ayuntamiento de Teuchitlán for logistic support. We especially wish to thank David Andrade, Eva Lomelí, Sinue Mariscal, Pamela Camacho, and Andrés Hernandez for their expert advice for carrying out field sampling in Sierra del Águila as well as Leobardo Padilla, Erika Blanco, Mónica Ureña in Guachimontones. We also deeply appreciate all the help in the field provided by Jachar Arreola, Alvaro Urzúa, Hector Franz, Ramon Vázquez and Jesus Navarro.
Conflicts of Interest
The authors declare no conflict of interest.
References
- Keenan, R.J.; Reams, G.A.; Achard, F.; de Freitas, J.V.; Grainger, A.; Lindquistf, E. Dynamics of global forest area: Results from the FAO Global Forest Resources Assessment. For. Ecol. Manag. 2015, 352, 9–20. [Google Scholar] [CrossRef]
- Rosete-Vergés, F.A.; Pérez-Damián, J.L.; Villalobos-Delgado, M.; Navarro-Salas, E.N.; Salinas-Chávez, E.; Remond-Noa, R. El avance de la deforestación en México 1976–2007. Madera y Bosques 2014, 20, 21–35. [Google Scholar] [CrossRef]
- Bonilla-Moheno, M.; Aide, T.M. Beyond deforestation: Land cover transitions in Mexico. Agric. Syst. 2020, 178, 102734. [Google Scholar] [CrossRef]
- INEGI. 2022. Available online: www.inegi.org.mx/temas/agricultura/#Informacion_general (accessed on 9 January 2022).
- Turner, W.R.; Brandon, K.; Brooks, T.M.; Costanza, R.; da Fonseca, G.A.B.; Portela, R. Global conservation of biodiversity and ecosystem services. BioScience 2007, 57, 868–873. [Google Scholar] [CrossRef]
- Suazo-Ortuño, I.; Alvarado-Díaz, J.; Martínez-Ramos, M. Effects of conversion of dry tropical forest to agricultural mosaic on herpetofaunal assemblage. Conserv. Biol. 2008, 22, 362–374. [Google Scholar] [CrossRef]
- Martínez, M.L.; Pérez-Maqueo, O.; Vázquez, G.; Castillo-Campos, G.; García, F.J.; Mehltreter, K.; Equihua, M.; Landgrave, R. Effects of land use change on biodiversity and ecosystem services in tropical montane cloud forests of Mexico. For. Ecol. Manag. 2009, 258, 1856–1863. [Google Scholar] [CrossRef]
- Vesely, D.G.; McComb, W.C. Salamander abundance and amphibian species richness in riparian buffer strips in the Oregon Coast Range. For. Sci. 2002, 48, 291–297. [Google Scholar] [CrossRef]
- Loehle, C.; Wigley, T.B.; Shipman, P.A.; Fox, S.F.; Rutzmoser, S.; Thill, R.E.; Melchiors, M.A. Herpetofaunal species richness responses to forest landscape structure in Arkansas. For. Ecol. Manag. 2005, 209, 193–308. [Google Scholar] [CrossRef]
- Luja, V.H.; López, J.A.; Cruz-Elizalde, R.; Ramírez-Bautista, A. Herpetofauna inside and outside from a natural protected area: The case of Reserva Estatal de la Biósfera Sierra San Juan, Nayarit, Mexico. Nat. Conserv. 2017, 21, 15–38. [Google Scholar] [CrossRef]
- Suazo-Ortuño, I.; Mendoza, E.; Meléndez-Herrera, E. Resiliencia de los vertebrados a la antropización del hábitat. Ecología y conservación de fauna en ambientes antropizados. In Ecología y Conservación de Fauna; Ramírez-Bautista, A., Pineda-Lopez, R., Eds.; Red Temática Biología, Manejo y Conservación de Fauna Nativa en Ambientes Antropizados, Consejo Nacional de Ciencia y Tecnología, Universidad Autónoma de Querétaro: México, Mexico, 2018; pp. 5–16. [Google Scholar]
- Moreno, C.E.; Barragán, F.; Pineda, E.; Pavón, N.P. Reanálisis de la diversidad alfa: Alternativas para interpretar y comparar información sobre comunidades ecológicas. Rev. Mex. Biodivers. 2011, 82, 1249–1261. [Google Scholar] [CrossRef] [Green Version]
- Hooper, D.U.; Chapin, F.S., III; Ewel, J.J.; Hector, A.; Inchausti, P.; Lavorel, S.; Lawton, J.H.; Lodge, D.M.; Loreau, M.; Naeem, S.; et al. Effects of biodiversity on ecosystem functioning: A consensus of current knowledge. Ecol. Monogr. 2005, 75, 3–36. [Google Scholar] [CrossRef]
- Mason, N.W.H.; de Bello, F. Functional diversity: A tool for answering challenging ecological questions. J. Veg. Sci. 2013, 24, 777–780. [Google Scholar] [CrossRef]
- Tilman, D.; Isbell, F.; Cowles, J.M. Biodiversity and ecosystem functioning. Annu. Rev. Ecol. Evol. Syst. 2014, 45, 471–493. [Google Scholar] [CrossRef]
- Orlandi, L.M.; Vinicius, M.; Menezes, D.S. Functional diversity: An overview of its history and applicability. Nat. Conserv. 2015, 13, 112–116. [Google Scholar] [CrossRef]
- Tsianou, M.A.; Kallimanis, A. Geographical patterns and environmental drivers of functional diversity and trait space of amphibians of Europe. Ecol. Res. 2019, 1–16. [Google Scholar] [CrossRef]
- Tsianou, M.A.; Lazarina, M.; Andrikou-Charitidou, A.; Michailidou, D.; Kallimanis, A.S. The Effect of Climate and Human Pressures on Functional Diversity and Species Richness Patterns of Amphibians, Reptiles and Mammals in Europe. Diversity 2021, 13, 275. [Google Scholar] [CrossRef]
- Pough, F.H. Amphibians biology and husbandry. ILAR J. 2007, 48, 203–213. [Google Scholar] [CrossRef]
- Lips, K.R.; Reeve, J.D.; Witters, L.R. Ecological traits predicting amphibian population declines in Central America. Conserv. Biol. 2003, 17, 1078–1088. [Google Scholar] [CrossRef]
- Atauri, J.A.; de Lucio, J.V. The role of landscape structure in species richness distribution of birds, amphibians, reptiles, and lepidopterans in Mediterranean landscapes. Landsc. Ecol. 2001, 16, 147–159. [Google Scholar] [CrossRef]
- Brodman, R.; Parrish, M.; Kraus, H.; Cortwright, S. Amphibian biodiversity recovery in a large-scale ecosystem restoration. Herpetol. Conserv. Biol. 2006, 1, 101–108. [Google Scholar]
- Cortés-Gómez, A.M.; Ruiz-Agudelo, C.A.; Valencia-Aguilar, A.; Ladle, R.J. Ecological functions of neotropical amphibians and reptiles: A review. Univ. Sci. 2015, 2, 229–245. [Google Scholar] [CrossRef] [Green Version]
- Wells, K.D. The Ecology and Behavior of Amphibians; The University of Chicago Press: Chicago, IL, USA, 2007. [Google Scholar]
- Romero, G.Q.; Nomura, F.; Goncalves, A.Z.; Dias, N.Y.N.; Mercier, H.; Conforto, E.D.C.; Rossa-Feres, D.C. Nitrogen fluxes from treefrogs to tank epiphytic bromeliads: An isotopic and physiological approach. Oecologia 2010, 162, 941–949. [Google Scholar] [CrossRef]
- Ranvestel, A.W.; Lips, K.R.; Pringle, C.M.; Whiles, M.R.; Bixby, R.J. Neotropical tadpoles influence stream benthos: Evidence for the ecological consequences of decline in amphibian populations. Freshw. Biol. 2004, 49, 274–285. [Google Scholar] [CrossRef]
- Whiles, M.R.; Lips, K.R.; Pringle, C.M.; Kilham, S.S.; Bixby, R.J.; Brenes, R.; Connelly, S.; Colon-Gaud, J.C.; Hunte-Brown, M.; Huryn, A.D.; et al. The effects of amphibian population decline on the structure and function of Neotropical stream ecosystems. Front. Ecol. Environ. 2006, 4, 27–34. [Google Scholar] [CrossRef]
- Campos, F.S.; Lourenço-de-Moraes, R.; Llorente, G.A.; Solé, M. Cost-effective conservation of amphibian ecology and evolution. Sci. Adv. 2017, 3, e1602929. [Google Scholar] [CrossRef]
- Morelli, F.; Benedetti, Y.; Perna, P.; Santolini, R. Associations among taxonomic diversity, functional diversity, and evolutionary distinctiveness vary among environments. Ecol. Indic. 2018, 88, 8–16. [Google Scholar] [CrossRef]
- McKinney, M.L.; Lockwood, J.L. Biotic homogenization: A few winners replacing many losers in the next mass extinction. Trends Ecol. Evol. 1999, 14, 450–453. [Google Scholar] [CrossRef]
- Ernst, R.; Linsenmair, K.E.; Rodel, M.O. Diversity erosion beyond the species level: Dramatic loss of functional diversity after selective logging in two tropical amphibian communities. Biol. Conserv. 2006, 133, 143–155. [Google Scholar] [CrossRef]
- AmphibiaWeb. Available online: https://amphibiaweb.org (accessed on 10 August 2022).
- Berriozabal-Islas, C.; Badillo-Saldaña, L.M.; Ramírez-Bautista, A.; Moreno, C.E. Effects of habitat disturbance on lizard functional diversity in a tropical dry forest of the Pacific Coast of Mexico. Trop. Conserv. Sci. 2017, 10, 1940082917704972. [Google Scholar] [CrossRef]
- Díaz-García, J.M.; Pineda, E.; López-Barrera, F.; Moreno, C.E. Amphibian species and functional diversity as indicators of restoration success in tropical montane forest. Biodivers. Conserv. 2017, 26, 2569–2589. [Google Scholar] [CrossRef]
- Álvarez-Grzybowska, E.; Urbina-Cardona, N.; Córdova-Tapia, F.; García, A. Amphibian communities in two contrasting ecosystems: Functional diversity and environmental filters. Biodivers. Conserv. 2020, 29, 2457–2485. [Google Scholar] [CrossRef]
- INEGI. Instituto Nacional de Estadística y Geografía. Conjunto de Datos Vectoriales Climatología, Escala 1:250,000, Serie VI. 2019. Available online: www.inegi.org.mx/temas/climatologia/ (accessed on 9 January 2022).
- Castillo-Girón, V.M.; Aceves-Ávila, C.D. Gestión Para la Sustentabilidad del Área Natural Piedras Bola, Ahualulco de Mercado, Jalisco; Universidad de Guadalajara: Jalisco, Mexico, 2007. [Google Scholar]
- INEGI. Instituto Nacional de Estadística y Geografía. Conjunto de Datos Vectoriales de Uso Del Suelo y Vegetación, Escala 1:250,000, Serie VI. 2016. Available online: www.inegi.org.mx/temas/usosuelo/default.html#Descargas/ (accessed on 9 January 2022).
- Rzedowski, J. Vegetación de México; Comisión Nacional para el Conocimiento y Uso de la Biodiversidad: México City, Mexico, 2006; p. 504. Available online: https://www.biodiversidad.gob.mx/publicaciones/librosDig/pdf/VegetacionMxPort.pdf (accessed on 7 September 2022).
- García-Martínez, M.A.; Rodríguez, A. Vegetación y flora fanerogámica del área natural protegida Piedras Bola, Jalisco, México. Polibotánica 2018, 46, 71–90. [Google Scholar]
- Schneider-Maunoury, L.; Lefebvre, V.; Ewers, R.M.; Medina-Rangel, G.F.; Peres, C.A.; Somarriba, E.; Urbina-Cardona, N.; Pfeifer, M. Abundance signals of amphibians and reptiles indicate strong edge effects in Neotropical fragmented forest landscapes. Biol. Conserv. 2016, 200, 207–215. [Google Scholar] [CrossRef]
- Lips, K.R.; Reaser, J.K.; Young, B.E.; Ibáñez, R. Amphibian Monitoring in Latin America: A Protocol Manual; Society for the Study of Amphibians and Reptiles, Herpetological Circular No. 30: Shoreview, MN, USA, 2001; p. 115. [Google Scholar]
- Rendón, S.F.J.; Cedano, M.M. Guía de excursión botánica: Los Guachimontones y humedales de Teuchitlán. In Guía de las Excursiones Botánicas en Jalisco. XVIII Congreso Mexicano; Ramírez, D.R., Reynoso, D.J.J., Rodríguez, C.A., Eds.; Universidad de Guadalajara: Guadalajara, Mexico, 2010; pp. 88–106. [Google Scholar]
- Jost, L. Entropy and diversity. Oikos 2006, 113, 363–375. [Google Scholar] [CrossRef]
- Chao, A.; Kubota, Y.; Zeleny, D.; Chiu, C.; Li, C.; Kusumoto, B.; Yasuhara, M.; Thorn, S.; Wei, C.; Costello, M.J.; et al. Quantifying sample completeness and comparing diversities among assemblages. Ecol. Res. 2020, 35, 292–314. [Google Scholar] [CrossRef]
- Chao, A.; Ma, K.H.; Hsieh, T.C. iNEXT (iNterpolation and EXTrapolation) Online: Software for Interpolation and Extrapolation of Species Diversity. Available online: http://chao.stat.nthu.edu.tw/wordpress/wp-content/uploads/software/iNEXTOnline_UserGuide.pdf (accessed on 9 January 2022).
- Laliberte, E.; Legendre, P. A distance-based framework for measuring functional diversity from multiple traits. Ecology 2010, 9, 299–305. [Google Scholar] [CrossRef]
- Laliberte, E.; Legendre, P.; Shipley, B. FD Measuring Functional Diversity from Multiple Traits, and Other Tools for Functional Ecology. R Package Version 1.0–12. 2014. Available online: https://cran.r-project.org/web/packages/FD/FD.pdf (accessed on 9 January 2022).
- RStudio Team. RStudio: Integrated Development for R. Computer Software v0.98.1074. Available online: www.rstudio.com/ (accessed on 9 January 2022).
- Kembel, S.W.; Cowan, P.D.; Helmus, M.R.; Cornwell, W.K.; Morlon, H.; Ackerly, D.D.; Blomberg, S.P.; Webb, C.O. Picante: R tools for integrating phylogenies and ecology. Bioinformatics 2010, 26, 1463–1464. [Google Scholar] [CrossRef]
- Gotelli, N.J.; Entsminger, G.L. Swap algorithms in null model analysis. Ecology 2003, 84, 532–535. [Google Scholar] [CrossRef]
- Anderson, M.J.; Gorley, R.N.; Clarke, K.R. PERMANOVA+ for PRIMER: Guide to Software and Statistical Methods; PRIMER-E: Plymouth, UK, 2008. [Google Scholar]
- Clarke, K.R.; Gorley, R.N.; Somerfield, P.J.; Warwick, R.M. Change in Marine Communities: An Approach to Statistical Analysis and Interpretation, 3rd ed.; PRIMER-E Ltd.: Plymouth, UK, 2014. [Google Scholar]
- Marroquín-Páramo, J.A.; Suazo-Ortuño, I.; Mendoza, E.; Alvarado-Díaz, J.; Siliceo-Cantero, H.H. Herpetofaunal diversity in avocado orchards and in conserved habitats in Michoacán, Mexico. Rev. Mex. Biodivers. 2017, 88, 234–240. [Google Scholar] [CrossRef]
- Bellard, C.; Bertelsmeier, C.; Leadley, P.; Thuiller, W.; Courchamp, F. Impacts of climate change on the future of biodiversity. Ecol. Lett. 2012, 15, 365–377. [Google Scholar] [CrossRef]
- Mason, N.W.H.; Mouillot, D.; Lee, W.G.; Wilson, J.B. Functional richness, functional evenness and functional divergence: The primary components of functional diversity. Oikos 2005, 111, 112–118. [Google Scholar] [CrossRef]
- Luna-Gómez, M.I.; García, A.; Santos-Barrera, G. Spatial and temporal distribution and microhabitat use of aquatic breeding amphibians (Anura) in a seasonally dry tropical forest in Chamela, Mexico. Rev. Biol. Trop. 2017, 65, 1082–1094. [Google Scholar] [CrossRef] [Green Version]
- Villéger, S.; Ramos, M.J.; Flores, H.D.; Mouillot, D. Contrasting changes in taxonomic vs. functional diversity of tropical fish communities after habitat degradation. Ecol. Appl. 2010, 20, 1512–1522. [Google Scholar] [CrossRef]
- Córdova-Tapia, F.; Zambrano, L. La diversidad funcional en la ecología de comunidades. Ecosistemas 2015, 24, 78–87. [Google Scholar] [CrossRef]
- Mouchet, M.A.; Villéger, S.; Mason, N.W.H.; Mouillot, D. Functional diversity measures: An overview of their redundancy and their ability to discriminate community assembly rules. Funct. Ecol. 2010, 24, 867–876. [Google Scholar] [CrossRef]
- Sun, Z.; Zhao, C.; Zhu, W.; Zhu, W.; Feng, J.; Su, S.; Zhao, T. Microhabitat features determine the tadpole diversity in mountainous streams. Ecol. Indic. 2021, 126, 107647. [Google Scholar] [CrossRef]
- Villacampa, J.; Whitworth, A.; Allen, L.; Malo, J.E. Altitudinal differences in Alpha, beta and functional diversity of an amphibian community in a biodiversity hotspot. Neotrop. Biodivers. 2019, 5, 60–68. [Google Scholar] [CrossRef]
- Fisher, J.; Lindenmayer, D.B. Landscape modification and habitat fragmentation: A synthesis. Glob. Ecol. Biogeogr. 2007, 16, 265–280. [Google Scholar] [CrossRef]
- Cortés-Gómez, A.M.; Castro-Herrera, F.; Urbina-Cardona, J.N. Small changes in vegetation structure create great changes in amphibian ensembles in the Colombian Pacific rainforest. Trop. Conserv. Sci. 2013, 6, 749–769. [Google Scholar] [CrossRef]
- Tuff, K.T.; Tuff, T.; Davies, K.F. A framework for integrating thermal biology into fragmentation research. Ecol. Lett. 2016, 19, 361–374. [Google Scholar] [CrossRef]
- Thompson, M.E.; Donnelly, M.A. Effects of Secondary Forest Succession on Amphibians and Reptiles: A Review and Meta-analysis. Copeia 2018, 106, 10–19. [Google Scholar] [CrossRef]
- Kanowski, J.J.; Reis, T.M.; Catterall, C.P.; Piper, S.D. Factors affecting the use of reforested sites by reptiles in cleared rainforest landscapes in tropical and subtropical Australia. Restor. Ecol. 2006, 14, 67–76. [Google Scholar] [CrossRef] [Green Version]
- Brain, R.A.; Solomon, K.R. Comparison of the hazards posed to amphibians by glyphosate spray control program versus the chemical and physical activities of coca production in Colombia. J. Toxicol. Environ. Health 2009, 72, 937–948. [Google Scholar] [CrossRef]
- Suazo-Ortuño, I.; Alvarado-Díaz, J.; Mendoza, E.; López-Toledo, L.; Lara-Uribe, N.; Márquez-Camargo, C.; Paz-Gutiérrez, J.G.; Rangel-Orozco, J.D. High resilience of herpetofaunal communities in a human-modified tropical dry forest landscape in western Mexico. Trop. Conserv. Sci. 2015, 8, 396–423. [Google Scholar] [CrossRef]
- Ochoa-Ochoa, L.M.; Flores-Villela, O.A. Áreas de Diversidad y Endemismo de la Herpetofauna Mexicana; Universidad Nacional Autónoma de México-CONABIO: México City, Mexico, 2006. [Google Scholar]
- Haddad, C.F.B.; Prado, C.P.A. Reproductive modes in frogs and their unexpected diversity in the Atlantic Forest of Brazil. BioScience 2005, 55, 207–217. [Google Scholar] [CrossRef]
- Richards-Zawacki, C.L. Effects of slope and riparian habitat connectivity on gene flow in an endangered Panamanian frog, Atelopus varius. Divers. Distrib. 2009, 15, 796–806. [Google Scholar] [CrossRef]
- Ficelota, G.F.; Padoa-Schioppa, E.; Bernardi, F. Influence of landscape elements in riparian buffers on the conservation of semiaquatic amphibians. Conserv. Biol. 2009, 23, 114–123. [Google Scholar] [CrossRef]
- IUCN. IUCN SSC Amphibian Specialist Group. 2021. Available online: www.iucn-amphibians.org/ (accessed on 13 December 2021).
- Suazo-Ortuño, I.; Alvarado-Díaz, J.; Martínez-Ramos, M. Riparian areas and conservation of herpetofauna in a tropical dry forest in western Mexico. Biotropica 2011, 43, 237–245. [Google Scholar] [CrossRef]
- Roach, N.S.; Urbina-Cardona, N.; Lacher, T., Jr. Land cover drives amphibian diversity across steep elevational gradients in an isolated neotropical mountain range: Implications for community conservation. Glob. Ecol. Conserv. 2020, 22, e00968. [Google Scholar] [CrossRef]
- Gardner, T.; Barlow, J.; Peres, C.A. Paradox, presumption, and pitfalls in conservation biology: The importance of habitat change for amphibians and reptiles. Biol. Conserv. 2007, 138, 166–179. [Google Scholar] [CrossRef]
- Melo, F.P.L.; Arroyo-Rodríguez, V.; Fahrig, L.; Martínez-Ramos, M.; Tabarelli, M. On the hope for biodiversity-friendly tropical landscapes. Trends Ecol. Evol. 2013, 28, 462–468. [Google Scholar] [CrossRef]
- Cortés-Gómez, A.M.; Ramírez, P.M.P.; Urbina, C.N. Protocolo para la medición de rasgos funcionales en anfibios. In La Ecología Funcional Como Aproximación al Estudio, Manejo y Conservación de la Biodiversidad: Protocolos y Aplicaciones; Salgado-Negret, B., Ed.; Instituto de Investigación de Recursos Biológicos Alexander von Humboldt: Bogotá, DC, Colombia, 2015; pp. 127–179. [Google Scholar]
Publisher’s Note: MDPI stays neutral with regard to jurisdictional claims in published maps and institutional affiliations. |
© 2022 by the authors. Licensee MDPI, Basel, Switzerland. This article is an open access article distributed under the terms and conditions of the Creative Commons Attribution (CC BY) license (https://creativecommons.org/licenses/by/4.0/).



