Abstract
The 1-(4-acetamidophenyl)-5-oxopyrrolidine carboxylic acid was applied for synthesizing derivatives bearing azole, diazole, and hydrazone moieties in the molecule. Modification of an acetamide fragment to the free amino group afforded compounds with two functional groups, which enabled to provide a series of 4-substituted-1-(4-substituted phenyl)pyrrolidine-2-ones. The resulted compounds 2 and 4–22 were subjected to the in vitro anticancer and antimicrobial activity determination. The compounds 18–22 exerted the most potent anticancer activity against A549 cells. Furthermore, compound 21 bearing 5-nitrothiophene substituents demonstrated promising and selective antimicrobial activity against multidrug-resistant Staphylococcus aureus strains, including linezolid and tedizolid-resistant S. aureus. These results demonstrate that 5-oxopyrolidine derivatives are attractive scaffolds for the further development of anticancer and antimicrobial compounds targeting multidrug-resistant Gram-positive pathogens.
1. Introduction
Growing antimicrobial resistance among clinically significant pathogens is considered to be one of the major threats worldwide. Environmental exposure to numerous chemical agents is associated with a growing incidence of cancer. Therefore, it is important to develop novel bioactive molecules that could be further explored as anticancer or antimicrobial agents.
2-Pyrrolidinones are a class of heterocyclic compounds with a vast diversity of derivatives of biological potential. This structural feature is widely spread in many natural products possessing a large range of biological activities. 2-Pyrrolidinone-based Pyrrocidine A is a known antimicrobial compound produced by endophytic fungi Sarocladium zeae [1], (−)-Azaspirene is an angiogenesis inhibitor that is isolated from the fungus Neosartorya sp. [2], feeding deterrent Ypaoamide stimulate glucose uptake [3], Salinosporamide A, aquatic natural product, which is created by the constraining aquatic bacteria Salinispora tropica and Salinispora arenicola, is a potent proteasome inhibitor being studied as a potential anticancer agent [4] and many others. Their significant role is highlighted not only by the wide variety of pharmacological properties [5,6,7,8,9,10] but also by the efficient approved pharmaceutical products such as Cromakalim, which is a potassium channel-opening vasodilator, Nebracetam, known as a nootropic M1-muscarinic agonist, which induces a rise of intracellular Ca2+ concentration, a respiratory stimulant Doxapram, as well as Ethosuximide, a medication for prevention and control of the absence or petit mal seizures [11] (Figure 1). Therefore, the synthesis and evaluation of biological properties of compounds containing this structural element remain a very important area of medicinal chemistry for the discovery and development of efficient therapeutic preparations.
Figure 1.
Pharmaceuticals with 2-pyrrolidinone scaffold.
As those of 5-oxopyrrolidines, the hydrazones having great biopotential attract more and more researchers involved in the discovery and development of effective pharmaceuticals. The increasing interest in the chemistry of these compounds is related to the fact that such types of compounds are proved to be efficient as an analgesic, anti-inflammatory [12], antiviral [13], antimicrobial, [12,14], antitumor [15], anticonvulsant [16] agents show strong antidepressant [17], cardioprotective [18], and antiplatelet [19] properties as well as demonstrate efficiency as antifungal agents [20]. Furthermore, hydrazones can scavenge free radicals, which are the main culprits in different diseases arising from oxidative stress. That includes cardiovascular and Alzheimer’s diseases, skin cancer, as well as various inflammation, and oxidative damage to proteins and DNA [21,22]. The hydrazone derivatives appeared to possess antioxidant, antiproliferative, and photoprotective activities and are useful for the prevention of skin cancer and helpful in sunscreen formulations [23,24]. The ongoing drug discovery for effective pharmaceutical agents targeting various cancers and infectious disease agents promotes the assessment of a combination of biologically effective moieties in the molecules, one of which is the model of 2-pyrrolidinone and hydrazone fragments. The effect of such a combination is shown to possess antihypertensive [25], antifungal [26], and antibacterial [27] activities. Our extensive studies [28,29,30,31] confirmed that and extended this investigation. The works focused on the synthesis and evaluation of bioefficacy of 2-pyrrolidinone-based hydrazone derivatives and approved them to be a unique structural moiety for the design of agents with an antibacterial, antioxidant, anticancer, and human carbonic anhydrase inhibition activity.
The assessment for their antimicrobial properties against multidrug-resistant Gram-negative (Klebsiella pneumoniae, Stenotrophomonas maltophilia, Pseudomonas aeruginosa) and Gram-positive (Staphylococcus aureus) pathogens, and pathogenic fungi (Candida auris, Candida albicans, Aspergillus fumigatus) harboring genetically defined resistance mechanisms revealed bishydrazone with favorable (MIC 2 µg/mL) antibacterial activity against S. aureus, which was independent of the existing antimicrobial resistance phenotype and was comparable to the antimicrobial activity of vancomycin and much higher than that of methicillin and cefoxitin. Furthermore, the antifungal properties appeared to be excellent as the hydrazones possessing a 5-oxopyrrolidine structure showed significantly high MIC (0.9–1.9 µg/mL) against Candida tenuis VKMY-70 and Aspergillus niger VKM F-1119 which surpassed Nystatin (7.8 and 15.6 µg/mL, respectively) the antibiotic used to treat various fungal infections [32].
In this paper, we describe the synthesis of 5-oxopyrrolidine derivatives with the acetamide moiety and characterization of their in vitro antimicrobial and anticancer activity. The choice of the acetamide phenyl moiety, in this case, was determined by the wide variety of biological properties of the compounds bearing this fragment [33,34,35,36] as well as the easy deacetylation possibility to obtain compounds with the free amino group.
2. Results and Discussion
2.1. Synthesis
Above all, our research was focused on the synthesis and verification of antimicrobial and anticancer properties of 5-oxopyrrolidine derivatives. For the solution of this aspiration, the N-(4-aminophenyl)acetamide (1) was chosen and then reacted with an itaconic acid in water at reflux to give 1-(4-acetamidophenyl)-5-oxopyrrolidine-3-carboxylic acid (2) (Scheme 1) as an initial compound for further transformations. Compound 2, when treated with methanol in the presence of a catalytic amount of sulfuric acid in the reaction mixture, afforded methyl ester 3, which without the separation, was subjected to hydrazinolysis to give acid hydrazide 4. To synthesize hydrazones, hydrazide 4 was treated with a 1.5-fold excess of the corresponding aromatic aldehyde. The products were obtained in the range of 38–98% yields. The presence of an amide fragment in the molecules of these compounds and the restricted rotation around this bond allowed the formation of the E/Z conformers [37], which presence is clearly demonstrated by the NMR spectra. The 1H NMR spectra of hydrazones 5–9 showed that the presence of the unsubstituted or 4-substituted phenyl ring causes the formation of the Z and E rotamers in the ratio of 65/35, while when di- or trisubstituted phenyl fragment is attached the ratio of conformers gain the values of 70/30 (10) and 75/25 (11) indicating the growing stability of the Z-form.
Scheme 1.
Synthesis of compounds 2–16. 5, Ar = C6H5, 6, Ar = 4-ClC6H4, 7, Ar = 4-BrC6H4, 8, Ar = 4-Me2NC6H4, 9, Ar = 4-MeOC6H4. 10, Ar = 2,5-di(MeO)C6H3, 11, Ar = 2,4,6-tri(MeO)C6H2, 12, R = Me, 13, R = Et. Reagents and conditions: (a) itaconic acid, water, Δ, 12 h, 5% HCl, 96%; (b,c) MeOH, H2SO4, Δ, 20 h, N2H4∙H2O, Δ, 2 h, 97%; (d) water, HCl, ArCHO+2-PrOH, Δ, 2 h, 38–98%; (e) acetone or ethyl methyl ketone, Δ, 18 h, 56.2% or 61%; (f) 2-PrOH, pentane-2,4-dione, HCl, Δ, 18 h, 30%; (g) 2-PrOH, hexane-2,5-dione, AcOH, Δ, 18 h, 34%; (h) 10% HCl, Δ, 12 h, AcONa, 74%.
To compare the biological properties of the products ketones (acetone and ethyl methyl ketone) that were used in analog reactions, which gave propan-2-ylidenehydrazine or butan-2-ylidenehydrazine derivatives 12 and 13. Their 1H NMR spectra showed the presence of conformational and geometric isomers. To interpret their exact structures, detailed and complex spectroscopic studies are required. Whereas this study aimed to synthesize a specific target compound and evaluate its biological properties, a detailed structural analysis was not performed.
The target azoles 14 and 15 were easily obtained from the hydrazide 4 and the appropriate aliphatic diketone. When reacting with pentane-2,4-dione (2,4-PD) in propan-2-ol with the addition of a catalytic amount of hydrochloric acid, the 3,5-dimethylpyrazole 14 was prepared, while the condensation with hexane-2,5-dione (2,5-HD) at the same conditions but using acetic acid as a catalyst instead the 2,5-dimethylpyrrole derivative 15 was formed. The structures were confirmed by their spectral data. In the 1H NMR spectrum of 14, the protons belonging to the CH of the pyrazole cycle gave a singlet at 6.23 ppm, and protons of two methyl groups of the pyrazole ring gave two singlets in up-field of the spectrum, at 2.21 and 2.49 ppm. The 13C NMR spectrum showed resonances at 111.59, 13.56, and 14.07 ppm, respectively. A structure of pyrrole 15 was approved by the presence of characteristic peaks at 1.99, 5.65, and 10.90, 10.91 ppm, which were assigned to the protons of the methyl groups, the pyrrole CH, and the amide group. The 13C NMR spectrum showed characteristic spectral lines at 10.96 and 103.11 ppm, which were assigned to the carbons of the methyl groups and CH–CH fragment of the pyrrole cycle.
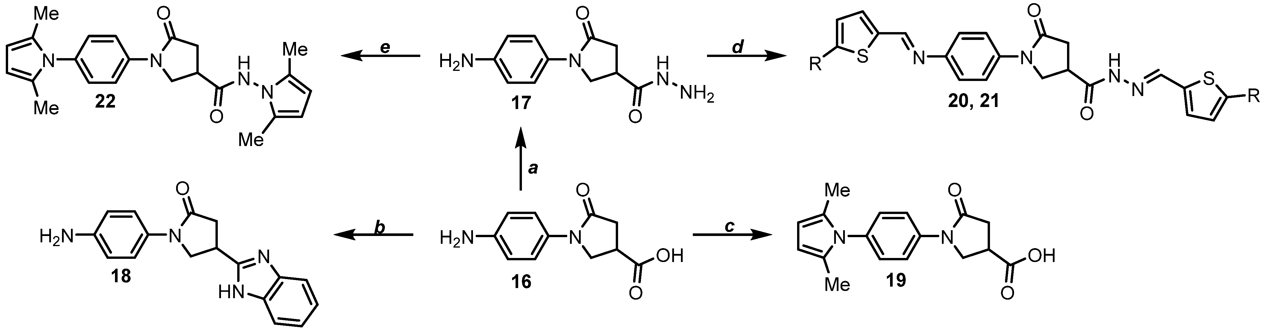
To obtain the compound with the free amino group, the deacylation reaction of the synthesized compound 2 was performed in refluxing dilute hydrochloric acid, followed by transferring the resulting amino hydrochloride into the base form 16 with sodium acetate. The 1H NMR spectrum of compound 16 revealed a singlet at 7.65 ppm integrated for 2 protons, which is characteristic of the amine group attached to the phenyl ring in the molecule.
To compare the chemical properties of the compounds, the hydrazide 17 bearing amine, and hydrazide functional groups were prepared. A refluxing mixture of acid 16 and hydrazine monohydrate in toluene gave the target hydrazide 17 over 16 h. When interpreting the 1H NMR spectrum of compound 17, the broad singlets belonging to 2NH2 and NH groups, as expected, were at 5.57 and 9.29 ppm, respectively.
The functional groups present in compounds 16 and 17 were applied to obtain variously substituted derivatives 18–22 (Scheme 2). Thus, acid 16 was condensed with o-phenylenediamine in refluxing diluted hydrochloric acid (1:1) for 36 h. The target benzimidazole 18 was separated by the addition of sodium acetate to an aqueous solution of the formed precipitate. The NMR spectra showed good agreement with the expected structure.
Scheme 2.
Some chemical transformations of carboxylic acid 16 and acid hydrazide 17. 20, R = H; 21, R = NO2. Reagents and conditions: (a) toluene, N2H4∙H2O, Δ, 16 h, 83.5%; (b) o-phenylenediamine, 6N HCl, Δ, 36 h, AcONa, 75%; (c) 2-PrOH, hexane-2,5-dione, AcOH, Δ, 4 h, 57%; (d) water, HCl, the corresponding thiophene-2-carbaldehyde+2-PrOH, Δ, 2 h, 57.3% (20) or 12 h, 66.8% (21); (e) MeOH, hexane-2,5-dione, AcOH, Δ, 4 h, 32%.
Then, carboxylic acid 16 was reacted with a 4-fold excess of hexane-2,5-dione and a catalytic amount of acetic acid in propan-2-ol at reflux for 4 h. The reaction yielded 2,5-dimethylpyrrole derivative 19. The formed pyrrole ring was approved by the intense singlets at 1.95 (2CH3) and 5.78 (CH–CHpyr) ppm in the 1H NMR spectrum. The 13C NMR spectrum showed peaks at 12.86 and 105.79 ppm, respectively, which are characteristic of the 2,5-dimethylpyrrole cycle.
To verify the hydrazide 17 and to evaluate the impact of substituents on the biological properties of compounds, condensation reactions with carbonyl compounds (heteroaromatic aldehydes and aliphatic diketone) were carried out. The reactions with 2-thiophenecarboxaldehyde and its 5-nitro analog in an aqueous propanolic (15:1) medium in the presence of hydrochloric acid as a catalyst leading to the formation of the appropriate hydrazones 20 and 21. The 1H NMR spectra of these compounds exhibited four down-field singlet signals at 11.55, 11.57, 11.59, and 11.61 (20) and two ones at 11.99 and 12.02 (21) ppm attributed to the protons of the NH. The azomethine CH=N protons resonated between 8.20–8.85 (20) and 8.47–9.01 (21) ppm.
Compound 22 bearing two 2,5-dimethylpyrrole cycles was prepared from compound 17 by the condensation reaction with a 4-fold excess of hexane-2,5-dione in methanol with the addition of a catalytic amount of glacial acetic acid. The reaction at reflux for 4 h resulted in the formation of a desired product 22. The presence of amine and hydrazide groups afforded an asymmetric bis(pyrrole) molecule. The 1H NMR spectrum fully confirmed the formed structure: two singlets at 1.96 and 2.01 ppm each integrated for six protons were attributed for 4CH3, and two singlets at 5.65 and 5.79 ppm where each integrated for two protons were ascribed to 2CH–CHpyr and only one signal at 10.94 ppm was assigned to NH exhibiting that one pyrrole is attached directly to the phenyl ring, and another one is inserted in the molecule via amide moiety.
2.2. The Anticancer Activity of 5-Oxopyrrolidine Derivatives 2 and 4–22
To characterize the biological activity of compounds 2 and 4–22, we determined the anticancer properties of novel 5-oxopyrrolidine derivatives using well established A549 human lung adenocarcinoma model. To better understand the toxicity of the novel compounds, we also used HSAEC-1 KT human small airway epithelial cells that served as non-cancerous cells derived from the pulmonary environment. We exposed the A549 and HSAEC1-KT cells with a fixed 100 µM concentration of each compound for 24 h and evaluated the post-treatment viability using an MTT assay. The compound-mediated cytotoxicity was compared with cisplatin (CP), a standard chemotherapeutic drug used for lung cancer treatment.
The compounds exhibited the structure-depended anticancer activity on A549 cells. Carboxylic acid 2 that was generated from starting compound 1 showed weak anticancer activity and resulted in 78–86% post-treatment viability (Figure 2). The compound conversion to acid hydrazide 4 did not enhance the anticancer activity. Notably, the conversion of hydrazide 4 to hydrazone greatly improved the anticancer activity in a structure-dependent manner (Figure 2). The incorporation of phenyl ring (compound 5) did not significantly affect the anticancer activity in comparison to compound 4. Furthermore, 4-chlorophenyl and 4-bromophenyl substitutions (6 and 7, respectively) enhanced the anticancer activity by reducing the A549 viability to 64 and 61%, respectively. Furthermore, besides enhanced anticancer activity, compound 6 exhibited increased cytotoxicity towards non-cancerous HSAEC1-KT cells (Figure 3). Interestingly, 4-dimethylamino phenyl substitution showed the most potent anticancer activity (8), which was significantly higher than compound 4 (p < 0.05), while incorporation 4-methoxy group in the phenyl ring ameliorated the anticancer activity (compound 9). Compounds 6 and 7 reduced the A549 viability, although no statistically significant effect was observed when the anticancer activity of 6 and 7 were compared with starting compound 4. Furthermore, di- and trimethoxy substitutions in the phenyl ring (compounds 10 and 11) resulted in a significant loss of anticancer activity (p < 0.05) in comparison to compound 8 (Figure 2).
Figure 2.
The anticancer activity of 5-oxopyrrolidine derivatives 2 and 4–22 on A549 human lung adenocarcinoma cells. The cells were exposed to 100 µM of each compound or cisplatin (CP) for 24 h and post-treatment viability was calculated using untreated control as a normalization marker. Data are shown as mean ∓ SD from 3 experimental replicas.
Figure 3.
The in vitro cytotoxic activity of 5-oxopyrrolidine derivatives 2 and 4–22 on non-cancerous HAEC1-KT human small airway epithelial cells. The cells were exposed to 100 µM of each compound or cisplatin (CP) for 24 h and post-treatment viability was calculated using untreated control as a normalization marker. Data are shown as mean ∓ SD from 3 experimental replicas.
Hydrazones 12 and 13 showed weak to no anticancer activity on A549 cells as well as weak cytotoxic activity on HSAEC1-KT cells (Figure 3).
Among azole derivatives, 2,5-dimethylpyrrole derivative 15 exerted more potent activity than 3,5-dimethylpyrazole 14 by reducing the A549 viability to 66%. Compound 15 exhibited noticeable cytotoxic activity towards non-cancerous cells, suggesting that the 2,5-dimethylpyrrole moiety is important for conferring the cytotoxic activity in normal and cancerous cells. Compounds containing free amino group, except 16, and their derivatives bearing various structural substitutions showed more potent anticancer activity than those with an acetylamino fragment in the molecules with no significant cytotoxic effect on non-cancerous cells (Figure 2 and Figure 3). Bis hydrazone 20, containing 2-thienyl fragments and its analog 21 with two 5-nitrothienyl moieties in the structure, demonstrated the highest anticancer activity amongst all tested 5-oxopyrrolidine derivatives and had favorable low cytotoxic properties on non-cancerous cells (Figure 2 and Figure 3).
Finally, the structure–activity relationship study of the investigated hydrazones 5–11, 20, 21 has shown (Figure 2) that the anticancer activity of the hydrazones 5–11 with aromatic moieties is lower compared to hydrazones 20, 21 containing heterocyclic fragments. The most active compounds of aromatic hydrazones were compounds containing dimethylamino-, chloro-, and bromo- substituents in the aromatic ring. As can be seen from the study data, compound 16 exhibited low anticancer activity, but when its functional groups are modified to fragments of benzimidazole (18) or dimethylpyrrole (19), their anticancer activity increases strongly. Therefore, in the future, it would be worth expanding such modifications in search of new compounds with high anticancer activity.
These results suggest that the 5-oxopyrrolidine derivatives can suppress the viability in the A549 human lung cell adenocarcinoma model in a structure-depended manner. In addition to that, 5-oxopyrrolidine derivatives obtained from compounds containing the free amino group exert the most promising anticancer activity demonstrating the importance of the free amino group in the search for anticancer agents with low cytotoxicity toward non-cancerous cells.
2.3. The Antimicrobial Activity of 5-Oxopyrrolidine Derivatives 2 and 4–22
After characterizing the anticancer activity of compounds 2 and 4–22, we further explored their antimicrobial activity using multidrug-resistant and clinically significant pathogens. The compounds 2 and 4–22 were screened using carbapenemases producing Enterobacteriales (Klebsiella pneumoniae, Escherichia coli), multidrug-resistant Pseudomonas aeruginosa, carbapenems, and polymyxin-resistant Acinetobacter baumannii and methicillin-resistant and vancomycin-intermediate Staphylococcus aureus strains.
The compounds 2 and 4–22 showed no antimicrobial activity when screened against Gram-negative pathogens (MIC > 64 µg/mL) (Supplementary Table S1). Interestingly, compound 21 bearing nitro substitution demonstrated promising antimicrobial activity against Staphylococcus aureus TCH 1516 (USA 300) strain (MIC 2 µg/mL), demonstrating the Gram-positive bacteria-directed activity (Supplementary Table S1).
After demonstrating that compound 21 exerts the in vitro antibacterial activity against S. aureus, we decided to check whether the S. aureus-directed activity depends on the pre-existing S. aureus resistance mechanisms. We have screened compound 21 using vancomycin-intermediate and oxazolidines (linezolid/tedizolid) resistant strains and compared the MIC values with clinically approved drugs.
The compound 21 demonstrated favorable activity (MIC 1–8 µg/mL) against multidrug-resistant and vancomycin-intermediate Staphylococcus aureus isolates harboring major multidrug-resistance determining mechanisms (Table 1). On the other hand, higher MIC values (4–64 µg/mL) were observed when linezolid/tedizolid-resistant strains were used for the assays (Table 2).
Table 1.
The antimicrobial activity of 5-oxopyrrolidine derivative 21 against multidrug-resistant and vancomycin intermediate resistant Staphylococcus aureus strains. The data expressed in the table represents minimal inhibitory concentration from 3 technical replicates.
Table 2.
The antimicrobial activity of 5-oxopyrrolidine derivative 21 against linezolid/tedizolid-resistant Staphylococcus aureus strains. The data expressed in the table represents minimal inhibitory concentration from 3 technical replicates.
Many nitro groups containing compounds have enhanced antimicrobial activity under anaerobic conditions. As an example, FDA approved drug metronidazole has excellent activity against anaerobic bacteria, while little to no activity against aerobes. After demonstrating that the nitro group containing compound 21 shows favorable activity against Gram-positive pathogens, we evaluated if the nitro group could confer enhanced activity against anaerobes. To do so, we used representative anaerobic pathogens and determined the MIC for the compound 21 and metronidazole, which served as a controlled drug (Table 3). Compound 21 demonstrated higher antimicrobial activity against Gram-positive pathogens (C. difficile and C. perfringens). The weak activity was also observed against Gram-negative pathogens, suggesting that under anaerobic conditions, compound 21 could confer some weak activity against Gram-negative anaerobic bacteria. Compound 21 did not exhibit greater activity than metronidazole, which was used as a control agent.
Table 3.
The antimicrobial activity of 5-oxopyrrolidine derivative 21 against clinically significant Gram-positive and Gram-negative anaerobic bacteria strains. The data expressed in the table represents minimal inhibitory concentration from 3 technical replicates.
Collectively, these results demonstrate that 5-oxopyrrolidine derivative 21 shows promising and selective antimicrobial activity against Gram-positive pathogens with the highest activity against multidrug-resistant S. aureus with genetically defined and emerging resistance profiles. The 5-oxopyrrolidine derivatives could be potentially explored as promising pharmacophores for a further hit to lead development as antimicrobial candidates targeting challenging resistance mechanisms in the high priority pathogens.
3. Materials and Methods
3.1. Synthesis
Reagents, antibiotics, and solvents were obtained from Sigma-Aldrich (St. Louis, MO, USA) and used without further purification. The reaction course and purity of the synthesized compounds were monitored by TLC using aluminum plates precoated with Silica gel with F254 nm (Merck KGaA, Darmstadt, Germany). Melting points were determined with a B-540 melting point analyzer (Büchi Corporation, New Castle, DE, USA) and were uncorrected. NMR spectra were recorded on a Brucker Avance III (400, 101 MHz) spectrometer (Bruker BioSpin AG, Fällanden, Switzerland). Chemical shifts were reported in (d) ppm relative to tetramethylsilane (TMS) with the residual solvent as internal reference (DMSO-d6, d = 2.50 ppm for 1H and d = 39.5 ppm for 13C). Data were reported as follows: chemical shift, multiplicity, coupling constant (Hz), integration, and assignment. IR spectra (ν, cm−1) were recorded on a Perkin–Elmer Spectrum BX FT–IR spectrometer (Perkin–Elmer Inc., Waltham, MA, USA) using KBr pellets. Elemental analyses (C, H, N) were conducted using the Elemental Analyzer CE-440 (Exeter Analytical, Inc., Chelmsford, MA, USA); their results were found to be in good agreement (±0.3%) with the calculated values.
1-(4-Acetamidophenyl)-5-oxopyrrolidin-3-carboxylic acid (2). A mixture of acetamide 1 (75 g, 0.5 mol), itaconic acid (98 g, 0.75 mol,) and water (100 mL) was refluxed for 12 h, then 5% hydrochloric acid (100 mL) was added to the mixture was stirred for 5 min. After cooling the mixture, the formed crystalline solid was filtered off, washed with water, and purified by dissolving it in 5% sodium hydroxide solution, filtering and acidifying the filtrate with hydrochloric acid to pH 5 to give the title compound 2 (white solid, yield 126.1 g, 96%, m. p. 237–238 °C).
1H NMR (400 MHz, DMSO–d6) δ: 2.03 (s, 3H, CH3), 2.65–2.77 (m, 2H, CH2CO), 3.32–3.38 (m, 1H, CH), 3.92–4.01 (m, 2H, NCH2), 7.56 (s, 4H, HAr), 9.93 (s, 1H, NH), 12.77 (s, 1H, OH) ppm.
13C NMR (101 MHz, DMSO–d6) δ, m. d.: 23.95 (CH3), 35.12, 35.14 (CH, CH2CO), 49.96, 50.03 (NCH2), 119.17, 119.71, 119.94, 134.33, 135.27, 135.63 (CAr); 168.12, 171.43, 174.26 (C=O) ppm.
IR (KBr): vmax 3454–2536 (NH+OH); 1727; 1677; 1644 (C=O); 1512 (C=N); 1172 (C-N) cm−1.
Calcd. for C13H14N2O4, %: C 59.54; H 5.38; N 10.68; Found, %: C 59.83; H 5.42; N 10.42.
N-(4-(4-(hydrazinecarbonyl)-2-oxopyrrolidin-1-yl)phenyl)acetamide (4). A mixture of carboxylic acid 2 (7.87 g, 0.03 mol), methanol (100 mL), and sulfuric acid (10 drops) were refluxed for 20 h, then hydrazine monohydrate was added (12 g, 0.24 mol), and the reaction mixture was heated at reflux for 2 h. After completion of the reaction, the mixture was cooled down, and the formed precipitate was filtered off, washed with propan-2-ol, and diethyl ether to give the title compound 4 (white solid, yield 8.25 g, 97%, m. p. 221–222 °C (from water).
1H NMR (400 MHz, DMSO–d6) δ: 2.02 (s, 3H, CH3), 2.60–2.71 (m, 2H, CH2CO), 3.11–3.19 (m, 1H, CH), 3.75–3.91 (m, 2H, NCH2), 4.41 (br. s. 2H, NH2), 7.55 (s, 4H, HAr), 9.27 (s, 1H, NHNH2), 9.93 (s, H, NHCO) ppm.
13C NMR (101 MHz, DMSO–d6) δ: 23.94 (CH3), 34.08, 35.65 (CH, CH2CO), 50.76 (NCH2), 119.17, 119.85, 134.37, 135.55 (CAr), 168.12, 171.59, 171.69 (C=O) ppm.
IR (KBr): vmax 3367–3220(NH+NH2); 1673; 1645; 1604 (C=O); 1108 (C-N) cm−1.
Calcd. for C13H16N4O3, %: C 56.51; H 5.84; N 20.28. Found, %: 56.77; H 5.70; N 19.99.
General procedure for the preparation of hydrazones 5–11. To a hot solution of hydrazide 4 (0.5 g, 1.8 mmol) in water (60 mL) with the addition of hydrochloric acid (5 drops), the solution of the corresponding aromatic aldehyde (2.7 mmol) in propan-2-ol (5 mL) was added, and the mixture was heated at reflux for 2 h, then cooled down. The obtained solid was filtered off, washed with water, and dried to give the title compounds 5–11.
N-(4-(4-(2-benzylidenehydrazine-1-carbonyl)-2-oxopyrrolidin-1-yl)phenyl)acetamide (5).
White solid yield 0.53 g, 80.8%, mp 203–204 °C (from 1,4-dioxane).
1H NMR (400 MHz, DMSO–d6) δ: (Z/E 65/35) 2.02 (s, 3H, CH3), 2.74–2.82 (m, 2H, CH2CO), 3.91–4.13 (m, 3H, CH, NCH2), 7.41–7.46 (m, 3H, HAr), 7.57 (s, 4H, HAr), 7.67–7.72 (m, 2H, HAr), 8.04, 8.22 (2s, 1H, N=CH), 9.93, 9.94 (2s, 1H, NHCO), 11.57, 11.63 (2 s, 1H, NH) ppm.
IR (KBr): vmax 3294; 3330 (NH); 1672; 1658; 1579 (C=O); 1515 (C=N); 1172 (C-N) cm−1.
Calcd. for C20H20N4O3, %: C 65.92; H 5.53; N 15.38. Found, %: 66.00; H 5.53; N 15.32.
N-(4-(4-(2-(4-chlorobenzylidene)hydrazine-1-carbonyl)-2-oxopyrrolidin-1-yl)phenyl)acetamide (6).
White solid, yield 0.65 g, 90.8%, mp 213–214 °C (from 1,4-dioxane).
1H NMR (400 MHz, DMSO–d6) δ: (Z/E 65/35) 2.02 (s, 3H, CH3), 2.69–2.81 (m, 2H, CH2CO), 3.89–4.11 (m, 3H, CH, NCH2), 7.50 (d, J = 8.3 Hz, 2H, HAr), 7.57 (s, 4H, HAr), 7.71–7.75 (m, 2H, HAr), 8.02, 8.21 (2s, 1H, N=CH), 9.93 (s, 1H, NHCO), 11.63, 11.71 (2 s, 1H, NH) ppm.
13C NMR (101 MHz, DMSO–d6) δ: 23.93 (CH3), 32.81, 34.83, 35.55 (CH, CH2CO), 50.10, 50.54 (NCH2), 119.16, 119.89, 119.96, 128.55, 128.72, 128.91, 133.08, 134.32, 135.58, 142.39, 145.72, 168.09, 168.81, 171.46, 171.66, 173.67 (CAr, CH=N, C=O) ppm.
IR (KBr): vmax 3238; 3342 (NH); 1672; 1602; 1582 (C=O); 1515 (C=N); 1133 (C-N) cm−1.
Calcd. for C20H19ClN4O3, %: C 60.23; H 4.80; N 14.05. Found, %: C 59.97; H 4.70; N 13.97.
N-(4-(4-(2-(4-bromobenzylidene)hydrazine-1-carbonyl)-2-oxopyrrolidin-1-yl)phenyl)acetamide (7).
White solid, yield 0.78 g, 98%, mp 224–225 °C (from 1,4-dioxane).
1H NMR (400 MHz, DMSO–d6) δ: (Z/E 65/35) 2.02 (s, 3H, CH3), 2.67–2.86 (m, 2H, CH2CO), 3.88–4.19 (m, 3H, CH, NCH2), 7.46–7.82 (m, 8H, HAr), 8.01, 8.19 (2s, 1H, N=CH), 9.93, 9.94 (2s, 1H, NHCO), 11.63, 11.70 (2s, 1H, NH) ppm.
IR (KBr): vmax 3233; 3198 (NH); 1670; 1655; 1646 (C=O); 1515 (C=N); 1304 (C-N) cm−1.
Calcd. for C20H19BrN4O3, %: C 54.19; H 4.32; N 12.64. Found, %: C 53.94; H 4.45; N 12.44.
N-(4-(4-(2-(4-(dimethylamino)benzylidene)hydrazine-1-carbonyl)-2-oxopyrrolidin-1-yl)phenyl)acetamide (8).
White solid, yield 0.38 g, 51.8%, mp 174–175 °C (from 1,4-dioxane).
1H NMR (400 MHz, DMSO–d6) δ: (Z/E 65/35) 2.02 (s, 3H, CH3), 2.69–2.78 (m, 2H, CH2CO), 2.95, 2.96 (2s, 6H, N(CH3)2), 3.91–4.11 (m, 3H, CH, NCH2), 6.72, 6.74 (2d, J = 6.1 Hz, 2H, HAr), 7.50 (d, J = 8.6 Hz, 2H, HAr), 7.57 (s, 4H, HAr), 7.90, 8.06 (2s, 1H, N=CH), 9.93 (s, 1H, NHCO), 11.27, 11.32 (2 s, 1H, NH) ppm.
IR (KBr): vmax 3012; 2887 (NH); 1701; 1693; 1655 (C=O); 1517 (C=N); 1124; 1110 (C-N) cm−1.
Calcd. for C22H25N5O3, %: C 64.85; H 6.18; N 17.19. Found, %: C 64.70; H 6.08; N 16.59.
N-(4-(4-(2-(4-methoxybenzylidene)hydrazine-1-carbonyl)-2-oxopyrrolidin-1-yl)phenyl)acetamide (9).
White solid, yield 0.42 g, 59.2%, mp 234–235 °C (from 1,4-dioxane).
1H NMR (400 MHz, DMSO–d6) δ: (Z/E 65/35) 2.02 (s, 3H, CH3), 2.69–2.81 (m, 2H, CH2CO), 3.79 (s, 3H, OCH3), 3.84–4.16 (m, 3H, CH, NCH2), 7.00 (t, J = 7.7 Hz, 2H, HAr), 7.36–7.86 (m, 6H, HAr), 7.98, 8.15 (2s, 1H, N=CH), 9.93(s, 1H, NHCO), 11.44, 11.50 (2s, 1H, NH) ppm.
IR (KBr): vmax 3026; 3113 (NH); 1675; 1671; 1688 (C=O); 1511 (C=N); 1231(C-N) cm−1.
Calcd. for C21H22N4O4, %: C 63.95; H 5.62; N 14.20. Found, %: C 63.79; H 5.56; N 14.48.
N-(4-(4-(2-(2,5-dimethoxybenzylidene)hydrazine-1-carbonyl)-2-oxopyrrolidin-1-yl)phenyl)acetamide (10).
White solid, yield 0.74 g, 97.4%, mp 190–191 °C (from 1,4-dioxane).
1H NMR (400 MHz, DMSO–d6) δ: (Z/E 70/30) 2.02, 2.03 (2s, 3H, CH3), 2.71–2.80 (m, 2H, CH2CO), 3.72, 3.73 (2s, 3H, OCH3), 3.79, 3.81 (2s, 3H, OCH3), 3.93–4.13 (m, 3H, CH, NCH2), 6.97–7.06 (m, 2H, HAr), 7.30, 7.35 (2d, J = 3.1 Hz, 1H, HAr), 7.53–7.60 (m, 4H, HAr), 8.33, 8.53 (2s, 1H, N=CH), 9.92, 9.94 (2s, 1H, NHCO), 11.53, 11.64 (2s, 1H, NH) ppm.
IR (KBr): vmax 3113; 3250 (NH); 1708; 1689; 1671 (C=O); 1494 (C=N); 1226 (C-N) cm−1.
Calcd. for C22H24N4O5, %: C 62.25; H 5.70; N 13.20. Found, %: C 62.21; H 5.76; N 12.96.
N-(4-(2-oxo-4-(2-(2,4,6-trimethoxybenzylidene)hydrazine-1-carbonyl)pyrrolidin-1-yl)phenyl)acetamide (11).
White solid, yield 0.31 g, 38%, mp 194–195 °C (from 1,4-dioxane).
1H NMR (400 MHz, DMSO–d6) δ: (Z/E 75/25) 2.02 (s, 3H, CH3), 2.58–2.81 (m, 2H, CH2CO), 3.78, 3.82 (2s, 9H, 3OCH3), 3.89–4.13 (m, 3H, NCH2, CH), 6.27 (s, 2H, HAr), 7.56 (s, 4H, HAr), 8.19, 8,33 (2s, 1H, N=CH), 9.93 (s, 1H, NHCO), 11,18, 11.25 (2s, 1H, NH) ppm.
IR (KBr): vmax 3332; 3478 (NH); 1691; 1672; 1658 (C=O); 1565 (C=N); 1132 (C-N) cm−1.
Calcd. for C23H26N4O6, %: C 60.78; H 5.77; N 12.33. Found, %: C 60.97; H 5.66; N 12.12.
General procedure for the preparation of hydrazones 12, 13. A mixture of hydrazide 4 (0.5 g, 1.8 mmol) and acetone (12) or ethyl methyl ketone (13) (15 mL) was heated at reflux for 18 h, then cooled down. The obtained solid was filtered off, washed with acetone, and dried to give the title compound 12 (white solid, yield 0.32 g, 56.2%, mp 186–187 °C (from acetone) or compound 13 (white solid, yield 0.36 g, 61%, mp 195–196 °C (from acetone).
N-(4-(2-oxo-4-(2-(propan-2-ylidene)hydrazine-1-carbonyl)pyrrolidin-1-yl)phenyl)acetamide (12).
1H NMR (400 MHz, DMSO–d6) δ: 1.87, 1.88 (s, 3H, CH3), 1.93 (s, 3H, CH3), 2.02 (s, 3H, CH3), 2.57–2.79 (m, 2H, CH2CO), 3.35–3.46 (m, 0.65H, CH), 3.81–4.06 (m, 2H, NCH2, 0.35H, CH), 7.55 (s, 4H, HAr), 9.92 (s, 1H, NHCO), 10.21, 10.22, 10.30, 10.31(4s, 1H, NH) ppm.
IR (KBr): vmax 3183; 3343 (NH); 1701; 1656; 1607; (C=O); 1596 (C=N); 1221 (C-N) cm−1.
Calcd. for C16H20N4O3, %: C 60.75; H 6.37; N 17.71. Found, %: C 60.51; H 6.14; N 17.60.
N-(4-(4-(2-(butan-2-ylidene)hydrazine-1-carbonyl)-2-oxopyrrolidin-1-yl)phenyl)acetamide (13).
1H NMR (400 MHz, DMSO–d6) δ: (Z/E 65/35) 0.87–1.09 (m, 3H, CH3CH2), 1.85, 1.87, 1.91, 1.93 (4s, 3H, CH3), 2.02 (s, 3H, CH3), 2.17–2.35 (m, 2H, CH2CO), 3.37–3.47 (m, 0.65H, CH), 3.83–4.04 (m, 2H, CH2CO, 0.35H, CH), 7.56 (s, 4H, HAr), 9.92 (2s, H, NHCO), 10.19, 10.21, 10.25, 10.30, 10.33, 10.40 ppm.
IR (KBr): vmax 3165; 3241 (NH); 1655; 1598; 1574 (C=O); 1516 (C=N); 1129 (C-N) cm−1.
Calcd. for C17H22N4O3, %: C 61.80; H 6.71; N 16.96; Found, %: C 61.96; H 6.60; N 17.06.
N-(4-(4-(3,5-dimethyl-1H-pyrazol-1-carbonyl)-2-oxopyrrolidin-1-yl)phenyl)acetamide (14). To a solution of hydrazide 4 (0.5 g, 1.8 mol) in propan-2-ol (50 mL), pentane-2,4-dione (0.55 mL, 5.4 mmol), and hydrochloric acid (5 drops) were added and the mixture was heated at reflux for 18 h, then cooled down. The formed precipitate was filtered off and washed with diethyl ether to give the title compound 14 (white solid, yield 0.18 g, 30%, mp 174–175 °C (from propan-2-ol).
1H NMR (400 MHz, DMSO–d6) δ: 2.02 (s, 3H, CH3), 2.21, 2.49 (2s, 6H, 2CH3), 2.81–2.91 (m, 2H, CH2CO); 3.97–4.03 (m, 1H, NCH2), 4.15–4.22 (m, 1H, NCH2), 4.43–4.50 (m, 1H, CH), 6.23 (m, 1H, CH), 7.56 (s, 4H, HAr), 9.93, 10.20 (2s, 1H, NHCO) ppm.
13C NMR (101 MHz, DMSO–d6) δ: 13.56, 14.07 (2CH3), 23.93 (CH3), 35.02, 35.37 (CH, CH2CO), 50.22 (NCH2), 111.59, 119.13, 120.06, 134.20, 135.69, 143.89, 152.14 (CAr), 168.09, 171.18, 172.65 (3C=O) ppm.
IR (KBr): vmax 3340; 3267 (NH); 1728; 1678; 1693 (C=O); 1519 (C=N); 1309; 1285; 1225 (C-N) cm−1.
Calcd. for C18H20N4O3, %: C 63.52; H 5.92; N 16.46. Found, %: C 63.42; H 5.83; N 16.69.
N-(4-(4-(2-(2,5-dimethyl-1H-pyrrol-1-yl)acetyl)-2-oxopyrrolidin-1-yl)phenyl)acetamide (15). To a solution of hydrazide 4 (0.5 g, 1.8 mol) in propan-2-ol (50 mL), hexane-2,5-dione (0.63 mL, 5.4 mmol), and acetic acid (5 drops) were added and the mixture was heated at reflux for 18 h and then cooled down. The formed precipitate was filtered off and washed with diethyl ether to give the title compound 15 (white solid, yield 0.22 g, 34%, mp 225–226 °C (from propan-2-ol).
1H NMR (400 MHz, DMSO–d6) δ: 1.99 (s, 6H, 2CH3), 2.02 (s, 3H, CH3), 2.67–2.91 (m, 2H, CH2CO), 3.42–3.47 (m, 1H, CH), 3.92–4.16 (m, 2H, NCH2), 5.65 (m, 2H CH-CH), 7.57 (s, 4H, HAr), 9.94 (s, 1H, NHCO), 10.90, 10.91 (s, H, NH) ppm.
13C NMR (101 MHz, DMSO–d6) δ: 10.96 (2CH3), 23.94 (CH3), 34.07, 35.56 (CH, CH2CO), 50.48 (NCH2), 103.11, 119.19, 120.02, 126.75, 134.27, 135.69 (CAr), 168.13, 171.25, 171.93 (3C=O) ppm.
IR (KBr): vmax 3261; 3333 (NH); 1682; 1597; 1527 (C=O); 1143; 1130; 1111 (C-N) cm−1.
Calcd. for C19H22N4O3, %: C 64.39; H 6.26; N 15.81. Found, %: C 63.58; H 5.43; N 15.62.
1-(4-Aminophenyl)-5-oxopyrrolidine-3-carboxylic acid (16). To a refluxing 10% aqueous hydrochloric acid solution (100 mL) carboxylic acid 2 (7.87 g, 30 mmol) was added and the mixture was heated at reflux for 12 h, filtered off while hot and sodium acetate (16.4 g, 0.2 mol) was added to the filtrate. The formed solid was filtered off, washed with water, and purified by dissolving it in an aqueous 5% sodium carbonate solution, filtering and acidifying the filtrate with acetic acid to pH 6 to give the title compound 16 (white solid, yield 4.89 g, 74%, mp 209–210 °C.
1H NMR (400 MHz, DMSO–d6) δ: 2.56–2.73 (m, 2H, CH2CO), 3.23–3.32 (m, 1H, CH), 3.82–3.96 (m, 2H, NCH2), 6.55 (d, J = 8.8 Hz, 2H, HAr), 7.22 (d, J = 8.8 Hz, 2H, HAr), 7.65 (br. s, 2H, NH2) ppm.
13C NMR (101 MHz, DMSO–d6) δ: 34.97, 35.20, 35.30 (CH, CH2CO), 50.61 (NCH2), 113.67, 121.67, 128.26, 145.79 (CAr), 170.73, 174.48 (2C=O) ppm.
IR (KBr): vmax 3345–3267 (NH2+OH); 1665; 1625 (C=O); 1171 (C-N) cm−1.
Calcd. for C11H12N2O3, %: C 59.99; H 5.49; N 12.72. Found, %: C 60.25; H 5.56; N 12.84.
1-(4-Aminophenyl)-5-oxopyrrolidine-3-carbohydrazide (17). To a solution of compound 16 (11.01 g, 50 mmol) in toluene (200 mL), hydrazine monohydrate (7.5 g, 150 mmol) was added, and the mixture was refluxed for 16 h. After completion of the reaction, the mixture was cooled down, and the formed precipitate was filtered off, washed with propan-2-ol to give the title compound 17 (white solid, yield 9.78 g, 83.5%, mp 214–215 °C (from propan-2-ol).
1H NMR (400 MHz, DMSO–d6) δ: 2.51–2.65 (m, 2H, CH2CO), 3.05–3.19 (m, 1H, CH), 3.65–3.90 (m, 2H, NCH2), 5.57 (br. s, 4H, 2NH2), 6.55 (d, J = 8.5 Hz, 2H, HAr), 7.22 (d, J = 8.5 Hz, 2H, HAr), 9.29 (br. s, 1H, NH) ppm.
13C NMR (101 MHz, DMSO–d6) δ: 34.20, 35.42 (CH, CH2CO), 50.24 (NCH2), 113.75, 121.56, 121.59, 128.37, 145.59 (CAr), 168.34, 170.92, 171.72 (C=O) ppm.
IR (KBr): vmax 2553; 2654; 2888 (NH+ NH2); 1725 (C=O); 1567; 1512 (C=N); 1265 (C-N) cm−1.
Calcd. for C11H14N4O2, %: C 56.40; H 6.02; N 23.92. Found, %: C 56.30; H 6.32; N 23.82.
1-(4-Aminophenyl)-4-(1H-benzo[d]imidazol-2-yl)pyrrolidin-2-one (18). A solution of compound 16 (4.4 g, 20 mmol) and o-phenylenediamine (4.32 g, 40 mmol) in dilute hydrochloric acid (1:1, 20 mL) was heated at reflux for 36 h, then cooled down. The obtained precipitate was filtered off, washed with water, and dissolved in boiling water (20 mL). Then sodium acetate was added (0.5 g) under stirring. The formed solid was filtered off and washed with water to obtain the title compound 18 (white solid, yield 4.38 g, 75%, mp 356 °C (decomp., from dioxane).
1H NMR (400 MHz, DMSO–d6) δ: 2.92–3.04 (m, 2H, CH2CO), 3.98–4.05 (m, 1H, CH), 4.18–4.32 (m, 2H, NCH2), 5.13 (br. s, 2H, NH2), 6.56 (d, J = 8.4 Hz, 1H, HAr), 7.15 (dd, J = 6.2, 3.2 Hz, 2H, HAr), 7.27 (d, J = 8.4 Hz, 1H, HAr), 7.49–7.54 (m, 2H, HAr), 7.71 (s, 2H, HAr), 12.45 (s, 1H, NH) ppm.
13C NMR (101 MHz, DMSO–d6) δ: 30.65, 30.80, 37.24, 37.48 (CH, CH2CO), 50.17, 52.74 (NCH2), 113.67, 119.71, 121.63, 128.38, 135.36, 145.71, 154.99, 155.20 (CAr), 170.88, 171.83 (C=O) ppm.
IR (KBr): vmax 2640; 2850 (NH), 1659 (C=O), 1518 (C=N), 1181 (C-N) cm−1.
Calcd. for C17H16N4O, %: C 69.85; H 5.52; N 19.17. Found, %: C 69.67; H 5.48; N 17.29.
1-(4-(2,5-Dimethyl-1H-pyrrol-1-yl)phenyl)-5-oxpyrrolidine-3-carboxylic acid (19). To a solution of compound 16 (0.55 g, 2.5 mmol) in propan-2-ol (50 mL) hexane-2,5-dione (1.14 g, 10 mmol) and acetic acid (5 drops) were added and the mixture was heated at reflux for 4h, then cooled down. The formed precipitate was filtered off and washed with water to give the title compound 19 (white solid, yield 0.42 g, 57%, mp 184–185 ° C (from propan-2-ol).
1H NMR (400 MHz, DMSO–d6) δ: 1.95 (s, 6H, 2CH3), 2.68–2.87 (m, 2H, CH2CO), 3,34–3.39 (m, 1H, CH), 3.97–4.16 (m, 2H, NCH2), 5.78 (s, 2H, CH-CH), 7.26 (d, J = 8.6 Hz, 2H, HAr), 7.79 (d, J = 8.6 Hz, 2H, HAr), 12.82 (s, OH) ppm.
13C NMR (101 MHz, DMSO–d6) δ: 12.86 (CH3), 35.16, 35.27 (CH, CH2CO), 49.89 (NCH2), 105.79, 119.72, 127.61, 128.25, 133.94, 138.39 (CAr), 172.07, 174.18 (C=O) ppm.
IR (KBr): vmax 3288 (OH); 1673; 1654 (C=O); 1156; 1127; 1108; 1100 (C-N) cm−1.
Calcd. for C17H18N2O3, %: C 68.44; H 6.08; N 9.39. Found, %: C 68.12; H 5.80; N 9.13.
General procedure for the preparation of hydrazones 20 and 21. To a hot solution of hydrazide 17 (0.59 g, 2.5 mmol) in water (60 mL) with the addition of hydrochloric acid (5 drops), the solution of the corresponding carbaldehyde (5.5 mmol) in propan-2-ol (5 mL) was added, and the mixture was heated at reflux for 2 (20) or 12 (21) h, then cooled down. The obtained solid was filtered off, washed with water, and dried to give the title compound 20 (white solid, yield 0.60 g, 57.3%, mp 268–269 °C (from propan-2-ol) or compound 21 (white solid, yield 0.86 g, 66.8%, mp 272–273 °C (from propan-2-ol).
5-Oxo-N′-(thiophen-2-ylmethylene)-1-(4-((thiophen-2-ylmethylene)amino)phenyl)pyrrolidine-3-carbohydrazide (20).
1H NMR (400 MHz, DMSO–d6) δ: (Z/E, 65/35) 2.68–2.85 (m, 2H, CH2CO), 3.27–3.35 (m, 0.35H, CH), 3.88–4.14 (m, 2H, NCH2, 0.65H, CH), 6.92 (d, J = 8.5 Hz, 1H, HAr), 7.10–7.15 (m, 1H, HAr), 7.15–7.41 (m, 2H, HAr), 7.42–7.82 (m, 6H, HAr), 8.21, 8.22, 8.31, 8.43, 8.44 (5s, 1H, N=CH), 8.78, 8.81, 8.82, 8.85 (4s, 1H, N=CH), 11.55, 11.57, 11.59, 11.61 (4s, 1H, NH) ppm.
13C NMR (101 MHz, DMSO–d6) δ: 32.99, 34.65, 34.80, 35.48 (CH2CO), 50.09, 50.33, 50.57, 50.80 (NCH2), 118.15, 118.16, 120.04, 120.08, 121.03, 121.07, 121.48, 127.85, 127.97, 128.25, 128.48, 128.99, 130.40, 131.01, 131.05, 133.43, 133.81, 137.45, 138.41, 138.64, 138.87, 138.96, 142.19, 142.60, 146.35, 153.05, 155.82 (CAr), 168.52, 168.59, 171.37, 171.52, 171.81, 171.95, 173.11, 173.16 (C=O) ppm.
IR (KBr): vmax 3265 (NH); 1699; 1658 (C=O); 1514; 1509 (C=N); 1179 (C-N) cm−1.
Calcd. for C21H18N4O2S2, %: C 59.70; H 4.29; N 13.26. Found, %: C 59.80; H 4.39; N 12.96.
N′-((5-nitrothiophen-2-yl)methylene)-1-(4-(((5-nitrothiophen-2-yl)methylene)amino)phenyl)-5-oxopyrrolidine-3-carbohydrazide (21).
1H NMR (400 MHz, DMSO–d6) δ: (Z/E, 65/35) 2.72–2.91 (m, 2H, CH2CO), 3.34–3.41 (m, 0.35H, CH), 3.99–4.22 (m, 2H, NCH2, 0.65H, CH), 7.41–7.45 (m, 1H, HAr), 7.51–7.58 (m, 1H, HAr), 7.70 (d, J = 4.3 Hz, 1H, HAr) 7.74–7.79 (m, 2H, HAr), 8.07–8.13 (m, 1H, HAr), 8.15–8.22 (m, 2H, HAr), 8.48, 8.62, 8.79 (3s, 1H, N=CH), 8.93, 8.96, 9.01 (3s, 1H, N=CH), 11.99, 12.02 (2s, 1H, NH) ppm.
13C NMR (101 MHz, DMSO–d6) δ: 32.80, 34.85, 34.98, 35.60 (CH, CH2CO), 49.91, 50.32 (NCH2), 119.90, 119.93, 122.23, 129.05, 129.23, 129.78, 130.47, 130.61, 131.64, 134.42, 134.58, 136.13, 136.94, 138.65, 138.74, 140.62, 143.76, 144.68, 146.46, 146.56, 148.92, 150.55, 150.87, 152.17, 152.29, 156.49, 156.66, 157.32 (CAr), 169.16, 171.91, 172.07, 173.77 (C=O) ppm.
IR (KBr): vmax 3265 (NH); 1699; 1657 (C=O); 1514; 1509 (C=N); 1179 (C-N) cm−1.
Calcd. for C21H16N6O6S2, %: C 49.21; H 3.15; N 16.40. Found, %: C 49.25; H 3.25; N 16.20.
N-(2,5-dimethyl-1H-pyrrol-1-yl)-1-(4-(2,5-dimethyl-1H-pyrrol-1-yl)phenyl)-5-oxopyrrolidine-3-carboxamide (22). To a solution of compound 17 (0.5 g, 2.1 mmol) in methanol (20 mL) hexane-2,5-dione (0.96 g, 8.4 mmol) and glacial acetic acid (5 drops) were added and the mixture was heated at reflux for 4 h, then cooled down. The formed precipitate was filtered off and washed with water to give the title compound 22 (white solid, yield 0.26 g, 32%, mp 245–246 °C (from propan-2-ol).
1H NMR (400 MHz, DMSO–d6) δ: 1.96 (s, 6H, 2CH3), 2.01 (s, 6H, 2CH3), 2.71–3.01 (m, 2H, CH2CO), 3.44–3.54 (m, 1H, CH), 3.98–4.26 (m, 2H, NCH2), 5.65 (s, 2H, CH-CH), 5.79 (s, 2H, CH-CH), 7.28 (d, J = 8.3 Hz, 2H, HAr), 7.82 (d, J = 8.3 Hz, 2H, HAr), 10.94 (s, 1H, NH) ppm.
13C NMR (101 MHz, DMSO–d6) δ: 10.95, 10.98, 12.87 (CH3), 34.04, 35.74, 50.30 (CH2CO, CH, NCH2), 103.10, 105.80, 119.77, 126.74, 127.61, 128.28, 133.99, 138.34 (CAr), 171.85, 171.88 (C=O) ppm.
IR (KBr): vmax 3265 (NH), 1699; 1658 (C=O); 1514 (C=N); 1235; 1203; 1179; 1145; 1128 (C-N) cm−1.
Calcd. for C23H26N4O2, %: C 70.75; H 6.71; N 14.35. Found, %: C 70.58; H 6.64; N 14.18.
3.2. Antimicrobial Activity Characterization
3.2.1. Bacterial Strains and Culture Conditions
The multidrug-resistant and genetically defined isolates were obtained from the ARisolate bank at the Centre for Disease Control (CDC, Atlanta, Georgia, USA). S. aureus TCH 1516 (USA300), B. fragilis, and P. gingivalis were obtained from American Type Culture Collection. Prior to the study, all strains were maintained in commercial cryopreservation systems at −80 °C. Aerobic bacterial strains were subcultured on Columbia Sheep Blood agar (Becton Dickenson, Franklin Lakes, NJ, USA). Anaerobic bacteria were cultured on Anaerobic Blood agar in sealed commercial cultivation chambers (GasPak, Franklin Lakes, NJ, USA). Unless otherwise specified, all antimicrobial susceptibility studies were performed in Cation-Adjusted Mueller–Hinton broth (CAMBH) for liquid cultures (Liofilchem, Via Scozia, Italy).
3.2.2. Minimal Inhibitory Concentration Determination
The minimal inhibitory concentrations (MICs) of compounds 2 and 4–22, as well as various antibiotics, were determined according to the recommendations of the Clinical and Laboratory Standards Institute (CLSI) [38]. The MICs for the compounds and comparator antibiotics were determined according to the testing standard broth microdilution methods described in CLSI document M07-A8 against the libraries of Gram-positive and Gram-negative pathogens. The compounds and antibiotics were dissolved in dimethyl sulfoxide (DMSO) to achieve a final concentration of 30 mg/mL. Series of dilutions were prepared in deep 96-well microplates to achieve 2× of assay concentrations (0.5–64 µg/mL) and were then transferred to the assay plates. A standardized inoculum was prepared using direct colony suspension. Within 15 min of preparation, the adjusted inoculum suspension was diluted in sterile CAMBH to achieve final concentrations of approximately 5 × 105 CFU/mL (range, 2 × 105 to 8 × 105 CFU/mL) in each well. The inoculum was transferred to the assay plates to achieve a 1× assay concentration. For the anaerobic pathogens, CAMBH was replaced with CAMBH supplemented with vitamin K, leaked horse blood and plates were incubated in an anaerobic environment. Inoculated microdilution plates were incubated at 35 °C for 16 to 20 h in an ambient-air incubator within 15 min of the addition of the inoculum.
3.2.3. The Cytotoxic Activity Characterization
The A549 and HSAEC1-KT cells were obtained from American Type Culture Collection. The cytotoxic activity of compounds 2 and 4–22, as well as cisplatin (Sigma-Aldrich, Saint Louis, Missouri, USA), was determined by using an MTT assay (ThermoFisher Scientific, Waltham, Massachusetts USA). Briefly, cells were plated in 96-well plates at a density of 1 × 104 cells/well in DMEM with 10% FBS (for A549) or SAGM BulletKit medium (Lonza CC-3119 and CC-4124) containing supplements (AGM™ SingleQuots™, Lonza CC-4124) (for HSAEC1-KT). After overnight attachment at 37 °C, 5% CO2, cells were treated with compounds (100 µM) in triplicate. After 20 h treatment, the MTT reagent was added, and cells were further incubated for 4 h. The formazan was then extracted with anhydrous DMSO. The samples were measured using a microplate reader at a wavelength of 570 nm. The following formula was used to calculate the percentage of A549 viability: ([AE-AB]/[AC-AB]) × 100%. AE, AC, and AB were defined as the absorbance of experimental samples, untreated samples, and blank controls, respectively.
3.2.4. Statistical Analysis
The data are expressed as a mean ± SD value from three separate experiments unless stated otherwise. The statistical significance was determined using a test. Data were considered significant when p < 0.05.
4. Conclusions
In conclusion, the synthesis, chemical transformations, and biological assessment of some 1-(4-acetamidophenyl)- and 1-(4-aminophenyl)-5-oxopyrrolidine derivatives bearing hydrazone and azole fragments are provided herein. All the prepared compounds were characterized using spectroscopic techniques and elemental analysis.
Compound 21 showed promising and selective antimicrobial activity targeting multidrug-resistant Staphylococcus aureus harboring emerging multidrug-resistance mechanisms. The activity of compound 21 was comparable to or greater than clinically approved antibiotics against S. aureus with challenging resistance mechanisms, demonstrating the great potency of compound 21 for the further hit to lead optimization. It is worth mentioning that the in vitro antimicrobial activity exhibited by compound 21 is reduced in linezolid/tedizolid-resistant S. aureus strains, suggesting that pre-existing resistance mechanisms conferring S. aureus resistance to linezolid/tedizolid perhaps can overcome compound 21 mediated antimicrobial activity.
In addition to that, compounds 18–21 showed promising anticancer activity against A549 human lung adenocarcinoma cells, demonstrating that the 1-(4-aminophenyl)-5-oxopyrrolidine scaffold could be further explored as a promising anticancer pharmacophore for the development and optimization of novel antimicrobial and anticancer candidates.
Supplementary Materials
The following supporting information can be downloaded at: https://www.mdpi.com/article/10.3390/ph15080970/s1, Figure S1: 1H NMR of compound 2; Figure S2: 13C NMR of compound 2; Figure S3: 1H NMR of compound 4; Figure S4: 13C NMR of compound 4; Figure S5: 1H NMR of compound 5; Figure S6: 1H NMR of compound 6; Figure S7: 13C NMR of compound 6; Figure S8: 1H NMR of compound 7; Figure S9: 1H NMR of compound 8; Figure S10: 1H NMR of compound 9; Figure S11: 1H NMR of compound 10; Figure S12: 1H NMR of compound 11; Figure S13: 1H NMR of compound 12; Figure S14: 1H NMR of compound 13; Figure S15: 1H NMR of compound 14; Figure S16: 13C NMR of compound 14; Figure S17: 1H NMR of compound 15; Figure S18: 13C NMR of compound 15; Figure S19: 1H NMR of compound 16; Figure S20: 13C NMR of compound 16; Figure S21: 1H NMR of compound 17; Figure S22: 13C NMR of compound 17; Figure S23: 1H NMR of compound 18; Figure S24: 13C NMR of compound 18; Figure S25: 1H NMR of compound 19; Figure S26: 13C NMR of compound 19; Figure S27: 1H NMR of compound 20; Figure S28: 13C NMR of compound 20; Figure S29: 1H NMR of compound 21; Figure S30: 13C NMR of compound 21; Figure S31: 1H NMR of compound 22; Figure S32: 13C NMR of compound 22; Table S1. The antimicrobial activity of compounds 2, 4–22.
Author Contributions
Conceptualization, V.M. and B.G.; methodology, B.S.-B., R.V. and P.K.; software, P.K.; validation, K.K., B.G., R.V., B.S.-B. and P.K.; formal analysis, B.G. and V.M.; investigation, K.K., B.G., R.V., B.S.-B. and P.K..; resources, K.K. and B.G.; data curation, V.M., P.K. and B.S.-B.; writing—original draft preparation, R.V. and P.K.; writing—review and editing, B.G. and V.M.; visualization, R.V. and P.K.; supervision and project administration, V.M. All authors have read and agreed to the published version of the manuscript.
Funding
The Doctoral Fund of Kaunas University of Technology No. A-410, approved 26 June 2019, Kaunas, Lithuania.
Institutional Review Board Statement
Not applicable.
Informed Consent Statement
Not applicable.
Data Availability Statement
Data is contained within the article and Supplementary Materials. The compounds are available from the corresponding author.
Conflicts of Interest
The authors declare no conflict of interest.
References
- Uesugi, S.; Fujisawa, N.; Yoshida, J.; Watanabe, M.; Dan, S.; Yamori, T.; Shiono, Y.; Kimura, K. Pyrrocidine A, a metabolite of endophytic fungi, has a potent apoptosis-inducing activity against HL60 cells through caspase activation via the Michael addition. J. Antibiot. 2016, 69, 133–140. [Google Scholar] [CrossRef]
- Asami, Y.; Kakeya, H.; Onose, R.; Yoshida, A.; Matsuzaki, H.; Osada, H. Azaspirene: A Novel Angiogenesis Inhibitor Containing a 1-Oxa-7-azaspiro[4.4]non-2-ene-4,6-dione Skeleton Produced by the Fungus Neosartorya sp. Org. Lett. 2002, 4, 2845–2848. [Google Scholar] [CrossRef] [PubMed]
- Enna, S.J.; Bylund, D.B. xPharm: The Comprehensive Pharmacology Reference; Elsevier: Amsterdam, The Netherlands; Boston, MA, USA.
- Sueyoshi, K.; Yamada, M.; Yamano, A.; Ozaki, K.; Sumimoto, S.; Iwasaki, A.; Suenaga, K.; Teruya, T. Ypaoamides B and C, Linear Lipopeptides from an Okeania sp. Marine Cyanobacterium. J. Nat. Prod. 2018, 81, 1103–1107. [Google Scholar] [CrossRef] [PubMed]
- Lee, H.-S.; Jeong, G.-S. Salinosporamide A, a Marine-Derived Proteasome Inhibitor, Inhibits T Cell Activation through Regulating Proliferation and the Cell Cycle. Molecules 2020, 25, 5031. [Google Scholar] [CrossRef]
- Islam, M.S.; Al-Majid, A.M.; El-Senduny, F.F.; Badria, F.A.; Rahman, A.F.M.M.; Assem Barakat, A.; Elshaier, Y.A.M.M. Synthesis, Anticancer Activity, and Molecular Modeling of New Halogenated Spiro[pyrrolidine-thiazolo-oxindoles] Derivatives. Appl. Sci. 2020, 10, 2170. [Google Scholar] [CrossRef]
- Dai, W.; Lou, N.; Xie, D.; Hu, Z.; Song, H.; Lu, M.; Shang, D.; Wu, W.; Peng, J.; Yin, P.; et al. N-Ethyl-2-Pyrrolidinone-Substituted Flavan-3-Ols with Antiinflammatory Activity in Lipopolysaccharide-Stimulated Macrophages Are Storage-Related Marker Compounds for Green Tea. J. Agric. Food Chem. 2020, 68, 12164–12172. [Google Scholar] [CrossRef]
- Muneer, S.; Memon, S.; Pahnwar, Q.K.; Bhatti, A.A.; Khokhar, T.S. Synthesis and investigation of antimicrobial properties of pyrrolidine appended calix[4]arene. J. Anal. Sci. Technol. 2017, 8, 3–8. [Google Scholar] [CrossRef]
- Pendri, A.; Troyer, T.L.; Sofia, M.J.; Walker, M.A.; Naidu, B.N.; Banville, J.; Meanwell, N.A.; Dicker, I.; Lin, Z.; Krystal, M.; et al. Solid Phase Synthesis of Novel Pyrrolidinedione Analogs as Potent HIV-1 Integrase Inhibitors. J. Comb. Chem. 2010, 12, 84–90. [Google Scholar] [CrossRef]
- Siddiqui, S.; Ahmad, R.; Alaidarous, M.; Zia, Q.; Mir, S.A.; Alshehri, B.; Srivastava, A.; Trivedi, A. Phytoconstituents from Moringa oleifera fruits target ACE2 and open spike glycoprotein to combat SARS-CoV-2: An integrative phytochemical and computational approach. J. Food Biochem. 2022, 46, e14062. [Google Scholar] [CrossRef]
- Mao, F.; Ni, W.; Xu, X.; Wang, J.; Ji, M.; Li, J. Chemical Structure-Related Drug-Like Criteria of Global Approved Drugs. Molecules 2016, 21, 75. [Google Scholar] [CrossRef]
- Salgin-Gökşen, U.; Gökhan-Kelekçi, N.; Göktaş, O.; Köysal, Y.; Kiliç, E.; Işik, S.; Aktay, G.; Ozalp, M. 1-Acylthiosemicarbazides, 1,2,4-triazole-5(4H)-thiones, 1,3,4-thiadiazoles and hydrazones containing 5-methyl-2-benzoxazolinones: Synthesis, analgesic-anti-inflammatory and antimicrobial activities. Bioorg. Med. Chem. 2007, 15, 5738–5751. [Google Scholar] [CrossRef] [PubMed]
- Tian, B.; He, M.; Tang, S.; Hewlett, I.; Tan, Z.; Li, J.; Jin, Y.; Yang, M. Synthesis and antiviral activities of novel acylhydrazone derivatives targeting HIV-1 capsid protein. Bioorg. Med. Chem. Lett. 2009, 19, 2162–2167. [Google Scholar] [CrossRef] [PubMed]
- Ozkay, Y.; Tunali, Y.; Karaca, H.; Işikdağ, I. Antimicrobial activity and a SAR study of some novel benzimidazole derivatives bearing hydrazone moiety. Eur. J. Med. Chem. 2010, 45, 3293–3298. [Google Scholar] [CrossRef] [PubMed]
- Abdel-Aziz, A.A.-M.; El-Azab, A.S.; AlSaif, N.A.; Obaidullah, A.J.; Al-Obaid, A.M.; Al-Suwaidan, I.A. Synthesis, potential antitumor activity, cell cycle analysis, and multitarget mechanisms of novel hydrazones incorporating a 4-methylsulfonylbenzene scaffold: A molecular docking study. J. Enzym. Inhib. Med. Chem. 2021, 36, 1520–1536. [Google Scholar] [CrossRef] [PubMed]
- Angelova, V.; Karabeliov, V.; Andreeva-Gateva, P.A.; Tchekalarova, J. Recent Developments of Hydrazide/Hydrazone Derivatives and Their Analogs as Anticonvulsant Agents in Animal Models. Drug Dev. Res. 2016, 77, 379–392. [Google Scholar] [CrossRef]
- Kulandasamy, R.; Adhikari, A.V.; Stables, J.P. A new class of anticonvulsants possessing 6 Hz activity: 3,4-dialkyloxy thiophene bishydrazones. Eur. J. Med. Chem. 2009, 44, 4376–4384. [Google Scholar] [CrossRef]
- Ghazouani, L.; Khdhiri, E.; Elmufti, A.; Feriani, A.; Tir, M.; Baaziz, I.; Hajji, R.; Mansour, H.B.; Ammar, H.; Abid, S.; et al. Cardioprotective effects of (E)-4-hydroxy-N′-(1-(3-oxo-3H-benzo[f]chromen-2-yl)ethylidene)benzohydrazide: A newly synthesized coumarin hydrazone against isoproterenol-induced myocardial infarction in a rat model. Can. J. Physiol. Pharmacol. 2019, 97, 1–10. [Google Scholar] [CrossRef]
- Mashayekhi, V.; Haj, M.E.T.K.; Amidi, S.; Kobarfard, F. Synthesis of novel indole hydrazone derivatives and evaluation of their antiplatelet aggregation activity. Chem. Pharm. Bull. 2013, 61, 144–150. [Google Scholar] [CrossRef]
- Casanova, B.B.; Muniz, M.N.; de Oliveira, T.; de Oliveira, L.F.; Machado, M.M.; Fuentefria, A.M.; Gosmann, G.; Gnoatto, S.C.B. Synthesis and biological evaluation of hydrazone derivatives as antifungal agents. Molecules 2015, 20, 9229–9241. [Google Scholar] [CrossRef]
- Kareem, H.S.; Ariffin, A.; Nordin, N.; Heidelberg, T.; Abdul-Aziz, A.; Kong, K.W.; Yehye, W.A. Correlation of antioxidant activities with theoretical studies for new hydrazone compounds bearing a 3,4,5-trimethoxy benzyl moiety. Eur. J. Med. Chem. 2015, 103, 497–505. [Google Scholar] [CrossRef]
- Anastassova, N.O.; Yancheva, D.Y.; Mavrova, A.T.; Kondeva-Burdina, M.S.; Tzankova, V.I.; Hristova-Avakumova, N.G.; Hadjimitova, V.A. Design, synthesis, antioxidant properties and mechanism of action of new N,N‘-disubstituted benzimidazole-2-thione hydrazone derivatives. J. Mol. Struct. 2018, 1165, 162–176. [Google Scholar] [CrossRef]
- Reis, J.S.; Correa, M.A.; Chung, M.C.; dos Santos, J.L. Synthesis, antioxidant and photoprotection activities of hybrid derivatives useful to prevent skin cancer. Bioorg. Med. Chem. 2014, 22, 2733–2738. [Google Scholar] [CrossRef] [PubMed]
- Baldisserotto, A.; Demurtas, A.; Lampronti, I.; Moi, D.; Balboni, G.; Vertuani, S.; Manfredini, S.; Onnis, V. Benzofuran hydrazones as potential scaffold in the development of multifunctional drugs: Synthesis and evaluation of antioxidant, photoprotective and antiprolferative activity. Eur. J. Med. Chem. 2018, 156, 118–125. [Google Scholar] [CrossRef]
- Elderwish, S.; Audebrand, A.; Nebigil, C.G.; Désaubry, L. Discovery of 3,3′-pyrrolidinyl-spirooxindoles as cardioprotectant prohibitin ligands. Eur. J. Med. Chem. 2020, 186, 111859. [Google Scholar] [CrossRef]
- Cave, C.; Galons, H.; Miocque, M.; Rinjard, P.; Tran, G.; Binet, P. Antihypertensive hydrazidones: α-aminoacylated 2-chlorobenzylidene hydrazines. Eur. J. Med. Chem. 1994, 29, 389–392. [Google Scholar] [CrossRef]
- Dascalua, A.-E.; Ghineta, A.; Lipkaa, E.; Furmana, C.; Rigoa, B.; Fayeullef, A.; Billamboza, M. Design, synthesis and evaluation of hydrazine and acyl hydrazine derivatives of 5-pyrrolidin-2-one as antifungal agents. Bioorg. Med. Chem. Lett. 2020, 30, 127220. [Google Scholar] [CrossRef]
- Betti, N.A.; Hussain, R.I.; Kadhem, S.A. Synthesis and Biological Evaluation of Some Pyrrolidine-2-one Derivatives. MJS 2020, 31, 31–40. [Google Scholar] [CrossRef][Green Version]
- Sapijanskaitė-Banevič, B.; Palskys, V.; Vaickelionienė, R.; Šiugždaitė, J.; Kavaliauskas, P.; Grybaitė, B.; Mickevičius, V. Synthesis and Antibacterial Activity of New Azole, Diazole and Triazole Derivatives Based on p-Aminobenzoic Acid. Molecules 2021, 26, 2597. [Google Scholar] [CrossRef] [PubMed]
- Tumosienė, I.; Peleckis, A.; Jonuškienė, I.; Vaickelionienė, R.; Kantminienė, K.; Šiugždaitė, J.; Beresnevičius, Z.J.; Mickevičius, V. Synthesis of novel 1,2- and 2-substituted benzimidazoles with high antibacterial and antioxidant activity. Monatsh. Chem. 2018, 149, 577–594. [Google Scholar] [CrossRef]
- Balandis, B.; Ivanauskaitė, G.; Smirnovienė, J.; Kantminienė, K.; Matulis, D.; Mickevičius, V.; Zubrienė, A. Synthesis and structure—Affinity relationship of chlorinated pyrrolidinone-bearing benzenesulfonamides as human carbonic anhydrase inhibitors. Bioorg. Chem. 2020, 97, 103658. [Google Scholar] [CrossRef]
- Rutkauskas, K.; Mickevičius, V.; Kantminienė, K.; Stasevych, M.; Komarovska-Porokhnyavets, O.; Musyanovych, R.; Novikov, V. Synthesis and antimicrobial activity of 1,3-disubstituted pyrrolidinones with hydrazone and naphthoquinone moieties. Chemija 2013, 24, 74–80. [Google Scholar]
- Belyaev, A.; Zhang, X.; Augustyns, K.; Lambeir, A.-M.; De Meester, I.; Vedemikova, I.; Schrpė, S.; Haemers, A. Structure-Activity Relationship of diaryl phosphonate esters as potent irreversible dipeptidyl peptidase IV inhibitors. J. Med. Chem. 1999, 42, 1041–1052. [Google Scholar] [CrossRef] [PubMed]
- Bandeira, P.N.; Lemos, T.L.; Santos, H.S.; de Carvalho, M.C.S.; Pinheiro, D.P.; de Moraes Filho, M.O.; Pessoa, C.; Barros-Nepomuceno, F.W.A.; Rodrigues, T.H.S.; Ribeiro, P.R.V.; et al. Synthesis, structural characterization, and cytotoxic evaluation of chalcone derivatives. Med. Chem. Res. 2019, 28, 2037–2049. [Google Scholar] [CrossRef]
- Salem, M.S.; Guirguis, D.B.; El-Helw, E.A.E.; Ghareeb, M.A.; Derbala, H.A.Y. Antioxidant activity of heterocyclic compounds derived from 4-(4-acetamidophenyl)-4-oxobut-2-enoic acid. Int. J. Sci. Res. 2014, 3, 1274–1282. [Google Scholar]
- Chen, L.; Wang, P.; Li, Z.; Zhou, L.; Wu, Z.; Song, B.; Yang, S. Antiviral and antibacterial activities of N-(4-substituted phenyl)acetamide derivatives bearing 1,3,4-oxadiazole moiety. Chin. J. Chem. 2016, 34, 1236–1244. [Google Scholar] [CrossRef]
- Brokaite, K.; Mickevicius, V.; Mikulskiene, G. Synthesis and structural investigation of some 1,4-disubstituted-2-pyrrolidinones. Arkivoc 2006, 2, 61–67. [Google Scholar] [CrossRef]
- Clinical and Laboratory Standards Institute. Methods for Dilution Antimicrobial Susceptibility Tests for Bacteria That Grow Aerobically; CLSI document M07-A8; Clinical and Laboratory Standards Institute: Wayne, PA, USA, 2009. [Google Scholar]
Publisher’s Note: MDPI stays neutral with regard to jurisdictional claims in published maps and institutional affiliations. |
© 2022 by the authors. Licensee MDPI, Basel, Switzerland. This article is an open access article distributed under the terms and conditions of the Creative Commons Attribution (CC BY) license (https://creativecommons.org/licenses/by/4.0/).




