A Formal and Visual Data-Mining Model for Complex Ship Behaviors and Patterns
Abstract
:1. Introduction
2. Related Work
3. Ship Behavior and Trajectory Representation
3.1. Ship Trajectory Representation
3.2. Ship Behavior Characteristics
3.2.1. Time Characteristics
- Time series: T = {,,…,} is a set of timestamps with , and m < n; then, .
- A series of short time intervals: T = {,,…,} is a time series where any two of its adjacent timestamps satisfy , where g is a time threshold.
- A series of persistent short time intervals: T = {,,…,} is a series of short time intervals with an additional constraint, that is, any of its adjacent timestamps satisfy , where l is a time threshold.
- A long interval of time: T = {,,…,} denotes the timestamps set of the trajectory of the moving object, and there are two adjacent timestamps T in , m ≤ c − 1, satisfying , where h is the ss of the long interval of time.
3.2.2. Spatial Characteristics
3.3. Ship’s Basic Behaviors
3.3.1. Microlevel Basic Behavior Patterns
- (1)
- Mobile behavior pattern [26] (<Mobile, , ()>)
- (2)
- Stay behavioral pattern (<STAY, ,()>)
- (3)
- Jumping behavioral pattern (<Jump, , ()>)
- (5)
- Deviation behavioral pattern (<Dev, , ()>)
3.3.2. Macrolevel Basic Behavioral Patterns
- (1)
- Gather behavioral pattern [30] (<Gather, (, ), ()>)
- (2)
- Origin destination behavioral pattern [33] (<OD(place1,place2), , ()>)
- (3)
- Turn back behavior pattern (<Tback(place1,place2…), , ()>)
3.4. Behavioral Pattern Combination
3.4.1. Minimum Operation Subset
3.4.2. Complex Behavioral Combinatorial Operations
4. Ship Behavioral Pattern (CSBP)—Mining Visual Patterns
4.1. Logical Combinatorial Visualization
4.2. Temporal Combinatorial Visualization
- (1)
- Sequential combinatorial visualization
- (2)
- Potential sequential combinatorial visualization
- (3)
- Iterative combinatorial visualization
- (4)
- Embedded combinatorial visualization
- (5)
- Composite visualization
4.3. Visual Analysis of Complex Ship Behaviors
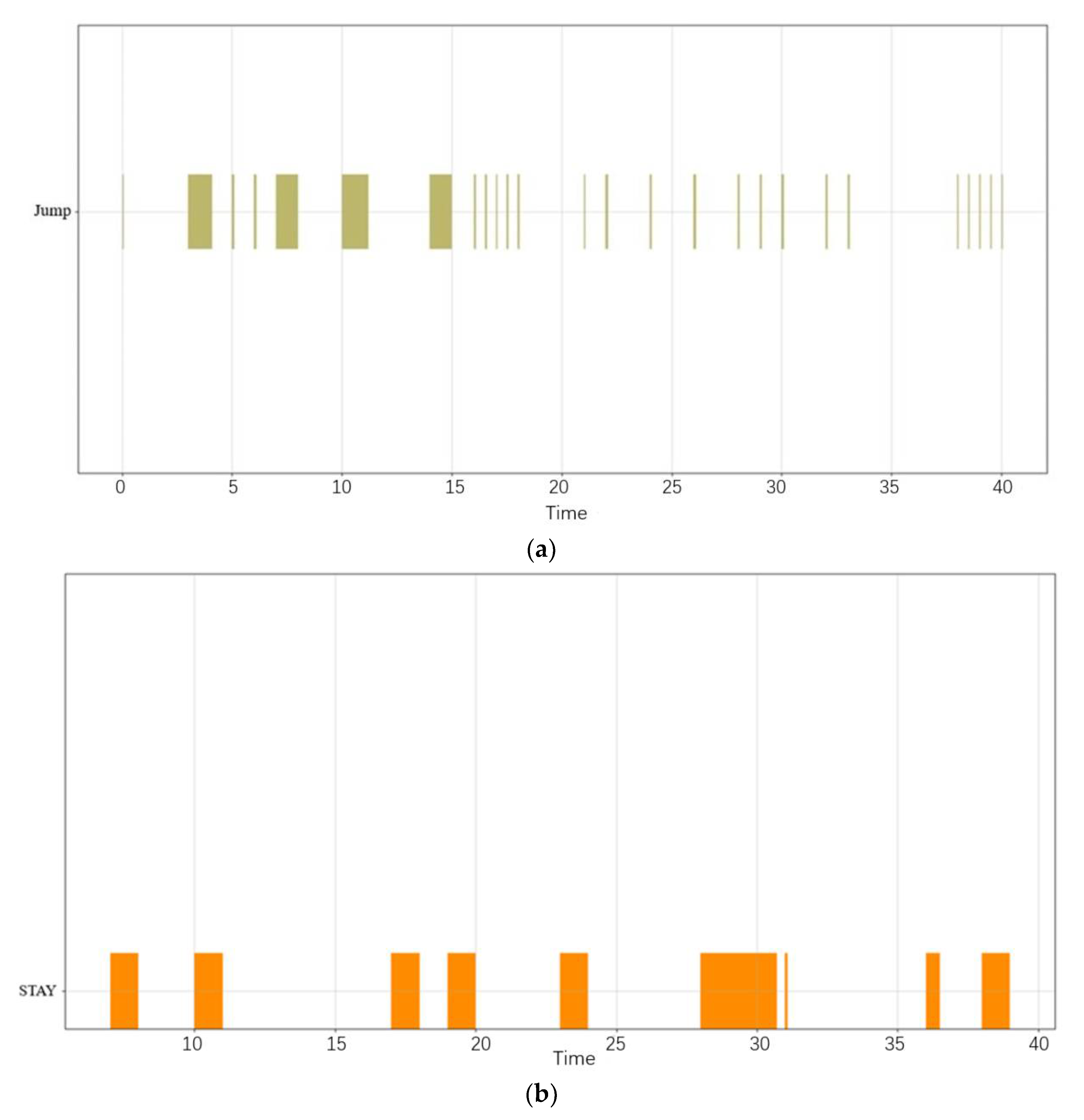
4.3.1. Visualization of a Ship Navigation Behavior
4.3.2. Analysis of Complex Ship Behavior
5. Instance Application
5.1. Visual Analysis of Complex Ship Behaviors
5.2. Frequent Behavior Patterns Uncover Suspicious Ships
5.3. Uncovering Suspicious Ships
6. Discussion and Conclusions
Author Contributions
Funding
Institutional Review Board Statement
Informed Consent Statement
Data Availability Statement
Acknowledgments
Conflicts of Interest
Appendix A
| Behavior Patterns | Micro Behavior Patterns | Macro Behavior Patterns | ||||||
|---|---|---|---|---|---|---|---|---|
| Behavior Characteristics | Mobile | Stay | Jumping | Deviation | Gather | Origin Destination | Turn Back | |
| Time characteristics | Time series | √ | √ | √ | √ | √ | √ | √ | 
| Short time interval | √ | √ | √ | √ | √ | √ | ||
| Time duration | √ | √ | √ | √ | √ | √ | ||
| Long time interval | √ | |||||||
| Spatial characteristics | Density connectivity | √ | ||||||
| Spatial nearest neighbor | √ | √ | ||||||
| Positional deviation | √ | |||||||
| Other characteristics | Low speed retention | √ | √ | |||||
| Speed stability | √ | |||||||
| Mobile stability | √ | |||||||
| Position sequence symmetry | √ | |||||||
| Category | Category Description | Temporal Relationship | Symbolic Representation | Inverse Notation | 
|---|---|---|---|---|
| The timestamps between the two events do not overlap at all | The sequence of events that can distinguish between two events | C1 before C2 | < | > | 
| C1 meets C2 | m | mi | ||
| The timestamps between the two events overlap completely | There are two events in a full-time period | C1 equal C2 | = | = | 
| The timestamps between the two events overlap | Two events exist at the same time in some time segments | C1 during C2 | d | di | 
| C1 starts C2 | s | si | ||
| C1 finishes C2 | f | fi | ||
| C1 overlaps C2 | o | oi | 
| Definition | Example | Example Semantics | |
|---|---|---|---|
| Sequential combination operations | The sequential combinatorial operation requires that events that occur in the target object be sequenced in chronological order. | 1. In chronological order, events A, B, and C occur in the order of the event. 2. Event B occurs at least T for a period of time. 3. After event B occurs, event C and event E occur at the same time. | |
| Potential sequential combinatorial operations | The potential sequence combinatorial operation refers to the incomplete confirmation of the sequence of events that occur in the target object, represented by the symbol “*“. | Indicates that the complex event is triggered by the potential sequence of events A and B, and its combination operation expression semantics is as follows: 1. Event A occurs first to the target object in chronological order. 2. Subsequent event B. 3. After event A and before event B, there are none, one or more events. | |
| Embedded combinatorial operation | The embedded combinatorial operation refers to the existence of an event with a large interval, during which other events occur. | Indicates that the complex event is composed of four events A, B, C, and D. Among these events, events B, C, and D are embedded in the time interval of event A. The embedded combination operation expresses the semantics as follows: within the time period of event A, event B, event C, and event D occur successively. | |
| Iterative combinatorial operation | The iterative combinatorial operation refers to the events that occur in the target object, which occur iteratively in the time series, represented by . | 1. Event A, event B, and event C occur in chronological order. 2. The whole process is iterated n times. | 
References
- Wrobel, K. Searching for the origins of the myth: 80% human error impact on maritime safety. Reliab. Eng. Syst. Saf. 2021, 216, 107942. [Google Scholar] [CrossRef]
- Gao, M.; Shi, G.Y. Ship-handling behavior mode recognition using AIS sub-trajectory clustering analysis based on the T-SNE and spectral clustering algorithms. Ocean Eng. 2020, 205, 106919. [Google Scholar] [CrossRef]
- Pan, X.L.; He, Y.; Wang, H.P.; Xiong, W.; Peng, X. Mining regular behaviors based on multidimensional trajectories. Expert Syst. Appl. 2016, 66, 106–113. [Google Scholar] [CrossRef]
- Zhao, L.B.; Shi, G.Y. A trajectory clustering method based on Douglas-Peucker compression and density for marine traffic mode recognition. Ocean Eng. 2019, 172, 456–467. [Google Scholar] [CrossRef]
- Murray, B.; Perera, L.P. Ship behavior prediction via trajectory extraction-based clustering for maritime situation awareness. J. Ocean Eng. Sci. 2021, 7, 1–13. [Google Scholar] [CrossRef]
- Zhou, Y.; Daamen, W.; Vellinga, T.; Hoogendoorn, S.P. Ship classification based on ship behavior clustering from AIS data. Ocean Eng. 2019, 175, 176–187. [Google Scholar] [CrossRef]
- Zhu, J.; Liu, J.X.; Chen, X.; Li, H.H. Behavior Mode Mining of Inland Vessel Based on Trajectories. Traffic Inf. Secur. 2017, 35, 107–116+132. [Google Scholar]
- Wang, F.; Lei, Y.F.; Liu, Z.G.; Wang, X.; Ji, S.L.; Tung, A. Fast and parameter-light rare behavior detection in maritime trajectories. Inf. Pro-Cessing Manag. 2020, 57, 102268. [Google Scholar] [CrossRef]
- Rong, H.; Teixeira, A.P.; Soares, C.G. Ship trajectory uncertainty prediction based on a Gaussian Process mode. Ocean Engi-Neering 2019, 182, 499–511. [Google Scholar] [CrossRef]
- Karatas, G.B.; Karagoz, P.; Ayran, O. Trajectory mode extraction and anomaly detection for maritime vessels. Internet Things 2021, 16, 100436. [Google Scholar] [CrossRef]
- Chen, Y.; Yuan, P.; Qiu, M.; Pi, D.C. An indoor trajectory frequent mode mining algorithm based on vague grid sequence. Expert Syst. Appl. 2019, 118, 614–624. [Google Scholar] [CrossRef]
- Shou, Z.Y.; Di, X. Similarity analysis of frequent sequential activity mode mining. Transp. Res. Part C 2018, 96, 122–143. [Google Scholar] [CrossRef]
- Van Hage, W.R.; Malaisé, V.; De Vries, G.K.D.; Schreiber, G. Abstracting and Reasoning over Ship Trajectories and Web Data with the Simple Event Model (SEM). Multimed. Tools Appl. 2012, 57, 175–197. [Google Scholar] [CrossRef] [Green Version]
- Wen, Y.Q.; Zhang, Y.M.; Huang, L.; Zhou, C.H.; Xiao, C.S.; Zhang, F.; Peng, X.; Zhan, W.Q.; Sui, Z.Y. Semantic Modelling of Ship Behavior in Harbor Based on Ontol-ogy and Dynamic Bayesian Network. ISPRS Int. J. Geo-Inf. 2019, 8, 107. [Google Scholar] [CrossRef] [Green Version]
- Zhong, S.B.; Wen, Y.Q.; Huang, Y.M.; Cheng, X.D.; Huang, L. Ontological Ship Behavior Modeling Based on COLREGs for Knowledge Reasoning. J. Mar. Sci. Eng. 2022, 10, 203. [Google Scholar] [CrossRef]
- Patroumpas, K.; Alevizos, E.; Artikis, A.; Vodas, M.; Pelekis, N.; Theodoridis, Y. Online event recognition from moving vessel trajectories. GeoInformatica 2017, 21, 389–427. [Google Scholar] [CrossRef]
- Huang, L.; Wen, Y.Q.; Guo, W.; Zhu, X.Y.; Zhou, C.H.; Zhang, F.; Zhu, M. Mobility pattern analysis of ship trajectories based on semantic transformation and topic model. Ocean Eng. 2020, 201, 107092. [Google Scholar] [CrossRef]
- Ni, W.C.; Liu, L.C.; Wu, C. Survey on Web Services Composition Methods. Comput. Eng. 2008, 4, 79–81. [Google Scholar]
- Olba, X.B.; Daamen, W.; Vellinga, T.; Hoogendoorn, S.P. State-of-the-art of port simulation modes for risk and capacity as-sessment based on the vessel navigational behavior through the nautical infrastructure. J. Traffic Transp. Eng. 2018, 5, 335–347. [Google Scholar]
- Wei, Z.K.; Xie, X.L.; Zhang, X.J. AIS trajectory simplification algorithm considering ship behaviors. Ocean Eng. 2020, 216, 108086. [Google Scholar] [CrossRef]
- Chen, X.; Liu, Y.C.; Achuthan, K.; Zhang, X.Y. A ship movement classification based on Automatic Identification System (AIS) data using Convolutional Neural Network. Ocean Eng. 2020, 218, 108182. [Google Scholar] [CrossRef]
- Tang, C.H.; Chen, M.Y.; Zhao, J.H.; Liu, T.; Liu, K.; Yan, H.R.; Xiao, Y.J. A novel ship trajectory clustering method for Finding Overall and Local Features of Ship Trajectories. Ocean Eng. 2021, 241, 110108. [Google Scholar] [CrossRef]
- Xiao, F.L.; Ligteringen, H.; Gulijk, C.V.; Ale, B. Comparison study on AIS data of ship traffic behavior. Ocean Eng. 2015, 95, 84–93. [Google Scholar] [CrossRef] [Green Version]
- Zhu, H.L. Research on Performance Optimization and Parameter Selection of Density Clustering Algorithm. Jiangxi University of Technology. 2020. Available online: https://kns.cnki.net/kcms/detail/detail.aspx?doi=10.27176/d.cnki.gnfyc.2020.000646&dbcode=CMFD (accessed on 10 May 2022).
- Ester, M.; Kriegel, H.P.; Sander, J.; Xu, X.W. A density-based algorithm for discovering clusters in large spatial databases with noise. kdd 1996, 96, 226–231. [Google Scholar]
- Gao, Y.; Huang, L.; Feng, J.; Wang, X. Semantic trajectory segmentation based on change-point detection and ontology. Int. J. Geogr. Inf. Sci. 2020, 34, 2361–2394. [Google Scholar] [CrossRef]
- Cheng, L.L. Research on Spatio-Temporal Analysis of Stay Characteristics of Vessel’s Trajectory Based on AIS Data. Nanjing Normal University. 2020. Available online: https://kns.cnki.net/kcms/detail/detail.aspx?doi=10.27245/d.cnki.gnjsu.2020.002226&dbcode=CMFD (accessed on 14 May 2022).
- Mazzarella, F.; Vespe, M.; Alessandrini, A.; Tarchi, D.; Aulicino, G.; Vollero, A. A novel anomaly detection approach to identify intentional AIS on-off switching. Expert Syst. Appl. 2017, 78, 110–123. [Google Scholar] [CrossRef]
- Ji, G.L.; Sun, H.Y.; Zhao, B. Research Progress in Group Moving Modes Mining of Spatio-Temporal Trajectories. J. Nanjing Univ. Aeronaut. Astronaut. 2016, 48, 615–624. [Google Scholar]
- Huang, L.; Zhang, Z.H.; Wen, Y.Q.; Zhu, M.; Huang, Y.M. Stopping behavior recognition and classification of ship based on trajectory characteristics. J. Traffic Transp. Eng. 2021, 05, 189–198. [Google Scholar]
- Shi, Q.Q.; Han, W.J.; Tao, N.; Ji, G.L.; Zhao, B.; Huang, X.T. Mining Aggregation Moving Mode of Moving Object From Spa-tio-temporal Trajectories. J. Chin. Comput. Syst. 2019, 40, 1099–1106. [Google Scholar]
- Zhang, D.H.; Zhang, Y.J.; Zhang, C. Data mining approach for automatic ship-route design for coastal seas using AIS trajectory clustering analysis. Ocean Eng. 2021, 236, 109535. [Google Scholar] [CrossRef]
- Yang, D.; Wu, L.X.; Wang, S.A. Can we trust the AIS destination port information for bulk ships?—Implications for shipping policy and practice. Transp. Res. Part E Logist. Transp. Rev. 2021, 149, 102308. [Google Scholar] [CrossRef]
- Noh, S.Y.; Gadia, S.K. Benchmarking temporal database modes with interval-based and temporal element-based timestamping. J. Syst. Softw. 2008, 81, 1931–1943. [Google Scholar] [CrossRef]
- Zhu, W.P.; Sun, S.C. Supporting Interval Time Complex Events Processing in an RFID System. Procedia Comput. Sci. 2019, 147, 324–330. [Google Scholar] [CrossRef]















| Operator | Expression | Meaning | Temporal Relationship | 
|---|---|---|---|
| Negative | B does not occur in interval T after the occurrence of A | Time limit condition T | |
| Time limit | A duration greater than T | Time limit condition T | 
| MMSI | Ship Name | Ship Type | Ship Length (m) | Ship Width(m) | Draft (dm) | 
|---|---|---|---|---|---|
| 412270860 | YUN LI 6 | Cargo ship | 56 | 9 | 3 | 
| MMSI | Ship Name | Ship Type | Ship Length (m) | Ship Width(m) | Draft (dm) | 
|---|---|---|---|---|---|
| 413436650 | HX118 | Tanker | 53 | 9 | 36 | 
| Publisher’s Note: MDPI stays neutral with regard to jurisdictional claims in published maps and institutional affiliations. | 
© 2022 by the authors. Licensee MDPI, Basel, Switzerland. This article is an open access article distributed under the terms and conditions of the Creative Commons Attribution (CC BY) license (https://creativecommons.org/licenses/by/4.0/).
Share and Cite
Suo, Y.; Ji, Y.; Zhang, Z.; Chen, J.; Claramunt, C. A Formal and Visual Data-Mining Model for Complex Ship Behaviors and Patterns. Sensors 2022, 22, 5281. https://doi.org/10.3390/s22145281
Suo Y, Ji Y, Zhang Z, Chen J, Claramunt C. A Formal and Visual Data-Mining Model for Complex Ship Behaviors and Patterns. Sensors. 2022; 22(14):5281. https://doi.org/10.3390/s22145281
Chicago/Turabian StyleSuo, Yongfeng, Yuxiang Ji, Zhenye Zhang, Jinhai Chen, and Christophe Claramunt. 2022. "A Formal and Visual Data-Mining Model for Complex Ship Behaviors and Patterns" Sensors 22, no. 14: 5281. https://doi.org/10.3390/s22145281
APA StyleSuo, Y., Ji, Y., Zhang, Z., Chen, J., & Claramunt, C. (2022). A Formal and Visual Data-Mining Model for Complex Ship Behaviors and Patterns. Sensors, 22(14), 5281. https://doi.org/10.3390/s22145281
 
         
                                                



 
       