Is the Northern Goshawk an Efficient Bioindicator of Avian Abundance and Species Richness in Urban Environments?
Abstract
1. Introduction
2. Materials and Methods
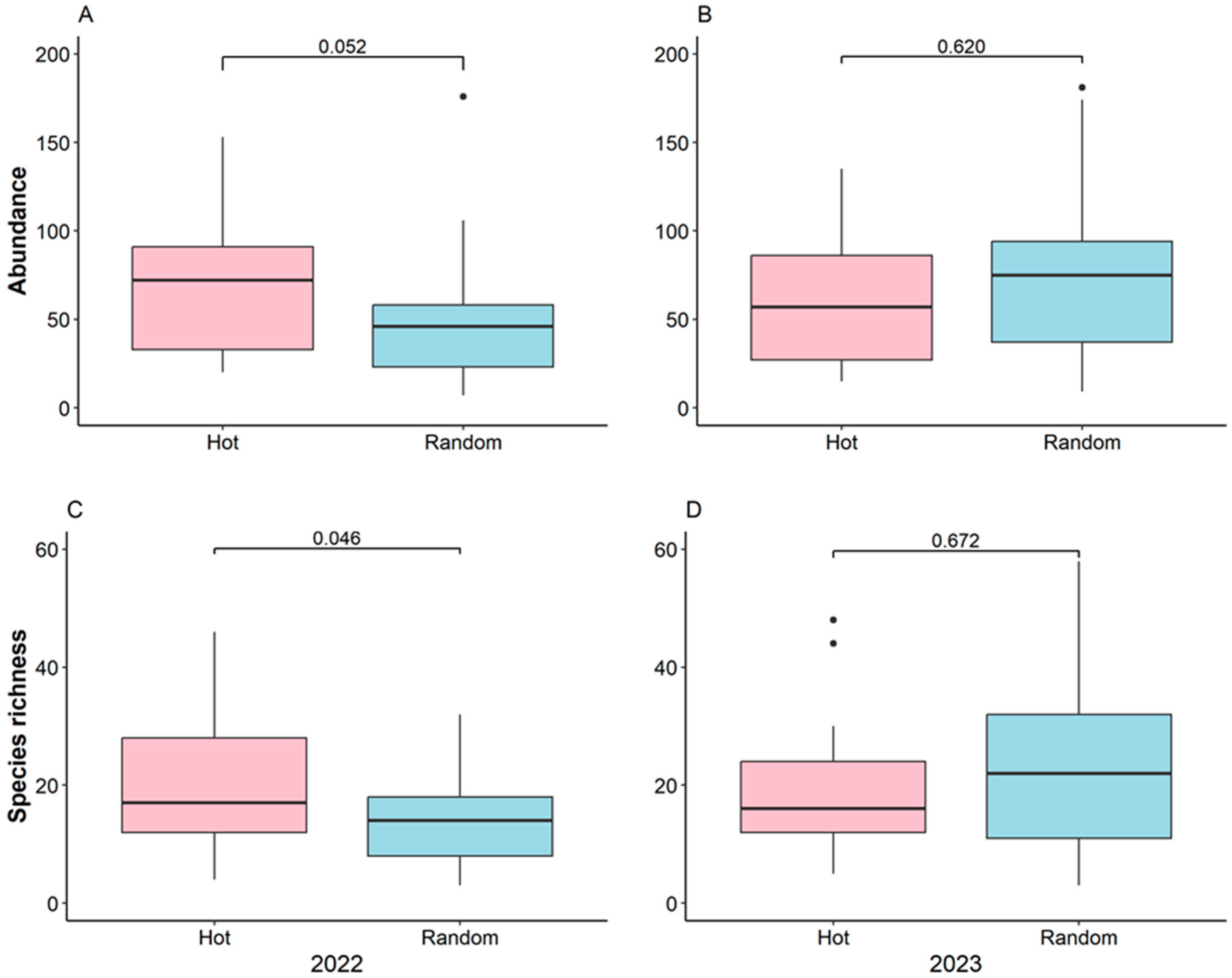
3. Results
4. Discussion
5. Conclusions
Author Contributions
Funding
Institutional Review Board Statement
Data Availability Statement
Acknowledgments
Conflicts of Interest
References
- Grimm, N.B.; Faeth, S.H.; Golubiewski, N.E.; Redman, C.L.; Wu, J.; Bai, X.; Briggs, J.M. Global Change and the Ecology of Cities. Science 2008, 319, 756–760. [Google Scholar] [CrossRef]
- Miller, J.R.; Hobbs, R.J. Conservation Where People Live and Work. Conserv. Biol. 2002, 16, 330–337. [Google Scholar] [CrossRef]
- Shochat, E.; Lerman, S.B.; Anderies, J.M.; Warren, P.S.; Faeth, S.H.; Nilon, C.H. Invasion, Competition, and Biodiversity Loss in Urban Ecosystems. BioScience 2010, 60, 199–208. [Google Scholar] [CrossRef]
- Marzluff, J.M. Worldwide Urbanization and Its Effects on Birds. In Avian Ecology and Conservation in an Urbanizing World; Marzluff, J.M., Bowman, R., Donnelly, R., Eds.; Springer: Boston, MA, USA, 2001; pp. 19–47. ISBN 978-1-4615-1531-9. [Google Scholar]
- Savard, J.-P.L.; Clergeau, P.; Mennechez, G. Biodiversity Concepts and Urban Ecosystems. Landsc. Urban Plan. 2000, 48, 131–142. [Google Scholar] [CrossRef]
- Paoletti, M.G. Using Bioindicators Based on Biodiversity to Assess Landscape Sustainability. Agric. Ecosyst. Environ. 1999, 74, 1–18. [Google Scholar] [CrossRef]
- Faeth, S.H.; Bang, C.; Saari, S. Urban Biodiversity: Patterns and Mechanisms. Ann. N. Y. Acad. Sci. 2011, 1223, 69–81. [Google Scholar] [CrossRef] [PubMed]
- Caro, T.M.; O’Doherty, G. On the Use of Surrogate Species in Conservation Biology. Conserv. Biol. 1999, 13, 805–814. [Google Scholar] [CrossRef]
- Sergio, F.; Caro, T.; Brown, D.; Clucas, B.; Hunter, J.; Ketchum, J.; McHugh, K.; Hiraldo, F. Top Predators as Conservation Tools: Ecological Rationale, Assumptions, and Efficacy. Annu. Rev. Ecol. Evol. Syst. 2008, 39, 1–19. [Google Scholar] [CrossRef]
- Natsukawa, H.; Sergio, F. Top Predators as Biodiversity Indicators: A Meta-Analysis. Ecol. Lett. 2022, 25, 2062–2075. [Google Scholar] [CrossRef]
- Sergio, F.; Newton, I.; Marchesi, L. Conservation: Top Predators and Biodiversity. Nature 2005, 436, 192. [Google Scholar] [CrossRef]
- Ozaki, K.; Isono, M.; Kawahara, T.; Iida, S.; Kudo, T.; Fukuyama, K. A Mechanistic Approach to Evaluation of Umbrella Species as Conservation Surrogates. Conserv. Biol. 2006, 20, 1507–1515. [Google Scholar] [CrossRef] [PubMed]
- Burgas, D.; Byholm, P.; Parkkima, T. Raptors as Surrogates of Biodiversity along a Landscape Gradient. J. Appl. Ecol. 2014, 51, 786–794. [Google Scholar] [CrossRef]
- Senzaki, M.; Yamaura, Y.; Nakamura, F. The Usefulness of Top Predators as Biodiversity Surrogates Indicated by the Relationship between the Reproductive Outputs of Raptors and Other Bird Species. Biol. Conserv. 2015, 191, 460–468. [Google Scholar] [CrossRef]
- Kenward, R. The Goshawk; T & AD Poyser: Berkhamsted, UK, 2006; ISBN 978-0-7136-6565-9. [Google Scholar]
- Mirski, P.; Grosberg, J.; Kull, T.; Mellov, P.; Tõnisalu, G.; Väli, V.; Väli, Ü. Movement of avian predators points to biodiversity hotspots in agricultural landscape. Ecol. Ind. in press.
- Natsukawa, H. Raptor Breeding Sites as a Surrogate for Conserving High Avian Taxonomic Richness and Functional Diversity in Urban Ecosystems. Ecol. Indic. 2020, 119, 106874. [Google Scholar] [CrossRef]
- Natsukawa, H. Raptor Breeding Sites Indicate High Taxonomic and Functional Diversities of Wintering Birds in Urban Ecosystems. Urban For. Urban Green. 2021, 60, 127066. [Google Scholar] [CrossRef]
- Jokimäki, J.; Suhonen, J.; Inki, K.; Jokinen, S. Biogeographical Comparison of Winter Bird Assemblages in Urban Environments in Finland. J. Biogeogr. 1996, 23, 379–386. [Google Scholar] [CrossRef]
- Tornberg, R.; Korpimäki, E.; Byholm, P. Ecology of the Northern Goshawk in Fennoscandia. Stud. Avian Biol. 2006, 31, 141–157. [Google Scholar]
- Järvinen, O.; Väisanen, R. Quantitative Biogeography of Finnish Land Birds as Compared with Regionality in Other Taxa. Ann. Zool. Fenn. 1980, 17, 67–85. [Google Scholar]
- Goławski, A.; Dombrowski, A. The Effects of Weather Conditions on the Numbers of Wintering Birds and the Diversity of Their Assemblages in Villages and Crop Fields in East-Central Poland. Ital. J. Zool. 2011, 78, 364–369. [Google Scholar] [CrossRef]
- Tryjanowski, P.; Sparks, T.H.; Biaduń, W.; Brauze, T.; Hetmański, T.; Martyka, R.; Skórka, P.; Indykiewicz, P.; Myczko, Ł.; Kunysz, P.; et al. Winter Bird Assemblages in Rural and Urban Environments: A National Survey. PLoS ONE 2015, 10, e0130299. [Google Scholar] [CrossRef]
- Zimaroyeva, A.A.; Matsyura, A.V.; Jankowsky, K. Spatial Patterns of Habitat Distribution of Corvidae (the Case of Urban-Rural Gradient). Biosyst. Divers. 2016, 24, 451–458. [Google Scholar] [CrossRef]
- Jeltsch, F.; Bonte, D.; Pe’er, G.; Reineking, B.; Leimgruber, P.; Balkenhol, N.; Schröder, B.; Buchmann, C.M.; Mueller, T.; Blaum, N.; et al. Integrating Movement Ecology with Biodiversity Research—Exploring New Avenues to Address Spatiotemporal Biodiversity Dynamics. Mov. Ecol. 2013, 1, 6. [Google Scholar] [CrossRef] [PubMed]
- Dickinson, J.L.; Shirk, J.; Bonter, D.; Bonney, R.; Crain, R.L.; Martin, J.; Phillips, T.; Purcell, K. The Current State of Citizen Science as a Tool for Ecological Research and Public Engagement. Front. Ecol. Environ. 2012, 10, 291–297. [Google Scholar] [CrossRef] [PubMed]
- Bonney, R.; Shirk, J.L.; Phillips, T.B.; Wiggins, A.; Ballard, H.L.; Miller-Rushing, A.J.; Parrish, J.K. Next Steps for Citizen Science. Science 2014, 343, 1436–1437. [Google Scholar] [CrossRef] [PubMed]
- Fraisl, D.; Hager, G.; Bedessem, B.; Gold, M.; Hsing, P.-Y.; Danielsen, F.; Hitchcock, C.B.; Hulbert, J.M.; Piera, J.; Spiers, H.; et al. Citizen Science in Environmental and Ecological Sciences. Nat. Rev. Methods Prim. 2022, 2, 64. [Google Scholar] [CrossRef]
- Dickinson, J.L.; Zuckerberg, B.; Bonter, D.N. Citizen Science as an Ecological Research Tool: Challenges and Benefits. Annu. Rev. Ecol. Evol. Syst. 2010, 41, 149–172. [Google Scholar] [CrossRef]
- Chandler, M.; See, L.; Copas, K.; Bonde, A.M.Z.; López, B.C.; Danielsen, F.; Legind, J.K.; Masinde, S.; Miller-Rushing, A.J.; Newman, G.; et al. Contribution of Citizen Science towards International Biodiversity Monitoring. Biol. Conserv. 2017, 213, 280–294. [Google Scholar] [CrossRef]
- Pocock, M.J.O.; Chandler, M.; Bonney, R.; Thornhill, I.; Albin, A.; August, T.; Bachman, S.; Brown, P.M.J.; Cunha, D.G.F.; Grez, A.; et al. A Vision for Global Biodiversity Monitoring With Citizen Science. Adv. Ecol. Res. 2018, 59, 169–223. [Google Scholar] [CrossRef]
- McKinley, D.C.; Miller-Rushing, A.J.; Ballard, H.L.; Bonney, R.; Brown, H.; Cook-Patton, S.C.; Evans, D.M.; French, R.A.; Parrish, J.K.; Phillips, T.B.; et al. Citizen Science Can Improve Conservation Science, Natural Resource Management, and Environmental Protection. Biol. Conserv. 2017, 208, 15–28. [Google Scholar] [CrossRef]
- Statistics Estonia Weather. Available online: https://andmed.stat.ee/en/stat (accessed on 23 May 2023).
- Landboard Estonian Topographic Database. Available online: https://geoportaal.maaamet.ee/eng/Spatial-Data/Estonian-Topographic-Database-p305.html (accessed on 15 April 2023).
- Abarenkov, K.; Tedersoo, L.; Nilsson, R.H.; Vellak, K.; Saar, I.; Veldre, V.; Parmasto, E.; Prous, M.; Aan, A.; Ots, M.; et al. Plutof-a Web Based Workbench for Ecological and Taxonomic Research, with an Online Implementation for Fungal Its Sequences. Evol. Bioinform. 2010, 2010, 189–196. [Google Scholar] [CrossRef]
- Cabeza, M.; Arponen, A.; Van Teeffelen, A. Top Predators: Hot or Not? A Call for Systematic Assessment of Biodiversity Surrogates. J. Appl. Ecol. 2008, 45, 976–980. [Google Scholar] [CrossRef]
- Roth, T.; Weber, D. Top Predators as Indicators for Species Richness? Prey Species Are Just as Useful. J. Appl. Ecol. 2008, 45, 987–991. [Google Scholar] [CrossRef]
- Santangeli, A.; Girardello, M. The Representation Potential of Raptors for Globally Important Nature Conservation Areas. Ecol. Indic. 2021, 124, 107434. [Google Scholar] [CrossRef]
- Väli, Ü.; Mirski, P.; Sein, G.; Abel, U.; Tõnisalu, G.; Sellis, U. Movement Patterns of an Avian Generalist Predator Indicate Functional Heterogeneity in Agricultural Landscape. Landsc. Ecol. 2020, 35, 1667–1681. [Google Scholar] [CrossRef]
- Murgatroyd, M.; Photopoulou, T.; Underhill, L.G.; Bouten, W.; Amar, A. Where Eagles Soar: Fine-Resolution Tracking Reveals the Spatiotemporal Use of Differential Soaring Modes in a Large Raptor. Ecol. Evol. 2018, 8, 6788–6799. [Google Scholar] [CrossRef] [PubMed]
- Krone, O.; Treu, G. Movement Patterns of White-Tailed Sea Eagles near Wind Turbines. J. Wildl. Manag. 2018, 82, 1367–1375. [Google Scholar] [CrossRef]
- Mirski, P.; Väli, Ü. Movements of Birds of Prey Reveal the Importance of Tree Lines, Small Woods and Forest Edges in Agricultural Landscapes. Landsc. Ecol. 2021, 36, 1409–1421. [Google Scholar] [CrossRef]




| Logger No. | Age | Sex | Tracking Winter | No. of GPS-Fixes |
|---|---|---|---|---|
| 171095 | Adult | Male | 2021/2022 | 47 |
| 190723 | Immature | Male | 2021/2022 | 205 |
| 190725 | Immature | Male | 2021/2022 | 239 |
| 171095 | Adult | Male | 2022/2023 | 60 |
| 190703 | Adult | Male | 2022/2023 | 146 |
| 190728 | Adult | Male | 2022/2023 | 30 |
| 212340 | Adult | Male | 2022/2023 | 853 |
| 212347 | Adult | Female | 2022/2023 | 215 |
| Year | Square Type | All Birds | Medium-Sized Birds | “Local” Birds | |||
|---|---|---|---|---|---|---|---|
| Abundance | Species Richness | Abundance | Species Richness | Abundance | Species Richness | ||
| Mapping data | |||||||
| 2022 | Hotspot | 1636 | 30 | 746 | 12 | 1505 | 29 |
| 2022 | Random | 1508 | 27 | 935 | 11 | 1399 | 27 |
| 2023 | Hotspot | 1513 | 35 | 631 | 14 | 1413 | 33 |
| 2023 | Random | 1815 | 28 | 580 | 11 | 1704 | 26 |
| Occasional data | |||||||
| 2022 | 7946 | 56 | 5365 | 23 | |||
| 2023 | 17299 | 69 | 10382 | 28 | |||
| Variable | Estimate | SE | t | p |
|---|---|---|---|---|
| All birds | ||||
| Intercept | −1801.1 | 1051.1 | −1.71 | 0.090 |
| Abundance | 440.1 | 262.5 | 1.68 | 0.097 |
| Year | 0.9 | 0.5 | 1.71 | 0.090 |
| Abundance × Year | −0.2 | 0.1 | −1.68 | 0.097 |
| Intercept | −1680.5 | 945.0 | −1.78 | 0.079 |
| Species richness | 593.4 | 335.7 | 1.77 | 0.080 |
| Year | 0.8 | 0.5 | 1.78 | 0.079 |
| Species richness × Year | −0.3 | 0.2 | −1.77 | 0.081 |
| ‘Local’ birds | ||||
| Intercept | −1553.7 | 978.9 | −1.59 | 0.116 |
| Abundance | 388.3 | 250.0 | 1.55 | 0.124 |
| Year | 0.8 | 0.5 | 1.59 | 0.116 |
| Abundance × Year | −0.2 | 0.1 | −1.55 | 0.124 |
| Intercept | −1051.2 | 834.4 | −1.26 | 0.211 |
| Species richness | 381.3 | 306.2 | 1.25 | 0.216 |
| Year | 0.5 | 0.4 | 1.26 | 0.211 |
| Species richness × Year | −0.2 | 0.2 | −1.25 | 0.216 |
| Medium-sized birds | ||||
| Intercept | −4.2 | 532.6 | −0.01 | 0.994 |
| Abundance | −37.9 | 180.0 | −0.21 | 0.834 |
| Year | 0.0 | 0.3 | 0.01 | 0.993 |
| Abundance × Year | 0.0 | 0.1 | 0.21 | 0.834 |
| (Intercept) | −495.1 | 515.8 | −0.96 | 0.340 |
| Species richness | 245.6 | 284.7 | 0.86 | 0.391 |
| Year | 0.2 | 0.3 | 0.96 | 0.339 |
| Species richness × Year | −0.1 | 0.1 | −0.86 | 0.391 |
| Variable | Estimate | SE | t | p |
|---|---|---|---|---|
| All birds | ||||
| Intercept | 0.3 | 0.3 | 1.26 | 0.209 |
| Abundance | 0.0 | 0.1 | 0.00 | 0.997 |
| Year | 0.4 | 0.3 | 1.31 | 0.194 |
| Abundance × Year | −0.1 | 0.2 | −0.46 | 0.643 |
| Intercept | −516.2 | 412.8 | −1.25 | 0.213 |
| Species richness | −39.8 | 558.3 | −0.07 | 0.943 |
| Year | 0.3 | 0.2 | 1.25 | 0.213 |
| Species richness × Year | 0.0 | 0.3 | 0.07 | 0.943 |
| Medium-sized birds | ||||
| Intercept | 0.3 | 0.2 | 1.33 | 0.185 |
| Abundance | 0.0 | 0.1 | 0.15 | 0.879 |
| Year | 0.4 | 0.3 | 1.61 | 0.109 |
| Abundance × Year | −0.1 | 0.2 | −0.71 | 0.480 |
| Intercept | −799.3 | 452.2 | −1.77 | 0.080 |
| Species richness | 624.1 | 978.5 | 0.64 | 0.525 |
| Year | 0.4 | 0.2 | 1.77 | 0.080 |
| Species richness × Year | −0.3 | 0.5 | −0.64 | 0.525 |
Disclaimer/Publisher’s Note: The statements, opinions and data contained in all publications are solely those of the individual author(s) and contributor(s) and not of MDPI and/or the editor(s). MDPI and/or the editor(s) disclaim responsibility for any injury to people or property resulting from any ideas, methods, instructions or products referred to in the content. |
© 2023 by the authors. Licensee MDPI, Basel, Switzerland. This article is an open access article distributed under the terms and conditions of the Creative Commons Attribution (CC BY) license (https://creativecommons.org/licenses/by/4.0/).
Share and Cite
Väli, Ü.; Grosberg, J.; Mellov, P.; Tali, T.; Mirski, P. Is the Northern Goshawk an Efficient Bioindicator of Avian Abundance and Species Richness in Urban Environments? Diversity 2023, 15, 749. https://doi.org/10.3390/d15060749
Väli Ü, Grosberg J, Mellov P, Tali T, Mirski P. Is the Northern Goshawk an Efficient Bioindicator of Avian Abundance and Species Richness in Urban Environments? Diversity. 2023; 15(6):749. https://doi.org/10.3390/d15060749
Chicago/Turabian StyleVäli, Ülo, Jaan Grosberg, Pelle Mellov, Tiiu Tali, and Paweł Mirski. 2023. "Is the Northern Goshawk an Efficient Bioindicator of Avian Abundance and Species Richness in Urban Environments?" Diversity 15, no. 6: 749. https://doi.org/10.3390/d15060749
APA StyleVäli, Ü., Grosberg, J., Mellov, P., Tali, T., & Mirski, P. (2023). Is the Northern Goshawk an Efficient Bioindicator of Avian Abundance and Species Richness in Urban Environments? Diversity, 15(6), 749. https://doi.org/10.3390/d15060749

