Temperature Dependence of the Sensitivity of PVDF Pyroelectric Sensors to THz Radiation: Towards Cryogenic Applications
Abstract
1. Introduction
2. Results and Discussion
2.1. General Design of the Experiment
2.2. Approach to Measuring Detector Response
2.3. Factors Affecting Detector Response
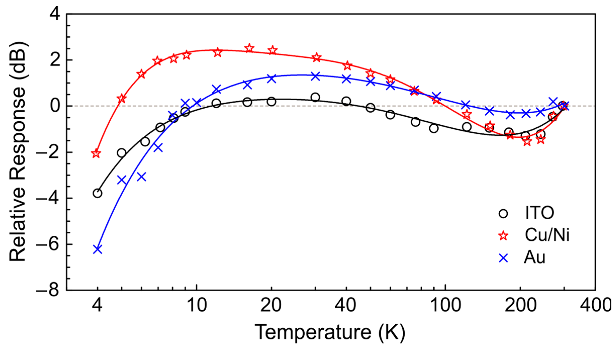
2.4. Temperature Dependence of the Detector Response
2.5. Application at the EPR Endstation
3. Conclusions
Supplementary Materials
Author Contributions
Funding
Institutional Review Board Statement
Informed Consent Statement
Data Availability Statement
Conflicts of Interest
References
- Sizov, F. THz Radiation Sensors. Opto-Electron. Rev. 2010, 18, 10–36. [Google Scholar] [CrossRef]
- Lewis, R.A. A Review of Terahertz Detectors. J. Phys. Appl. Phys. 2019, 52, 433001. [Google Scholar] [CrossRef]
- Liu, Y.-C.; Ke, L.; Yang, S.W.Q.; Nan, Z.; Teo, E.P.W.; Lwin, N.C.; Lin, M.T.-Y.; Lee, I.X.Y.; Chan, A.S.-Y.; Schmetterer, L.; et al. Safety Profiles of Terahertz Scanning in Ophthalmology. Sci. Rep. 2021, 11, 2448. [Google Scholar] [CrossRef]
- Nikitkina, A.I.; Bikmulina, P.; Gafarova, E.R.; Kosheleva, N.V.; Efremov, Y.M.; Bezrukov, E.A.; Butnaru, D.V.; Dolganova, I.N.; Chernomyrdin, N.V.; Cherkasova, O.P.; et al. Terahertz Radiation and the Skin: A Review. J. Biomed. Opt. 2021, 26, 043005. [Google Scholar] [CrossRef]
- Shi, S.; Yuan, S.; Zhou, J.; Jiang, P. Terahertz Technology and Its Applications in Head and Neck Diseases. iScience 2023, 26, 107060. [Google Scholar] [CrossRef] [PubMed]
- Whatmore, R.W.; Ward, S.J. Pyroelectric Infrared Detectors and Materials—A Critical Perspective. J. Appl. Phys. 2023, 133, 080902. [Google Scholar] [CrossRef]
- Yu, L.; Rimjaem, S. A Discussion on Associating THz Safety with 5G Safety. Phys. Status Solidi A 2023, 220, 2200263. [Google Scholar] [CrossRef]
- Obraztsov, P.A.; Chizhov, P.A.; Kaplas, T.; Bukin, V.V.; Silvennoinen, M.; Hsieh, C.-F.; Konishi, K.; Nemoto, N.; Kuwata-Gonokami, M. Coherent Detection of Terahertz Radiation with Graphene. ACS Photonics 2019, 6, 1780–1788. [Google Scholar] [CrossRef]
- Verghese, S.; McIntosh, K.A.; Calawa, S.; Dinatale, W.F.; Duerr, E.K.; Molvar, K.A. Generation and Detection of Coherent Terahertz Waves Using Two Photomixers. Appl. Phys. Lett. 1998, 73, 3824–3826. [Google Scholar] [CrossRef]
- Nishida, Y.; Nishigami, N.; Diebold, S.; Kim, J.; Fujita, M.; Nagatsuma, T. Terahertz Coherent Receiver Using a Single Resonant Tunnelling Diode. Sci. Rep. 2019, 9, 18125. [Google Scholar] [CrossRef]
- Jayaweera, P.V.V.; Matsik, S.G.; Perera, A.G.U.; Paltiel, Y.; Sher, A.; Raizman, A.; Luo, H.; Liu, H.C. GaSb Homojunctions for Far-Infrared (Terahertz) Detection. Appl. Phys. Lett. 2007, 90, 111109. [Google Scholar] [CrossRef]
- Komiyama, S.; Astafiev, O.; Antonov, V.; Kutsuwa, T. Single-Photon Detection of THz-Waves Using Quantum Dots. Microelectron. Eng. 2002, 63, 173–178. [Google Scholar] [CrossRef]
- Kawano, Y.; Fuse, T.; Toyokawa, S.; Uchida, T.; Ishibashi, K. Terahertz Photon-Assisted Tunneling in Carbon Nanotube Quantum Dots. J. Appl. Phys. 2008, 103, 034307. [Google Scholar] [CrossRef]
- Grade, J.; Haydon, P.; van der Weide, D. Electronic Terahertz Antennas and Probes for Spectroscopic Detection and Diagnostics. Proc. IEEE 2007, 95, 1583–1591. [Google Scholar] [CrossRef]
- Manohara, H.M.; Wong, E.W.; Schlecht, E.; Hunt, B.D.; Siegel, P.H. Carbon Nanotube Schottky Diodes Using Ti−Schottky and Pt−Ohmic Contacts for High Frequency Applications. Nano Lett. 2005, 5, 1469–1474. [Google Scholar] [CrossRef]
- Kubarev, V.V.; Kazakevitch, G.M.; Jeong, Y.U.; Lee, B.C. Quasi-Optical Highly Sensitive Schottky-Barrier Detector for a Wide-Band FIR FEL. Nucl. Instrum. Methods Phys. Res. Sect. Accel. Spectrometers Detect. Assoc. Equip. 2003, 507, 523–526. [Google Scholar] [CrossRef]
- Bozhkov, V.G. Semiconductor Detectors, Mixers, and Frequency Multipliers for the Terahertz Band. Radiophys. Quantum Electron. 2003, 46, 631–656. [Google Scholar] [CrossRef]
- Sizov, F.F.; Reva, V.P.; Golenkov, A.G.; Zabudsky, V.V. Uncooled Detectors Challenges for THz/Sub-THz Arrays Imaging. J. Infrared Millim. Terahertz Waves 2011, 32, 1192–1206. [Google Scholar] [CrossRef]
- Weller, H.J.; Setiadi, D.; Binnie, T.D. Low-Noise Charge Sensitive Readout for Pyroelectric Sensor Arrays Using PVDF Thin Film. Sens. Actuators Phys. 2000, 85, 267–274. [Google Scholar] [CrossRef]
- Müller, R.; Gutschwager, B.; Hollandt, J.; Kehrt, M.; Monte, C.; Müller, R.; Steiger, A. Characterization of a Large-Area Pyroelectric Detector from 300 GHz to 30 THz. J. Infrared Millim. Terahertz Waves 2015, 36, 654–661. [Google Scholar] [CrossRef]
- Melnikov, A.R.; Zikirin, S.B.; Kalneus, E.V.; Ivannikov, V.I.; Grishin, Y.A.; Anisimov, O.A. Application of Pyroelectric Sensors Based on PVDF Films for EPR Spectra Detection by Heat Release. Sensors 2021, 21, 8426. [Google Scholar] [CrossRef] [PubMed]
- Schossig, M.; Norkus, V.; Gerlach, G. Dielectric and Pyroelectric Properties of Ultrathin, Monocrystalline Lithium Tantalate. Infrared Phys. Technol. 2014, 63, 35–41. [Google Scholar] [CrossRef]
- Howells, C.A. Piezoelectric Energy Harvesting. Energy Convers. Manag. 2009, 50, 1847–1850. [Google Scholar] [CrossRef]
- Covaci, C.; Gontean, A. Piezoelectric Energy Harvesting Solutions: A Review. Sensors 2020, 20, 3512. [Google Scholar] [CrossRef]
- Sezer, N.; Koç, M. A Comprehensive Review on the State-of-the-Art of Piezoelectric Energy Harvesting. Nano Energy 2021, 80, 105567. [Google Scholar] [CrossRef]
- Kohli, M.; Wuethrich, C.; Brooks, K.; Willing, B.; Forster, M.; Muralt, P.; Setter, N.; Ryser, P. Pyroelectric Thin-Film Sensor Array. Sens. Actuators Phys. 1997, 60, 147–153. [Google Scholar] [CrossRef]
- Tsai, C.-Y.; Lin, Y.-W.; Ku, H.-M.; Lee, C.-Y. Positioning System of Infrared Sensors Based on ZnO Thin Film. Sensors 2023, 23, 6818. [Google Scholar] [CrossRef]
- Thin Film Pyroelectric Dual Channel Sensor AFBR-S6ATO2-DS. Available online: https://docs.broadcom.com/doc/AFBR-S6ATO2-DS (accessed on 5 July 2024).
- Mao, Y.; Zhao, P.; McConohy, G.; Yang, H.; Tong, Y.; Wang, X. Sponge-Like Piezoelectric Polymer Films for Scalable and Integratable Nanogenerators and Self-Powered Electronic Systems. Adv. Energy Mater. 2014, 4, 1301624. [Google Scholar] [CrossRef]
- Xing, L.; Nie, Y.; Xue, X.; Zhang, Y. PVDF Mesoporous Nanostructures as the Piezo-Separator for a Self-Charging Power Cell. Nano Energy 2014, 10, 44–52. [Google Scholar] [CrossRef]
- Thakur, P.; Kool, A.; Hoque, N.A.; Bagchi, B.; Khatun, F.; Biswas, P.; Brahma, D.; Roy, S.; Banerjee, S.; Das, S. Superior Performances of in Situ Synthesized ZnO/PVDF Thin Film Based Self-Poled Piezoelectric Nanogenerator and Self-Charged Photo-Power Bank with High Durability. Nano Energy 2018, 44, 456–467. [Google Scholar] [CrossRef]
- Yang, Y.; Pan, H.; Xie, G.; Jiang, Y.; Chen, C.; Su, Y.; Wang, Y.; Tai, H. Flexible Piezoelectric Pressure Sensor Based on Polydopamine-Modified BaTiO3/PVDF Composite Film for Human Motion Monitoring. Sens. Actuators Phys. 2020, 301, 111789. [Google Scholar] [CrossRef]
- Zhou, W.; Wang, Z.; Dong, L.; Sui, X.; Chen, Q. Dielectric Properties and Thermal Conductivity of PVDF Reinforced with Three Types of Zn Particles. Compos. Part Appl. Sci. Manuf. 2015, 79, 183–191. [Google Scholar] [CrossRef]
- Xia, W.; Zhang, Z. PVDF-Based Dielectric Polymers and Their Applications in Electronic Materials. IET Nanodielectr. 2018, 1, 17–31. [Google Scholar] [CrossRef]
- Lewis, R.A. A Review of Terahertz Sources. J. Phys. Appl. Phys. 2014, 47, 374001. [Google Scholar] [CrossRef]
- Shevchenko, O.A.; Melnikov, A.R.; Tararyshkin, S.V.; Getmanov, Y.V.; Serednyakov, S.S.; Bykov, E.V.; Kubarev, V.V.; Fedin, M.V.; Veber, S.L. Electronic Modulation of THz Radiation at NovoFEL: Technical Aspects and Possible Applications. Materials 2019, 12, 3063. [Google Scholar] [CrossRef] [PubMed]
- Kulipanov, G.N.; Bagryanskaya, E.G.; Chesnokov, E.N.; Choporova, Y.Y.; Gerasimov, V.V.; Getmanov, Y.V.; Kiselev, S.L.; Knyazev, B.A.; Kubarev, V.V.; Peltek, S.E.; et al. Novosibirsk Free Electron Laser—Facility Description and Recent Experiments. IEEE Trans. Terahertz Sci. Technol. 2015, 5, 798–809. [Google Scholar] [CrossRef]
- Veber, S.L.; Tumanov, S.V.; Fursova, E.Y.; Shevchenko, O.A.; Getmanov, Y.V.; Scheglov, M.A.; Kubarev, V.V.; Shevchenko, D.A.; Gorbachev, I.I.; Salikova, T.V.; et al. X-Band EPR Setup with THz Light Excitation of Novosibirsk Free Electron Laser: Goals, Means, Useful Extras. J. Magn. Reson. 2018, 288, 11–22. [Google Scholar] [CrossRef] [PubMed]
- Melnikov, A.R.; Kiskin, M.A.; Getmanov, Y.V.; Shevchenko, O.A.; Fedin, M.V.; Veber, S.L. Technical and Software Improvements of the EPR Spectroscopy Endstation at the NovoFEL Facility: Status 2020. AIP Conf. Proc. 2020, 2299, 030010. [Google Scholar] [CrossRef]
- Melnikov, A.R.; Samsonenko, A.A.; Getmanov, Y.V.; Shevchenko, O.A.; Shevchenko, D.A.; Stepanov, A.A.; Fedin, M.V.; Yurkin, M.A.; Veber, S.L. Broadband Multimodal THz Waveguides for Efficient Transfer of High-Power Radiation in Space-Confined Conditions. Opt. Laser Technol. 2021, 143, 107375. [Google Scholar] [CrossRef]
- Nehrkorn, J.; Holldack, K.; Bittl, R.; Schnegg, A. Recent Progress in Synchrotron-Based Frequency-Domain Fourier-Transform THz-EPR. J. Magn. Reson. 2017, 280, 10–19. [Google Scholar] [CrossRef]
- Schnegg, A. Very-High-Frequency EPR. In eMagRes; John Wiley & Sons, Ltd.: Hoboken, NJ, USA, 2017; pp. 115–132. ISBN 978-0-470-03459-0. [Google Scholar]
- Nehrkorn, J.; Valuev, I.A.; Kiskin, M.A.; Bogomyakov, A.S.; Suturina, E.A.; Sheveleva, A.M.; Ovcharenko, V.I.; Holldack, K.; Herrmann, C.; Fedin, M.V.; et al. Easy-Plane to Easy-Axis Anisotropy Switching in a Co(II) Single-Ion Magnet Triggered by the Diamagnetic Lattice. J. Mater. Chem. C 2021, 9, 9446–9452. [Google Scholar] [CrossRef]
- Mangin, J.; Hadni, A. Low-Temperature Pyroelectricity: The Case of Saccharose and Nd(BrO3)3.9H2O Single Crystals. Ferroelectrics 1978, 22, 705–707. [Google Scholar] [CrossRef]
- Bordoni, F.; Carelli, P.; Modena, I.; Romani, G.L. Experimental Behavior of a Pyroelectric Detector at Low Temperature. Infrared Phys. 1979, 19, 653–657. [Google Scholar] [CrossRef]
- Li, G.-R.; Ohigashi, H. Pyroelectric Coefficient and Heat Capacity of a Ferroelectric Copolymer of Vinylidene Fluoride and Trifluoroethylene at Low Temperatures. Jpn. J. Appl. Phys. 1992, 31, 2495. [Google Scholar] [CrossRef]
- Novik, V.K.; Gavrilova, N.D. Low-Temperature Pyroelectricity. Phys. Solid State 2000, 42, 991–1008. [Google Scholar] [CrossRef]
- Bravina, S.L.; Morozovsky, N.V.; Morozovska, A.N.; Gille, S.; Salvestrini, J.-P.; Fontana, M.D. Investigations of LiNbO3 and LiTaO3 Single Crystals for Pyroelectric Applications in the Wide Temperature Range. Ferroelectrics 2007, 353, 202–211. [Google Scholar] [CrossRef]
- Sarker, M.R.H.; Silva, J.L.; Castañeda, M.; Wilburn, B.; Lin, Y.; Love, N. Characterization of the Pyroelectric Coefficient of a High-Temperature Sensor. J. Intell. Mater. Syst. Struct. 2018, 29, 938–943. [Google Scholar] [CrossRef]
- Melnikov, A.R.; Kalneus, E.V.; Getmanov, Y.V.; Shevchenko, D.A.; Gerasimov, V.V.; Anisimov, O.A.; Fedin, M.V.; Veber, S.L. Comparative Study of Single Crystal and Polymeric Pyroelectric Detectors in the 0.9–2.0 THz Range Using Monochromatic Laser Radiation of the NovoFEL. Polymers 2023, 15, 4124. [Google Scholar] [CrossRef]
- Farhan, M.S.; Zalnezhad, E.; Bushroa, A.R.; Sarhan, A.A.D. Electrical and Optical Properties of Indium-Tin Oxide (ITO) Films by Ion-Assisted Deposition (IAD) at Room Temperature. Int. J. Precis. Eng. Manuf. 2013, 14, 1465–1469. [Google Scholar] [CrossRef]
- Shevchenko, O.A.; Arbuzov, V.S.; Vinokurov, N.A.; Vobly, P.D.; Volkov, V.N.; Getmanov, Y.V.; Gorbachev, Y.I.; Davidyuk, I.V.; Deychuly, O.I.; Dementyev, E.N.; et al. The Novosibirsk Free Electron Laser—Unique Source of Terahertz and Infrared Coherent Radiation. Phys. Procedia 2016, 84, 13–18. [Google Scholar] [CrossRef]
- Kubarev, V.V.; Sozinov, G.I.; Scheglov, M.A.; Vodopyanov, A.V.; Sidorov, A.V.; Melnikov, A.R.; Veber, S.L. The Radiation Beamline of Novosibirsk Free-Electron Laser Facility Operating in Terahertz, Far-Infrared, and Mid-Infrared Ranges. IEEE Trans. Terahertz Sci. Technol. 2020, 10, 634–646. [Google Scholar] [CrossRef]
- Atomize. Available online: https://github.com/Anatoly1010/Atomize (accessed on 21 February 2024).
- Gopal, E.S.R. Specific Heats at Low Temperatures, 1st ed.; The International Cryogenics Monograph Series; Springer: New York, NY, USA, 2012; ISBN 978-1-4684-9081-7. [Google Scholar]
- Liwei, Z.; Na, S.; Xuan, W.; Liqiu, W.; Haikuo, C.; Tianyuan, J. Analysis on Dielectric Loss Characteristics of Polyvinylidene Fluoride and Its Composites. J. Mater. Sci. Mater. Electron. 2021, 32, 26268–26290. [Google Scholar] [CrossRef]
- Beran, A. The Reflectance Behaviour of Gold at Temperatures up to 500 °C. Tschermaks Mineral. Petrogr. Mitteilungen 1985, 34, 211–215. [Google Scholar] [CrossRef]





| Detector Name | ITO | Cu/Ni | Au | |
|---|---|---|---|---|
| Sensitive element | Material | PVDF 1 | PVDF 1 | PVDF 1 |
| Thickness (μm) | 28 | 28 | 12 | |
| Diameter (mm) | 4 | 4 | 4 | |
| Electrodes | Material | ITO 2 | Cu/Ni 2 | Au 2 |
| Thickness (nm) | 2500 3 | 70/10 | 100 | |
Disclaimer/Publisher’s Note: The statements, opinions and data contained in all publications are solely those of the individual author(s) and contributor(s) and not of MDPI and/or the editor(s). MDPI and/or the editor(s) disclaim responsibility for any injury to people or property resulting from any ideas, methods, instructions or products referred to in the content. |
© 2024 by the authors. Licensee MDPI, Basel, Switzerland. This article is an open access article distributed under the terms and conditions of the Creative Commons Attribution (CC BY) license (https://creativecommons.org/licenses/by/4.0/).
Share and Cite
Sinelnikov, A.N.; Melnikov, A.R.; Getmanov, Y.V.; Kolomeec, D.A.; Kalneus, E.V.; Fedin, M.V.; Veber, S.L. Temperature Dependence of the Sensitivity of PVDF Pyroelectric Sensors to THz Radiation: Towards Cryogenic Applications. Sensors 2024, 24, 5808. https://doi.org/10.3390/s24175808
Sinelnikov AN, Melnikov AR, Getmanov YV, Kolomeec DA, Kalneus EV, Fedin MV, Veber SL. Temperature Dependence of the Sensitivity of PVDF Pyroelectric Sensors to THz Radiation: Towards Cryogenic Applications. Sensors. 2024; 24(17):5808. https://doi.org/10.3390/s24175808
Chicago/Turabian StyleSinelnikov, Artem N., Anatoly R. Melnikov, Yaroslav V. Getmanov, Darya A. Kolomeec, Evgeny V. Kalneus, Matvey V. Fedin, and Sergey L. Veber. 2024. "Temperature Dependence of the Sensitivity of PVDF Pyroelectric Sensors to THz Radiation: Towards Cryogenic Applications" Sensors 24, no. 17: 5808. https://doi.org/10.3390/s24175808
APA StyleSinelnikov, A. N., Melnikov, A. R., Getmanov, Y. V., Kolomeec, D. A., Kalneus, E. V., Fedin, M. V., & Veber, S. L. (2024). Temperature Dependence of the Sensitivity of PVDF Pyroelectric Sensors to THz Radiation: Towards Cryogenic Applications. Sensors, 24(17), 5808. https://doi.org/10.3390/s24175808

