A Scheduling Scheme for Improving the Performance and Security of MU-MIMO Systems
Abstract
:1. Introduction
2. System Model
2.1. Channel Model and Received Signals
2.2. Multi-User Detector
2.3. Imperfect Channel Estimation
3. Instantaneous Signal-to-Noise Ratio
4. Scheduling Schemes
4.1. Suboptimal Schemes from Previous Works
4.1.1. Frobenius Norm-Based Scheduling Algorithm
4.1.2. “Fair” Channel Allocation Algorithm
4.2. Proposed Scheduling Scheme
| Algorithm 1 Scheduling algorithm pseudocode | 
| 
 | 
4.3. Computational Complexity Analysis of the Proposed Scheduling Scheme
5. Numerical Results and Discussions
5.1. Outage Probability
5.2. Bit Error Rate
5.3. Comparison of the Proposed Scheduling Scheme with Other Schemes from Previous Works
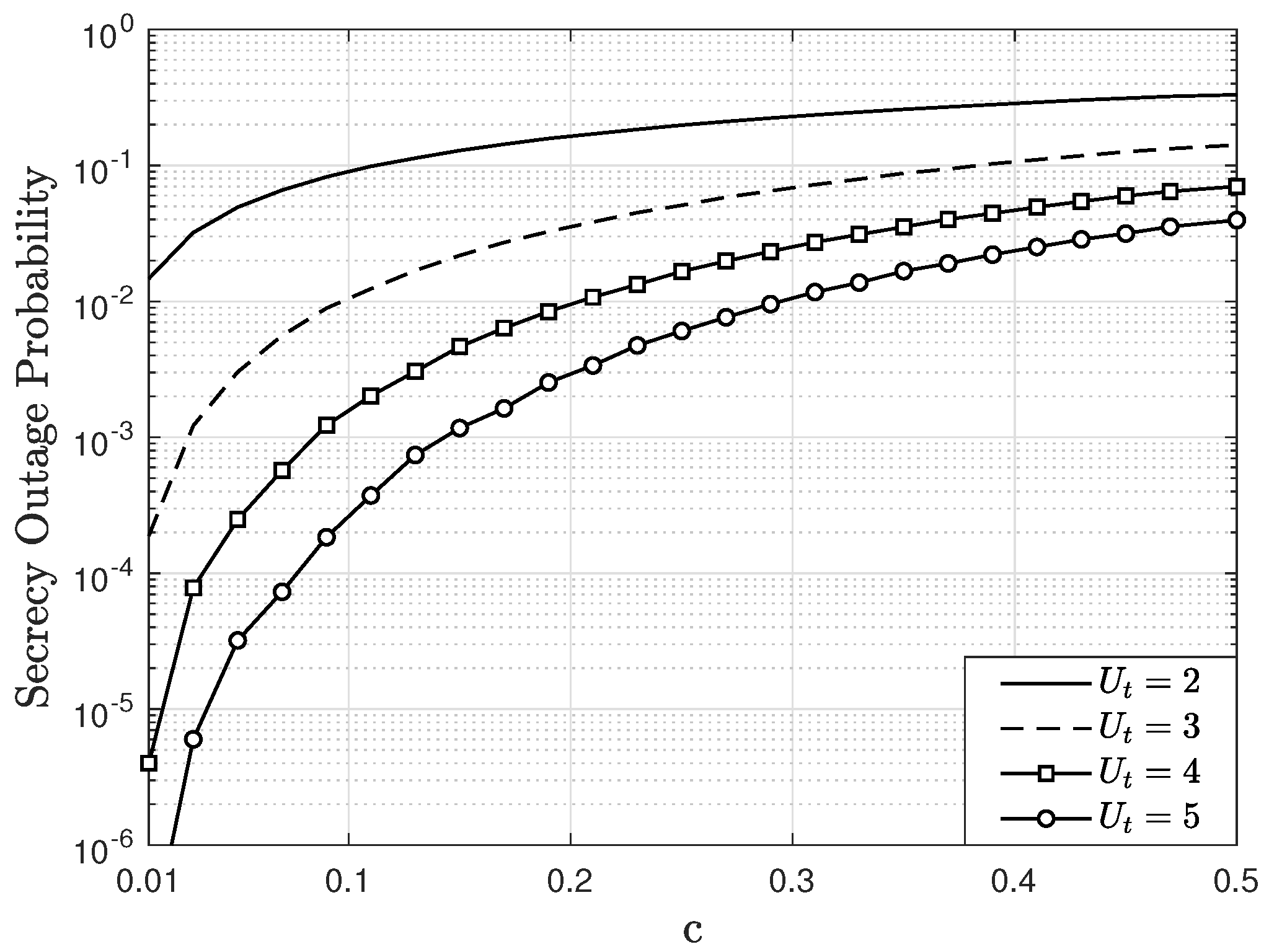
5.4. Secrecy Outage Probability
6. Conclusions
Author Contributions
Funding
Institutional Review Board Statement
Informed Consent Statement
Data Availability Statement
Conflicts of Interest
References
- Kiani, S.H.; Altaf, A.; Anjum, M.R.; Afridi, S.; Arain, Z.A.; Anwar, S.; Khan, S.; Alibakhshikenari, M.; Lalbakhsh, A.; Khan, M.A.; et al. MIMO Antenna System for Modern 5G Handheld Devices with Healthcare and High Rate Delivery. Sensors 2021, 21, 7415. [Google Scholar] [CrossRef] [PubMed]
- Gustavsson, U.; Frenger, P.; Fager, C.; Eriksson, T.; Zirath, H.; Dielacher, F.; Studer, C.; Pärssinen, A.; Correia, R.; Matos, J.N.; et al. Implementation Challenges and Opportunities in Beyond-5G and 6G Communication. IEEE J. Microw. 2021, 1, 86–100. [Google Scholar] [CrossRef]
- Castillo, F.R.; Sanchez, J.; Maciel, F.M. Improved Detection of SM-SMux Signals for MIMO Channels. IEEE Lat. Am. Trans. 2015, 13, 43–47. [Google Scholar] [CrossRef]
- Marques, M.; Monteiro, F. MIMO Processing for 4G and Beyond Fundamentals and Evolution; CRC Press: Boca Raton, FL, USA, 2014. [Google Scholar]
- Proakis, J.; Manolakis, D. Digital Communications, 4th ed.; McGraw: New York, NY, USA, 2007. [Google Scholar]
- Gifford, W.M.; Win, M.Z.; Chiani, M. Diversity with Practical Channel Estimation. IEEE Trans. Wirel. Commun. 2005, 4, 1935–1947. [Google Scholar] [CrossRef]
- Conti, A.; Gifford, W.M.; Win, M.Z.; Chiani, M. Optimized Simple Bounds for Diversity Systems. IEEE Trans. Commun. 2009, 57, 2674–2685. [Google Scholar] [CrossRef]
- Altamirano, C.D.; Minango, J.; Mora, H.C.; De Almeida, C. BER Evaluation of Linear Detectors in Massive MIMO Systems Under Imperfect Channel Estimation Effects. IEEE Access 2019, 7, 174482–174494. [Google Scholar] [CrossRef]
- Miridakis, N.I.; Tsiftsis, T.A.; Yang, G. Leveraging on the Impact of Imperfect Channel Estimation for MIMO Relaying Systems. IEEE Access 2019, 7, 127809–127815. [Google Scholar] [CrossRef]
- Temiz, M.; Alsusa, E.; Danoon, L. Impact of imperfect channel estimation and antenna correlation on quantised massive multiple-input multiple-output systems. IET Commun. 2019, 13, 1262–1270. [Google Scholar] [CrossRef] [Green Version]
- Wang, Y.; Yue, D. Capacity of MIMO Rayleigh Fading Channels in the Presence of Interference and Receive Correlation. IEEE Trans. Veh. Technol. 2009, 58, 4398–4405. [Google Scholar] [CrossRef]
- Abdi, A.; Tepedelenlioglu, C.; Kaveh, M.; Giannakis, G. On the estimation of the K parameter for the Rice fading distribution. IEEE Comm. Lett. 2001, 5, 92–94. [Google Scholar] [CrossRef]
- Xin, Y.; Zhang, R.; Shi, P.; Su, X.; Zhang, X. Spectral efficiency analysis for massive MIMO systems in Ricean fading channels. IET Comm. 2019, 13, 3193–3200. [Google Scholar] [CrossRef]
- Kassaw, A.; Hailemariam, D.; Zoubirl, A.M. Performance Analysis of Uplink Massive MIMO System Over Rician Fading Channel. In Proceedings of the 2018 26th European Signal Processing Conference (EUSIPCO), Rome, Italy, 3–7 September 2018. [Google Scholar]
- Liu, T.; Tong, J.; Guo, Q.; Xi, J.; Yu, Y.; Xiao, Z. On the Performance of Massive MIMO Systems With Low-Resolution ADCs and MRC Receivers Over Rician Fading Channels. IEEE Syst. J. 2020, 15, 4514–4524. [Google Scholar] [CrossRef]
- Sadraei, M.H.; Fazel, M.S.; Doost-Hoseini, A.M. Ergodic spectral efficiency of massive MIMO with correlated Rician channel and MRC detection based on LS and MMSE channel estimation. IET Comm. 2020, 14, 2962–2971. [Google Scholar] [CrossRef]
- Sharma, P.K.; Priya, V.H.; Raju, G.K.; Sai, K.V. Comparison of MIMO Over Different Fading Channels with and without Channel State Information. In Proceedings of the 2018 Second International Conference on Electronics, Communication and Aerospace Technology (ICECA), Coimbatore, India, 29–31 March 2018. [Google Scholar]
- Ghacham, S.; Benjillali, M.; Guennoun, Z. Low-complexity detection for massive MIMO systems over correlated Rician fading. In Proceedings of the 2017 13th International Wireless Communications and Mobile Computing Conference (IWCMC), Valencia, Spain, 26–30 June 2017. [Google Scholar]
- Carvajal, H.; Orozco, N.; de Almeida, C. On the cellular spectral efficiency of MC-CDMA systems with MMSE multiuser detector employing fractional and soft frequency reuse. AEU Int. J. Electron. Commun. 2018, 84, 34–45. [Google Scholar] [CrossRef]
- Shen, Z.; Chen, R.; Andrews, J.G.; Heath, R.W.; Evans, B.L. Low complexity user selection algorithms for multiuser MIMO systems with block diagonalization. IEEE Trans. Signal Proc. 2006, 54, 3658–3663. [Google Scholar] [CrossRef]
- He, S.; Du, J.; Liao, Y. Multi-User Scheduling for 6G V2X Ultra-Massive MIMO System. Sensors 2021, 21, 6742. [Google Scholar] [CrossRef]
- Lee, D.; Kang, H.; Jeong, B.J. Outage Probability of Zero Forcing Precoded Scheduling System for Multiple Input Multiple Output Broadcast Transmission. IEEE Comm. Lett. 2011, 12, 1344–1346. [Google Scholar] [CrossRef]
- Wu, L.; Zhang, Z.; Dang, J.; Wu, Y.; Liu, H.; Wang, J. Joint User Identification and Channel Estimation Over Rician Fading Channels. IEEE Trans. Veh. Technol. 2020, 69, 6803–6807. [Google Scholar] [CrossRef] [Green Version]
- Zhang, Q.; Chang, Y.; Wang, Y. LOS/NLOS Based User Grouping Scheduling Algorithm for Downlink Massive MIMO Systems. In Proceedings of the 2019 IEEE 5th International Conference on Computer and Communications (ICCC), Chengdu, China, 6–9 December 2019. [Google Scholar]
- Wang, S.D.; Wang, H.M. Impact of Cooperative Attack on User Scheduling in Massive MIMO Systems. In Proceedings of the IEEE/CIC International Conference on Communications in China (ICCC), Chongqing, China, 9–11 August 2020. [Google Scholar]
- Chataut, R.; Akl, R. An Efficient and Fair Scheduling for Downlink 5G Massive MIMO Systems. In Proceedings of the IEEE Texas Symposium on Wireless and Microwave Circuits and Systems (WMCS), Waco, TX, USA, 26–28 May 2020. [Google Scholar]
- Maciel, F.M.; Sánchez, J.; Soriano, L.; Soria, F.C.; Flores, J. User Scheduling Algorithms in Multiuser Massive MIMO Systems Towards 5G. IEEE Lat. Am. Trans. 2015, 13, 3781–3787. [Google Scholar] [CrossRef]
- Mir, A.; Zuhairi, M.F.; Musa, S.; Syed, T.A.; Alrehaili, A. A Survey of Security Challenges with 5G-IoT. In Proceedings of the 2020 First International Conference of Smart Systems and Emerging Technologies (SMARTTECH), Riyadh, Saudi Arabia, 3–5 November 2020; pp. 249–250. [Google Scholar]
- Khalid, W.; Yu, H.; Ali, R.; Ullah, R. Advanced Physical-Layer Technologies for Beyond 5G Wireless Communication Networks. Sensors 2021, 21, 3197. [Google Scholar] [CrossRef]
- Tang, J.; Jiao, L.; Zeng, K.; Wen, H.; Qin, K.Y. Physical Layer Secure MIMO Communications Against Eavesdroppers With Arbitrary Number of Antennas. IEEE Trans. Inf. Forensics Secur. 2020, 16, 466–481. [Google Scholar] [CrossRef]
- Madeira, J.; Guerreiro, J.; Dinis, R.; Montezuma, P.; Campos, L.M. On the Physical Layer Security Characteristics for MIMO-SVD Techniques for SC-FDE Schemes. Sensors 2021, 19, 4757. [Google Scholar] [CrossRef] [PubMed] [Green Version]
- Lee, D. Secrecy Outage Probability of MIMO Diversity Schemes Over Integer and Real-Valued Nakagami Fading Channels. IEEE Wirel. Commun. Lett. 2022, 11, 727–731. [Google Scholar] [CrossRef]
- Shrestha, A.P.; Kwak, K.S. Performance of opportunistic scheduling for physical layer security with transmit antenna selection. EURASIP J. Wirel. Commun. Netw. 2014, 33. [Google Scholar] [CrossRef] [Green Version]
- Yang, M.; Guo, D.; Huang, Y.; Duong, T.Q.; Zhang, B. Physical Layer Security with Threshold-Based Multiuser Scheduling in Multi-antenna Wireless Networks. IEEE Trans. Commun. 2016, 64, 12. [Google Scholar] [CrossRef] [Green Version]
- Carvajal, H.; Orozco, N.; de Almeida, C. On the Performance of MC-CDMA Cellular Systems Employing Multiuser Decorrelating Detector and Antenna Array. In Proceedings of the 2016 IEEE 84th Vehicular Technology Conference (VTC-Fall), Montreal, QC, Canada, 18–21 September 2016. [Google Scholar]
- Barry, J.R.; Lee, E.A.; Messerschmitt, D.G. Digital Communication, 3rd ed.; Kluwer Academic Publishers: New York, NY, USA, 2004. [Google Scholar]
- Papoulis, A.; Pillai, S. Probability, Random Variables and Stochastic Processes, 4th ed.; McGraw-Hill: New York, NY, USA, 2002. [Google Scholar]
- Abramowitz, M.; Stegun, I.A. Handbook of Mathematical Functions with Formulas, Graphs and Mathematical Tables; U.S. Department of Commerce, National Bureau of Standards: Washington, DC, USA, 1964. [Google Scholar]
- Verdú, S. Multiuser Detection; Cambridge University Press: Cambridge, UK, 1998. [Google Scholar]
- Kay, S.M. Fundamentals of Statistical Signal Processing: Estimation Theory, 2nd ed.; Prentice-Hall: Upper Saddle River, NJ, USA, 1993. [Google Scholar]
- Wang, C.; Au, E.K.; Murch, R.D.; Mow, W.H.; Cheng, R.S.; Lau, V. On the Performance of the MIMO Zero-Forcing Receiver in the Presence of Channel Estimation Error. IEEE Trans. Wirel. Commun. 2007, 6, 805–810. [Google Scholar] [CrossRef]
- Neumann, D.; Wiese, T.; Utschick, W. Learning the MMSE Channel Estimator. IEEE Trans. Signal Process. 2018, 66, 2905–2917. [Google Scholar] [CrossRef] [Green Version]
- Wang, C.; Au, E.K.; Murch, R.D.; Lau, V.K. Closed-Form Outage Probability and BER of MIMO Zero-Forcing Receiver in the Presence of Imperfect CSI. In Proceedings of the 2006 IEEE 7th Workshop on Signal Processing Advances in Wireless Communications, Cannes, France, 2–5 July 2006. [Google Scholar]
- Hassibi, B.; Hochwald, B.M. How much training is needed in multiple-antenna wireless links? IEEE Trans. Inf. Theory 2003, 49, 951–963. [Google Scholar] [CrossRef] [Green Version]
- Gurjar, D.S.; Upadhyay, P.K. Impact of channel estimation error on zero-forcing-based multiple-input–multiple-output two-way relaying. IET Signal Process. 2016, 10, 210–217. [Google Scholar] [CrossRef]
- Stoer, J.; Bulirsch, R. Introduction to Numerical Analysis, 3rd ed.; Springer: New York, NY, USA, 2002. [Google Scholar]
- Zhou, B.; Bai, B.; Li, Y.; Gu, D.; Luo, Y. Chordal Distance-Based User Selection Algorithm for the Multiuser MIMO Downlink with Perfect or Partial CSIT. In Proceedings of the 2011 IEEE International Conference on Advanced Information Networking and Applications, Biopolis, Singapore, 22–25 March 2011. [Google Scholar]
- Third Generation Partnership Project—3GPP. LTE—Evolved Universal Terrestrial Radio Access (E-UTRA): Physical Layer Procedures; Technical Report; 3GPP TS 36.213 Version 14.6.0; Release 14; ETSI: Sophia Antipolis, France, 2018; Available online: https://www.etsi.org/deliver/etsi_ts/136200_136299/136213/14.06.00_60/ts_136213v140600p.pdf (accessed on 11 July 2022).
- Third Generation Partnership Project—3GPP. Physical Channels and Modulation; Technical Specification; ETSI TS 138 211, Version 16.2.0, Release 16; ETSI: Sophia Antipolis, France, 2020; Available online: https://www.etsi.org/deliver/etsi_ts/138200_138299/138211/16.02.00_60/ts_138211v160200p.pdf (accessed on 11 July 2022).
- Yacoub, M.D. Foundations of Mobile Radio Engineering, 1st ed.; CRC Press: Boca Raton, FL, USA, 2003. [Google Scholar]
- Piziak, R.; Odell, P. Matrix Theory: From Generalized Inverses to Jordan Form; Chapman & Hall/CRC: Boca Raton, FL, USA, 2007. [Google Scholar]
- Yang, N.; Zhou, X.; Lee, J.; Gyeongbuk, D. Safeguarding the 5G Era and Beyond with Physical Layer Wireless Security. In Proceedings of the IEEE International Conference on Communications ICC, Daegu, Korea, 24 May 2019; Available online: http://users.cecs.anu.edu.au/~xyzhou/ICC_Tutorial_Security_Final.pdf (accessed on 11 July 2022).
- Shannon, C.E. Communication Theory of Secrecy Systems. Bell Syst. Tech. J. 1949, 28, 656–715. [Google Scholar] [CrossRef]
- Marins, T.R.; Dos Anjos, A.A.; Peñarrocha, V.M.; Rubio, L.; Reig, J.; de Souza, R.A.; Yacoub, M.D. Fading Evaluation in the mm-wave Band. IEEE Trans. Commun. 2019, 67, 8725–8738. [Google Scholar] [CrossRef]











| MIMO Research Area | Previous Works | [P] | ||||||||
|---|---|---|---|---|---|---|---|---|---|---|
| [7,10] | [8] | [14] | [16,17] | [19] | [20,21,22,23,24,25,26] | [27] | [31] | [32,33,34] | ||
| Performance evaluation in Rayleigh fading | X | X | X | X | X | X | X | X | X | X | 
| Performance evaluation in generalized fading | X | X | X | X | X | X | ||||
| Imperfect channel estimation | X | X | X | X | ||||||
| Multiuser detection | X | X | X | |||||||
| Scheduling algorithms | X | X | X | X | ||||||
| Physical layer security | X | X | X | |||||||
| Publisher’s Note: MDPI stays neutral with regard to jurisdictional claims in published maps and institutional affiliations. | 
© 2022 by the authors. Licensee MDPI, Basel, Switzerland. This article is an open access article distributed under the terms and conditions of the Creative Commons Attribution (CC BY) license (https://creativecommons.org/licenses/by/4.0/).
Share and Cite
Carvajal, H.; Orozco, N.; Cacuango, S.; Salazar, P.; Rosero, E.; Almeida, F. A Scheduling Scheme for Improving the Performance and Security of MU-MIMO Systems. Sensors 2022, 22, 5369. https://doi.org/10.3390/s22145369
Carvajal H, Orozco N, Cacuango S, Salazar P, Rosero E, Almeida F. A Scheduling Scheme for Improving the Performance and Security of MU-MIMO Systems. Sensors. 2022; 22(14):5369. https://doi.org/10.3390/s22145369
Chicago/Turabian StyleCarvajal, Henry, Nathaly Orozco, Stalin Cacuango, Paola Salazar, Edgar Rosero, and Fernando Almeida. 2022. "A Scheduling Scheme for Improving the Performance and Security of MU-MIMO Systems" Sensors 22, no. 14: 5369. https://doi.org/10.3390/s22145369
APA StyleCarvajal, H., Orozco, N., Cacuango, S., Salazar, P., Rosero, E., & Almeida, F. (2022). A Scheduling Scheme for Improving the Performance and Security of MU-MIMO Systems. Sensors, 22(14), 5369. https://doi.org/10.3390/s22145369
 
         
                                                

 
       