Next Article in Journal
Molecular Phylogeny and Historical Biogeography of Byrsonima (Malpighiaceae) Corroborates the Mid-Miocene Origins of Neotropical Savannas
Next Article in Special Issue
Effect of UV-B Radiation on the Growth of Alien Myriophyllum aquaticum
Previous Article in Journal
Long-Term Monitoring of European Brown Hare (Lepus europaeus) Population in the Slovak Danubian Lowland
Previous Article in Special Issue
Distribution of Aquatic Macrophytes in the Littoral of Lake Bohinj (Slovenia)
 
 
Font Type:
Arial Georgia Verdana
Font Size:
Aa Aa Aa
Line Spacing:
Column Width:
Background:
Article

The Recent Environmental History, Attempted Restoration and Future Prospects of a Challenged Lobelia Pond in Northeastern Belgium

Research Institute for Nature and Forest, Havenlaan 88 Bus 73, B-1000 Brussels, Belgium
*
Author to whom correspondence should be addressed.
Diversity 2024, 16(8), 487; https://doi.org/10.3390/d16080487
Submission received: 27 June 2024 / Revised: 1 August 2024 / Accepted: 3 August 2024 / Published: 9 August 2024
(This article belongs to the Special Issue Aquatic Plant Diversity, Conservation, and Restoration)

Abstract

Softwater ponds with Lobelia dortmanna (EU habitat type 3110) represent the rarest aquatic habitat in Belgium. As in many other European countries, its unfavourable conservation status necessitates restoration according to the EU Habitats Directive, which is compromised by a range of pressures and faces increasing social–economic opposition. To explore appropriate goals and remaining obstacles for its ecological rehabilitation, we investigated the environmental history of a pond, formerly renowned for the occurrence of this habitat. We complemented monitoring data with information inferred from diatoms analysed from old samples, herbarium specimens and surface sediments, vegetation records, physical–chemical analyses and additional observations. This indicated almost circumneutral, slightly buffered and nutrient-poor conditions for the first decades of the 20th century. Deposition of atmospheric pollutants caused gradual acidification from the early 1940s, intensifying into mineral-acidic conditions by the 1970s. More recently, a period of alkalinisation and eutrophication followed despite some restoration efforts. We discuss these changes in the contexts of general setting, external pressures and internal processes. Reflecting upon the prospects for restoring the pond’s emblematic biodiversity, management implications for this and other softwater sites dealing with similar problems are discussed. A new combination in the diatom genus Iconella is proposed.

1. Introduction

Softwater lakes and ponds are among the most threatened freshwaters in a large part of Europe. Affected by land reclamation, drainage, anthropogenic acidification, eutrophication, species invasions and loss of connectivity, all exacerbated by climate change [1,2,3], the conservation status of their characteristic habitat types is often inadequate or bad [4]. Restoration usually requires abatement of pollution from atmospheric and land-use-related sources—currently a major socio-political issue in the Low Countries with (inter-)national and regional dimensions [5,6,7,8]. In northern Belgium (Flanders), the region considered in this paper, acid deposition decreased considerably, from c. 3596 acid eq·ha−1·year−1 in 2000 to c. 2201 acid eq·ha−1·year−1 in 2021, mainly because of reduced emissions of SOx [9]. This seems to have alleviated the most severe acidification pressure. However, nitrogen deposition generally remains high, in particular, because of high levels of ammonia in areas with intensive livestock farming, and is not currently decreasing [10,11]. In addition, site management often also involves internal measures, as well as ecosystem restoration on the catchment scale through changes in farming practices, land cover, soil rehabilitation and rewetting [12,13,14,15]. Impacting on multiple sectors and land ownerships, the implementation of such measures is usually difficult, complicating the achievement of restoration ambitions.
The habitat type (HT) ‘Oligotrophic waters containing very few minerals of sandy plains (Littorelletalia uniflorae—HT 3110)’, characterised by the occurrence of isoetid vegetation with water lobelia (Lobelia dortmanna), shoreweed (Littorella uniflora) and/or spiny quillwort (Isoetes echinospora) [16,17], is the rarest aquatic habitat type in Belgium requiring protection and rehabilitation under the Habitats Directive. Distribution records of the typical species [18] indicate that the habitat type was considerably more widespread in softwater ponds within heathlands in the northern part of Belgium before World War II. Its decline in the 20th century [19,20] led to an unfavourable (i.e., bad conservation status [21], with only five sites remaining today, covering a total surface area of 10 ha [22]. All of these are located in the north-eastern part of the country, the Kempen ecoregion [23] (Figure 1).
Within this ecoregion, the area north of the town of Turnhout, known as the ‘Turnhouts Vennengebied’ (Figure 1), a complex of heathland, ponds and pine plantations embedded in intensive agriculture on the water divide between the Scheldt and Meuse basins, is considered one of the main focal areas for habitat restoration in NE Belgium. Up to the 1990s, it was the last stronghold of HT 3110 at the western limit of its national range, and, consequently, ponds in this area are key to its conservation status. In particular, one of the largest ponds, the ‘Zwart Water’ (=‘Black Water’), which we consider here (Figure 2), was renowned for a large population of Lobelia dortmanna, an indicator of reference conditions and good ecological status [24], as well as several other regionally rare softwater species, including floating bur-reed (Sparganium angustifolium) and floating water-plantain (Luronium natans). Towards the end of the 20th century, the need to curb ongoing deterioration became evident, and guided by several preparatory studies [25,26,27,28], restoration efforts were stepped up throughout the entire Turnhouts Vennengebied, with the support of the LIFE program [29] and the Flemish Government. To improve hydrological, nutrient and buffering conditions, a range of measures, including land acquisition, topsoil removal and clearing of pine trees on a more extensive scale, as well as local interventions, were undertaken in the area between 2009 and 2013. Although few of these were focused on Zwart Water pond or its immediate catchment, the rehabilitation of Lobelia and conditions befitting HT 3110 was one of the more specific goals. In the Natura 2000 Special Protection Area BE2100024 ‘Fens, heaths and marshes around Turnhout—BE2100024’ [30], the Flemish government now aims to achieve 12.3 hectares of 3110 habitat [31]. With an open target of 11 hectares [32], the historical occurrence of Lobelia dortmanna earmarks Zwart Water as a priority site for restoration.
Assessment of pre-degradation conditions, principal drivers of impairment and current developments provides insight into appropriate and sustainable restoration targets, the effectiveness of restoration measures and progression of results, whilst helping to identify remaining obstacles to reducing environmental pressures [33,34,35,36]. For smaller ponds, this will usually require knowledge of limnological conditions beyond the scope of any available monitoring data. For the Zwart Water, for instance, a program to monitor the conservation status and environmental condition of habitat types in Flanders [37,38] provides a more regular and standardised delivery of ecological data only since 2014. In this case, sediment core analysis can provide an alternative [39,40], but (re-)analysis of old diatom samples and herbarium materials can also be used to obtain a chronologically precise record of the former assemblage composition and concomitant environmental conditions [41,42,43,44]. This can be particularly useful where sediments may have been disturbed by natural processes or human interference, which will be more common in shallow ponds, or where opportunities for more extensive analysis are lacking. In addition to this approach, we use results from ongoing monitoring, other purposefully collected data and supplementary information from various sources to document changes in the water chemistry, benthic diatom assemblage and vegetation of the Zwart Water since the early 20th century. In doing so we aim to frame the current state of the pond within a restoration-relevant part of its environmental history and to suggest management imperatives for habitat conservation, in particular, with regard to the near-future prospects of HT 3110.

2. Materials and Methods

2.1. Study Site

The region of Turnhout has a mild Atlantic climate with an average temperature of 19 °C in summer and 4 °C in winter [45]. The precipitation averages to c. 858 mm·year−1, concentrating mainly in July and December; south-westerly winds predominate. Topsoils mainly consist of carbonate- and nutrient-poor cover sands. Consequently, most natural habitats in the area are sensitive to acidification, as well as eutrophication [46]. Local nitrogen deposition, resulting mainly from husbandry and transboundary sources, is estimated at c. 21 kg·ha−1·year−1 [47].
The Zwart Water (5.3 ha; Figure 2), formerly known as ‘Bosven’ (‘bos’ = wood; ‘ven’ = heathland pond), is a shallow saucer-shaped moorland pond with a maximum depth of c. 1.5 m. Together with several other ponds, it is situated within a larger shallow depression in the Late Pleistocene sand cover that overlies the gently south–west to north–east sloping clay deposits of the Kempen Formation that support the phreatic groundwater body. Towards the top of this formation, the aquitard grades into irregularly shaped, more loamy and less permeable lenses at a depth of only 1 to 2 m below the surface. With soil conditions also hampering lateral water losses from the depression, these form the basis of the pond. Its topographic catchment is rather small (ca. 17 ha; Figure 2A) and largely covered by heathland on a podzolic soil. In addition to precipitation and locally infiltrating mineral-poor groundwater as its major water supply, the Zwart Water receives surface water from an adjacent roadside ditch that receives agricultural drainage, as well as some household effluent. Up to 2004, when the connection was closed, ditch water could enter the pond freely in wintertime (Figure 2B). Since then, spill-over only occurs when the discharge is very high and constrained by the weirs in the ditch, although percolation may still occur when its water level exceeds that of the pond. Presumably, the pond also connects to the phreatic groundwater, more so in winter, extending its effective catchment. Surface drainage towards the west occurs in winter at high water levels by a weir-regulated outflow (Figure 2B). At the moment, the different water fluxes are insufficiently known to allow for balance studies. Seasonal water-level fluctuations usually remain limited to a few decimetres, and the pond holds some water even in the driest summers. The current management aims to retain as much water as possible in winter, allowing the level to drop in summer.
The pond bottom consists of fine sand, approximately two-thirds of which is covered by noncohesive organic mud and ±degraded peat. Organic deposits vary in thickness, reaching up to c. 70 cm in the deepest parts, but they are lacking only in the most north-eastern part due to the winnowing action of waves and wind-induced currents. Nowadays, the occurrence of the principal isoetid, Littorella uniflora (and formerly of Lobelia), remains confined to this sandy part. On the more muddy or seasonally drying parts, softwater species associated with other Littorellion coenoses occur, such as Elatine spp., Nitella flexilis and, locally, Luronium natans (nymphaeid-vallisnerid growth form, only), Hypericum elodes, Potamogeton polygonifolius and Isolepis fluitans. Consequently, the site is also important for the conservation of a second, more species-rich habitat type of European concern, ‘Oligotrophic to mesotrophic standing waters with vegetation of the Littorelletea uniflorae and/or of the Isoëto-Nanojuncetea—HT 3130’ [17,48]. Moreover, two species listed in the annexes of the Habitats Directive [49], Luronium natans and the large white-faced darter (Leucorhinnia pectoralis), lend the pond further interest at the European level.
A detailed map from the 18th century does not indicate open water at the site, but shows a marshy depression surrounded by extensive heathland [50] (Figure 3A). Several maps dating from 1841 to 1873 clearly indicate its presence, along with several other ponds nearby (Figure 3B). By this time, a significant part of the heath had been planted with pine trees. During the 20th century, much of the heathland was reclaimed for agricultural purposes. Currently, the pond is surrounded by only a small area of wet moorland (mainly Ericion tetralicis) and dry Calluna heath, with some patches of deciduous trees and shrubs, bordered by pine plantations towards the south. Together with some other ponds, it lies within an extensive matrix of agricultural grassland and fields, with some residential development, mainly to the north along the bordering road (Figure 3C).
Figure 4 shows the timing of the main events and interventions for the site and successive dry and wet years in its recent history. After procurement by a conservation NGO, in 1987, (now Natuurpunt vzw, the current owner) Zwart Water, with its surrounding heathland, became an official nature reserve in 1990. Initially, only grazing of marginal vegetation by Galloway cattle was introduced. Up to the first years of 2000, cattle could freely access the water. Between 1990 and 1995, trees were cleared to the south of the pond to increase wind exposure and reduce evapotranspiration and local atmospheric deposition of pollutants. Water retention was increased by placing weirs and closing ditches. Between 2000 and 2004, 1.8 ha of heathland south of the pond received 1.33 103 kg·ha−1 of Dolokal® (a mixture of calcium and magnesium carbonate) up to 20 m from the pond after removal of the topsoil to restore base cation saturation [54]. Following sod-cutting, two patches to the west, one of which was close to the pond margin, were also limed. Pike (Esox lucius) and European perch (Perca fluviatilis; now the most abundant fish) were introduced in 2011 to control pumpkinseed (Lepomis gibbosus).

2.2. Water Chemistry

Data were retrieved from sample annotations (collections Van Oye and Adam and Goossens, see Table S1), publications, theses and reports [56,57,58,59,60,61], a freshwater survey database [62] and monthly water-chemistry monitoring by the Research Institute for Nature and Forest (INBO) in 2013–2014 and 2022–2024. In this paper, we limit our scope to variables particularly reflecting acidification and eutrophication status. We referred to the original sources for analysis methods concerning data preceding 2013. For analyses by INBO, three 2 L subsamples were collected at least 1 m apart from each other and ca. 30 cm below the water surface and mixed in plastic containers. Samples were cooled during transport, stored at 1–5 °C and analysed within 24 h in an ISO-17025-certified laboratory by means of ICP-AES (Optima 8300 Perkin Elmer, PerkinElmer, Inc., Waltham, MA, USA) and ion chromatography (Metrohm 930 Compact IC Flex, Metrohm Belgium nv, Kontich, Belgium) according to ISO, Belgian (NBN) or Flemish standards [63]. Field measurements of conductivity and pH were conducted with a digital precision meter (WTW Multi 3430 with WTW IDS TetraCon 925 and WTW IDS Sentix 940 electrodes, Xylem, Zaventem, Belgium). Discounting organic acids, a proxy for acid-neutralising capacity (ANC) was calculated as the charge balance of strong base cations and strong acid anions [64] (p. 62, Equation 7-3). Where possible, we agglomerated data by year, using Tukey box plots [65] for comparison between years.

2.3. Diatoms

Small sediment samples were retrieved from two plankton-net samples, dating from 1932 and 1935, in the collections of the Zoological Museum of Gent University and the RBINS, and from eleven macrophyte herbarium specimens (1933–1978) held in Botanic Garden Meise (BR) and Ghent University (GENT) (Table S1). For the latter, we chose to sample sediment clinging between the roots close to their base and not leaf material to maximise comparability to more recently collected samples and minimise seasonal differences. This also avoided damaging the plant specimens. Most of these samples, often from Lobelia, were taken in the eastern part of the pond, which is easily accessible from an adjacent road. From 1998 to 2023, surface sediment samples (ca. 2 mm) were taken with a transparent 4 cm diameter corer at c. 1 m depths and as far from the shore as could be reached in waders. Three sediment samples, approximately 2 m apart, were pooled from each site. In 2000, 2019 and 2023, the pond was sampled at two to three different locations (Figure 2B). Because of the sedimentation dynamics in shallow ponds of this size, sediment samples will represent a space- and time-averaged assemblage, to an extent varying with local conditions (sediment type, wind exposure, depth, vegetation, bioturbation, etc.), but still reflecting spatial variation within the pond [43]. The plankton net samples contained material collected from the water column, as well as sediment stirred up along the haul.
Sample treatment, slide preparation, identification and counting largely followed Denys [43,66], complemented by more recent taxonomic treatments. Exactly 500 valves were enumerated in each sample (see Table S2), allowing for the calculation of diversity metrics (S_500: taxa/500 valves, percentage dominance, Shannon entropy base 2 and Simpson index) and Bray–Curtis (B–C) similarities using vegan 2.6 [67], as well as weighted-averaged (WA) scores of indicator values for pH (R), salinity (H), nitrogen metabolism (N), saprobity (S) and trophic status (T) according to van Dam et al. [68] and diatom-inferred pH (pHWA) following Denys [66]. We excluded Nitzschia palea var. debilis from the trophic score. We determined the relative abundance of six ecological groups used to assess low-alkalinity ponds in the Netherlands [44,68,69,70] to evaluate conservation status (Table 1 and Table S2). Deviating from van Dam and Mertens [70], who listed it as a target species, Sellaphora difficilima was considered to indicate nutrient-enriched acidic conditions according to observations by the first author, whereas Nitzschia paleaeformis s.s. was also kept in this group in view of its low pH optimum. Taxa that could not yet be confidently classified in any of these categories were grouped under ‘unknown’. Figure 5, Figure 6, Figure 7, Figure 8, Figure 9, Figure 10 and Figure 11 present a selection of taxa observed in the samples for each of these groups. Data are presented as averages when multiple samples were available from the same year and plotted chronologically using the R package rioja [71]. Compositional changes were summarised by detrended correspondence analysis (DCA) with Canoco 4.5 [72] and the Bray–Curtis similarity to the oldest sample.

2.4. Macrophytes

The occurrences and abundances of macrophytes over time were tracked from herbarium records in Belgian collections (mainly BR and GENT), publications [58,60,62,73,74,75], excursion reports [76], personal communications, the Flemish floristic data repository [77] and habitat monitoring by INBO. Plant-cover estimates from sets of separate relevés were amalgamated to a general 6-point score (r <1%, 1–5%, 5–10%, 10–20%, 20–40% and >40%) for the entire pond based on original surveyor or expert judgment. Species were classified into three groups (low, medium and high) according to their general occurrence along the alkalinity/trophic gradient based mainly on Penning et al. [24], van Duuren et al. [78] and Tichý et al. [79].

3. Results

3.1. Up to the 1930s: The Baseline?

Virtually no specific information could be traced for the 19th and early 20th centuries. Water derived from several moorland ponds in the region, including Zwart Water, was used for bleaching linen from 1826 to 1901 and, reportedly, according to a single analysis c. 1880, it was particularly suited for this purpose because it lacked colour and ‘acids’ and contained very little organic matter and minerals [80,81].
The first pH readings date from the early 1930s. Sample annotations by Adam & Goosssens and Van Oye suggest a distinctly acidic pH of 5.0–5.3 for this period (Table S1), whereas Van Oye and Cornil [56] mention a considerably higher pH of 7.6 for 1933. The notes accompanying the samples collected by Adam and Goosssens, however, point out that the pH of 5 from September 1935 might well be inexact due to the use of over-aged indicator fluid. Notably, the pH data of Adam and Goosssens and Van Oye and Cornil [56] also deviate correspondingly for the large pond east of Zwart Water (respectively, pH 5–5.5 in 1935 and 6.3 in 1933), suggesting a methodological difference between their results. From the 1930s on, herbarium exsiccata testify to the presence of L. dortmanna, Hypericum elodes and Juncus bulbosus (Figure 12). These also allow for the documentation of the diatom community at this time. Brachysira microcephala s.s. [82] (Figure 5G) and Achnanthidium minutissimum (Figure 9A–C) are the most abundant taxa in the two oldest samples (Figure 13). They show very similar assemblages (Figure 14 and Figure 15), whereas the sample from 1935 differs by a slightly lower diversity and dominance of Eunotia botuliformis (Figure 7B–N), a species which occurred only sporadically before. Consequently, the B–C similarity to the oldest sample drops to 0.2 (Figure 14). The accompanying taxa mainly include Eunotia rhomboidea (Figure 7V–X), Psammothidium altaicum (Figure 6AA), P. scoticum (Figure 6AB–AC) and Tabellaria flocculosa, as well as some Oxyneis binalis var. elliptica (Figure 6T). In agreement with the typical habitat of Lobelia, the assemblage includes a substantial epipsammic component of small-celled sessile species (i.e., Psammothidium and Oxyneis, as well as the more versatile pioneer Achnanthidium minutissimum and smaller Eunotia) that typically colonises frequently shifting sand grains. Impairment-sensitive softwater species, so-called target species, and trivial taxa from acidic water are the most abundant ecological groups (Figure 16) in this assemblage, pointing to mineral and nutrient-poor water with pH slightly below pH 7 initially and possibly already a somewhat lower pH by 1935 (Figure 17). Taxa suggesting eutrophication, i.e., Nitzschia gracilis (Figure 9P–Q) and, presumably, also N. palea var. debilis (Figure 11AB–AE) [83,84,85], the latter classified as ‘unknown’) are poorly represented (c. 3%).
With organic deposits remaining limited to the deepest parts in the 1920s and 1930s, Lobelia was widespread, occurring most abundantly in the northern part (pers. commun. A. De Bont). According to De Bont & De Bont [86], several fish species (i.e., northern pike, European perch, tench (Tinca tinca) and, presumably, ninespine stickleback (Pungitius pungitius) but no carp (Cyprinus carpio) or roach (Rutilus rutilus)) were present in 1935 (Figure 4). Sticklebacks would have disappeared around 1938.

3.2. From the 1940s to the 1950s: Mild Acidification

Presumably, in the late 1930s, the diatom assemblage started to change again, as Eunotia incisa (Figure 7R) is the main species by 1943, replacing Achnanthidium minutissimum almost completely (Figure 13). Eunotia botuliformis occurred with only modest and decreasing abundance, whereas Brachysira microcephala retained a notable percentage share. Peronia fibula (Figure 6U–W) spiked at 19% and Eunotia mucophila (Figure 7T–U) attains its highest abundance (7%), both implying a more acidic and Sphagnum-rich environment than the earlier samples. The late 1940s and 1950s show a further increase in E. incisa, although somewhat interrupted around c. 1955 by an intermittent revival of Brachysira microcephala accompanied by Eunotia implicata (Figure 7O–Q), E. sphagnicola (Figure 7Y–AA), Frustulia crassinervia (Figure 7AB), F. saxonica (Figure 7AC) and Tabellaria quadriseptata (Figure 7AH), all common acidic water species.
More notable is the increase in Nitzschia gracilis, N. paleaeformis (Figure 8S–V) and Surirella amphioxys (Figure 9AB–AC), which are associated with nutrient enrichment. Consequently, either the acidic–eutrophic or the eutraphentic group reached c. 10%, suggesting some trophic disturbance during this period (Figure 16). Also, in the mid-1950s, Eunotia exigua (Figure 8B–G) achieved a modest 2–3%. Taxonomic turn-over is accompanied by increasing values for species richness and the Shannon and Simpson indices towards the mid-1950s, followed by their marked decline in 1959 due to the strong dominance of Eunotia incisa (Figure 14). The B–C similarity to the oldest sample was now almost zero. The R index and pHWA indicate increasingly more acidic conditions, with pH decreasing to nearly 6 (Figure 17). A considerably larger number of macrophytes were recorded during this time slice, representing a well-developed Littorellion, including Lobelia, as well as, among others, Deschampsia setacea, Luronium natans and Isolepis fluitans (Figure 12).

3.3. The 1960s and 1970s: Mineral Acidity

After a sample hiatus spanning the entire 1960s, during which the fish stock reportedly declined [86], a very different picture emerges. With the acidification indicator Eunotia exigua acquiring pole position in the samples from 1970 to 1977, the diatom diversity collapsed (Figure 13 and Figure 14). Frustulia saxonica, N. gracilis and N. paleaeformis were the only other taxa reaching a modest percentage in this novel assemblage. This caused the samples to shift much more positively along the second DCA axis (Figure 15), identifying it as primarily pH-related. The indicator values of E. exigua weigh heavily upon the assemblage-weighted averaged values for H, N and T, causing them to rise (Figure 17). However, with acidity as an overruling driver for the abundance of E. exigua, this should not be considered very meaningful. Only the lower values for R and diatom-inferred pH, dropping to a distinctly more acidic level (≈pHWA 5), and the increase in S to values above 2 due to Nitzschia paleaeformis truly warrant consideration. Balancing the expansion of E. exigua and the taxa indicating nutrient-enriched acidic conditions, trivial acidic water species, as well as the target taxa, retreated (Figure 16). Notably, the percentage of E. exigua culminates in the Isolepis fluitans sample from May 1977. Although this sample possibly originates from a very small basin draining water from Zwart Water towards the ditch along the main road (Figure 2B), rather than from the main body of the pond, we included it because it shows an extreme dominance of E. exigua. At this time, immediately following the very dry summer of 1976 (Figure 4), water levels were rising again and the flooding of formerly exposed sulphide-rich soils led to extreme sulphate levels and acidity in the water, conditions typically fostering E. exigua. This process will have taken place in the small drainage pond, as well as in Zwart Water itself, causing E. exigua to increase in both.
The macrophyte surveys start to become more detailed in the 1970s, allowing to assess general species abundances from then on (Figure 18). Agrostis spp., Eleocharis palustris, Sphagnum cuspidatum, S. denticulatum and Warnstorfia fluitans are recorded for the first time. Eleocharis acicularis occurred briefly. Although now restricted to the northeastern and south-eastern margins (Vanderhaeghe 2000), Lobelia was still rather abundant in 1973, and so were Littorella and Sparganium angustifolium, although the latter possibly not flowering and reduced to fewer than twenty plants before 1978 [74]. In the early 1970s, Sphagnum and Juncus bulbosus occurred profusely along pond margins, the latter increasing dramatically immediately after 1976 in response to seasonal drought [60].
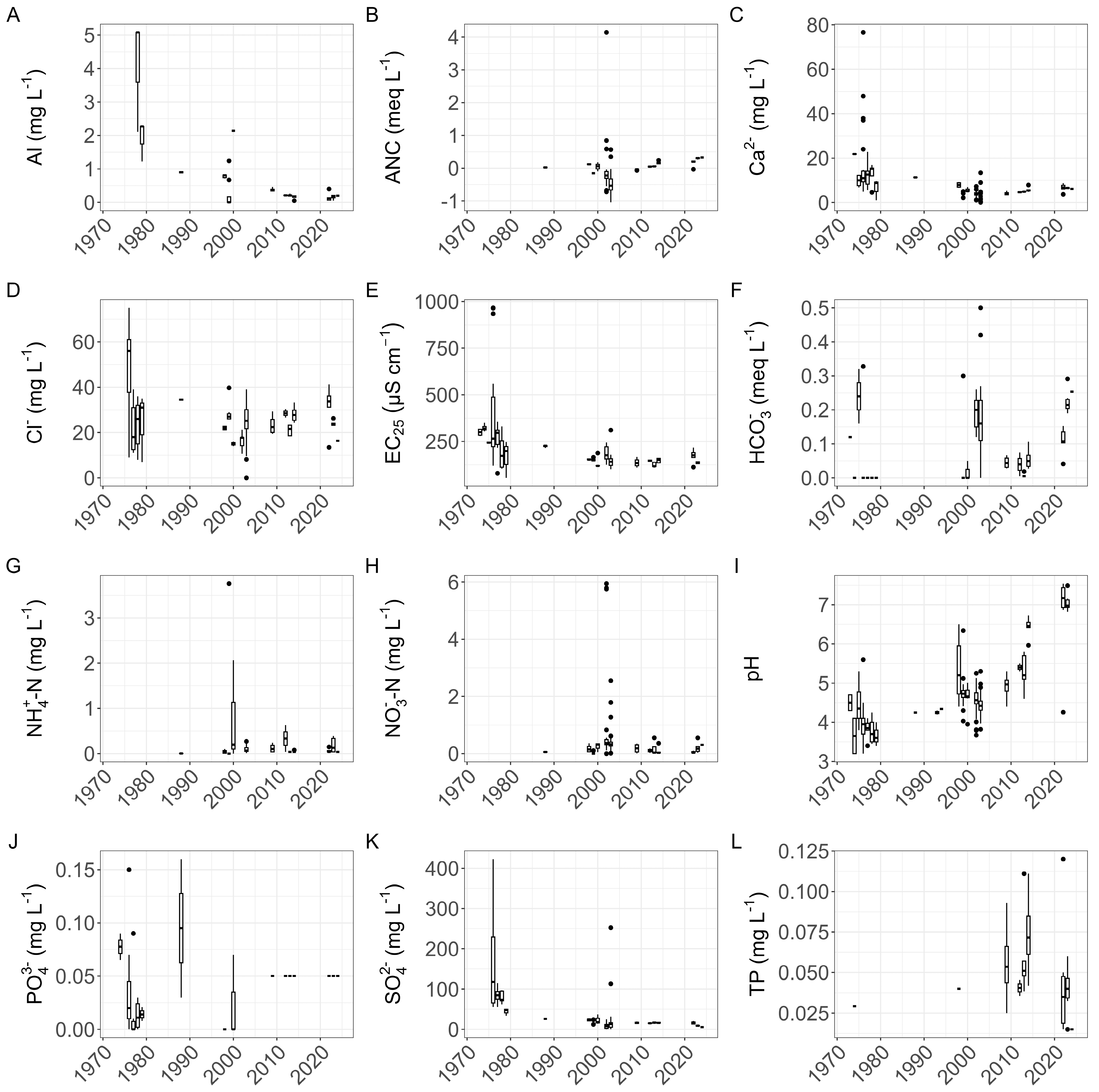
Intense acidification is also evident from measured water chemistry (Figure 19). In 1973, the pH varied from 4.3 to 4.7, dropping to values of usually less than 4 and even as low as 3.2 from 1974 to 1977. Agreeing with such a low pH, bicarbonate, although still measured occasionally in 1973 and 1975 (0.12–0.33 meq·L−1), was fully depleted in the summer of 1974. Some dissolved phosphorus was present in the water column (c. 25 µg·L−1). The drought event of 1976 caused sulphate concentrations to exceed 70 mg·L−1 and, occasionally, even to soar as high as 423 mg·L−1; calcium also fluctuated strongly (up to almost 80 mg·L−1). High chloride levels for this year (mostly 40–60 mg·L−1) reflect evaporative concentration. Coming from rather stable values of close to 300 µS·cm−1 in the preceding years, EC also presented strong variation during 1976. In view of these physiologically stressful changes, it is no surprise that the last observation of perch, one of the most acidification-tolerant fish [87], dates from 1977 [86].

3.4. Towards the 1980s: Mild Eutrophication

The 1978 sample from Zwart Water itself contains much less E. exigua and a considerably larger proportion of eutraphentic diatoms than ever before. Nitzschia paleaeformis (27%), N. gracilis (11.6%) and Eunotia incisa (15.4%) are the most abundant species (Figure 13), and common taxa, as well as eutrophication indicators, from acidic water are the best represented ecological groups (Figure 16). Target taxa remain scarce. In the DCA, sample positions shift to the right (Figure 15A). All diversity metrics increase (Figure 14), and, according to the diatom assemblage, the pH was apparently restored to its 1950s level of c. 6 in 1978 (Figure 17). Assemblage change happened so abruptly that no time-averaging seems to be involved. Unfortunately, the lack of diatom samples and other data does not allow for establishing whether this dramatic change persisted in subsequent years or represented only temporary or spatially confined conditions. Notably, the population of Sparganium angustifolium boomed in 1978, with A. Vermeyen counting as many as c. 48,000 individuals on ‘mud banks’ in 1978 (Table S1) [74]. The physical–chemical data tailing the 1976 dry spell disagree markedly with the biological record, in particular, by the measured pH dropping below 4.0. Furthermore, the oxidative event appears to have lowered phosphate concentrations significantly for a few years. Sulphate declined by more than 50% and calcium, as well as chloride, decreased, reducing EC to less than 250 µS·cm−1 by 1979.
In the early 1980s, Lobelia retreated to a small area in the south-east (Vanderhaeghe 2000). Lemnids and some other nitrophilous shoreline species (Bidens spp. and Persicaria hydropiper) were recorded for the first time (Figure 12). Together with the increase in Juncus effusus towards the end of the decade (Figure 18), they corroborate the tendency towards eutrophication indicated by the diatom record. The elodeid Callitriche hamulata appeared as well, suggesting that aquatic CO2 concentrations exceeded c. 45 µmol·L−1 [88]. A measured pH of only slightly above 4 (Figure 19) and the still prominent abundances of Juncus bulbosus and Sphagnum denticulatum around 1990, nevertheless, indicate the return of quite acidic conditions in the late 1980s and early 1990s. Unfortunately, there are no synchronous diatom data and pH was measured only occasionally in these years, but all six readings from 1988 to 1994 are very close to pH 4.3, and with 11 EC values varying only from 215 to 232 µS·cm−1 in 1988, there is no reason to doubt their correctness. Although measured only twice in 1988, sulphate concentrations were considerably lower on both occasions (c. 30 mg·L−1) than ten years earlier, but calcium levels remained at c. 10 mg·L−1, whereas median phosphate now reached almost 100 µg·L−1.

3.5. The Last Twenty Years: Alkalinisation and Further Nutrient Enrichment

Towards the turn of the century, diatom dominance declined (Figure 14), as hardly any Eunotia exigua was left (Figure 13). Sellaphora difficilima (up to c. 50%; Figure 8AA–AB) and Nitzschia paleaeformis became the most abundant diatoms. The following three target species returned with low abundance: Oxyneis binalis f. elliptica, Neidium densestriatum (Figure 6K) and Tabellaria flocculosa. Consequently, the acidic-eutrophic group became the most important component (c. 60%), with the acidic-trivial and target groups levelling out at c. 15% each (Figure 16). The B–C similarity remained very low (Figure 14). All samples score strongly positive on the first DCA axis, which, according to the associated taxa, reflects further eutrophication (Figure 15). Juncus bulbosus and Warnstorfia fluitans, filling a large part of the water column in places, were the most prominent macrophytes. With only a few plants remaining in the best years, Lobelia was on the way out (Figure 18); a last revival (52 plants) is noted in 2007 [75]. Although the R index and pHWA (≈5.6–5.8) were stable in these years (Figure 17), the measured pH varied strongly and frequently exceeded 5 in 1997, declining again towards more stable readings near 4.7 in the following years (Figure 19). Remaining low in 1998, conspicuously high ammonium concentrations, up to 3.75 mg·L−1, developed in 1999 and 2000. Bicarbonate levels suddenly increased markedly to c. 0.2 meq·L−1 in 2002–2003. The ANC dropped from almost zero in 2000 to negative median values in the following years whilst showing momentary highs at the same time. Sulphate levels returned to normal (c. 10 mg·L−1), except for some extreme values in July (252 mg·L−1) and September 2003 (113 mg·L−1), again coinciding with drought. Phosphate levels, however, appear to have dropped.
The measured pH increased steadily from 4.9 ± 0.4 in 2009 to 6.4 ± 0.3 in 2014, but HCO3 remained unchanged at c. 0.05 meq·L−1. The EC also showed limited variation, remaining close to 140 µS·cm−1. The median total phosphorus concentrations were at c. 50 µg·L−1 near the end of the first decennium, sometimes rising to almost twice this value, and increasing to almost 75 µg·L−1 by 2014. Nitrogen compounds, however, usually remained quite low and sulphate decreased even a bit further, never exceeding 20 mg·L−1. According well with a more circumneutral pH regime and the presence of more nutrient-rich organic mud [89,90,91], a macrophyte survey in 2013 revealed several new arrivals: Elatine hexandra, Eleocharis palustris, Pilularia globulifera, Potamogeton berchtoldii, P. pusillus and the charophytes Nitella flexilis and N. mucronata (Figure 12). This brought the number of recorded macrophytes to a maximum. Lobelia was no longer present. Shortly hereafter, Sphagnum and Warnstorfia fluitans declined but filamentous algae, lemnids, Elatine hexandra and Persicaria hydropiper increased, adding weight to the group associated with higher alkalinity and nutrient status (Figure 18).
By 2019, diatom diversity increased quite strongly (Figure 14). Achnanthidium minutissimum made a comeback in the surface sediment at all three sampled locations, reaching c. 10% on average (Figure 13). Eunotia rhomboidea, Nitzschia microcephala (Figure 10J–U), N. palea (Figure 10V–X) and its var. debilis markedly increased as well. More modest, but not insignificant either, is some accrual of, among others, Fragilaria radians (Figure 8M–R), Navicula cryptocephala, N. rhynchocephala (Figure 9M–N), Nitzschia recta (Figure 9S–W), Placoneis anglophila, Psammothidium altaicum, P. helveticum (Figure 8X–Z), P. scoticum and Surirella amphioxys. The psammophilous genus Psammothidium reached c. 20% at the sandy most eastern sampling point. All this occurred mainly at the expense of Sellaphora difficillima (now only c. 10%), Frustulia saxonica, Nitzschia paleaeformis and Tabellaria flocculosa (all < 2%). Although pHWA remained unchanged, all averaged indicator values, R included, increased markedly (Figure 17). Overall, the acidic-eutrophic group gave way to taxa from more alkaline and eutrophic, even organically polluted conditions and the eurytopic Achnanthidium minutissimum (Figure 16). The modest increase in target species observed near the turn of the millennium seems curbed.
The percentage dominance increased again for the most recent diatom samples, and their closer spacing in the DCA sample plot suggests spatial heterogeneity may have decreased somewhat (Figure 15). By 2023, Achnanthidium minutissimum more than doubled its relative abundance (22.9%), but now it is seconded closely by A. tepidaricola (Figure 11H–M; Figure 13). Although only a few valves of this species occurred in one of the samples from 2019, it reached 19% on average just a few years later. So far, A. tepidaricola is known only from its type locality, a newly constructed basin and surrounding wet wall in a greenhouse of the Botanical Garden Meise, some 65 km to the south-west, where it was suspected to be introduced with tropical plants [92]. Its origin and ecology remain obscure, and we cannot assign it to a particular ecological group, yet. Although it may have been included within A. minutissimum s.l. or mistaken for other more capitate Achnanthidium species in the past, it definitely does not belong to the typical softwater flora of the region. We observed several large aggregates of this species in slides of peroxide-cleaned material (Figure 11M), suggesting that it profusely secretes refractory mucilage. Growth within mucilage provides adhesion, a specific micro-environment (nutrients and minerals) and protects against stress factors, such as dehydration, varying osmotic pressure, harmful chemicals and grazing. If A. tepidaricola produces significantly more mucilage than the individually growing pedunculate or adnate cells of A. minutissimum [93], its development not only implies lower taxonomic similarity between the contemporary diatom assemblage and that of the early 1930s but also reduced functional agreement. Furthermore, Fragilaria radians increased slightly relative to 2019, whereas Eunotia rhomboidea, Nitzschia palea, N. palea var. debilis and Sellaphora difficilima receded. For the first time, the semi-planktonic Fragilaria tenera (Figure 9K–L) appeared in the counts. Overall, the proportion of Psammothidium remained unchanged at c. 9%, with P. altaicum replacing P. scoticum at the eastern sample location. All ecological groups, except those including the aforementioned Achnanthidium species, decreased slightly. Diatom-inferred pH increased very slightly to c. 6.8, but the weighted indicator scores for nutrients, pH and salinity were higher than ever before (Figure 17). Although the B–C similarity was slightly higher than in 2019, it is still quite low (27 to 37%; Figure 14).
The regionally rare macrophyte Elatine hydropiper and amphibious alien Crassula helmsii are recent additions (Figure 12). Lemnids, Sphagnum cuspidatum, Callitriche hamulata, Sparganium angustifolium and Warnstorfia seem to be lost, but, except for E. hydropiper, the abundances of most other species have not changed markedly (Figure 18). The measured pH now remains close to neutrality, sometimes reaching up to 7.5 (Figure 19). Accordingly, there is always some bicarbonate present (0.04–0.15 meq·L−1). The ANC is slightly positive, but the EC, calcium and sulphate concentrations have not changed significantly, whilst ammonium and nitrate-nitrogen appear to have decreased even a bit further. Centring at about 35 µg·L−1, TP has dropped by c. 50%, although occasional highs—in November 2022, up to c. 120 µg·L−1—still occur. Phosphate always remains below its measurement threshold. Median chloride reached c. 35 mg·L−1 in 2022 then dropped again to c. 22 mg·L−1, still approximately ten-fold its concentration in precipitation.

3.6. Taxonomic Note

Following the reintroduction of Iconella Jurilj by Ruck et al. [94], a new combination is required for one of the taxa observed in the sample from 1932 (Figure 6A), as follows:
  • Iconella densestriata (Hust.) L.Denys, comb. nov.;
  • Basionym: Stenopterobia intermedia Lewis forma densestriata Hustedt, In A. Schmidt 1912, Atlas der Diatomaceenkunde, pl. 284, Figure 13. [95];
  • Synonym: Stenopterobia densestriata (Hust.) Krammer. In Lange-Bertalot & Krammer; Bibl. Diatomol. 1987, 15, pl. 58, Figure 5. [96];
  • Registration: http://phycobank.org/104829 (accessed on 14 June 2024).

4. Discussion

4.1. Environmental Change and Biodiversity

Similar to neighbouring ponds, the Zwart Water pond presumably originated from peat extraction, which, in this case, was incomplete. Despite its epithet ‘Zwart’ (=black) and its situation in a large heathland complex, there are no indications for acidic-humic (i.e., dystrophic) conditions during its documented history, as was the case with many precipitation-fed moorland ponds elsewhere in the Kempen region. Neither written sources, the use of its water for linen bleaching nor the fish population or diatom assemblage suggest dystrophy. Probably, the present name of the pond, which only came into use later-on in the 20th century, when visitors became more frequent, refers to its visual appearance due to a water bottom that was still partly covered with peat. Small clumps of strongly humified blackened organic material in the sediment [58,60] may bear witness to this aspect. Diatoms that often dominate in dystrophic conditions, such as Eunotia fennica (Figure 5AI–AJ), E. mucophila, E. sphagnicola, Frustulia spp., Kobayasiella spp. (Figure 6E–I) and Pinnularia subcapitata (Figure 7AE) (e.g., [97,98]), were only present in small amounts, presumably reflecting the occurrence of a more ombrotrophic bog along the pond margins. Instead, as also observed in other more minerotrophic softwater bodies prior to their acidification [42,99], Brachysira microcephala and Achnanthidium minutissimum predominated in the two oldest samples. Accompanying taxa, such as Encyonema perpusillum (Figure 5S–Y), Encyonopsis falaisensis (Figure 5AA–AE), Eunotia botuliformis and Psammothidium spp., also disaccord with humic or ombrotrophic water.
As diatom-inferred pH depends strongly on the pH optima of the most abundant taxa in a sample, and Brachysira microcephala, as well as Achnanthidium minutissimum, have known some taxonomic confusion, this could potentially bias our ecological inferences, e.g., by over- or underestimating the pHWA. For example, Van de Vijver et al. [82] consider B. microcephala to be an acidic-water species, referring to a pH optimum of 5.6 ± 0.8 derived by Siver & Hamilton [100], in contrast to a pH optimum of 6.6 ± 0.7 for B. neoexilis, reported by the same authors. Both were included in B. microcephala s.l. by Denys [66]. However, B. neoexilis was quite rare in the data used to derive the pH optimum for B. microcephala s.l. in Flanders (i.e., 6.7 ± 0.8) and we, therefore, consider an optimum closer to neutrality appropriate for B. microcephala s.s as well. Notably, Kennedy & Allot [101] also report an almost identical optimum (pH 6.6 ± 0.5) for lanceolate B. microcephala s.l. in Ireland, which corresponds to B. microcephala s.s., Achnanthidium minutissimum s.s., for which we used an optimum pH of 7.6 ± 0.7, is part of an even larger complex of taxa, including some which have only recently been described. Some valves of these taxa may be extremely difficult or impossible to distinguish from those of A. minutissimum s.s., particularly at the lower end of their size range or when viewed in girdle view. As similar Achnanthidium species occurred alongside A. minutissimum s.s. (A. nanum, A. peetersianum, A. saprophilum and A. sieminskae; Figure 5B–E, Figure 10E and Figure 11D–G), its relative abundance might have been overestimated. However, although less evident with regard to trophic status or pollution tolerance [102], most look-alikes of A. minutissimum s.s. also appear to centre in circumneutral to slightly alkaline conditions. Considering also their low abundance in Zwart Water, we remain confident that our pH inference is not very discordant.
Overall, we characterise Zwart Water as a slightly acidic to almost circumneutral (pHWA c. 6.5), slightly bicarbonate-buffered and rather nutrient-poor pond in the early years of the 1930s. The question is whether this condition was natural or anthropogenic. Changes in catchment land use, as well as a variety of historical activities, have been implicated in influencing the pH and alkalinity of softwater ponds in the Low Countries. Linen bleaching had ceased more than two decades earlier and did not take place within the pond. It is therefore unlikely to have affected its water quality. Reclamation of pastures and fields on wet heathland soils involved the use of carbonate-rich fertilisers, as well as drainage. Heathland ponds receiving water from farmland became more alkaline and nutrient rich [39,103]. Near Zwart Water, conversion of heath into agricultural use began around 1930 with the development of a small pasture north of the pond and a larger one to the south-west [104,105]. However, artificial fertiliser was expensive, which initially limited its application to arable land and small quantities in this region [106], making a very significant contribution to alkalinity from agricultural land use less likely. Liming and fertilisation were also commonly used to enable fish farming in certain larger ponds, but this type of exploitation would not have passed into oblivion. Also, Zwart Water was not adapted to facilitate fish harvesting, and popular species for stocking, such as carp, were apparently lacking. Other activities that might have caused surplus buffering, such as duck feeding, retting or sheep washing [40], were also not reported. Although the diatom data suggest a limited degree of trophic disturbance, such uses, if significant, would probably have caused more significant eutrophication if important. For Zwart Water, the presence of some carbonate in the local subsoil and, to a lesser extent, bicarbonate supplied by groundwater are more likely explanations for the absence of truly acidic, ombrotrophic conditions. Significantly, two larger adjacent ponds showed fairly similar diatom assemblages in 1935 [27,107], whereas the dominance of Eunotia mucophila indicates dystrophy for two much smaller and shallower ponds in the surrounding heathland [27]. This indicates that the deepening of ponds by the removal of accumulated peat also altered their hydrochemistry. Nevertheless, the pH regime and level of bicarbonate buffering of Zwart Water prior to the oldest diatom samples remain somewhat uncertain, and without further data, it cannot be fully ascertained that our environmental record includes a relatively unaffected baseline for its current hydromorphology. At least some human influence is likely, given that most heathland was extensively used, e.g., for herding and sod or turf cutting, or burnt.
Many circumneutral softwater lakes in Europe were sufficiently buffered to resist acidification [99], but this was evidently not the case here. The onset of acidification in the mid-1930s shows that bicarbonate buffering, presumably mainly provided by the loam underlying the pond, decreased. This led to some rather erratic changes in the diatom assemblage, with moderately acidic conditions following in the late 1950s. Concurrent with agricultural intensification in the surroundings, trophic disturbance also became more notable. Whilst the dominant taxa in the diatom assemblage changed markedly, in line with the chemical character of the pond, the overall representation of pressure-sensitive taxa was less affected. Available data do not allow us to determine whether significant vegetation changes occurred at this time, but isoetids and species associated with European habitat type 3110 or Littorellion communities in general also remained well represented. Without further hindsight, the more acidic condition of the pond at this time might not have been perceived as resulting from moderate impairment.
A further decrease in pH occurred in the 1960s, when acid deposition began to climb towards its maximum [108]. This led to mineral-acid conditions and predominance of the acid- and metal-tolerant diatom Eunotia exigua [83,97,109,110] by 1970, with the expansion of macrophytes such as Agrostis canina, Juncus bulbosus, Sphagnum cuspidatum, S. denticulatum and Warnstorfia fluitans, reflecting CO2 dominance in the water phase and high ammonium/nitrate ratios due to reduced nitrification at very low pH [111,112,113,114]. By 1974, the median pH had fallen below four. Water chemistry during this mineral-acidic phase was previously discussed by Vangenechten et al. [115], who pointed out that the calcium content was exceptionally high for such a low pH. In other parts of the Kempen region, the dominance of Eunotia exigua developed several decades earlier than in Zwart Water [116], demonstrating the influence of the local soil carbonate content. As a result of extreme acidity, the microbial decomposition of organic matter decreased and sulphide-rich organic sludge accumulated in a larger part of the pond. Caljon [59], as confirmed by other observers [pers. commun. G. De Blust], noted frequent swimming during this period and considered this to be a cause of eutrophication. The increased representation of indicative Nitzschia species in the diatom record also reflects nutrient enrichment during the 1970s. However, the presence of dissolved P in the water column rather suggests that eutrophication may have resulted from phosphate diffusion following iron-sulphide formation [117]. This would have been facilitated if the availability of iron and the formation of insoluble ferric phosphate compounds decreased. Intensification and upscaling of agriculture in the 1960s and 70s implied stronger drainage of agricultural land. This lowered the groundwater table [25] and the oxidation-reduction zone in the soil, retaining more iron in its oxidised, less mobile state. In addition, increased loading of groundwater with sulphate and nitrate intensified the transformation of Fe2+ to Fe3+ [118], further reducing the iron supply [28]. More likely, soil perturbation by swimmers, possibly also causing the occasional bicarbonate pulses in the water layer, promoted suitable substrate conditions for the establishment of isoetids up to the early eighties, when recreation was banned.
After exposure to the air during the drought of 1976, large amounts of sulphate were released from the sediment into the water [119]. Eunotia exigua retreated very abruptly, more rapidly than in some Dutch ponds [44,120], and the pHWA increased to c. 6.0 from one year to the next as the pond refilled. According to the diatom assemblage, eutrophication also became more pronounced. In contrast, no recovery of the measured pH occurred, which decreased even further to below 4.0. Thus, it appears that pH and nutrient conditions differed between the diatom microhabitat and the water column. Considering the pH tolerance of the taxa involved in its calculation, the diatom-inferred pH may have been slightly overestimated, but, significantly, the vegetation also responded with a rather sudden and strong development of Sparganium angustifolium, a species reacting positively to an increase in alkalinity [121,122]. As there was no liming at this time, this requires an alternative explanation. The export of large amounts of sulphate is less likely to have occurred immediately, as 1981 was the first really wet year to follow. Presumably, the reason for the discrepancy between the diatom-inferred and measured pH following 1976 lies with intensive sulphate reduction in the organic sediments. This produced alkalinity which stimulated the microbial breakdown of organic matter and the release of nutrients [117], particularly ammonium [120,123]. Macrophytes and benthic diatoms would have been susceptible to the chemical changes in the substrate pore water and at the soil–water interface resulting from this process, but diffusing alkalinity was rapidly consumed and diluted in the water column. Using enclosures, Bellemakers et al. [124] observed a much lower increase in aquatic pH following marl addition on a mineral than on an organic substrate, demonstrating the importance of substrate composition. Sphagnum growth would also have affected local pH [125,126]. Therefore, it may have mattered as well where the pH was measured. Comparing readings from 1973 to 1975, Vanderhaeghe [60] observed a difference of c. 0.5 pH units between the northern and the southern parts of the pond. In addition, the spatial heterogeneity in environmental conditions may have increased the dissimilarity in diatom compositions between 1978 and preceding years. Whilst sulphate loading remained excessive in the first years following the drought, it improved considerably by the late 1980s due to reduction processes and export in wet years, such as 1981 and 1988. Moorland ponds that dry out more extensively lose sulphate more quickly than ponds with steep banks [127], and the recovery rate of Zwart Water also appeared to be rather high in this respect. After 1976, phosphate initially decreased, possibly due to precipitation with aluminium [128,129], which reached extremely high concentrations (5.1 mg·L−1 in October 1978) [57], but then increased again to even higher levels than before. In addition to internal eutrophication and anecdotal incidents, such as cleaning of farming tanks, agricultural drainage water entering the pond from the roadside ditch contributed to further nutrient loading during the 1980s.
Towards the end of the millennium, the aquatic pH gently started to rise towards values close to 5.0, with benthic diatoms again signalling a slightly higher pH. Despite lower phosphate concentrations than before, they also suggest that nutrient enrichment continued. Again, differences between the sediment/water interface and the water column may be involved. At least in part, trophic conditions in shallow water were influenced by cattle introduced to graze the heathland. Wading into the water and heavily trampling part of the bank, they added nutrients and intensified nutrient release from organic deposits. Notably, the highest abundance of Nitzschia paleaeformis coincided with the location where this occurred. Cattle activity may also have caused the high ammonium concentrations observed in 2000, at a time when ammonium was already decreasing strongly in Dutch moorland ponds [127], but the peak may also be related to the removal of topsoil near the pond at that time and the consequent leaching of ammonium [130,131,132]. Reflecting the liming that followed shortly hereafter, a notable increase in bicarbonate and, less markedly, nitrate occurred, whilst aquatic pH values remained unaffected between 4 and 5. Unfortunately, the lack of data prevents us from documenting the immediate effects of this measure on the diatom assemblage. Typically, liming promotes Achnanthidium minutissimum, especially when applied directly to the water [133,134,135]. In this case, only a low dose of Dolokal® was used in the catchment. As the aquatic pH remained acidic and the alkalinity below 0.2 meq·L−1, we assume that the effect remained limited. However, the management measures apparently promoted the proliferation of Warnstorfia and, perhaps, also contributed to the short-lived increase in Lobelia germination a few years later. As a conservative ion, chloride depends on the levels of precipitation and groundwater, where it is influenced by, for example, agricultural drainage [136], road salt and sewage. Its variation between 1997 and 2003, with lower values from 2000 to 2002, agrees well with the succession of dry and wet years in this period, indicating that it mainly follows diluting events. After 2012, it showed another high in 2022, also an extremely dry year.
Whilst concentrations of nitrogen compounds generally remained low over the last two decades, this was not the case for total phosphorus. At least from 2009 onwards, levels were considerably higher than appropriate for moorland ponds. At their peak in 2014, the median TP concentrations of c. 70 µg·L−1 indicate distinctly eutrophic conditions, although other chemical and physical condition variables (pH, alkalinity, conductivity, nitrate, ammonium, sulphate, etc.) progressed towards less unsuitable values for softwater ponds and their characteristic habitat types (e.g., [137,138,139,140,141,142]). It is unclear whether the preceding topsoil removal and catchment liming may have contributed to an increase in phosphorus, as inputs from other sources also occurred, not in the least by waterfowl. Volunteer counts during the winter half-year show that the numbers of resident (Canada goose, Branta canadensis; greylag goose, Anser anser) and feral geese (Anser anser domesticus) have increased gradually since c. 2011, with the numbers of migratory birds, mainly bean goose (Anser serrirostris) and white-fronted goose (Anser albifrons), increasing sharply since 2015 [143,144]. Both food availability (maize and forage grass cultivation) and management focused on meadow birds on nearby land, combined with lack of disturbance within the reserve, account for the rising bird numbers. Preliminary estimates using the Waterbirds 1.0 module [145,146] suggest that birds contributed 3.9 to 5.5 kg·ha−1·year−1 of nitrogen and 3.2 to 4.4 kg·ha−1·year−1 of phosphorus to the pond in 2022. This is likely to be an underestimate due to unsystematic data collection. It is only since 2022 that median phosphorus concentrations returned to c. 30 µg·L−1, which is closer to what would be maximally acceptable for similar water bodies. However, the intermittent occurrence of much higher concentrations points to persisting trophic instability and continued monitoring is required for further evaluation. In addition, pH values have risen above neutrality, suggesting increased primary productivity. The higher pH and bicarbonate levels allow for the stronger decomposition of organic matter and accelerated nutrient cycling. Although still limited, this has already enhanced the development of macrophytes that benefit from higher CO2 and phosphorus diffusion from the substrate, such as low-growing Elatine species [147] and filamentous algae [148,149], or even bicarbonate availability (Potamogeton, Nitella) [150]. For Dutch moorland ponds, higher summer temperatures due to climate warming are considered to have been important drivers of internal eutrophication over the last decades [44,127]. With an increase in the average annual air temperature in the region of c. 0.43 °C per decade since 1981 [151], this will also have been an accelerating factor here.
Our results indicate that, because of the combination of higher pH and eutrophication, the chemical and biological character of Zwart Water nowadays deviates strongly from what it was during the first decades of the 1900s, as well as from the moderately acidic conditions that prevailed until the 1950s. Although their quantitative diversity has not decreased and even increased, the assemblage composition and functional structure have not reached an acceptable condition as far as diatoms and macrophytes are concerned. Changes in nutrient budgets and substrate–plant–animal interactions are also profound. It is clear that management measures have not yet had the desired effect. The latest chemical data may show some positive developments, e.g., in nutrient levels, but it is too early to assess whether these will persist and, so far, they have not been matched by the biota.

4.2. Lobelia Decline

Lobelia dortmanna is currently the most acidification- and eutrophication-sensitive isoetid in Western Europe [152], and its survival in Zwart Water until almost 2010, after a period of strong acidification, is rather exceptional. Across Europe, many Lobelia populations were already eradicated a few decades earlier [152,153,154,155]. Key to this acidification-related decline was the strong development of bog mosses and Juncus bulbosus, which flourished because of increased ammonium and CO2 in the water column. Lobelia, however, depending largely on its root system to procure inorganic carbon [156], faced CO2 and nitrate limitation [111], or was eliminated by reducing soil conditions [157,158,159] due to sulphate and nitrate reduction where organic matter accumulation increased [160]. In addition, the production of less cohesive organic sediments could contribute to light deprivation and, possibly, increased uprooting [161,162]. In Zwart Water, Lobelia—a species almost exclusively dependent on seed production and successful germination [163]—survived the rather short period of mineral acidity and consequent proliferation of Juncus bulbosus and Sphagnum by soil disturbance and recruitment from its seed bank, but thereafter emerging seedlings faced intense competition from Warnstorfia fluitans and later filamentous algae [164], as well as increasingly negative effects from accumulating organic deposits [161]. Sediment quality remained problematic after pH returned to less extreme values, and the limited number of plants still emerging from the seed bank were sought after by herbivorous birds.
An issue of further interest and future concern with regard to Lobelia conservation suggested by our study is the relationship between the functional role of the microphytobenthic assemblage and the physical–chemical substrate conditions required by Lobelia. Arts [165] already pointed out the consequences of light limitation by overgrowth of cyanobacterial mats for mature plants and seedling survival. Microphytobentos is also well known to affect sediment stability [166,167,168], and although the effect is less in fresh water, the increased production of extracellular polymeric substances (EPS) is likely to reduce sand grain mobility and improve retention of organic particles, thereby reducing oxygenation below the substrate/water interface. Achnanthidium tepidaricola, which has recently become abundant in Zwart Water, appears to be capable of this, but other benthic algae or cyanobacteria stimulated by higher alkalinity, nutrient availability or temperature could equally be involved. There is also evidence that elevated CO2 levels and temperatures may increase EPS production [169]. Adding to increased competition from other macrophytes [155,165], higher production of labile organic matter [170] and stronger shading by epiphyton [171], this could become an aggravating factor leading to unfavourable conditions for Lobelia in shallow softwater ponds and lakes.

4.3. Restoration Goals, Management Measures and Obstacles

With regard to the restoration management of Zwart Water, it is important to consider how the legal obligations and socio-ecological expectations embodied in the European Habitats Directive [49] for the site relate to what is achievable in terms of foreseeable pressures and their eventual mitigation. Based on our findings, the slightly buffered, mildly acidic to neutral situation, as it existed in the 1930s, would seem to be the most befitting endpoint. Yet, as far as HT 3110 and HT 3130 and associated species are concerned, the somewhat more acidic conditions but, more importantly, still nutrient-poor conditions that followed to the 1950s would also be quite acceptable to sustain macrophyte species composition and functioning. Although differences in pH regime would imply more divergence in diatom species composition, this would also hold for the overall structure and conservation value of the microphytobenthic community. Such conditions could be considered a ‘hybrid’ situation in the sense of Kopf et al. [35], requiring intervention up to a certain point or minimal management for their continuation. As the local conservation status [172] of HT 3130 was judged as unfavourable in both 2016 and 2022 [INBO, unpublished] and HT 3110 has not returned, it is clear that management efforts have not yet delivered on this point.
Nutrient availability and associated sediment quality remain major constraints. At present, modelled atmospheric nitrogen deposition at Zwart Water is still about three to four times higher than what is considered critical for HT 3110 (c. 6 kg·ha−1·year−1), as well as HT 3130 (7 kg·ha−1·year−1) [173]. The current prognosis is a decrease to c. 14.5 kg·ha−1·year−1 by 2030 [47], but there is considerable uncertainty that even this target will be reached. As transboundary and regional sources account for approximately equal shares of deposition, both international efforts and measures at agricultural level are necessary to address this problem. In addition, nitrogen inputs to the site from guanotrophication alone equal and perhaps even exceed the critical loads for both habitat types. Only the latter can be tackled to some extent by local management but will ultimately also require changes in crop selection and agricultural practices over a wider area, as well as resolving conflicts that will arise with bird conservation management. Again, this will take substantial time and deliberation between stakeholders. At present, the only possible measures to reduce waterfowl pressure at the site level are driving off and reducing the breeding success of geese in the nature reserve or targeted hunting, and these also will need careful evaluation. The availability of CO2 and bicarbonate in the water layer currently also favour the development of macrophytes that out-compete isoetids [88,150,155,174]. This seems to be controlled mainly by the decomposition processes taking place in the organic deposits, which are accelerated by nutrient inputs and increasing temperatures. In addition, phosphate is being released from the sediments.
As most of the measures that are possible within the restoration perimeter were already undertaken, the removal of these organic deposits would seem a quick remedy for a substantial part of the ongoing eutrophication and alkalinisation. In a large pond adjacent to Zwart Water, where Lobelia had also disappeared, the species initially returned after sediment dredging and established itself close to the waterline, apparently from washed-up seeds. However, this was followed by a massive development of Sphagnum and the seedlings were also eaten by waterfowl. Numbers declined rapidly until there were none left. Organic matter accumulation also resumed. This shows that invasive restoration, although probably leading to a short-lived ‘recovery’, is premature under the current conditions and could jeopardise the future re-establishment of HT 3110 by depleting the remaining viable propagules. Sediment dredging, although ultimately a necessary step in the restoration process [14,117], should, therefore, be postponed until the various sources of nutrient loading have been adequately remediated. When pertinent, translocation of key species may need to be considered to aid in their re-establishment.
Periodic summer drawdown was also suggested as a potential management measure for Lobelia and other isoetids (e.g., [155]). Gradual mineralisation of organic matter by enhanced oxidation through intermittent exposure to the air may be an interim measure to gradually improve sediment quality. Limited lowering of the summer water level, adding c. 0.2 m to the natural fluctuation, has been applied in Zwart Water already for c. 15 years but apparently without much effect. More substantial cyclical drawdowns, leaving most or all of the pond dry for several weeks to months every few years, would negatively affect the surrounding vegetation and fauna. Such management would also be out of keeping with the historical context of the pond and would require severe hydrological modification or pumping.
Another management challenge is the recent introduction of Crassula helmsii, which is notorious for rapidly developing thick swards extending from periodically inundated banks into shallow water. Posing an imminent threat to the low-stature Littorellion and Nanocyperion communities of periodically drying parts of the pond, it is extremely difficult to control. Its proliferation is stimulated by elevated nutrient levels, particularly nitrogen, and water level fluctuations [175,176,177]. So far, only a few plants are present and only in the drying parts, without showing much expansion, but with nutrients (N, P and C) amply available in both permanently flooded and periodically drying parts, increased growth can be expected. Complete removal of plants and eventual propagules may still be attempted, but re-introduction by birds and other vectors is likely to happen rapidly, especially as C. helmsii occurs abundantly at nearby locations. More permanently inundated parts of the pond, particularly those subject to wave action, are less at risk of being overgrown, but periodic droughts, sediment removal or extensive drawdown management provide ideal conditions for further expansion, even where this would otherwise be less likely. Sustainable levels of C. helmsii coexistence with native species could possibly be achieved by creating oligotrophic and, in the water layer, carbon-poor conditions, maintaining a closed cover of competitive species or maximising the extent of permanent inundation [176,177,178]. In particular, regarding nutrients, such conditions align well with the habitat types targeted for Zwart Water.

5. Conclusions

Capelli et al. [142] argue for a better chemical characterisation of HT 3110 across Europe. We identified target conditions for our study site, allowing for the sustained development of biodiversity goals set to comply with the EU Habitats Directive, as a circumneutral to moderately acidic, (very) slightly buffered and nutrient-poor (oligotrophic) but not dystrophic water body. The shallow occurrence of loamier, slightly carbonate-bearing, deposits below the sandy pond substrate, combined with substrate disturbance by wind action and, later-on, human activity, was important in maintaining isoetid habitat and delaying the effects of anthropogenic acidification. Currently, eutrophication results in unprecedented community composition and functioning. This is due to external (atmospheric deposition, land use, changed hydrology, and climate change), as well as internal and linked pressures (nutrient release from sediments, bird population, and invasive species). The unsatisfactory results of the restoration measures that have been implemented to date highlight some of the difficulties and limitations of rehabilitating softwater biodiversity when measures are spatially constrained but are essentially required at considerably larger spatial scales.
The combination of different data allowed us to outline the environmental trajectory of our study site in certain detail. However, the multiple concurrent influences confounded causality in some cases, whilst a lack of data did not always allow us to fully assess the consequences and timing of impacts and restoration efforts. Nevertheless, our study, once again, demonstrates the added value of considering multiple indicators and data reflecting different environmental compartments and responses. In particular, the comparison of benthic diatom and macrophyte records with water chemistry data led to a better understanding of the processes occurring and the importance of sediment–water interactions.
With few exceptions (e.g., [44,127]), long-term regular monitoring of relatively small restored softwater bodies receives little attention despite its importance for biodiversity and environmental management. Although crowdsourced data collection undoubtedly leads to better documentation for certain taxonomic groups and biotopes, this is less the case for others. Accessibility limits the collection of aquatic and wetland plant data mainly to (semi-)professionals, and with increasing reliance on photographic documentation, efforts or opportunities to collect or even preserve physical specimens seem to be decreasing [179], especially in protected areas or well-documented regions [180]. Ultimately, this corrodes a valuable source of information on diatoms and other sediment- or plant-associated organisms. We therefore encourage the systematic collection of sediment and/or plant materials in addition to observational data in aquatic monitoring and survey programs, even if such samples are not intended for immediate study.

Supplementary Materials

The following supporting information can be downloaded at: https://www.mdpi.com/article/10.3390/d16080487/s1, Table S1: Samples from Zwart Water (Turnhout) used for diatom analysis; Table S2: Diatom taxa observed in the counts of Zwart Water. Number of valves counted, with their ecology.

Author Contributions

Conceptualisation and methodology, L.D.; Data curation, A.L., L.D., F.V. and J.P.; Formal analysis, L.D. and A.L.; Resources, L.D., J.P., F.V. and A.L.; Writing—original draft preparation, L.D., J.P., A.L. and F.V; Writing—review and editing, L.D.; Visualisation, L.D., A.L. and J.P. All authors have read and agreed to the published version of the manuscript.

Funding

This research received no external funding and was supported by INBO resources.

Institutional Review Board Statement

Not applicable.

Data Availability Statement

The datasets generated during the current study are available from the corresponding authors upon reasonable request.

Acknowledgments

We heartily acknowledge the Royal Belgian Institute of Natural Sciences, Plantentuin Meise, the Zoological Museum of Ghent University, and their respective heads and personnel for allowing and aiding us in making use of their collections. Annemie Pals willingly supplied her original data. Marc Smets, Geert De Blust, Mario De Block, Jan Wouters, Koen Devos and Arne Verstraeten provided essential information. The laboratory staff of INBO is thanked for the chemical analyses. Part of the data collection was carried out at the Biology Department of the University of Antwerpen, where An Hendrickx contributed to our initial work. Vincent Smeekens, Kevin Scheers and Wannes Dermout helped with data collection at INBO. We appreciate the constructive comments of the reviewers and thank the publishers for waiving the APC.

Conflicts of Interest

The authors declare no conflicts of interest.

References

  1. van Dam, H.; Beltman, B. Effects of climatic change on chemistry and vegetation of peatlands, with special reference to interaction with atmospheric deposition. Wetl. Ecol. Manag. 1992, 2, 63–68. [Google Scholar] [CrossRef]
  2. Grzybowski, M. The principal threats to the standing water habitats in the continental biogeographical region of central Europe. J. Landsc. Ecol. 2019, 12, 139–161. [Google Scholar] [CrossRef]
  3. Lind, L.; Eckstein, R.L.; Relyea, R.A. Direct and indirect effects of climate change on distribution and community composition of macrophytes in lentic systems. Biol. Rev. 2022, 97, 1677–1690. [Google Scholar] [CrossRef]
  4. Eionet Portal. Article 17 Web Tool. Available online: https://nature-art17.eionet.europa.eu/article17/ (accessed on 17 June 2024).
  5. Kirschke, S.; Häger, A.; Kirschke, D.; Völker, J. Agricultural nitrogen pollution of freshwater in Germany. The governance of sustaining a complex problem. Water 2019, 11, 2450. [Google Scholar] [CrossRef]
  6. de Vries, W.; Schulte-Uebbing, L.; Kros, H.; Voogd, J.C.; Louwagie, G. Spatially explicit boundaries for agricultural nitrogen inputs in the European Union to meet air and water quality targets. Sci. Total Environ. 2021, 786, 147283. [Google Scholar] [CrossRef]
  7. Erisman, J.W. Setting ambitious goals for agriculture to meet environmental targets. One Earth 2021, 4, 15–18. [Google Scholar] [CrossRef]
  8. Schoukens, H. (Ed.) De Stikstofcrisis in de Lage Landen Nader Ontleed: Richtlijnen voor een Duurzame Transitie; Die Keure: Brugge, Belgium, 2023. [Google Scholar]
  9. Vlaamse Milieumaatschappij. Verzurende Depositie. Available online: https://www.vmm.be/lucht/stikstof/verzurende-depositie (accessed on 14 June 2024).
  10. De Schrijver, A.; Mertens, J.; Geudens, G.; Staelens, J.; Campforts, E.; Luyssaert, S.; De Temmerman, L.; De Keersmaeker, L.; De Neve, S.; Verheyen, K. Acidification of forested podzols in North Belgium during the period 1950–2000. Sci. Total Environ. 2006, 361, 189–195. [Google Scholar] [CrossRef]
  11. Vlaamse Milieumaatschappij. Stikstofdepositie. Available online: https://www.vmm.be/lucht/stikstof/stikstofdepositie (accessed on 14 June 2024).
  12. van Dam, H.; Buskens, R.F.M. Ecology and management of moorland pools: Balancing acidification and eutrophication. Hydrobiologia 1993, 265, 225–263. [Google Scholar] [CrossRef]
  13. Brouwer, E.; Bobbink, R.; Roelofs, J.G.M. Restoration of aquatic macrophyte vegetation in acidified and eutrophied softwater lakes: An overview. Aquat. Bot. 2002, 73, 405–431. [Google Scholar] [CrossRef]
  14. Roelofs, J.; Brouwer, E.; Bobbink, R. Restoration of aquatic macrophyte vegetation in acidified and eutrophicated shallow soft water wetlands in the Netherlands. Hydrobiologia 2002, 478, 171–180. [Google Scholar] [CrossRef]
  15. Van Uytvanck, J.; De Blust, G. (Eds.) Handboek voor Beheerders. Europese Natuurdoelstellingen op het Terrein. Deel 1. Habitats; Uitgeverij LannooCampus: Leuven, Belgium, 2012. [Google Scholar]
  16. European Commission. Interpretation Manual of European Union Habitats—EUR28; European Commission DG Environment: Brussels, Belgium, 2013. [Google Scholar]
  17. Scheers, K.; Packet, J.; Denys, L.; Smeekens, V.; De Saeger, S. BWK en Habitatkartering, een Praktische Handleiding. Deel 3: Veldsleutel voor het Typeren van Stilstaande Wateren in Vlaanderen. Rapporten van het Instituut voor Natuur- en Bosonderzoek INBO.R.2016.11613720; Instituut voor Natuur- en Bosonderzoek: Brussel, Belgium, 2016. [Google Scholar]
  18. Van Landuyt, W.; Hoste, I.; Vanhecke, L.; Van den Brempt, P.; Vercruysse, W.; De Beer, D. Atlas van de Flora van Vlaanderen en het Brussels Gewest; Instituut voor Natuur- en Bosonderzoek: Brussel, Belgium; Nationale Plantentuin en Flo.Wer: Meise, Belgium, 2006. [Google Scholar]
  19. Delvosalle, L.; Demaret, F.; Lambinon, J. Plantes rares, disparues ou menacées de disparition en Belgique: L’appauvrissement de la flore indigène. Trav. Serv. Reserves Nat. Domaniales Conserv. Nat. 1969, 4, 1–129. [Google Scholar]
  20. Packet, J.; Louette, G.; De Becker, P.; Hendrick, L.; Gora, L.; Jacobs, L.; Leyssen, A.; Denys, L. Eerste natuurprojectovereenkomst in Vlaanderen: Ecologisch herstel van het Heuvelsven (Dilsen-Stokkem). Likona-Jaarboek 2014, 2013, 6–12. [Google Scholar]
  21. Paelinckx, D.; De Saeger, S.; Oosterlynck, P.; Vanden Borre, J.; Westra, T.; Denys, L.; Leyssen, A.; Provoost, S.; Thomaes, A.; Vandevoorde, B.; et al. Regionale Staat van Instandhouding voor de Habitattypen van de Habitatrichtlijn. Rapportageperiode 2013–2018; Rapporten van het Instituut voor Natuur- en Bosonderzoek 2019.13; Instituut voor Natuur- en Bosonderzoek: Brussel, Belgium, 2019. [Google Scholar] [CrossRef]
  22. De Saeger, S.; Dhaluin, P.; Erens, R.; Guelinckx, R.; Hennebel, D.; Jacobs, I.; Kumpen, M.; Van Oost, F.; Spanhove, T.; Leyssen, A.; et al. Biologische Waarderingskaart en Natura 2000 Habitatkaart, Uitgave 2023; Rapporten van het Instituut voor Natuur- en Bosonderzoek INBO.R.2023.31; Instituut voor Natuur- en Bosonderzoek: Brussel, Belgium, 2023. [Google Scholar] [CrossRef]
  23. Couvreur, M.; Menschaert, J.; Sevenant, M.; Ronse, A.; Van Landuyt, W.; De Blust, G.; Antrop, M.; Hermy, M. Ecodistricten en ecoregio’s als instrument voor natuurstudie en milieubeleid. Natuur. Focus 2004, 3, 51–58. [Google Scholar]
  24. Penning, W.E.; Mjelde, M.; Dudley, B.; Hellsten, S.; Hanganu, J.; Kolada, A.; van den Berg, M.; Poikane, S.; Phillips, G.; Willby, N.; et al. Classifying aquatic macrophytes as indicators of eutrophication in European lakes. Aquat. Ecol. 2008, 42, 237–251. [Google Scholar] [CrossRef]
  25. Boeye, D.; de Louw, P.; Stuurman, R. Ecohydrologische Systeemanalyse van het Turnhouts Vennengebied—Deel 1: Natuurlijke (Historische) Grondwatersituatie en Hydrogeologische Opbouw; Nederlands Instituut voor Toegepaste Wetenschappen TNO: Delft, The Netherlands, 2000. [Google Scholar]
  26. de Louw, P.; Boeye, D.; Van der Aa, M.; Vanderhaeghe, F.; Stuurman, R. Ecohydrologische Systeemanalyse van het Turnhouts Vennengebied—Deel 2: Actuele en Gewenste Grond- en Oppervlaktewatersituatie; Report NITG 01-069-B; Nederlands Instituut voor Toegepaste Wetenschappen TNO: Delft, The Netherlands, 2000. [Google Scholar]
  27. Hendrickx, A.; Denys, L. Eindrapport Onderzoeksopdracht ‘Diatomeeënanalyse Turnhouts Vennengebied’; Universitair Centrum Antwerpen: Antwerpen, Belgium, 2000. [Google Scholar]
  28. Vanderhaeghe, F.; Brouwer, E.; van Kleef, H.; Van Den Broeck, S.; Vercoutere, B. Expertenadvies Prioritair Venherstel Turnhouts Vennengebied-West; Haskoning Belgium bvba: Mechelen, Belgium, 2008. [Google Scholar]
  29. European Commission. Large-Scale Habitat Restoration in “Turnhouts Vennengebied”. Available online: https://webgate.ec.europa.eu/life/publicWebsite/project/LIFE06-NAT-B-000084/large-scale-habitat-restoration-in-turnhouts-vennengebied (accessed on 14 June 2024).
  30. Biodiversity Information System for Europe. Vennen, Heiden en Moerassen Rond Turnhout. Available online: https://biodiversity.europa.eu/sites/natura2000/BE2100024 (accessed on 14 June 2024).
  31. Vlaamse Regering. Besluit van de Vlaamse Regering tot Aanwijzing met Toepassing van de Habitatrichtlijn van de Speciale Beschermingszone BE2100024 ‘Vennen, Heiden en Moerassen Rond Turnhout’ en tot Definitieve Vaststelling voor die Zone en voor de met Toepassing van de Vogelrichtlijn Aangewezen Speciale Beschermingszone BE2101538 ‘Arendonk, Merksplas, Oud-Turnhout, Ravels en Turnhout’ van de Bijhorende Instandhoudingsdoelstellingen en Prioriteiten van 23/04/2014. Available online: https://natura2000.vlaanderen.be/sites/default/files/33_turnhouts_vennengebied_s-ihd-besluit_vr.pdf (accessed on 22 June 2024).
  32. Agentschap voor Natuur en Bos Voortgangsdocumenten Turnhouts Vennengebied. Available online: https://voortgangsdocumenten.natuurenbos.be/turnhouts-vennengebied (accessed on 22 June 2024).
  33. Birks, H.J.B. Contributions of Quaternary palaeoecology to nature conservation. J. Veg. Sci. 1996, 7, 89–98. [Google Scholar] [CrossRef]
  34. Davies, A.; Bunting, J. Applications of palaeoecology in conservation. Open Ecol. J. 2010, 3, 54–67. [Google Scholar] [CrossRef]
  35. Kopf, R.K.; Finlayson, C.M.; Humphries, P.; Sims, N.C.; Hladyz, S. Anthropocene baselines: Assessing change and managing biodiversity in human-dominated aquatic ecosystems. BioScience 2015, 65, 798–811. [Google Scholar] [CrossRef]
  36. Finlayson, C.M.; Clarke, S.J.; Davidson, N.C.; Gell, P. Role of palaeoecology in describing the ecological character of wetlands. Mar. Freshw. Res. 2016, 67, 687–694. [Google Scholar] [CrossRef]
  37. Westra, T.; Oosterlynck, P.; Van Calster, H.; Paelinckx, D.; Denys, L.; Leyssen, A.; Packet, J.; Onkelinx, T.; Louette, G.; Waterinckx, M.; et al. Monitoring Natura 2000—Habitats. Meetnet Habitatkwaliteit; Rapporten van het Instituut voor Natuur- en Bosonderzoeknstituut INBO.R.2014.1414229; Instituut voor Natuur- en Bosonderzoek: Brussel, Belgium, 2014. [Google Scholar]
  38. Westra, T.; Oosterlynck, P.; Govaere, L.; Leyssen, A.; Denys, L.; Packet, J.; Scheers, K.; Vanderhaeghe, F.; Vanden Borre, J. Monitoring Scheme for Biotic Habitat Quality of Natura 2000 Habitat Types in Flanders, Belgium: Revision of the Monitoring Design; Rapporten van het Instituut voor Natuur- en Bosonderzoek 2022(25); Instituut voor Natuur- en Bosonderzoek: Brussel, Belgium, 2022. [Google Scholar] [CrossRef]
  39. Dickman, M.D.; van Dam, H.; van Geel, B.; Klink, A.G.; van der Wijk, A. Acidification of a Dutch moorland pool—A palaeolimnological study. Arch. Hydrobiol. 1987, 109, 377–408. [Google Scholar] [CrossRef]
  40. van Dam, H.; van Geel, B.; van der Wijk, A.; Geelen, J.F.M.; van der Heijden, R.; Dickman, M.D. Palaeolimnological and documented evidence for alkalization and acidification of two moorland pools (The Netherlands). Rev. Palaeobot. Palynol. 1988, 55, 273–316. [Google Scholar] [CrossRef]
  41. van Dam, H.; Kooyman-van Blokland, H. Man-made changes in some Dutch moorland pools, as reflected by historical and recent data about diatoms and macrophytes. Int. Rev. Gesamten Hydrobiol. 1978, 63, 587–607. [Google Scholar] [CrossRef]
  42. Denys, L. Historical distribution of ‘Red List diatoms’ (Bacillariophyceae) in Flanders (Belgium). Syst. Geogr. Plants 2000, 70, 409–420. [Google Scholar] [CrossRef]
  43. Denys, L. Palaeolimnology without a core: 153 years of diatoms and cultural environmental change in a shallow lowland lake (Belgium). Fottea 2009, 9, 317–332. [Google Scholar] [CrossRef]
  44. van Dam, H.; Mertens, A. A century of diatom monitoring in acidified and warmed Dutch moorland pools. Limnologica 2023, 99, 126059. [Google Scholar] [CrossRef]
  45. Koninlijk Meteorologisch Instituut. Klimaatstatistieken van de Belgische Gemeenten. Turnhout (nis 13040). Available online: https://www.meteo.be/nl/klimaat/klimaat-van-belgie/klimaat-in-uw-gemeente (accessed on 17 June 2024).
  46. Craenen, H.; Van Ranst, E.; Tack, F.M.G.; Verloo, M.G. Calculation and mapping of critical loads of sulphur and nitrogen in Flanders, Belgium. Sci. Total Environ. 2000, 254, 55–64. [Google Scholar] [CrossRef] [PubMed]
  47. Lefebvre, W.; Hooybergs, H.; Deutsch, F. Emissie en Depositie van Stikstof in Vlaanderen Tijdens de Periode 2015–2021. Een Ruimtelijk-temporele Analyse. Vlaams Instituut voor Technologisch Onderzoek 2023/RMA/R/2843; Vlaams Instituut voor Technologisch Onderzoek: Mol, Belgium, 2024. [Google Scholar]
  48. Sterckx, G.; Paelinckx, D.; Decleer, K.; De Saeger, S.; Provoost, S.; Denys, L.; Packet, J.; Wouters, J.; Demolder, H.; Thomaes, A.; et al. Habitattypen Bijlage 1 Habitatrichtlijn. In Europees Beschermde Natuur in Vlaanderen en het Belgisch deel van de Noordzee. Habitattypen, dier- en Plantensoorten; Mededelingen van het Instituut voor Natuur- en Bosonderzoek INBO.M.2007.01; Decleer, K., Ed.; Instituut voor Natuur- en Bosonderzoek: Brussel, Belgium, 2007; pp. 59–359. [Google Scholar]
  49. European Commission Council Directive 92/43/EEC of 21 May 1992 on the conservation of natural habitats and of wild fauna and flora. Off. J. Eur. Communities 1992, L206, 7–50.
  50. KBR. Ferraris Kaart—Kabinetskaart der Oostenrijkse Nederlanden en het Prinsbisdom Luik, 1771–1778. Available online: https://www.kbr.be/nl/projecten/kaart-van-ferraris/ (accessed on 17 June 2024).
  51. Nationaal Geografisch Instituut. Carte du Dépôt de la Guerre 1872. Available online: http://www.cartesius.be/CartesiusPortal/ (accessed on 17 June 2024).
  52. Nationaal Geografisch Instituut. Top25Map. Available online: https://topomapviewer.ngi.be/?l=nl&baselayer (accessed on 17 June 2024).
  53. Mercator.net. Landgebruik—Vlaanderen—Toestand 2022. Available online: https://www.vlaanderen.be/datavindplaats/catalogus/landgebruik-vlaanderen-toestand-2022 (accessed on 17 June 2024).
  54. Dorland, E.; Van Den Berg, L.J.L.; Brouwer, E.; Roelofs, J.G.M.; Bobbink, R. Catchment liming to restore degraded, acidified heathlands and moorland pools. Restor. Ecol. 2005, 13, 302–311. [Google Scholar] [CrossRef]
  55. Koninlijk Meteorologisch Instituut. Klimaattrends in Ukkel. Available online: https://www.meteo.be/nl/klimaat/klimaatverandering-in-belgie/klimaattrends-in-ukkel/neerslag/jaarlijks-totaal (accessed on 19 June 2024).
  56. Van Oye, P.; Cornil, G. 1940 Desmidiées de la Campine Belge. Bull. Soc. R. Bot. Belg. 1940, 73, 7–90. [Google Scholar]
  57. Vangenechten, J.H.D. Fysiko-Chemisch Onderzoek van de Verzuring in Kempische Oppervlaktewaters en Invloed van de Zuurtegraad op de Ionenregeling van Waterwantsen. Ph.D. Thesis, Universiteit Antwerpen, Antwerpen, Belgium, 1980. [Google Scholar]
  58. De Blust, G. Venvegetaties in het Turnhoutse (Antw.). Master’s Thesis, Universiteit Gent, Gent, Belgium, 1974. [Google Scholar]
  59. Caljon, A. Algologisch onderzoek van de vennen van Turnhout (Antw.). Biol. Jb. Dodonaea 1975, 43, 90–115. [Google Scholar]
  60. Vanderhaeghe, F. Historisch-Ecologische Studie van de Vegetatie van Turnhoutse Vennen; Universiteit Gent: Gent, Belgium, 2000. [Google Scholar]
  61. Pals, A. Ecology of Desmids in Flemish Softwater Lakes. Ph.D. Thesis, Katholieke Universiteit Leuven, Leuven, Belgium, 2007. [Google Scholar]
  62. Denys, L.; Moons, V.; Veraart, B. (Eds.) Ecologische Typologie en Onderzoek naar een Geïntegreerde Evaluatiemethode voor Stilstaande Wateren op Regionale Schaal: Hoekstenen voor Ontwikkeling, Herstel en Opvolging van Natuurwaarden. Eindverslag VLINA 97/02; Universiteit Antwerpen: Antwerpen, Belgium, 2000. [Google Scholar]
  63. Energie- en Milieu-Informatiesysteem voor Het Vlaamse Gewest. Compendium voor de Monsterneming, Meting en Analyse van Water (WAC). Available online: https://emis.vito.be/nl/erkende-laboratoria/water-gop/compendium-wac (accessed on 17 June 2024).
  64. Reuss, J.O.; Johnson, D.W. The aquatic interface. In Acid Deposition and the Acidification of Soils and Waters; Springer: New York, NY, USA, 1986; pp. 61–65. [Google Scholar] [CrossRef]
  65. Wickham, H.; Chang, W.; Henry, L.; Pedersen, T.; Takahashi, K.; Wilke, C.; Woo, K.; Yutani, H.; Dunnington, D.; van den Brand, T. ggplot2: Create Elegant Data Visualisations Using the Grammar of Graphics, R Package Version 3.5.1. 2024. Available online: https://github.com/tidyverse/ggplot2 (accessed on 30 May 2024).
  66. Denys, L. Calibration of littoral diatoms to water-chemistry variables in standing freshwaters of lower Belgium (Flanders): Inference models for sediment assemblages from historical samples. J. Paleolimnol. 2006, 35, 763–787. [Google Scholar] [CrossRef]
  67. Oksanen, J.; Simpson, G.; Blanchet, F.; Kindt, R.; Legendre, P.; Minchin, P.; O’Hara, R.; Solymos, P.; Stevens, M.; Soecs, E.; et al. Vegan: Community Ecology Package. R Package Version 2.6-2-4. 2022. Available online: https://CRAN.R-project.org/package=vegan (accessed on 12 December 2023).
  68. van Dam, H.; Mertens, A.; Sinkeldam, J. A coded checklist and ecological indicator values of freshwater diatoms from the Netherlands. Neth. J. Aquat. Ecol. 1994, 28, 117–133. [Google Scholar] [CrossRef]
  69. van Dam, H.; Mertens, A. Partial recovery of shallow acid-sensitive lakes from acidification. Environ. Sci. 2013, 22, 36–40. [Google Scholar]
  70. van Dam, H.; Mertens, A. Monitoring Herstel Verzuring en Klimaatverandering Vennen 1978–2018: Temperatuur, Hydrologie, Chemie, Kiezelwieren. Rapport AWN 1702; Herman van Dam: Amsterdam, The Netherlands, 2019. [Google Scholar]
  71. Juggins, S. Rioja Package. Analysis of Quaternary Science Data. 2023. Available online: https://github.com/nsj3/rioja (accessed on 12 December 2023).
  72. ter Braak, C.J.F.; Smilauer, P. Canoco for Windows 4.56; Plant Research International: Wageningen, The Netherlands, 2009. [Google Scholar]
  73. De Blust, G. Littorelletea-vegetaties in de Antwerpse Noorderkempen. Biol. Jb. Dodonaea 1977, 45, 62–83. [Google Scholar]
  74. Aerts, J.; Vermeyen, A. Drijvende egelskop, Sparganium angustifolium Michaux, in het Zwart Water te Turnhout. Wielewaal 1982, 48, 35–37. [Google Scholar]
  75. De Block, M.; Vermeulen, T.; Andries, T. Fen restoration in the northern part of Turnhout. In Proceedings of the 6th European Conference on Ecological Restoration, Ghent, Belgium, 8–12 September 2008; Society for Ecological Restoration: Ghent, Belgium, 2008; pp. 1–4. [Google Scholar]
  76. Londo, G. Excursierapport. Zwarte Water of Boschven; Rijksinstituut voor Natuurbeheer: Driebergen, The Netherlands, 1973. [Google Scholar]
  77. Flora Databank; Flo.Wer vzw, Instituut voor Natuur- en Bosonderzoek: Brussel, Belgium; Plantentuin: Meise, Belgium; Available online: https://flora.inbo.be/Pages/Common/Default.aspx (accessed on 31 May 2024).
  78. van Duuren, L.; Rider, C.; Dijkstra, R.; Meijer, R. Biobase, Register Biodiversiteit; Centraal Bureau voor de Statistiek: Voorburg/Heerlen, The Netherlands, 1997. [Google Scholar]
  79. Tichý, L.; Axmanová, I.; Dengler, J.; Guarino, R.; Jansen, F.; Midolo, G.; Nobis, M.P.; Van Meerbeek, K.; Aćić, S.; Attorre, F.; et al. Ellenberg-type indicator values for European vascular plant species. J. Veg. Sci. 2024, 34, e13168. [Google Scholar] [CrossRef]
  80. Boone, M. Bijdrage tot de geschiedenis der blekerijen te Turnhout (1). Taxandria 1951, 15, 3–41. [Google Scholar]
  81. Caron, P. Vennen en tijkindustrie. In Water voor Groen. Vierde Vlaams Wetenschappelijk Congres over Groenvoorziening; Vereniging voor Groenvoorziening vzw: Brussel, Belgium, 1984; p. 465. [Google Scholar]
  82. Van de Vijver, B.; Schuster, T.M.; Kusber, W.-H.; Hamilton, P.B.; Wetzel, C.E.; Ector, L. Revision of European Brachysira species (Brachysiraceae, Bacillariophyta): I. The Brachysira microcephalaB. neoexilis enigma. Bot. Lett. 2021, 168, 467–484. [Google Scholar] [CrossRef]
  83. Denys, L.; van Straaten, D. A survey of the acid water diatom assemblages of two heathland relics in the Belgian northern Campine (Groot- and Klein Schietveld, Brassschaat) with an assessment of their conservational value. Diatom Res. 1992, 7, 1–13. [Google Scholar] [CrossRef]
  84. Raeder, U.; Busse, L.B. Composition and development of epipsammic diatoms in an oligotrophic lake (Lake Lustsee, Germany) under natural conditions and under artificial phosphate supply using enclosure experiments. In Lange-Bertalot Festschrift. Studies on Diatoms; Jahn, R., Kociolek, J.P., Witkowski, A., Compère, P., Eds.; A.R.G. Gantner Verlag, K.G.: Ruggell, Switzerland, 2001; pp. 383–400. [Google Scholar]
  85. Lebkuecher, J.G.; Atma, J.L.; Conn, H.; Redwine, D.J. Composition of epilithic diatom and soft-algal assemblages in infralittoral zones of Tennessee reservoirs and correlations of composition to trophic state. J. Freshw. Ecol. 2023, 38, 2182836. [Google Scholar] [CrossRef]
  86. De Bont, W.; De Bont, A. Evolutie van de visfauna in de vennen. In Water voor Groen. Vierde Vlaams Wetenschappelijk Congres over Groenvoorziening; Vereniging voor Groenvoorziening vzw: Brussel, Belgium, 1984; pp. 467–468. [Google Scholar]
  87. Rask, M. 1984 The effect of low pH on perch, Perca fluviatilis L. III. The perch population in a small, acidic, extremely humic forest lake. Ann. Zool. Fenn. 1984, 21, 15–22. [Google Scholar]
  88. Spierenburg, P.; Lucassen, E.C.H.E.T.; Lotter, A.F.; Roelofs, J.G.M. Could rising aquatic carbon dioxide concentrations favour the invasion of elodeids in isoetid-dominated softwater lakes? Freshw. Biol. 2009, 54, 1819–1831. [Google Scholar] [CrossRef]
  89. Salisbury, E.J. On the reproduction and biology of Elatine hexandra (Lapierre) DC. (Elatinaceae); a typical species of exposed mud. Kew Bull. 1967, 21, 139–149. [Google Scholar] [CrossRef]
  90. Weeda, E.J.; Westra, R.; Westra, C.; Westra, T. Nederlandse Oecologische Flora. Wilde Planten en hun Relaties 2; IVN: Amsterdam, The Netherlands, 1987. [Google Scholar]
  91. Bloemendaal, F.H.J.L.; Roelofs, J.G.M. Waterplanten en Waterkwaliteit; Koninklijke Nederlandse Natuurhistorische Vereniging: Utrecht, The Netherlands, 1988. [Google Scholar]
  92. Van de Vijver, B.; Jarlman, A.; Lange-Bertalot, H.; Mertens, A.; de Haan, M.; Ector, L. Four new European Achnanthidium species (Bacillariophyceae). Algol. Stud. 2011, 136/137, 193–210. [Google Scholar] [CrossRef]
  93. Roemer, S.C.; Hoagland, K.D.; Rosowski, J.R. Development of a freshwater periphyton community as influenced by diatom mucilages. Can. J. Bot. 1984, 62, 1799–1813. [Google Scholar] [CrossRef]
  94. Ruck, E.C.; Nakov, T.; Alverson, A.J.; Theriot, E.C. Phylogeny, ecology, morphological evolution, and reclassification of the diatom orders Surirellales and Rhopalodiales. Mol. Phylogenet. Evol. 2016, 103, 155–171. [Google Scholar] [CrossRef]
  95. Schmidt, A. Atlas der Diatomaceen-Kunde. Serie VI. Tafel 214-288; O.R. Reisland: Leipzig, Germany, 1912. [Google Scholar]
  96. Lange-Bertalot, H.; Krammer, K. Bacillariaceae, Epithemiaceae, Surirellaceae. Neue und wenig bekannte Taxa, neue Kombinationen und Synonyme sowie Bemerkungen und Ergänzungen zu den Naviculaceae. Bibl. Diatomol. 1987, 15, 1–289. [Google Scholar]
  97. Alles, E.; Nörpel-Schempp, M.; Lange-Bertalot, H. Zur Systematik und Ökologie charakteristischer Eunotia-Arten (Bacillariophyceae) in elektrolytarmen Bachoberläufen. Nova Hedwig. 1991, 53, 171–213. [Google Scholar]
  98. Kennedy, B.; Buckley, Y.M. Use of seasonal epilithic diatom assemblages to evaluate ecological status in Irish lakes. Ecol. Indic. 2021, 129, 107853. [Google Scholar] [CrossRef]
  99. Charles, D.F.; Battarbee, R.W.; Renberg, I.; van Dam, H.; Smol, J.P. Palaeoecological analysis of lake acidification trends in North America and Europe using diatoms and chrysophytes. In Acid Precipitation. Vol. 4. Soils, Aquatic Processes, and Lake Acidification; Norton, S.A., Lindberg, S.E., Page, A.L., Eds.; Springer: New York, NY, USA, 1989; pp. 207–276. [Google Scholar] [CrossRef]
  100. Siver, P.A.; Hamilton, P.B. Diatoms of North America: The freshwater flora of waterbodies on the Atlantic Coastal Plain. Iconogr. Diatomol. 2011, 22, 1–916. [Google Scholar]
  101. Kennedy, B.; Allott, T. A review of the genus Brachysira in Ireland with the description of Brachysira praegeri and Brachysira conamarae, new raphid diatoms (Bacillariophyceae) from high status waterbodies. Phytotaxa 2017, 326, 1–27. [Google Scholar] [CrossRef]
  102. Jüttner, I.; Hamilton, P.B.; Wetzel, C.E.; Van de Vijver, B.; King, L.; Kelly, M.G.; Williams, D.M.; Ector, L. A study of the morphology and distribution of four Achnanthidium Kütz. species (Bacillariophyta), implications for ecological status assessment, and description of two new European species. Cryptogam. Algol. 2022, 43, 147–176. [Google Scholar] [CrossRef]
  103. Denys, L.; Wartel, S.; De Blust, G. Eutrophication and acidification history of a moorland pool in northern Belgium. Würzburger Geogr. Manuskr. 1997, 41, 57–58. [Google Scholar]
  104. De Bont, A.F. Changements de la faune ornithologique de la Campine Turnhoutoise. Le Gerfaut 1947, 37, 172–187. [Google Scholar]
  105. De Bont, A. Recente evolutie van het vennencomplex. In Water voor Groen. Vierde Vlaams Wetenschappelijk Congres over Groenvoorziening; Vereniging voor Groenvoorziening vzw: Brussel, Belgium, 1984; pp. 466–467. [Google Scholar]
  106. Ministerie van Landbouw. Atlas van de Algemeene Landbouwtelling van 31 December 1929; Laner: Brussel, Belgium, 1929. [Google Scholar]
  107. Denys, L. Diatomeeën in Turnhoutse vennen. Heden getoetst aan het verleden. Natuur. Focus 2020, 19, 10–17. [Google Scholar]
  108. Eerens, H.C.; van Dam, J.D. (Eds.) Grootschalige Luchtverontreiniging en Depositie in de Nationale Milieuverkenning, 5. Rapport 408129016; Rijksinstituut voor Volksgezondheid en Milieu: Bilthoven, The Netherlands, 2001. [Google Scholar]
  109. van Dam, H.; Suurmond, G.; ter Braak, C.J.F. Impact of acidification on diatoms and chemistry of Dutch moorland pools. Hydrobiologia 1981, 83, 425–459. [Google Scholar] [CrossRef]
  110. Luís, A.T.; Córdoba, F.; Antunes, C.; Loayza-Muro, R.; Grande, J.A.; Silva, B.; Diaz-Curiel, J.; Ferreira da Silva, E. Extremely acidic eukaryotic (micro) organisms: Life in acid mine drainage polluted environments-mini-review. Int. J. Environ. Res. Public Health 2021, 19, 376. [Google Scholar] [CrossRef] [PubMed]
  111. Schuurkes, J.A.A.R.; Kok, C.J.; den Hartog, C. Ammonium and nitrate uptake by aquatic plants from poorly buffered and acidified waters. Aquat. Bot. 1986, 24, 131–146. [Google Scholar] [CrossRef]
  112. Lucassen, E.C.H.E.T.; Bobbink, R.; Oonk, M.M.A.; Brandrud, T.E.; Roelofs, J.G.M. The effects of liming and reacidification on the growth of Juncus bulbosus: A mesocosm experiment. Aquat. Bot. 1999, 64, 95–103. [Google Scholar] [CrossRef]
  113. Lucassen, E.C.H.E.T.; Roelofs, J.G.M.; Schneider, S.C.; Smolders, A.J.P. Long-term effects of liming in Norwegian softwater lakes: The rise and fall of bulbous rush (Juncus bulbosus) and decline of isoetid vegetation. Freshw. Biol. 2016, 61, 769–782. [Google Scholar] [CrossRef]
  114. Arts, G.H.P.; Leuven, R.S.E.W. Floristic changes in shallow soft waters in relation to underlying environmental factors. Freshw. Biol. 2006, 20, 97–111. [Google Scholar] [CrossRef]
  115. Vangenechten, J.H.D.; Van Puyembroeck, S.; Vanderborght, O.L.J.; Bosmans, F.; Deckers, H. Physico-chemistry of surface waters in the Campine region of Belgium, with special reference to acid moorland pools. Hydrobiologia 1981, 90, 369–396. [Google Scholar]
  116. Dumortier, M.; De Schrijver, A.; Denys, L.; Vanreusel, W. Verzuring. In Natuurrapport. Toestand van de Natuur in Vlaanderen: Cijfers voor het Beleid; Dumortier, M., De Bruyn, L., Peymen, J., Schneiders, A., Van Daele, T., Weyembergh, G., Van Straaten, D., Kuijken, E., Eds.; Instituut voor Natuurbehoud: Brussel, Belgium, 2003; pp. 148–153. [Google Scholar]
  117. Smolders, A.J.P.; Lamers, L.P.M.; Lucassen, E.C.H.E.T.; Van der Velde, G.; Roelofs, J.G.M. Internal eutrophication: How it works and what to do about it—A review. Chem. Ecol. 2006, 22, 93–111. [Google Scholar] [CrossRef]
  118. Smolders, A.J.P.; Lucassen, E.C.H.E.T.; Bobbink, R.; Roelofs, J.G.M.; Lamers, L.P.M. How nitrate leaching from agricultural lands provokes phosphate eutrophication in groundwater fed wetlands: The sulphur bridge. Biogeochemistry 2010, 98, 1–7. [Google Scholar] [CrossRef]
  119. Smolders, A.J.P.; Moonen, M.; Zwaga, K.; Lucassen, E.C.H.E.T.; Lamers, L.P.M.; Roelofs, J.G.M. Changes in pore water chemistry of desiccating freshwater sediments with different sulphur contents. Geoderma 2006, 132, 372–383. [Google Scholar] [CrossRef]
  120. van Dam, H. Partial recovery of moorland pools from acidification: Indications by chemistry and diatoms. Aquat. Ecol. 1996, 30, 203–218. [Google Scholar] [CrossRef]
  121. Lazarek, S. Responses of the Lobelia-epiphyte complex to liming of an acidified lake. Aquat. Bot. 1986, 25, 73–81. [Google Scholar] [CrossRef]
  122. Lucassen, E.C.H.E.T.; Spierenburg, P.; Fraaije, R.; Smolders, A.J.P.; Roelofs, J.G.M. Alkalinity generation and sediment CO2 uptake influence establishment of Sparganium angustifolium in softwater lakes. Freshw. Biol. 2009, 54, 2300–2314. [Google Scholar] [CrossRef]
  123. Van Wichelen, J.; Declerck, S.; Muylaert, K.; Hoste, I.; Geenens, V.; Vandekerkhove, J.; Michels, E.; De Pauw, N.; Hoffmann, M.; De Meester, L.; et al. The importance of drawdown and sediment removal for the restoration of the eutrophied shallow Lake Kraenepoel (Belgium). Hydrobiologia 2007, 584, 291–303. [Google Scholar] [CrossRef]
  124. Bellemakers, M.J.S.; Maessen, M.; Roelofs, J.G.M. Effects of liming on water chemistry in shallow acidified pools in the Netherlands: Enclosure experiments. Water Air Soil Pollut. 1994, 73, 131–142. [Google Scholar] [CrossRef]
  125. Clymo, R.S. Ion exchange in Sphagnum and its relation to bog ecology. Ann. Bot. N. S. 1963, 27, 309–324. [Google Scholar] [CrossRef]
  126. Clymo, R.S. Interactions of Sphagnum with water and air. In Effects of Atmospheric Pollutants on Forests, Wetlands and Agricultural Ecosystems; Hutchinson, T.C., Meema, K.M., Eds.; Springer: Berlin/Heidelberg, Germany, 1987; pp. 513–529. [Google Scholar] [CrossRef]
  127. van Dam, H. The role of hydromorphology in the partial recovery of chemistry in acidified and warmed Dutch moorland pools. Water Air Soil Pollut. 2023, 234, 10. [Google Scholar] [CrossRef]
  128. Stumm, W.; Morgan, J.J. Aquatic Chemistry: Chemical Equilibria and Rates in Natural Waters, 3rd ed.; Wiley-Interscience: New York, NY, USA, 1996. [Google Scholar]
  129. Kopáček, J.; Ulrich, K.-U.; Hejzlar, J.; Borovec, J.; Stuchlík, E. Natural inactivation of phosphorus by aluminum in atmospherically acidified water bodies. Water Res. 2001, 35, 3783–3790. [Google Scholar] [CrossRef]
  130. Dorland, E.; Bobbink, R.; Messelink, J.H.; Verhoeven, J.T.A. Soil ammonium accumulation after sod cutting hampers the restoration of degraded wet heathlands. J. Appl. Ecol. 2003, 40, 804–814. [Google Scholar] [CrossRef]
  131. Dorland, E.; van den Berg, L.J.L.; van de Berg, A.J.; Vermeer, M.L.; Roelofs, J.G.M.; Bobbink, R. The effects of sod cutting and additional liming on potential net nitrification in heathland soils. Plant Soil 2004, 265, 267–277. [Google Scholar] [CrossRef]
  132. Härdtle, W.; von Oheim, G.; Niemeyer, M.; Niemeyer, T.; Assmann, T.; Meyer, H. Nutrient leaching in dry heathland ecosystems: Effects of atmospheric deposition and management. Biogeochemistry 2007, 86, 201–215. [Google Scholar] [CrossRef]
  133. Round, F.E. The effect of liming on the benthic diatom populations in three upland Welsh lakes. Diatom Res. 1990, 5, 129–140. [Google Scholar] [CrossRef]
  134. Bellemakers, M.J.S.; van Dam, H. Improvement of breeding success of the moor frog (Rana arvalis) by liming of acid moorland pools and the consequences of liming for water chemistry and diatoms. Environ. Pollut. 1992, 78, 165–171. [Google Scholar] [CrossRef] [PubMed]
  135. Cameron, N.G. The representation of diatom communities by fossil assemblages in a small acid lake. J. Paleolimnol. 1995, 14, 185–223. [Google Scholar] [CrossRef]
  136. Beebee, T.J.C. Eutrophication of heathland ponds at a site in southern England: Causes and effects, with particular reference to the amphibia. Biol. Conserv. 1987, 42, 39–52. [Google Scholar] [CrossRef]
  137. Vestergaard, O.; Sand-Jensen, K. Alkalinity and trophic state regulate aquatic plant distribution in Danish lakes. Aquat. Bot. 2000, 67, 85–107. [Google Scholar] [CrossRef]
  138. Arts, G.H.P.; van Beers, P.W.M.; Belgers, J.D.M.; Wortelboer, F.G. Gedifferentieerde Normstelling voor Nutriënten in Vennen: Onderbouwing en Toetsing van Kritische Depositieniveau’s en Effecten van Herstelmaatregelen op het Voorkomen van Isoëtiden. Alterra-Rapport 262; Alterra: Wageningen, The Netherlands; Rijksinsituut voor Volksgezondheid en Milieu: Bilthoven, The Netherlands, 2001. [Google Scholar]
  139. Pedersen, O.; Andersen, T.; Ikejima, K.; Hossain, M.Z.; Andersen, F.Ø. A multidisciplinary approach to understanding the recent and historical occurrence of the freshwater plant, Littorella uniflora. Freshw. Biol. 2006, 51, 865–877. [Google Scholar] [CrossRef]
  140. Free, G.; Bowman, J.; McGarrigle, M.; Caroni, R.; Donnelly, K.; Tierney, D.; Trodd, W.; Little, R. The identification, characterization and conservation value of isoetid lakes in Ireland. Aquat. Conserv. Mar. Freshw. Ecosyst. 2009, 19, 264–273. [Google Scholar] [CrossRef]
  141. Van Calster, H.; Cools, N.; De Keersmaeker, L.; Denys, L.; Herr, C.; Leyssen, A.; Provoost, S.; Vanderhaeghe, F.; Vandevoorde, B.; Wouters, J.; et al. Gunstige Abiotische Bereiken voor Vegetatietypes in Vlaanderen. Rapporten van het Instituut voor Natuur- en Bosonderzoek 2020 (44); Instituut voor Natuur- en Bosonderzoek: Brussel, Belgium, 2020. [Google Scholar] [CrossRef]
  142. Cappelli, G.; Gray, E.; Gammell, M.; Roden, C.; Lally, H. Physico-chemical characterisation of protected lake habitats: A matter of dystrophy. Limnologica 2023, 103, 126123. [Google Scholar] [CrossRef]
  143. Instituut voor Natuur- en Bosonderzoek. Overwinterende Watervogels in Vlaanderen. Available online: https://watervogels.inbo.be/info (accessed on 15 May 2024).
  144. Waarnemingen.be. Stichting Observation International en Lokale Partners. INBODATAVR-334. Available online: https://waarnemingen.be (accessed on 27 July 2024).
  145. Hahn, S.; Bauer, S.; Klaassen, M. Estimating the contribution of carnivorous waterbirds to nutrient loading in freshwater habitats. Freshw. Biol. 2007, 52, 2421–2433. [Google Scholar] [CrossRef]
  146. Hahn, S.; Bauer, S.; Klaassen, M. Quantification of allochthonous nutrient input into freshwater bodies by herbivorous waterbirds. Freshw. Biol. 2008, 53, 181–193. [Google Scholar] [CrossRef]
  147. Arthaud, F.; Toury, J.; Romestaing, C.; Bornette, G. Photosynthetic and morphological traits control aquatic plant distribution according to light stress. Evol. Ecol. 2021, 35, 739–760. [Google Scholar] [CrossRef]
  148. Andersen, T.; Andersen, F.Ø. 2006 Effects of CO2 concentration on growth of filamentous algae and Littorella uniflora in a Danish softwater lake. Aquat. Bot. 2006, 84, 267–271. [Google Scholar] [CrossRef]
  149. Vadeboncoeur, Y.; Moore, M.V.; Stewart, S.D.; Chandra, S.; Atkins, K.S.; Baron, J.S.; Bouma-Gregson, K.; Brothers, S.; Francoeur, S.N.; Genzoli, L.; et al. Blue waters, green bottoms: Benthic filamentous algal blooms are an emerging threat to clear lakes worldwide. BioScience 2021, 71, 1011–1027. [Google Scholar] [CrossRef]
  150. Spierenburg, P.; Lucassen, E.C.H.E.T.; Lotter, A.F.; Roelofs, J.G.M. Competition between isoetids and invading elodeids at different concentrations of aquatic carbon dioxide. Freshw. Biol. 2010, 55, 1274–1287. [Google Scholar] [CrossRef]
  151. Koninlijk Meteorologisch Instituut. Klimaattrends in België. Available online: https://www.meteo.be/nl/klimaat/klimaatverandering-in-belgie/klimaattrends-in-belgie (accessed on 12 June 2024).
  152. Arts, G.H.P.; de Haan, A.J.; Sieburn, M.B.; Verheggen, G.M. Extent and historical development of the decline of Dutch soft waters. Proc. K. Ned. Akad. Wet. Ser. C. 1989, 92, 281–295. [Google Scholar]
  153. Roelofs, J.G.M. Impact of acidification and eutrophication on macrophyte communities in soft waters in The Netherlands I. Field observations. Aquat. Bot. 1983, 17, 139–155. [Google Scholar] [CrossRef]
  154. Farmer, A.M. The effects of lake acidification on aquatic macrophytes—A review. Environ. Pollut. 1990, 65, 219–240. [Google Scholar] [CrossRef] [PubMed]
  155. Nielsen, S.R.; Martinsen, K.T.; Pedersen, O.; Baastrup-Spohr, L. Reasons for the dramatic loss of Lobelia dortmanna, a keystone plant species of softwater lakes in the Northern Hemisphere. Freshw. Biol. 2023, 68, 1673–1684. [Google Scholar] [CrossRef]
  156. Lenzewski, N.; Mueller, P.; Meier, R.J.; Liebsch, G.; Jensen, K.; Koop-Jakobsen, K. Dynamics of oxygen and carbon dioxide in rhizospheres of Lobelia dortmanna—A planar optode study of belowground gas exchange between plants and sediment. New Phytol. 2018, 218, 131–141. [Google Scholar] [CrossRef] [PubMed]
  157. Christensen, K.K.; Sand-Jensen, K. Precipitated iron and manganese plaques restrict root uptake of phosphorus in Lobelia dortmanna. Can. J. Bot. 1998, 76, 2158–2163. [Google Scholar] [CrossRef]
  158. Møller, C.L.; Sand-Jensen, K. High sensitivity of Lobelia dortmanna to sediment oxygen depletion following organic enrichment. New Phytol. 2011, 190, 320–331. [Google Scholar] [CrossRef] [PubMed]
  159. Pulido, C.; Keijsers, D.J.H.; Lucassen, E.C.H.E.T.; Pedersen, O.; Roelofs, J.G.M. Elevated alkalinity and sulfate adversely affect the aquatic macrophyte Lobelia dortmanna. Aquat. Ecol. 2012, 46, 283–295. [Google Scholar] [CrossRef][Green Version]
  160. Sand-Jensen, K.; Borum, J.; Binzer, T. Oxygen stress and reduced growth of Lobelia dortmanna in sandy lake sediments subject to organic enrichment. Freshw. Biol. 2005, 50, 1034–1048. [Google Scholar] [CrossRef]
  161. Smolders, A.J.P.; Lucassen, E.C.H.E.T.; Roelofs, J.G.M. The isoetid environment: Biogeochemistry and threats. Aquat. Biol. 2002, 73, 325–350. [Google Scholar] [CrossRef]
  162. Spierenburg, P.; Lucassen, E.C.H.E.T.; Pulido, C.; Smolders, A.J.P.; Roelofs, J.G.M. Massive uprooting of Littorella uniflora (L.) Asch. during a storm event and its relation to sediment and plant characteristics. Plant Biol. 2012, 15, 955–962. [Google Scholar] [CrossRef]
  163. Makavičiūtė, J.; Sinkevičienė, Z. Unusual vegetative propagation of water lobelia (Lobelia dortmanna) in Lake Salinis (Lithuania). Bot. Lith. 2011, 17, 185–187. [Google Scholar]
  164. Irfanullah, H.M.; Moss, B. Factors influencing the return of submerged plants to a clear-water, shallow temperate lake. Aquat. Bot. 2004, 80, 177–191. [Google Scholar] [CrossRef]
  165. Arts, G.H.P. Deterioration of Atlantic soft water macrophyte communities by acidification, eutrophication and alkalinisation. Aquat. Bot. 2002, 73, 373–393. [Google Scholar] [CrossRef]
  166. Droppo, I.G. Biofilm and bed stability of five contrasting freshwater sediments. Mar. Freshw. Res. 2009, 60, 690–699. [Google Scholar] [CrossRef]
  167. Fang, H.; Shang, Q.; Chen, M.; He, G. Changes in the critical erosion velocity for sediment colonized by biofilm. Sedimentology 2014, 61, 648–659. [Google Scholar] [CrossRef]
  168. Hope, J.A.; Paterson, D.M.; Thrush, S.F. The role of microphytobenthos in soft-sediment ecological networks and their contribution to the delivery of multiple ecosystem services. J. Ecol. 2020, 108, 815–830. [Google Scholar] [CrossRef]
  169. Li, W.; Xu, X.; Fujibayashi, M.; Niu, Q.; Tanaka, N.; Nishimura, O. Response of microalgae to elevated CO2 and temperature: Impact of climate change on freshwater ecosystems. Environ. Sci. Pollut. Res. 2016, 23, 19847–19860. [Google Scholar] [CrossRef] [PubMed]
  170. Raun, A.L.; Borum, J.; Sand-Jensen, K. Influence of sediment organic enrichment and water alkalinity on growth of aquatic isoetid and elodeid plants. Freshw. Biol. 2010, 55, 1891–1904. [Google Scholar] [CrossRef]
  171. Sand-Jensen, K.; Borum, J. Epiphyte shading and its effect on photosynthesis and diel metabolism of Lobelia dortmanna L. during the spring bloom in a Danish Lake. Aquat. Bot. 1984, 20, 109–119. [Google Scholar] [CrossRef]
  172. Oosterlynck, P.; De Saeger, S.; Leyssen, A.; Provoost, S.; Thomaes, A.; Vandevoorde, B.; Wouters, J.; Paelinckx, D. Criteria voor de Beoordeling van de Lokale Staat van Instandhouding van de Natura2000 Habitattypen in Vlaanderen. Versie 3.0. Rapporten van het Instituut voor Natuur- en Bosonderzoek 27; Instituut voor Natuur- en Bosonderzoek: Brussel, Belgium, 2020. [Google Scholar] [CrossRef]
  173. Bobbink, R.; Loran, C.; Tomassen, H. Review and Revision of Empirical Critical Loads of Nitrogen for EUROPE. TEXTE 110/2022, CCE; Umweltbundesamt: Dessau-Roßlau, Germany, 2022. [Google Scholar]
  174. Borman, S.C.; Galatowitsch, S.M.; Newman, R.M. The effects of species immigrations and changing conditions on isoetid communities. Aquat. Bot. 2009, 91, 143–150. [Google Scholar] [CrossRef]
  175. Brouwer, E.; Denys, L.; Lucassen, E.C.H.E.T.; Buiks, M.; Onkelinx, T. Competitive strength of Australian swamp stonecrop (Crassula helmsii) invading moorland pools. Aquat. Invasions 2017, 12, 321–331. [Google Scholar] [CrossRef]
  176. van der Loop, J.M.M.; Tjampens, J.; Vogels, J.J.; van Kleef, H.H.; Lamers, L.P.M.; Leuven, R.S.E.W. Reducing nutrient availability and enhancing biotic resistance limits settlement and growth of the invasive Australian swamp stonecrop (Crassula helmsii). Biol. Invasions 2020, 22, 3391–3402. [Google Scholar] [CrossRef]
  177. van Kleef, H.H.; van der Loop, J.M.M.; van Veenhuisen, L.S. Low resource competition, availability of nutrients and water level fluctuations facilitate invasions of Australian swamp stonecrop (Crassula helmsii). Diversity 2024, 1631, 172. [Google Scholar] [CrossRef]
  178. van Doorn, J.; Lucassen, E.C.H.E.T.; van Roosmalen, M.I.J.T.; Smolders, A.J.P. Carbon limitation and aluminium toxicity prevents dominance of Crassula helmsii on weakly buffered soils. Aquat. Bot. 2024, 191, 103737. [Google Scholar] [CrossRef]
  179. Bieker, V.C.; Martin, M.D. Implications and future prospects for evolutionary analyses of DNA in historical herbarium collections. Bot. Lett. 2018, 165, 409–418. [Google Scholar] [CrossRef]
  180. Daru, B.H.; Park, D.S.; Primack, R.B.; Willis, C.G.; Barrington, D.S.; Whitfeld, T.J.S.; Seidler, T.G.; Sweeney, P.W.; Foster, D.R.; Ellison, A.M.; et al. Widespread sampling biases in herbaria revealed from large-scale digitization. New Phytol. 2018, 217, 939–955. [Google Scholar] [CrossRef]
Figure 1. Location of the Turnhouts Vennengebied (blue star) within Belgium and the Kempen ecoregion (orange); insert shows location within Europe.
Figure 1. Location of the Turnhouts Vennengebied (blue star) within Belgium and the Kempen ecoregion (orange); insert shows location within Europe.
Diversity 16 00487 g001
Figure 2. The Zwart Water and its surroundings: (A) topography, bathymetry and delimitation of topographic catchment; (B) drainage pattern before (yellow arrows) and after (blue arrows) 2004. White arrows indicate direction of surface run-off and superficial groundwater inflow. Surface outflow is limited to winter and early spring. Red stars indicate diatom sampling sites from 1998 to 2023.
Figure 2. The Zwart Water and its surroundings: (A) topography, bathymetry and delimitation of topographic catchment; (B) drainage pattern before (yellow arrows) and after (blue arrows) 2004. White arrows indicate direction of surface run-off and superficial groundwater inflow. Surface outflow is limited to winter and early spring. Red stars indicate diatom sampling sites from 1998 to 2023.
Diversity 16 00487 g002
Figure 3. Historical land cover surrounding Zwart Water: (A) c. 1777—(left) original [50] and (right) interpreted; (B) c. 1873—(left) original [51] and (right) interpreted; (C) 2009—(left) topographical map [52] 2022—(right) land use map [53].
Figure 3. Historical land cover surrounding Zwart Water: (A) c. 1777—(left) original [50] and (right) interpreted; (B) c. 1873—(left) original [51] and (right) interpreted; (C) 2009—(left) topographical map [52] 2022—(right) land use map [53].
Diversity 16 00487 g003
Figure 4. Chronology of events and interventions for the Zwart Water pond. Events and measures: black circles and arrows; dry years: red circles, filled if extreme; wet years: blue circles, filled if extreme [55].
Figure 4. Chronology of events and interventions for the Zwart Water pond. Events and measures: black circles and arrows; dry years: red circles, filled if extreme; wet years: blue circles, filled if extreme [55].
Diversity 16 00487 g004
Figure 5. Selected impairment-sensitive softwater taxa (target taxa), light microscopy: (A) Achnanthidium cf. caledonicum (Lange-Bertalot) Lange-Bertalot; (BE) A. sieminskae Witkowski, Kulikovskiy & Riaux-Gobin; (F) Brachysira garrensis (Lange-Bertalot & Krammer) Lange-Bertalot; (G) B. microcephala (Grunow) Compère; (HK) B. procera Lange-Bertalot & G. Moser; (L,M) Caloneis undosa Krammer; (N) Chamaepinnularia evanida (Hustedt) Lange-Bertalot; (O) C. rhombelliptica Lange-Bertalot; (P) Encyonema brevicapitatum Krammer morphotype 2; (Q) E. neogracile Krammer morphotype 1; (R) E. neogracile var. tenuipunctatum Krammer; (SY) E. perpusillum (A.Cleve) D.G.Mann; (Z) Encyonopsis descripta (Hustedt) Krammer; (AAAE) E. falaisensis (Grunow) Krammer; (AF) E. lanceola (Grunow) Krammer; (AG) Eucocconeis alpestris (Brun) Lange-Bertalot; (AH) Eunotia arculus Lange-Bertalot & Nörpel; (AIAJ) E. fennica (Hustedt) Lange-Bertalot; (AK) E. neocompacta S.Mayama; (AL) E. ursamaioris Lange-Bertalot & Nörpel-Schempp; (AM,AO) Fallacia vitrea (Østrup) D.G.Mann; (AP) Gomphonema acidoclinatum Lange-Bertalot & E.Reichardt; (AQ) G. exilissimum (Grunow) Lange-Bertalot & E.Reichardt; (AR) G. hebridense W.Gregory.
Figure 5. Selected impairment-sensitive softwater taxa (target taxa), light microscopy: (A) Achnanthidium cf. caledonicum (Lange-Bertalot) Lange-Bertalot; (BE) A. sieminskae Witkowski, Kulikovskiy & Riaux-Gobin; (F) Brachysira garrensis (Lange-Bertalot & Krammer) Lange-Bertalot; (G) B. microcephala (Grunow) Compère; (HK) B. procera Lange-Bertalot & G. Moser; (L,M) Caloneis undosa Krammer; (N) Chamaepinnularia evanida (Hustedt) Lange-Bertalot; (O) C. rhombelliptica Lange-Bertalot; (P) Encyonema brevicapitatum Krammer morphotype 2; (Q) E. neogracile Krammer morphotype 1; (R) E. neogracile var. tenuipunctatum Krammer; (SY) E. perpusillum (A.Cleve) D.G.Mann; (Z) Encyonopsis descripta (Hustedt) Krammer; (AAAE) E. falaisensis (Grunow) Krammer; (AF) E. lanceola (Grunow) Krammer; (AG) Eucocconeis alpestris (Brun) Lange-Bertalot; (AH) Eunotia arculus Lange-Bertalot & Nörpel; (AIAJ) E. fennica (Hustedt) Lange-Bertalot; (AK) E. neocompacta S.Mayama; (AL) E. ursamaioris Lange-Bertalot & Nörpel-Schempp; (AM,AO) Fallacia vitrea (Østrup) D.G.Mann; (AP) Gomphonema acidoclinatum Lange-Bertalot & E.Reichardt; (AQ) G. exilissimum (Grunow) Lange-Bertalot & E.Reichardt; (AR) G. hebridense W.Gregory.
Diversity 16 00487 g005
Figure 6. Selected impairment-sensitive softwater taxa (target taxa), light microscopy: (A) Iconella densestriata (Hustedt) L.Denys comb. nov.; (B) I. delicatissima (F.W.Lewis) Ruck & Nakov morphotype 1; (C,D) I. delicatissima morphotype ‘longirostris’; (E,F) Kobayasiella micropunctata (H.Germain) Lange-Bertalot; (G) K. subtilissima (Cleve) Lange-Bertalot; (H,I) K. tintinnus Buczkó, Wojtal & R.Jahn; (J) Microcostatus krasskei (Hustedt) J.R.Johansen & Sray; (K) Neidium densestriatum (Østrup) Krammer; (L,M) N. hercynicum Ant.Mayer; (N) N. longiceps (W.Gregory) R.Ross; (O) Nitzschia acidoclinata Lange-Bertalot; (P) N. alpina Hustedt; (Q) N. lacuum Lange-Bertalot; (R) N. perminuta Grunow; (S) Oxyneis binalis var. elliptica (R.J.Flower) J.C.Kingston; (TV) Peronia fibula (Brébisson ex Kützing) R.Ross; (W) Pinnularia biceps Gregory; (X) P. obscura Krasske morphotype 1; (Y) P. polyonca var. sumatrana Krammer; (Z) Psammothidium altaicum (V.S.Poretzky) Bukhtiyarova; (AA,AB) P. scoticum (R.J.Flower & V.J.Jones) Bukhtiyarova & Round; (AC) Staurosirella oldenburgiana (Hustedt) Morales.
Figure 6. Selected impairment-sensitive softwater taxa (target taxa), light microscopy: (A) Iconella densestriata (Hustedt) L.Denys comb. nov.; (B) I. delicatissima (F.W.Lewis) Ruck & Nakov morphotype 1; (C,D) I. delicatissima morphotype ‘longirostris’; (E,F) Kobayasiella micropunctata (H.Germain) Lange-Bertalot; (G) K. subtilissima (Cleve) Lange-Bertalot; (H,I) K. tintinnus Buczkó, Wojtal & R.Jahn; (J) Microcostatus krasskei (Hustedt) J.R.Johansen & Sray; (K) Neidium densestriatum (Østrup) Krammer; (L,M) N. hercynicum Ant.Mayer; (N) N. longiceps (W.Gregory) R.Ross; (O) Nitzschia acidoclinata Lange-Bertalot; (P) N. alpina Hustedt; (Q) N. lacuum Lange-Bertalot; (R) N. perminuta Grunow; (S) Oxyneis binalis var. elliptica (R.J.Flower) J.C.Kingston; (TV) Peronia fibula (Brébisson ex Kützing) R.Ross; (W) Pinnularia biceps Gregory; (X) P. obscura Krasske morphotype 1; (Y) P. polyonca var. sumatrana Krammer; (Z) Psammothidium altaicum (V.S.Poretzky) Bukhtiyarova; (AA,AB) P. scoticum (R.J.Flower & V.J.Jones) Bukhtiyarova & Round; (AC) Staurosirella oldenburgiana (Hustedt) Morales.
Diversity 16 00487 g006
Figure 7. Selected commonly occurring acidic water taxa (trivial), light microscopy: (A) Eunotia bilunaris (Ehrenberg) Schaarschmidt; (BN) Eunotia botuliformis F.Wild, Nörpel & Lange-Bertalot; (OQ) E. implicata Nörpel, Lange-Bertalot & Alles; (R) E. incisa W.Smith ex W.Gregory; (S) E. minor; (T,U) E. mucophila (Lange-Bertalot, Nörpel-Schempp & Alles) Lange-Bertalot; (VX) E. rhomboidea Hustedt; (YAA) E. sphagnicola Van de Vijver, A.Mertens & Lange-Bertalot; (AB) Frustulia crassinervia (Brébisson ex W.Smith) Lange-Betalot & Krammer; (AC) F. saxonica Rabenhorst morphotype 2; (AD) Pinnularia nanomicrostauron M.Kulikovskiy, Lange-Bertalot & Metzeltin; (AE) P. subcapitata W.Gregory; (AF) P. subcapitata var. elongata Krammer; (AG) Stauroneis acidoclinatopsis Van de Vijver & Lange-Bertalot; (AH) Tabellaria quadriseptata B.M.Knudson.
Figure 7. Selected commonly occurring acidic water taxa (trivial), light microscopy: (A) Eunotia bilunaris (Ehrenberg) Schaarschmidt; (BN) Eunotia botuliformis F.Wild, Nörpel & Lange-Bertalot; (OQ) E. implicata Nörpel, Lange-Bertalot & Alles; (R) E. incisa W.Smith ex W.Gregory; (S) E. minor; (T,U) E. mucophila (Lange-Bertalot, Nörpel-Schempp & Alles) Lange-Bertalot; (VX) E. rhomboidea Hustedt; (YAA) E. sphagnicola Van de Vijver, A.Mertens & Lange-Bertalot; (AB) Frustulia crassinervia (Brébisson ex W.Smith) Lange-Betalot & Krammer; (AC) F. saxonica Rabenhorst morphotype 2; (AD) Pinnularia nanomicrostauron M.Kulikovskiy, Lange-Bertalot & Metzeltin; (AE) P. subcapitata W.Gregory; (AF) P. subcapitata var. elongata Krammer; (AG) Stauroneis acidoclinatopsis Van de Vijver & Lange-Bertalot; (AH) Tabellaria quadriseptata B.M.Knudson.
Diversity 16 00487 g007
Figure 8. Selected acidification indicators and taxa from acidic nutrient-enriched water, light microscopy: (A) Chamaepinnularia mediocris (Krasske) Lange-Bertalot; (B–G) Eunotia exigua (Brébisson ex Kützing) Rabenhorst; (H) E. juettnerae Lange-Bertalot; (I) E. naegelii Migula; (J–L) E. neocompacta var. vixcompacta Lange-Bertalot; (M–R) Fragilaria radians (Kützing) D.M.Williams & Round; (S–V) Nitzschia paleaeformis Hustedt; (W) Pinnularia acidophila G.Hofmann & Krammer; (X,Y) Psammothidium helveticum (Hustedt) Bukhtiyarova & Round; (Z,AA) Sellaphora difficilima (Hustedt) C.E.Wetzel, Ector & D.G.Mann.
Figure 8. Selected acidification indicators and taxa from acidic nutrient-enriched water, light microscopy: (A) Chamaepinnularia mediocris (Krasske) Lange-Bertalot; (B–G) Eunotia exigua (Brébisson ex Kützing) Rabenhorst; (H) E. juettnerae Lange-Bertalot; (I) E. naegelii Migula; (J–L) E. neocompacta var. vixcompacta Lange-Bertalot; (M–R) Fragilaria radians (Kützing) D.M.Williams & Round; (S–V) Nitzschia paleaeformis Hustedt; (W) Pinnularia acidophila G.Hofmann & Krammer; (X,Y) Psammothidium helveticum (Hustedt) Bukhtiyarova & Round; (Z,AA) Sellaphora difficilima (Hustedt) C.E.Wetzel, Ector & D.G.Mann.
Diversity 16 00487 g008
Figure 9. Selected eurytopic and eutraphentic taxa from nonacidic water, light microscopy: (AC) Achnanthidium minutissimum (Kützing) Czarnecki; (D) Cymbopleura naviculiformis (Auerswald) Krammer; (E) Encyonema silesiacum (Bleisch) D.G.Mann; (FJ) Fragilaria pectinalis (O.F.Müller) Lyngbye; (K,L) F. tenera (W.Smith) Lange-Bertalot; (M,N) Navicula rhynchocephala Kützing; (O) N. veneta Kützing; (P,Q) Nitzschia gracilis Hantzsch; (R) Nitzschia media Hantzsch; (SW) N. recta Hantzsch ex Rabenhorst; (X) Sellaphora cosmopolitana (Lange-Bertalot) C.E.Wetzel & Ector; (Y) S. capitata D.G.Mann & S.M.McDonald; (Z) S. pupula (Kützing) Mereschkovsky morphotype tidy; (AA) S. pupula morphotype wide tidy; (AB,AC) Surirella amphioxys W.Smith.
Figure 9. Selected eurytopic and eutraphentic taxa from nonacidic water, light microscopy: (AC) Achnanthidium minutissimum (Kützing) Czarnecki; (D) Cymbopleura naviculiformis (Auerswald) Krammer; (E) Encyonema silesiacum (Bleisch) D.G.Mann; (FJ) Fragilaria pectinalis (O.F.Müller) Lyngbye; (K,L) F. tenera (W.Smith) Lange-Bertalot; (M,N) Navicula rhynchocephala Kützing; (O) N. veneta Kützing; (P,Q) Nitzschia gracilis Hantzsch; (R) Nitzschia media Hantzsch; (SW) N. recta Hantzsch ex Rabenhorst; (X) Sellaphora cosmopolitana (Lange-Bertalot) C.E.Wetzel & Ector; (Y) S. capitata D.G.Mann & S.M.McDonald; (Z) S. pupula (Kützing) Mereschkovsky morphotype tidy; (AA) S. pupula morphotype wide tidy; (AB,AC) Surirella amphioxys W.Smith.
Diversity 16 00487 g009
Figure 10. Taxa from organically polluted and high-conductivity water (i.e,. disturbance indicators), light microscopy: (A) Achnanthidium saprophilum (H.Kobayashi & Mayama) Round & Bukhtiyarova; (BG) Gomphonema innocens E.Reichardt; (H,I) G. parvulum (Kützing) Kützing; (JU) Nitzschia microcephala Grunow; (VX) N. palea (Kützing) W.Smith.
Figure 10. Taxa from organically polluted and high-conductivity water (i.e,. disturbance indicators), light microscopy: (A) Achnanthidium saprophilum (H.Kobayashi & Mayama) Round & Bukhtiyarova; (BG) Gomphonema innocens E.Reichardt; (H,I) G. parvulum (Kützing) Kützing; (JU) Nitzschia microcephala Grunow; (VX) N. palea (Kützing) W.Smith.
Diversity 16 00487 g010
Figure 11. Taxa not yet attributed to any of the ecological groups (unknown), light microscopy: (A) Achnanthidium affinis Grunow; (B) A. cf. barlasii Solak, Wojtal, S.Blanco, Peszek & M.Rybak; (C) A. lusitanicum Novais & M.Morais; (D,E) A. peetersianum Wetzel, Juttner & Ector; (F,G) A. nanum (F.Meister) Novais & Jüttner; (HL) A. tepidaricola Van de Vijver & M.De Haan; (M) A. tepidaricola, aggregate in peroxide-cleaned sample; (N) Eunotia genuflexa Nörpel-Schempp; (O) E. trinacria Krasske; (PR) Fragilaria aquaplus Lange-Bertalot & S.Ulrich; (S) F. aff. prolongata (Grunow) Van de Vijver, C.E.Wetzel, Kusber & Ector and radians; (T) F. heudreana Van de Vijver, C.E.Wetzel & Ector; (U,V) Gomphonema varioreduncum Jüttner, Ector, E. Reichardt, Van de Vijver & E.J.Cox; (W) Iconella linearis (W.Smith) Ruck & Nakov; (X) Navicula tenelloides Hustedt; (YAA) Nitzschia oligotraphenta (Lange-Bertalot) Lange-Bertalot; (ABAE) N. palea var. debilis (Kützing) Grunow; (AF) N. pseudofonticola Hustedt; (AGAI) Pinnularia silvatica J.B.Petersen; (AJ) Rhopalodia operculata (C.Agardh) Håkansson.
Figure 11. Taxa not yet attributed to any of the ecological groups (unknown), light microscopy: (A) Achnanthidium affinis Grunow; (B) A. cf. barlasii Solak, Wojtal, S.Blanco, Peszek & M.Rybak; (C) A. lusitanicum Novais & M.Morais; (D,E) A. peetersianum Wetzel, Juttner & Ector; (F,G) A. nanum (F.Meister) Novais & Jüttner; (HL) A. tepidaricola Van de Vijver & M.De Haan; (M) A. tepidaricola, aggregate in peroxide-cleaned sample; (N) Eunotia genuflexa Nörpel-Schempp; (O) E. trinacria Krasske; (PR) Fragilaria aquaplus Lange-Bertalot & S.Ulrich; (S) F. aff. prolongata (Grunow) Van de Vijver, C.E.Wetzel, Kusber & Ector and radians; (T) F. heudreana Van de Vijver, C.E.Wetzel & Ector; (U,V) Gomphonema varioreduncum Jüttner, Ector, E. Reichardt, Van de Vijver & E.J.Cox; (W) Iconella linearis (W.Smith) Ruck & Nakov; (X) Navicula tenelloides Hustedt; (YAA) Nitzschia oligotraphenta (Lange-Bertalot) Lange-Bertalot; (ABAE) N. palea var. debilis (Kützing) Grunow; (AF) N. pseudofonticola Hustedt; (AGAI) Pinnularia silvatica J.B.Petersen; (AJ) Rhopalodia operculata (C.Agardh) Håkansson.
Diversity 16 00487 g011
Figure 12. Recorded incidence of macrophytes in Zwart Water, classified by their optimal occurrence along the general alkalinity/trophic gradient (low, medium or high; see text).
Figure 12. Recorded incidence of macrophytes in Zwart Water, classified by their optimal occurrence along the general alkalinity/trophic gradient (low, medium or high; see text).
Diversity 16 00487 g012
Figure 13. Relative abundances (%) of taxa attaining at least 2.5% in one of the samples from Zwart Water, ordered, from left to right, according to their weighted average by year. Blue: target taxa, cyan: trivial acidic water taxa, green: eurytopic taxa, red: acidification indicators, orange: taxa from acidic, nutrient-enriched water, brown: eutraphentic taxa, black: taxa from organically polluted or high-conductivity water, grey: not yet attributed taxa.
Figure 13. Relative abundances (%) of taxa attaining at least 2.5% in one of the samples from Zwart Water, ordered, from left to right, according to their weighted average by year. Blue: target taxa, cyan: trivial acidic water taxa, green: eurytopic taxa, red: acidification indicators, orange: taxa from acidic, nutrient-enriched water, brown: eutraphentic taxa, black: taxa from organically polluted or high-conductivity water, grey: not yet attributed taxa.
Diversity 16 00487 g013
Figure 14. Evolution of the diversity measures for the diatom assemblages in Zwart Water (S_500: number of taxa in a count of 500 valves) and their Bray–Curtis (B–C) similarities to the 1932 sample.
Figure 14. Evolution of the diversity measures for the diatom assemblages in Zwart Water (S_500: number of taxa in a count of 500 valves) and their Bray–Curtis (B–C) similarities to the 1932 sample.
Diversity 16 00487 g014
Figure 15. DCA ordination of the diatom assemblage in Zwart Water, first two axes: (A) time trajectory indicated with dashed arrows, ‘?’ indicating uncertainty on precise sample provenance (see text) and red lines connecting samples from the same date; (B) taxa plot with the colours indicating ecological groups—dark blue: target taxon, light blue: trivial acidic water taxon, red: acidification indicator, orange: indicator of acidic, nutrient-enriched water, brown: eutraphentic taxon, black: pollution indicator, grey: unknown.
Figure 15. DCA ordination of the diatom assemblage in Zwart Water, first two axes: (A) time trajectory indicated with dashed arrows, ‘?’ indicating uncertainty on precise sample provenance (see text) and red lines connecting samples from the same date; (B) taxa plot with the colours indicating ecological groups—dark blue: target taxon, light blue: trivial acidic water taxon, red: acidification indicator, orange: indicator of acidic, nutrient-enriched water, brown: eutraphentic taxon, black: pollution indicator, grey: unknown.
Diversity 16 00487 g015
Figure 16. Evolution of the relative abundances of ecological diatom groups in Zwart Water.
Figure 16. Evolution of the relative abundances of ecological diatom groups in Zwart Water.
Diversity 16 00487 g016
Figure 17. Evolution of the weighted-average scores of the diatom indicator values and inferred pHs (pHWA) in Zwart Water.
Figure 17. Evolution of the weighted-average scores of the diatom indicator values and inferred pHs (pHWA) in Zwart Water.
Diversity 16 00487 g017
Figure 18. Evolution of macrophyte abundance (dot size, increasing from present to abundant) in Zwart Water as inferred from available vegetation relevées and ad hoc observations (open circles). Species are grouped according to their optimal occurrences along the general alkalinity/trophic gradient (low, medium or high; see text).
Figure 18. Evolution of macrophyte abundance (dot size, increasing from present to abundant) in Zwart Water as inferred from available vegetation relevées and ad hoc observations (open circles). Species are grouped according to their optimal occurrences along the general alkalinity/trophic gradient (low, medium or high; see text).
Diversity 16 00487 g018
Figure 19. Selected physical–chemical variables by year: (A) aluminium; (B) acid-neutralising capacity; (C) calcium; (D) chloride nitrogen; (E) electric conductivity; (F) bicarbonate; (G) ammonium; (H) nitrate nitrogen; (I) pH; (J) phosphate; (K) sulphate; (L) total phosphorus.
Figure 19. Selected physical–chemical variables by year: (A) aluminium; (B) acid-neutralising capacity; (C) calcium; (D) chloride nitrogen; (E) electric conductivity; (F) bicarbonate; (G) ammonium; (H) nitrate nitrogen; (I) pH; (J) phosphate; (K) sulphate; (L) total phosphorus.
Diversity 16 00487 g019
Table 1. Ecological groups of diatoms occurring in low-alkalinity water bodies (see text). * Original attribution for A. minutissimum s.l. but used here for A. minutissimum s.s., only.
Table 1. Ecological groups of diatoms occurring in low-alkalinity water bodies (see text). * Original attribution for A. minutissimum s.l. but used here for A. minutissimum s.s., only.
Ecological GroupEnvironmental Indication
target speciesoptimally occurring in nutrient-poor and unpolluted, slightly buffered water (e.g., Figure 5 and Figure 6)
trivial taxa from acidic waterwidely distributed in moderately acidic or dystrophic conditions (e.g., Figure 7)
acidification indicatorsindicators of mineral-acidic conditions (extremely low pH, high sulphate concentrations, and metal tolerant, e.g., Eunotia exigua; Figure 8)
taxa from acidic nutrient-enriched wateroccurring in acid(-ified) eutrophicated water (Figure 8)
eurytopic taxaextremely widespread in nonacidic but not strongly polluted or hypertrophic conditions (Achnanthidium minutissimum *; Figure 9)
eutraphentic taxa from nonacidic watercommon in ± neutral to alkaline, nutrient-rich conditions (e.g., Figure 9)
disturbance indicatorsoptimally occurring in organically polluted or high-conductivity (±brackish) water (e.g., Figure 10)
Disclaimer/Publisher’s Note: The statements, opinions and data contained in all publications are solely those of the individual author(s) and contributor(s) and not of MDPI and/or the editor(s). MDPI and/or the editor(s) disclaim responsibility for any injury to people or property resulting from any ideas, methods, instructions or products referred to in the content.

Share and Cite

MDPI and ACS Style

Denys, L.; Packet, J.; Leyssen, A.; Vanderhaeghe, F. The Recent Environmental History, Attempted Restoration and Future Prospects of a Challenged Lobelia Pond in Northeastern Belgium. Diversity 2024, 16, 487. https://doi.org/10.3390/d16080487

AMA Style

Denys L, Packet J, Leyssen A, Vanderhaeghe F. The Recent Environmental History, Attempted Restoration and Future Prospects of a Challenged Lobelia Pond in Northeastern Belgium. Diversity. 2024; 16(8):487. https://doi.org/10.3390/d16080487

Chicago/Turabian Style

Denys, Luc, Jo Packet, An Leyssen, and Floris Vanderhaeghe. 2024. "The Recent Environmental History, Attempted Restoration and Future Prospects of a Challenged Lobelia Pond in Northeastern Belgium" Diversity 16, no. 8: 487. https://doi.org/10.3390/d16080487

APA Style

Denys, L., Packet, J., Leyssen, A., & Vanderhaeghe, F. (2024). The Recent Environmental History, Attempted Restoration and Future Prospects of a Challenged Lobelia Pond in Northeastern Belgium. Diversity, 16(8), 487. https://doi.org/10.3390/d16080487

Note that from the first issue of 2016, this journal uses article numbers instead of page numbers. See further details here.

Article Metrics

Back to TopTop