Abstract
Neuwiedia singapureana is a rare and endangered plant of the Apostasioideae subfamily. The Apostasioideae subfamily has a unique evolutionary status, as it is considered to be the most primitive group forming the base of the Orchidaceae evolutionary tree. Therefore, N. singapureana has high scientific research and conservation value. The endophytic fungal communities associated with orchids are rich and diverse, but few studies have investigated the endophytic fungi of Neuwiedia orchid plants. In the present study, the aim was to examine the endophytic fungal community structures associated with wild N. singapureana rhizomes and normal roots in the ground and with bare prop roots in the air at two sampling sites in China. High-throughput sequencing of nuclear ribosomal DNA fragments of the internal transcribed spacer regions was conducted, and cultivable methods were adopted. A total of 2161 endophytic fungal operational taxonomic units (OTUs) were obtained at a 97% sequence similarity threshold. The endophytic fungal diversity differed among the samples but not significantly. There were many more non-mycorrhizal endophytic fungal than orchid mycorrhizal (OM) fungal species detected in the N. singapureana orchid, about 98.33% OTUs of non-mycorrhizal fungi contrasting with 1.67% OTUs of potential orchid mycorrhizal fungi, among which Ceratobasidiaceae, Russulaceae, and Thelephoraceae were the dominant orchid mycorrhizal fungi. One culturable OM fungal Epulorhiza sp. isolated from the rhizome was capable of significantly promoting the seed germination and seedling growth of Dendrobium officinale and Epidendrum secundum orchids, respectively, with different efficiencies. These endophytic fungal strains with growth-promoting functions will provide materials for orchid conservation and for the study of the mechanisms underlying orchid symbiotic associations.
1. Introduction
In nature, most of Orchidaceae plants depend on mycorrhizal fungi from the seed germination and development stages to the adult stage, which is accompanied by flowering and fruit bearing. Furthermore, as one of the most important ecological factors, orchid mycorrhizal fungi (OMF) have been increasingly recognized to affect orchid distribution. The OMF mainly belong to eight fungal clades: Ceratobasidiaceae, Tulasnellaceae, Sebacinales, Russulaceae, Thelephoraceae, Cortinariaceae, Serendipitaceae, and Tricholomataceae [1,2,3,4]. The availability of appropriate fungi may be correlated with host selection. Consequently, screening symbiotic fungi that effectively promote the germination and growth of Orchidaceae plants is vital for understanding the orchid–mycorrhizal fungi symbiotic mechanism. Many non-standard mycorrhizal fungi can also be detected and isolated from adult roots, and these are termed root-associated endophytic fungi [5]. Endophytic fungi have been found in almost all plant groups and are described as fungi that live in living plants at certain stages of the life cycle without causing obvious disease symptoms [6,7,8]. Endophytic fungi comprise an important part of plant microecosystems. The endophytic fungi that have been reported have no obvious phylogenetic relationship with known OMF [5,9,10,11]. Compared with mycorrhizal fungi, the diversity of non-mycorrhizal endophytic fungi in orchids roots has been found to be more abundant [6,11,12,13]. Most of these endophytic fungi belong to Ascomycota and Basidiomycota [11,14].
Endophytic fungi have been reported in some Orchidaceae genera such as Dendrobium [15], Doritis [16], Anoectochilus, Bletilla, Cleisostoma, Coelogyne, Eria, Gastrochilus, Gymnadenia, and Vanda [17,18]. Among the reported endophytic fungi isolated from Orchidaceae, Fusarium, Xylaria, Alternaria, Phoma, and Colletotrichum, amongst others, were prevalent and dominant genera, and some were potentially promising beneficial fungi [15]. Some common Orchidaceae endophytic fungi can also infect the roots of orchid seedlings and form hyphal groups resembling the typical structures of OMF in the root cortex cells; these infected seedlings have been shown to grow well. Examples of this can be seen when Cladosporium is incubated with Dendrobium officinale and Bletilla [19], or when Fusarium oxysporum is incubated with Bletilla [20]. Some of these endophytic fungi may have positive effects on germination or seedling growth, as has been described for Trichoderma [15,21,22], Clonostachys [15], Fusarium [20,23], and Mycena [24] species. Given that, the use of non-OMF for their mycorrhizal-associated potential should be advocated [25].
Neuwiedia singapureana is a rare and endangered plant of the Apostasioideae subfamily. The Apostasioideae subfamily has a unique evolutionary status, as it is considered to be the most primitive group forming the base of the Orchidaceae evolutionary tree [26,27]. N. singapureana is mainly distributed in southeastern China and is also rarely distributed in Vietnam, Thailand, Malaysia, Singapore, and Indonesia in forests at approximately 500 m above sea level [28]. The Neuwiedia genus has attracted wide attention due to its special evolutionary position. However, the distribution area of Neuwiedia plants is narrow, and the individuals are rare, and thus there is a lack of related research. The limited number of previous studies has focused on flower structure, development, and pollination biology [29,30], systematic anatomy [31], classification and evolution [27,32,33], genome size [34,35], seedling morphological structure [36], and mycorrhizal fungi [37]. During the study of mycorrhizal fungi in Neuwiedia, Kristiansen et al. [36] found peloton-forming fungi in Neuwiedia orchid protocorms. The researchers then isolated Ceratobasidium and Tulasnella strains from Neuwiedia veratrifolia roots and cultured them [37]. Since this study, there have been few reports on the endophytic and mycorrhizal fungi associated with Neuwiedia plants.
Revealing the endophytic fungal communities associated with endangered orchid plants is very important for understanding how to maintain biodiversity and promote community stability. Endophytic fungal diversity, including the diversity associated with changes among different rhizome and root samples from N. singapureana plants from different locations, has not been adequately studied. In the present study, amplicon sequencing and culturable methods were used to study the fungal community structure and diversity in N. singapureana rhizomes and roots. The aim was to determine the fungal community characteristics related to the different organs and locations of the endangered N. singapureana plants.
2. Materials and Methods
2.1. The Habitat and Sampling of N. singapureana
Healthy populations of the terrestrial orchid, N. singapureana, located in the Diaoluoshan and Jianfengling National Nature Reserves of Hainan, China, were used in this study (Figure 1 and Figure S1). There were four sample groups in total—wild N. singapureana rhizomes in the ground sampled from the Diaoluoshan Reserve (Neu-DF), wild N. singapureana rhizomes and normal roots in the ground (Neu-JF and Neu-JR), and bare prop roots in the air (Neu-JA)—sampled from the Jianfengling Reserve. All samples were collected in July 2019. Bare prop roots are those that are exposed to the air but are not deeply rooted in the soil. In this study, while some N. singapureana roots were partially exposed to the air, other parts of the same roots were buried deep in the soil. Thus, the bare parts exposed to the air of prop root were samples in this study to investigate endophytic fungal diversity.
Figure 1.
Tissues and microscopic observation of the colonization of endophytic fungi in the rhizome and root of the wild orchid Neuwiedia singapureana. The wild N. singapureana plants were sampled from National Nature Reserves in Hainan, China (a). The red arrow indicates the bare prop roots in the air (b), the green arrows indicate the rhizomes in the ground, and the purple arrow indicates the normal roots in the ground (c). The red circle indicates the location of hypha in the cortex of the root cross-section (d). The black arrows indicate the pelotons (P) of the intracellular fungi (e), the blue arrows indicate the cell wall (CW), and the black arrow indicates the intracellular fungal hypha stained with trypan blue (f).
Five rhizomes or roots were collected from each individual (five individuals in total each 10 m apart) and were transported to the laboratory with ice. The surface soil was then flushed from the roots by running them under water for 1 h. The roots were then surface sterilized by submersion for 30 s in 0.5% NaClO. The samples were then rinsed for 30 s three times in sterile distilled water, and mycorrhizal colonization was checked using a microscope (Leica DFC450 C, Leica Microsystems Ltd., Weztlar, Germany). Subsequently, these samples were sectioned into 1 cm fragments, frozen in liquid nitrogen, and stored at −80 °C prior to DNA extraction.
2.2. Internal Transcribed Spacer (ITS) Sequencing and Operational Taxonomic Unit (OTU) Analysis
Amplicon preparation for Illumina NovaSeq 6000 sequencing: Fungal DNA was extracted using HiPure DNA Kits according to the manufacturer’s protocols (Magen, Guangzhou, China). Optical density (OD) readings were taken for the DNA samples using a spectrophotometer (Nanodrop ND-1000, Thermo Fisher Scientific, Wilmington, DE, USA). DNA samples with an OD 260/280 ratio of 1.8–2.0 and an OD 260/230 ratio of less than 2.0 and that did not produce smears on 1.5% agarose gel were selected for use for subsequent experiments. The ITS2 amplicons of the ribosomal DNA gene were amplified using the ITS3_KYO2/ITS4 primers. Purified amplicons were pooled in equimolar ratios and were paired-end sequenced (PE250) on an Illumina platform according to the standard protocols.
Quality control and OTU analysis: The raw data were filtered using FASTP v0.18.0 [38]. Paired-end clean reads were merged using FLASH v1.2.11 [39]. Noisy sequences were filtered using QIIME v1.9.1 [40] under specific filtering conditions [41] to obtain high-quality clean tags. The effective tags were clustered into OTUs using a ≥97% similarity threshold via the UPARSE v9.2.64 pipeline [42]. The tag sequence with the highest abundance was selected as the representative sequence within each cluster. Shannon and Chao diversity indexes were calculated in QIIME v1.9.1 [40]. UpSet plot analysis was performed using the UpSetR package v1.3.3 [43] to identify unique and common OTUs among the sampling groups. The representative sequences were assigned to organisms by a naive Bayesian model using RDP classifier v2.2 [44] based on the Greengene database vgg_13_5 [45]. The species abundance was plotted in R project using the pheatmap package v1.0.12 [46].
2.3. Isolation and Identification of Culturable Endophytic Fungi
The normal belowground rhizomes of 20 individual N. singapureana plants that were spaced 10 m apart from each other were chosen for endophytic fungal isolation in Diaoluoshan National Nature Reserve. The rhizomes were flushed with running water for 2 h. The rhizomes were then surface sterilized for 3 min in 1% NaClO and five times in sterile water in a Clean Bench. The rhizomes were cut into 1–2 mm long segments. The segments were placed in a 90 mm Petri dish containing 2% potato dextrose agar (PDA) with 50 mg/L benzylpenicillin sodium. The Petri dishes were incubated at 25 °C. When fungal colonies developed, they were transferred to new PDA medium for purification.
The purified fungal isolates were selected for further identification. DNA extraction was performed using the same procedure as described above. The amplification, sequencing, and identification were conducted according to Toju et al. [47]. The ITS region of ribosomal DNA was amplified using the primer pair ITS4 [48] and ITS1F [49]. The representative strains identified based on their morphological and molecular characteristics were transferred to PDA slants for further study.
2.4. Symbiotic Germination of Orchid Seeds and Fungal Isolates
The symbiotic germination of orchid seeds and the fungal isolates obtained from the above procedure was investigated. Mature Dendrobium officinale and Epidendrum secundum capsules were harvested from the scientific research greenhouse of Beijing Botanical Garden, China. The full sterile seed packets of E. secundum and D. officinale were surface sterilized before opening. The seeds were then cultured with endophytic fungal isolates on 10 g/L oatmeal agar (OMA) medium according to the procedures described by Xu et al. [50]. The fungal treatments and blank controls were placed in germination chambers (Beijing Botanical Garden, Beijing, China). The germinated protocorms or seedlings were transferred to new OMA medium every 2 months. The asymbiotic and symbiotic protocorms and seedling roots were surface sterilized for 3 min in 0.5% NaClO according to the above methods used for surface-sterilized rhizomes. Then, the sterilized protocorms and seedling roots were sampled for DNA extraction, ITS amplification, and sequencing; then, the ITS sequences were blast to identify whether they were the fungal isolates used in the above symbiotic germination experiment. Moreover, the mycorrhizal colonization was checked in the asymbiotic and symbiotic protocorms and seedling roots using a microscope (Leica DFC450 C, Leica Microsystems Ltd., Weztlar, Germany) and field-emission scanning electron microscope (SEM) (Hitachi SU8020, Hitachi Ltd., Tokyo, Japan).
3. Results
3.1. Endophytic Fungal Diversity
After quality filtering and chimera removal, 815,975 high-quality sequences were obtained and could be assigned to the different samples. The number of high-quality sequences per individual sample varied from 56,934 to 72,665. A total of 2161 OTUs were identified at 97% sequence similarity (Table 1), including 890 OTUs in Neu-DF, 724 OTUs in Neu-JF, 1141 OTUs in Neu-JA, and 789 OTUs in Neu-JR. The endophytic fungal OTU abundance was higher in Neu-JA than in the Neu-JR and Neu-JF groups, which were all from the same habitat at Jianfengling National Nature Reserve. Moreover, the endophytic fungal OTU abundance was higher in the rhizomes sampled from Diaoluoshan (Neu-DF) than in those from Jianfengling.
Table 1.
Internal transcribed spacer sequencing data from wild Neuwiedia singapureana roots and rhizomes.
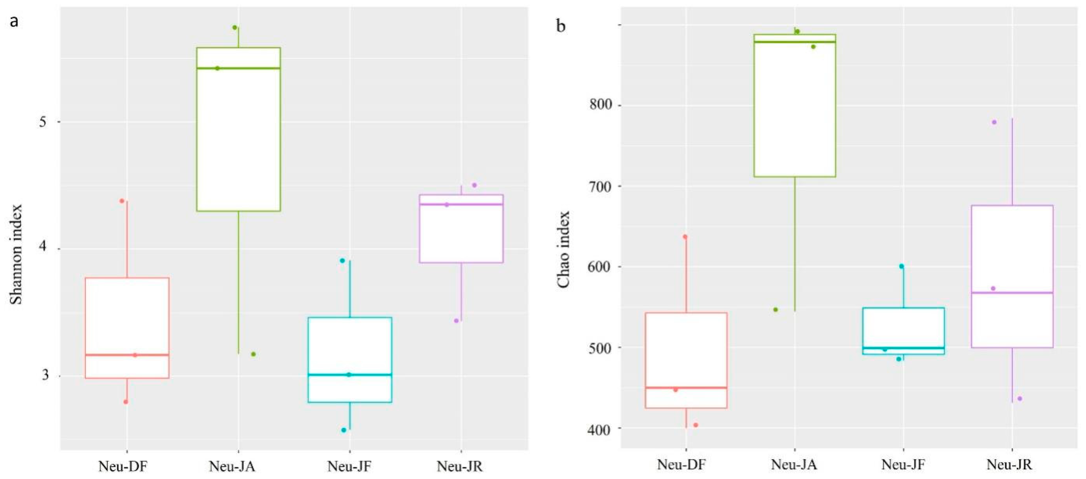
The endophytic fungal community Shannon diversity (Figure 2a) and Chao richness (Figure 2b) indexes of all samples were calculated to illustrate the complexity of each sample. The endophytic fungal diversity differed among the four sample groups but not significantly (p > 0.05). The alpha diversity was higher in Neu-JA than in Neu-DF, Neu-JF, and Neu-JR. This result suggests that the aerial roots above the ground had greater fungal community diversity and richness than the rhizomes and normal roots belowground. Moreover, the fungal community diversity and richness were slightly higher in Neu-DF than in Neu-JF, but this difference was not significant (p > 0.05).
Figure 2.
The diversity and richness of endophytic fungal communities associated with different Neuwiedia singapureana sampling groups. (a) Shannon and (b) Chao indexes of the operational taxonomic units (OTUs) from different wild N. singapureana root and rhizome samples. Neu-DF, the rhizomes of N. singapureana from the Diaoluoshan Reserve; Neu-JA, the air-exposed bare roots of N. singapureana from the Jianfengling Reserve; Neu-JF, the rhizomes of N. singapureana from the Jianfengling Reserve; Neu-JR, the normal roots of N. singapureana from the Jianfengling Reserve.
The similarities and differences in fungal communities among the different sampling groups were analyzed using an UpSet diagram (Figure 3). The diagram showed that there were large numbers of specific and common fungal OTUs among different samples. The number of specific fungal OTUs was the highest in the bare roots (Neu-JA; 703 OTUs), followed by Neu-DF (530 OTUs), Neu-JR (253 OTUs), and finally Neu-JF (196 OTUs). In total, there were 87 OTUs that were common to all four sampling groups, most of which belonged to Penicillium (Trichocomaceae), Nectriaceae, and Herpotrichiellaceae. The rhizomes from the two different collection sites (Neu-DF and Neu-JF) had 23 OTUs in common, with most belonging to Trichocomaceae. The Neu-JA, Neu-JR, and Neu-JF samples, which were from the same collection site, had 55 OTUs in common, with most belonging to Trichocomaceae and Herpotrichiellaceae (Table S1 and Figure 3).
Figure 3.
Common and specific operational taxonomic units (OTUs) from different Neuwiedia singapureana root and rhizome samples. The dots indicate specific OTUs, and the lines indicate common OTUs. Neu-JF, the rhizomes of N. singapureana from the Jianfengling Reserve; Neu-JR, the normal roots of N. singapureana from the Jianfengling Reserve; Neu-DF, the rhizomes of N. singapureana from the Diaoluoshan Reserve; Neu-JA, the air-exposed bare roots of N. singapureana from the Jianfengling Reserve.
The relative abundance of fungal OTUs found in the different sample groups significantly differed at various taxa levels, as shown by a heatmap (Figure 4). Eurotiomycetes was the dominant class in the Neu-DF and Neu-JA group, Tremellomycetes was the dominant class in Neu-JF, and Leotiomycetes was the dominant class in Neu-JR. Of the endophytic fungi, five families were dominant in the Neu-DF rhizomes, including Trichocomaceae, Ophiostomataceae, and Trichosporonaceae. In the Neu-JF rhizomes, five families were dominant, including Russulaceae, Trimorphomycetaceae, and Didymellaceae. The dominant families in the Neu-JR roots were Dermateaceae, Hypocreaceae, and Didymellaceae. Five families were dominant in the Neu-JA roots, including Telephoraceae, Cucurbitariaceae, and Phaeosphaeriaceae.
Figure 4.
Heatmap showing relatively abundant fungal operational taxonomic units (OTUs) among the Neuwiedia singapureana sampling groups. The diversity of endophytic fungi is shown at the (a) class, (b) family, and (c) genus levels. OTUs with >1000 reads are shown. Neu-DF, the rhizomes of N. singapureana from the Diaoluoshan Reserve; Neu-JA, the air-exposed bare roots of N. singapureana from the Jianfengling Reserve; Neu-JF, the rhizomes of N. singapureana from the Jianfengling Reserve; Neu-JR, the normal roots of N. singapureana from the Jianfengling Reserve.
There were also clear differences in endophytic fungal diversity among sample groups at the genus level. Seven genera were dominant in the Neu-DF rhizomes, including Gliocephalotrichum, Inaequalispora, and Thanatephorus. Lecanicillium, Saitozyma, and Paraboeremia were dominant in the Neu-JF rhizomes. Nine genera were dominant in the normal roots of Neu-JR, including Trichoderma, Calonectria, and Gliocladiopsis. In the bare roots of Neu-JA, eight genera were dominant, including Thozetella, Tomentella, and Exophiala.
3.2. OM Fungal Communities in Different Sample Groups
In total, 36 (about 1.67% of 2161) OTUs corresponded to OMF according to [1]. The majority of the OMF detected (17 OTUs) belonged to the Ceratobasidiaceae family (13,408 sequences). In addition, a number of other OM fungal taxa that have previously been reported were detected in this study. These included Russulaceae (6 OTUs, 7071 sequences), Thelephoraceae (10 OTUs, 3972 sequences), Cortinariaceae (1 OTU, 28 sequences), Serendipitaceae (1 OTU, 17 sequences), and Tricholomataceae (1 OTU, 3 sequences).
However, the abundances of these OM fungal families differed between the N. singapureana sampling groups. Ceratobasidiaceae fungi were mainly found in the rhizomes (Neu-JF and Neu-DF) and bare roots (Neu-JA). Meanwhile, Thelephoraceae members were abundant in the OM fungal community associated with the bare roots (Neu-JA) and normal roots (Neu-JR). The OTU members of Russulaceae were similar in all sample groups. Serendipitaceae fungi were detected only in Neu-DF. Cortinariaceae and Tricholomataceae were detected in Neu-DF, Neu-JR, and Neu-JA, but not in Neu-JF (Table 2).
Table 2.
The operational taxonomic units (OTUs) corresponding to the orchid-associated mycorrhizal families identified in different Neuwiedia singapureana sampling groups.
3.3. Culturable Endophytic Fungal from Rhizomes
One culturable OM fungus, Epulorhiza sp. (Tulasnellaceae), was isolated, and this had high similarity (97.56%) with Epulorhiza sp. Pca-QS-0-1, which was isolated from Paphiopedilum callosum (Orchidaceae) roots sampled in Thailand. The hyphae were regular with binucleate cells (Figure 5b) and separated with branching at right angles (Figure 5c).
Figure 5.
Colony morphology (a) and hyphae stained with SYBR Green I showing binucleate cells (b,c) of Epulorhiza sp. obtained from Neuwiedia singapureana rhizomes. N = nuclei; S = septa; the red arrows indicate hyphae with branching at right angles.
3.4. Promotion of Symbiotic Seed Germination by Fungal Isolates In Vitro
The ability of the fungal strain, Epulorhiza sp. (Epu) (Figure 5 and Table S2), to promote the seed germination of D. officinale and E. secundum orchids was tested. The symbiotic germination tests showed that the Epu strain promoted orchid seed germination and seedling growth with different efficiencies.
With the use of the standards for classifying seed germination stage set by Zettler et al. [51], the orchid seed germination and protocorm development were regularly observed and recorded. The D. officinale and E. secundum seeds developed faster when inoculated with the Epu isolate than when cultured individually under the same incubation time. When the protocorms of seeds inoculated individually ceased development at stage 2 (protocorm formation with the continued enlargement of the embryo to burst the testa; Figure 6a) after 130 days, the E. secundum protocorm inoculated with Epu developed to stage 7, with root emergence and seedling growth (Figure 6b).
Figure 6.
Symbiotic germination effects of endophytic fungal isolates on the seeds of the two orchids. The asymbiotic germination of the protocorms of mature Epidendrum secundum seeds (a). The symbiotic germination of the protocorms or seedlings of Epidendrum–Epu (b) and Dendrobium–Epu (d,e) combinations. The intracellular colonization of fungal pelotons in the symbiotic roots of the (c) Epidendrum–Epu and (f) Dendrobium–Epu combinations. a and b show the results after 130 days, d after 30 days, and e after 180 days. AF, active fungus; CW, cell wall; P, peloton; R, Rhizoid.
When inoculated with Epu, the D. officinale protocorm developed to stage 4, with cotyledon formation and rhizoid emergence after 30 days (Figure 6d). After 180 days of incubation, the D. officinale seedling could grow up to 5 cm in height on the 10 g/L OMA medium (Figure 6e) while the protocorms of seeds inoculated individually still ceased development at stage 2.
In the symbiotic roots of both the Epidendrum–Epu and Dendrobium–Epu seedlings, the fungal ITS sequences were amplified successfully, but not in the asymbiotic protocorms. By sequences alignment analysis, it was found that the amplified sequences were identical with the Epulorhiza sp. strain used in the symbiotic germination experiments. Moreover, the intracellular colonization of fungal pelotons in the symbiotic roots of the Epidendrum–Epu and Dendrobium–Epu seedlings was detected by both microscopic (c) and SEM observation (f) but was not detected in the asymbiotic protocorms. The results showed that the Epulorhiza sp. strain promoted the symbiotic seed germination and seedling growth and successfully colonized the D. officinale and E. secundum roots.
4. Discussion
4.1. Endophytic Fungal Diversity
An array of endophytic fungi is ubiquitous in healthy plant tissues and organs. Some of these fungi have been reported as root-associated endophytic fungi that can help orchids to absorb rhizosphere soil nutrients [52,53] and also affect plant yield and change secondary metabolite contents [54]. Thus far, different types of endophytic fungi have been detected and isolated from many orchid species [11,14].
In this study, the endophytic fungal diversity in orchid tissues was analyzed by high-throughput sequencing. Among the four sampling groups, a wide variety of endophytic fungi were detected with different richness values, belonging mainly to Basidiomycota, Mortierellomycota, and Mucoromycota. Many of these fungi have already previously been identified as orchid root colonizers. For example, some potentially beneficial fungi, such as Trichoderma, have been found in the roots of Dendrobium nobile [15], Bulbophyllum neilgherrense, and Pholidota pallida [14,55]. The endophytic fungi Trichoderma koningiopsis and Trichoderma rogersonii were isolated from Dendrobium and were found to have an inhibitory effect on Pythium ultimum, which is a pathogenic fungus of D. nobile [22]. Furthermore, some other Trichoderma spp. have been shown to promote the growth of several other plants [21]. In the present study, Trichoderma fungi were detected as the dominant fungal group in N. singapureana roots and rhizomes.
Earlier studies have found that there is no, or very low, presence of mycorrhizal fungi on the aerial roots of orchids [56]. An increasing number of recent studies has shown that almost all orchids are associated with mycorrhizal fungi in nature. For example, a large community of fungal associates was found in Acampe praemorsa orchid roots exposed in the air [57]. In addition to an abundance of common OMF, non-mycorrhizal endophytic fungi were also abundant in the air-exposed roots of N. singapureana in the present study. In these air-exposed roots, the dominant endophytic fungal genera included Ceratobasidium, Neoceratosperma, and Exophiala. These dominant genera were considerably different from those found associated with the belowground roots. This result indicated that the different intracellular microecologies in the roots of different niches (air-exposed and belowground) might have specific biological and ecological functions.
With respect to endophytic fungi in other vegetative tissues, stem-associated endophytic fungi have been previously detected. It has also been reported that geographical factors affect the distribution and diversity of endophytic microbial populations in plants [57,58]. The rhizomes of N. singapureana orchids grow belowground and are surrounded by soil microbes, and thus a complex microecological environment forms inside the rhizomes.
In the present study, Trichocomaceae and Ophiostomataceae were dominant fungal families in the rhizomes from plants from Diaoluoshan. Meanwhile, Russulaceae and Trimorphomycetaceae were dominant in the rhizomes from plants from Jianfengling. The fungal community composition and abundance displayed clear differences between samples from the two different geographical regions, which are approximately 200 km apart. This result is consistent with the idea of geographical regional differences [59,60]; the endophytic fungal composition in a plant is dependent on environment variations and host plant adaptation [57].
Common OMF have mainly been reported to belong to the families Ceratobasidiaceae, Tulasnellaceae, and Sebacinaceae. With the rapid development of modem molecular biology, newer and more efficient isolation techniques may be more successful [2]. Common endophytic fungi of other plants, such as Thelephoraceae and Russulaceae, have also been classified in the OM fungal group [1,3]. Although most types of common OMF were detected in the samples tested in the present study, the abundances of these fungal families differed in the roots and rhizomes. For example, Ceratobasidiaceae and Thelephoraceae mainly occurred in the rhizomes from both Diaoluoshan and Jianfengling. This indicated that similar to the roots, the rhizomes might also participate in mycorrhizal regulation. These fungi were also detected in the bare roots from Jianfengling. Moreover, Russulaceae was a dominant fungal family in the rhizomes from Jianfengling. Although the Tulasnellaceae family was not detected in the N. singapureana samples by high-throughput amplicons, one culturable Epulorhiza sp. strain was isolated from the rhizomes. In addition, the Sebacinaceae family was absent in the present study. This result was similar to the results of previous studies in which the most common culturable OM fungal strains were also not successfully obtained [15]. This could be attributed to the primer bias against this fungal group [61]. Multigene primer pairs should be considered to reduce the data error caused by primer bias in future studies.
4.2. Growth-Promoting Function of OMF
Mycorrhizal fungi are found in many Orchidaceae plants and perform functions that promote the germination and growth of orchids. Under in vitro culture conditions, Epulorhiza strains and inoculated protocorms or seedlings of Cymbidium hybridum [62], Coelogyne nervosa [63], Dendrobium spp. [64,65], Paphiopedilum spp. [66,67], and Anoectochilus roxburghii [68] have been shown to effectively form symbioses; the growth of these seedlings was promoted by the mycorrhizal fungus. In orchid–Epulorhiza symbionts, the contents of Abscisic Acid (ABA) or partial mineral elements were shown to increase [64,65]. In addition, the growth of the lateral roots of the inoculated seedlings was induced, and root vitality was significantly improved by the symbiotic interaction [65]. In the present study, the D. officinale and E. secundum seeds inoculated with a Epulorhiza sp. isolate germinated faster; the protocorm developed into seedlings successfully in a shorter time than the symbiotic protocorms, which ceased development at the initial stage of protocorm formation. These results may thus highlight the universality of the orchid growth-promoting effects of Epulorhiza.
5. Conclusions
In this study, high-throughput ITS sequencing was carried out, and fungi were isolated via cultivable methods. The aim was to examine the endophytic fungal community structures associated with the rhizomes and roots of wild N. singapureana plants from two sampling sites in China. The results indicated that the endophytic fungal diversity differed among the samples but not significantly. Moreover, Trichoderma strains were isolated primarily, followed by Fusarium and Apiotrichum strains. There were many more non-mycorrhizal endophytic fungal than OM fungal species detected in the N. singapureana orchid. A Epulorhiza sp. isolate was found to be capable of significantly promoting the seed germination and seedling growth of D. officinale and E. secundum orchids, respectively, with different efficiencies. These endophytic fungal strains with growth-promoting functions will provide potential materials for orchid conservation and for further study of the mechanisms underlying orchid symbiotic associations.
Supplementary Materials
The following supporting information can be downloaded at https://www.mdpi.com/article/10.3390/d16010034/s1. Table S1: All of the OTU sequences, profiling, and annotations; Table S2: Possible identities of endophytic fungi isolated from Neuwiedia singapureana based on internal transcribed spacer (ITS) sequences; Figure S1: Map of China showing the two sampling locations of Neuwiedia singapureana marked with green and blue dots. (Color figure online).
Author Contributions
Conceptualization, T.W. and Y.C.; methodology, T.W.; software, T.W.; validation, M.C., J.C. and Y.W.; formal analysis, L.L.; investigation, Y.C.; resources, T.W.; data curation, T.W.; writing—original draft preparation, T.W.; writing—review and editing, T.W.; visualization, L.L.; supervision, Y.C.; project administration, T.W. and L.L.; funding acquisition, T.W. and L.L. All authors have read and agreed to the published version of the manuscript.
Funding
This work was funded by grants from the National Natural Science Foundation of China (No. 32101497 and 32101496) and Beijing Botanical Garden (No. BZ201901) of China.
Institutional Review Board Statement
Not applicable.
Data Availability Statement
The data presented in this study are available in article and Supplementary Material.
Acknowledgments
The authors thank F.Q. Luo from the Diaoluoshan Branch of Hainan Tropical Rainforest National Park Administration of China for contributing to this research.
Conflicts of Interest
The authors declare no conflict of interest.
References
- Dearnaley, J.D.W.; Martos, F.; Selosse, M.A. 12 Orchid Mycorrhizas: Molecular Ecology, Physiology, Evolution and Conservation Aspects. In Fungal Associations, 2nd ed.; Hock, B., Ed.; Springer: Berlin, Germany, 2012; pp. 207–230. [Google Scholar]
- Zettler, L.W.; Corey, L.L. Orchid Mycorrhizal fungi: Isolation and Identification Techniques. In Orchid Propagation: From Laboratories to Greenhouses—Methods and Protocols; Springer: Berlin, Germany, 2018; pp. 27–59. [Google Scholar]
- Chen, Y.; Gao, Y.; Song, L.; Zhao, Z.; Guo, S.; Xing, X. Mycorrhizal fungal community composition in seven orchid species inhabiting Song Mountain, Beijing, China. Sci. China Life Sci. 2019, 62, 838–847. [Google Scholar] [CrossRef] [PubMed]
- Li, T.; Yang, W.; Wu, S.; Selosse, M.A.; Gao, J. Progress and prospects of mycorrhizal fungal diversity in orchids. Front. Plant Sci. 2021, 12, 646325. [Google Scholar] [CrossRef]
- Kohout, P.; Těšitelová, T.; Roy, M.; Vohník, M.; Jersáková, J. A diverse fungal community associated with Pseudorchis albida (Orchidaceae) roots. Fungal Ecol. 2013, 6, 50–64. [Google Scholar] [CrossRef]
- Wilson, D. Endophyte: The evolution of a term, and clarification. Oikos 1995, 73, 274–276. [Google Scholar] [CrossRef]
- Addy, H.D.; Piercey, M.M.; Currah, R.S. Microfungal endophytes in roots. Canadian J. Bot. 2005, 83, 1–13. [Google Scholar] [CrossRef]
- Bayman, P.; Otero, J.T. Microbial Endophytes of Orchid Roots. In Microbial Root Endophytes; Schulz, B.J.E., Boyle, C., Sieber, T.N., Eds.; Springer: Berlin, Germany, 2006; pp. 153–178. [Google Scholar]
- Yagame, T.; Orihara, T.; Selosse, M.A.; Yamato, M.; Iwase, K. Mixotrophy of Platanthera minor, an orchid associated with ectomycorrhiza forming Ceratobasidiaceae fungi. New Phytol. 2012, 193, 178–187. [Google Scholar] [CrossRef]
- Cowden, C.C.; Shefferson, R.P. Diversity of root-associated fungi of mature Habenaria radiata and Epipactis thunbergii colonizing manmade wetlands in Hiroshima Prefecture, Japan. Mycoscience 2013, 54, 327–334. [Google Scholar] [CrossRef]
- Novotna, A.; Benítez, A.; Herrera, P.; Cruz, D.; Filipczykova, D.; Suarez, J.P. High diversity of root-associated fungi isolated from three epiphytic orchids in southern Ecuador. Mycoscience 2018, 59, 24–32. [Google Scholar] [CrossRef]
- Jumpponen, A. Non-Mycorrhizal Root Endophytese Aspects on Their Ecology. In Proceedings of the 7th International Mycological Congress, Oslo, Norway, 11 August 2002. [Google Scholar]
- Otero, J.T.; Ackerman, J.D.; Bayman, P. Diversity and host specificity of endophytic Rhizoctonia-like fungi from tropical orchids. Amer. J. Bot. 2002, 89, 1852–1858. [Google Scholar] [CrossRef]
- Ma, X.; Kang, J.; Nontachaiyapoom, S.; Wen, T.; Hyde, K.D. Non-mycorrhizal endophytic fungi from orchids. Curr. Sci. 2015, 109, 72–87. [Google Scholar]
- Yuan, Z.L.; Chen, Y.C.; Yang, Y. Diverse non-mycorrhizal fungal endophytes inhabiting an epiphytic, medicinal orchid (Dendrobium nobile): Estimation and characterization. World J. Microb. Biot. 2009, 25, 295–303. [Google Scholar] [CrossRef]
- Ke, H.L.; Song, X.Q.; Tan, Z.Q.; Liu, H.X.; Luo, Y.B. Endophytic fungi diversity in root of Doritis pulcherrima (Orchidaceae). Biodivers. Sci. 2007, 15, 456–462. [Google Scholar]
- Chen, J.; Meng, Z.X.; Xing, Y.M.; Guo, S.X. Isolation and Identification of Endophytic Fungi from Five Medicinal Plants Species of Orchidaceae. Chinese J. Pharm. 2017, 52, 267–271. [Google Scholar]
- Feng, X.X.; Chen, J.J.; Liu, F.; Hu, W.Z.; Lin, F.C.; Zhang, C.L. Diversity of non-mycorrhizal endophytic fungi from five epiphytic orchids from Xishuangbanna, China. Mycosystema 2019, 38, 1876–1885. [Google Scholar]
- Tang, Y.; Wang, Z.C.; Lu, M.; Jiang, Y.Y.; Li, Y.W.; Yang, X.H. Cladosporium fungi Were the Mycorrhizal fungi of Dendrobium officinale and Bletilla striata. In Proceedings of the Annual Conference of The Chinese Horticultural Society, Qingdao, China, 18 October 2018. [Google Scholar]
- Jiang, J.; Zhang, K.; Chen, S.; Nie, Q.; Zhou, S.; Chen, Q.; Zhou, J.; Zhen, X.; Li, X.; Zhen, T.; et al. Fusarium oxysporum KB-3 from Bletilla striata: An orchid mycorrhizal fungus. Mycorrhiza 2019, 29, 531–540. [Google Scholar] [CrossRef] [PubMed]
- Hermosa, R.; Viterbo, A.; Chet, I.; Monte, E. Mini-review plant-beneficial effects of Trichoderma and of its genes. Microbiology 2012, 158, 17–25. [Google Scholar] [CrossRef]
- Xing, Y.; Li, X.; Li, L.; Guo, S.X. Studies on antagonism of Trichoderma sp. against pathogenic fungus of Dendrobium nobile Lindl. Chin. Med. Biotechnol. 2017, 1, 35–39. [Google Scholar]
- Vujanovic, V.; St-Arnaud, M.; Barabé, D.; Thibeault, G. Viability testing of orchid seed and the promotion of colouration and germination. Ann. Bot. 2000, 86, 79–86. [Google Scholar] [CrossRef]
- Guo, S.X.; Fan, L.; Cao, W.Q.; Xu, J.T.; Xiao, P.G. Mycena anoectochila sp. nov. isolated from mycorrhizal roots of Anoectochilus roxburghii from Xishuangbanna, China. Mycologia 1997, 89, 952–954. [Google Scholar] [CrossRef]
- Yokoya, K.; Zettler, L.W.; Kendon, J.P.; Bidartondo, M.I.; Stice, A.L.; Skarha, S.; Corey, L.L.; Knight, A.C.; Sarasan, V. Preliminary findings on identification of mycorrhizal fungi from diverse orchids in the Central Highlands of Madagascar. Mycorrhiza 2015, 25, 611–6235. [Google Scholar] [CrossRef]
- Chen, X.Q. Discussion on the origin and early differentiation of Orchidaceae. J. System. Evol. 1982, 20, 1–22. [Google Scholar]
- Kocyan, A.; Qiu, Y.L.; Endress, P.K.; Conti, E. A phylogenetic analysis of Apostasioideae (Orchidaceae) based on ITS, trnL-F and matK sequences. Plant Syst. Evol. 2004, 247, 203–213. [Google Scholar] [CrossRef]
- Flora of China Editorial Committee. Flora of China; Science Press and Missouri Botanical Garden Press: Beijing, China, 2009; p. 25. [Google Scholar]
- Okada, H.; Kubo, S.; Mori, Y. Pollination system of Neuwiedia veratrifolia Blume (Orchidaceae, Apostasioideae) in the Malesian wet Tropics. Acta Phytotaxon. Geobot. 1996, 47, 173–181. [Google Scholar]
- Kocyan, A.; Endress, P.K. Floral structure and development of Apostasia and Neuwiedia (Apostasioideae) and their relationships to other Orchidaceae. Int. J. Plant Sci. 2001, 162, 847–867. [Google Scholar] [CrossRef]
- Stern, W.L.; Cheadle, V.I.; Thorsch, J. Apostasiads, systematic anatomy, and the origins of Orchidaceae. Bot. J. Linn. Soc. 1993, 111, 411–455. [Google Scholar] [CrossRef]
- Chen, X.Q. Study on the Family Subfam. APOSTASIOIDEAE Rchb. from China. J. System. Evol. 1986, 24, 346–352. [Google Scholar]
- Judd, W.S.; Stern, W.L.; Cheadle, V.I. Phylogenetic position of Apostasia and Neuwiedia (Orchidaceae). Bot. J. Linn. Soc. 1993, 113, 87–94. [Google Scholar] [CrossRef]
- Larsen, K. Brief note on Neuwiedia singapureana in Thailand. Nat. Hist. Bull. Siam Soc. 1968, 22, 330–331. [Google Scholar]
- Jersakova, J.; Trávníček, P.; Kubatova, B.; Urfus, T.; Liu, Z.J.; Ponert, J.; Nargar, K.; Curn, V.; Leitch, I. Genome size variation in Orchidaceae subfamily Apostasioideae: Filling the phylogenetic gap. Bot. J. Linn. Soc. 2013, 172, 95–105. [Google Scholar] [CrossRef]
- Kristiansen, K.A.; Rasmussen, F.N.; Rasmussen, H.N. Seedlings of Neuwiedia (Orchidaceae subfamily Apostasioideae) have typical orchidaceous mycotrophic protocorms. Amer. J. Bot. 2001, 88, 956–959. [Google Scholar] [CrossRef]
- Kristiansen, K.A.; Freudenstein, J.V.; Rasmussen, F.N.; Rasmussen, H.N. Molecular identification of mycorrhizal fungi in Neuwiedia veratrifolia (Orchidaceae). Mol. Phylogenet. Evol. 2004, 33, 251–258. [Google Scholar] [CrossRef] [PubMed]
- Chen, S.; Zhou, Y.; Chen, Y.; Jia, G. fastp: An ultra-fast all-in-one FASTQ preprocessor. bioRxiv 2018. bioRxiv:274100. [Google Scholar] [CrossRef] [PubMed]
- Magoč, T.; Salzberg, S.L. FLASH: Fast length adjustment of short reads to improve genome assemblies. Bioinformatics 2011, 27, 2957–2963. [Google Scholar] [CrossRef] [PubMed]
- Caporaso, J.; Kuczynski, J.; Stombaugh, J.; Bittinger, K.; Bushman, F. QIIME allows analysis of high-throughput community sequencing data. Nat. Methods 2010, 7, 335–336. [Google Scholar] [CrossRef] [PubMed]
- Bokulich, N.A.; Subramanian, S.; Faith, J.J.; Gevers, D.; Gordon, J.I.; Knight, R.; Mills, D.A.; Caporaso, J.G. Quality-filtering vastly improves diversity estimates from Illumina amplicon sequencing. Nat. Methods 2013, 10, 57–59. [Google Scholar] [CrossRef]
- Edgar, R.C. UPARSE: Highly accurate OTU sequences from microbial amplicon reads. Nat. Methods 2013, 10, 996–998. [Google Scholar] [CrossRef]
- Conway, J.R.; Lex, A.; Gehlenborg, N. UpSetR: An R package for the visualization of intersecting sets and their properties. Bioinformatics 2017, 33, 2938–2940. [Google Scholar] [CrossRef]
- Wang, Q.; Garrity, G.M.; Tiedje, J.M.; Cole, J.R. Naive Bayesian classifier for rapid assignment of rRNA sequences into the new bacterial taxonomy. Appl. Environ. Microb. 2007, 73, 5261–5267. [Google Scholar] [CrossRef]
- DeSantis, T.Z.; Hugenholtz, P.; Larsen, N.; Rojas, M.; Brodie, E.L.; Keller, K.; Huber, T.; Dalevi, D.; Hu, P.; Andersen, G.L. Greengenes, a chimera-checked 16S rRNA gene database and workbench compatible with ARB. App. Environ. Microbiol. 2006, 72, 5069–5072. [Google Scholar] [CrossRef]
- Kolde, R.; Kolde, M.R. Package ’Pheatmap’; R Package. Available online: https://cran.r-project.org/web/packages/pheatmap/index.html (accessed on 29 November 2023).
- Toju, H.; Tanabe, A.S.; Yamamoto, S.; Sato, H. High-coverage ITS primers for the DNA-based identification of ascomycetes and basidiomycetes in environmental samples. PLoS ONE 2012, 7, e40863. [Google Scholar] [CrossRef]
- White, T.; Bruns, T.; Lee, S.; Taylor, J. Amplification and Direct Sequencing of Fungal Ribosomal RNA Genes for Phylogenetics. In PCR Protocols: A Guide to Methods and Applications; Innis, M.A., Gelfand, D.H., Sninsky, J.S., White, T.J., Eds.; Academic: San Diego, CA, USA, 1990; pp. 315–322. [Google Scholar]
- Gardes, M.; Bruns, T.D. ITS primers with enhanced specificity for basidiomycetes: Application to the identification of mycorrhizae and rusts. Mol. Ecol. 1993, 2, 113–118. [Google Scholar] [CrossRef] [PubMed]
- Xu, L.; Tian, J.N.; Wang, T.; Li, L.B. Symbiosis established between orchid and Tulasnella spp. fungi. J. Nucl. Agric. Sci. 2017, 31, 876–883. [Google Scholar]
- Zettler, L.W.; Delaney, T.W.; Sunley, J.A. Seed propagation of the epiphytic green-fly orchid, Epidendrum conopseum R. Brown, using its epiphytic fungus. Selbyana 1998, 19, 249–253. [Google Scholar]
- Newsham, K.K. A meta-analysis of plant responses to dark septate root endophytes. New Phyol. 2011, 190, 783–793. [Google Scholar] [CrossRef] [PubMed]
- Zhao, X.L.; Yang, J.Z.; Liu, S.; Chen, C.L.; Zhu, H.Y.; Cao, J.X. The colonization patterns of different fungi on roots of Cymbidium hybridum plantlets and their respective inoculation effects on growth and nutrient uptake of orchid plantlets. World J. Microb. Biot. 2014, 30, 1993–2003. [Google Scholar] [CrossRef] [PubMed]
- Zhang, F.S.; Lv, Y.L.; Zhao, Y.; Guo, S.X. Promoting role of an endophyte on the growth and contents of kinsenosides and flavonoids of Anoectochilus formosanus Hayata, a rare and threatened medicinal Orchidaceae plant. J. Zhejiang Univ.-Sci. B 2013, 14, 785–792. [Google Scholar] [CrossRef]
- Sawmya, K.; Vasudevan, T.G.; Mural, T.S. Fungal endophytes from two orchid species-pointer towards organ specificity. Czech Mycol. 2013, 65, 89–101. [Google Scholar] [CrossRef]
- Masuhara, G.; Katsuya, K. In situ and in vitro specificity between Rhizoctonia spp. and Spiranthes sinensis (Persoon) Ames var. amoena (M. Bieberstein) Hara (Orchidaceae). New Phytol. 1994, 127, 711–718. [Google Scholar] [CrossRef]
- Deepthi, A.S.; Ray, J.G. Endophytic diversity of hanging velamen roots in the epiphytic orchid Acampepraemorsa. Plant Ecol. Divers. 2019, 11, 649–661. [Google Scholar] [CrossRef]
- Singh, D.K.; Sharma, V.K.; Kumar, J.; Mishra, A.; Verma, S.K. Diversity of endophytic mycobiota of tropical tree Tectona grandis Linnf.: Spatiotemporal and tissue type effects. Sci. Rep. 2017, 7, 1–14. [Google Scholar]
- Illyés, Z.; Halász, K.; Rudnóy, S.; Ouanphanivanh, N.; Bratek, Z. Changes in the diversity of the mycorrhizal fungi of orchids as a function of the water supply of the habitat. J. Appl. Bot. Food Qual. 2009, 83, 28–36. [Google Scholar]
- Jacquemyn, H.; Duffy, K.J.; Selosse, M.A. Biogeography of Orchid mycorrhizas. In Biogeography of Mycorrhizal Symbiosis; Springer: Berlin, Germany, 2017; pp. 159–177. [Google Scholar]
- Waud, M.; Busschaert, P.; Ruyters, S.; Jacquemyn, H.; Lievens, B. Impact of primer choice on characterization of orchid mycorrhizal communities using 454 pyrosequencing. Mol. Ecol. Res. 2014, 14, 679–699. [Google Scholar] [CrossRef] [PubMed]
- Liu, S.; Liu, M.; Liao, Q.G.; Lü, F.B.; Zhao, X.L. Effects of inoculated mycorrhizal fungi and non-mycorrhizal beneficial microorganisms on plant traits, nutrient uptake and root-associated fungal community composition of the Cymbidium hybridum in greenhouse. J. Appl. Microbiol. 2021, 1, 413–424. [Google Scholar] [CrossRef] [PubMed]
- Sathiyadash, K.; Muthukumar, T.; Murugan, S.B.; Sathishkumar, R.; Pandey, R.R. In vitro symbiotic seed germination of South Indian endemic orchid Coelogyne nervosa. Mycoscience 2014, 55, 183–189. [Google Scholar] [CrossRef]
- Jin, H.; Xu, Z.X.; Chen, J.H.; Han, S.F.; Ge, S.; Luo, Y.B. Interaction between tissue-cultured seedlings of Dendrobium officinale and mycorrhizal fungus (Epulorhiza sp.) during symbiotic culture. Chin. J. Plant Ecol. 2009, 33, 433–441. [Google Scholar]
- Wang, Y.W.; Zou, H.; Dai, Y.M.; Lin, J.B. Effect of Epulorhiza sp.on root morphology of Dendrobium officinale and their symbiotic relationship. J. Trop Subtrop. Bot. 2020, 28, 124–130. [Google Scholar]
- Zhu, X.M.; Hu, H.; Li, S.Y.; Yan, N. Interaction between endophytic fungi and seedlings of two species of Paphiopedilum during symbiotic culture. Plant Divers. Resour. 2012, 34, 171–178. [Google Scholar] [CrossRef]
- Tian, F.; Liao, X.F.; Wang, L.H.; Bai, X.X.; Yang, Y.B.; Luo, Z.Q.; Yan, F.X. Isolation and identification of beneficial orchid mycorrhizal fungi in Paphiopedilum barbigerum (Orchidaceae). Plant Signal. Behav. 2022, 1, e2005882. [Google Scholar] [CrossRef]
- Li, B.; Tang, M.J.; Tang, K.; Zhao, L.F.; Guo, S.X. Screening of differentially expressed genes associated with mycorrhizal fungi in Anoectochilus roxburghii Orchidaceae. Sci. China Life Sci. 2012, 3, 218–225. [Google Scholar]
Disclaimer/Publisher’s Note: The statements, opinions and data contained in all publications are solely those of the individual author(s) and contributor(s) and not of MDPI and/or the editor(s). MDPI and/or the editor(s) disclaim responsibility for any injury to people or property resulting from any ideas, methods, instructions or products referred to in the content. |
© 2024 by the authors. Licensee MDPI, Basel, Switzerland. This article is an open access article distributed under the terms and conditions of the Creative Commons Attribution (CC BY) license (https://creativecommons.org/licenses/by/4.0/).





