Abstract
Cancer remains a primary cause of mortality, with over 18.1 million new cases and 9.6 million deaths globally in 2018. Chemotherapy, which utilizes a spectrum of cytotoxic drugs targeting the rapidly dividing cancer cells, is a predominant treatment modality. However, the tendency of chemotherapeutics to induce drug resistance and exhibit non-specific cytotoxicity necessitates the development of new anticancer agents with heightened efficacy and minimized toxicity. In recent years, the discovery of safe and effective antibacterial/antiviral agents has also been a hot spot in medicinal chemistry. This paper comprehensively reviews the synthesis, anticancer/antibacterial/antiviral activity, and structure–activity relationships of natural 1,4-naphthoquinones and their derivatives. It highlights their potential as efficient and low-toxicity antitumor and anti-infectious drug candidates.
1. Introduction
Cancer is a leading cause of death worldwide, posing a severe threat to human health. Agency for Research on Cancer data from 2022 indicate a staggering 20 million new cases, leading to approximately 9.7 million fatalities globally. China, the most populous nation in the world, occupied almost half of all the cases (49.2%) and the majority of fatalities (56.1%) in the world, implying the severe cancer mortality burden in Asia [1]. Lung, breast, and colorectal cancers are the most prevalent and account for a third of incidence and mortality rates in the world. The primary treatment strategy in clinical settings includes radiotherapy, surgery, and chemotherapy, each playing a vital role in combating these formidable diseases [2].
Malignant tumors present a significant threat to human health, with increasing cancer incidence underscoring the urgency of effective cancer prevention and treatment. In the United States, approximately 1,958,310 new cancer cases are projected for 2023. Looking ahead, the total number of cancer cases in the U.S. is expected to reach 2.3 million by 2025, driven by an aging population. Despite chemotherapy being the primary treatment modality, its extensive cytotoxic effects, poor drug selectivity, and tendency to foster drug resistance pose significant challenges. Consequently, developing highly effective, less toxic antitumor drugs has become a focal point in contemporary antitumor drug research. Addressing these issues is crucial for improving patient outcomes and reducing the global cancer burden.
Chemotherapy is rooted in the principles of cancer biology and molecular genetics. It is considered a cornerstone of cancer treatment and employs a wide range of drugs known for their cytotoxic effects. These drugs primarily, though not exclusively, target the rapidly dividing cancer cells [3]. However, its effectiveness is often overshadowed by significant limitations. Many anticancer drugs lack specificity, leading to collateral damage to healthy cells and causing severe toxic side effects, for example, skin and hair changes, nausea, blood-clotting issues, fatigue, immune suppression, and potential damage to vital organs, with some effects causing long-term harm [4].
A critical challenge in chemotherapy is drug resistance, which accounts for approximately 90% of treatment failures due to cancer’s ability to evade and metastasize [5]. This has steered the scientific community towards developing targeted anticancer therapies that promise higher efficacy and lower toxicity.
The issue of treatment resistance extends beyond cancer. Infectious diseases, notably caused by bacteria and viruses, also pose a global health threat. The COVID-19 pandemic, triggered by the SARS-CoV-2 virus, illustrates this issue significantly, which caused over 591 million cases and 6.43 million deaths by August 2022. Annually, bacterial infections lead to approximately 700,000 deaths, with projections suggesting a rise to 10 million by 2050, surpassing cancer fatalities [6]. The growing challenge of multidrug resistance infections has been recognized by the World Health Organization as one of the top ten global health threats, emphasizing the urgent need for novel therapeutic strategies [7].
The exploration of lead compounds from natural products, followed by their structural modification, forms the cornerstone of drug research and development. Quinone compounds, a notable class of natural organic substances, have substantial medicinal value. Several drugs employed in solid tumor treatments, such as erythromycin, adriamycin, mitomycin, and mitoxantrone, incorporate quinone structures [8,9,10]. Moreover, naphthoquinones, prevalent in plants, fungi, and some animals, exhibit a broad spectrum of pharmacological properties [11].
Among various naphthoquinones, natural 1,4-naphthoquinones, which are naphthol analogs with a conjugated diketone group on the naphthalene structure, are particularly significant. The most crucial subset within this family is 1,4-naphthoquinone, widely utilized as an active pharmaceutical ingredient in the industry. These derivatives display diverse biological activities, including antifungal, antibacterial, antiplatelet, antiallergic, anti-inflammatory, antithrombotic, antiviral, and antitumor activities related to lipoxygenase inhibition, free radical scavenging, and antiradical properties [12,13,14,15].
This article first reviews the synthesis pathways of 1,4-naphthoquinone derivatives, followed by biological activities associated with these compounds, focusing on anticancer, antimicrobial, and antiviral properties. Finally, we discuss these compounds’ structure–activity relationships to understand their mechanisms of action and guide future synthetic efforts.
2. Synthesis of 1,4-Naphthoquinones and Its Derivatives
Notable natural 1,4-naphthoquinone products include vitamin K (1, Figure 1), juglone (2), plumbagin (3), lawsone (4), lapachol (5), shikonin (6), and alkannin (7) [16,17]. Vitamin K analogs (1), characterized by a methyl group on the quinone ring (1,4-naphthoquinone), encompass several natural products (8, 9). Juglone and plumbagin share homologous structures, and similarly, the structures of lawsone (4) and lapachol (5) are closely related and can be discussed in conjunction. The naturally occurring naphthazarin compounds, such as shikonin and alkannin, are a pair of enantiomers with significant relevance.
Figure 1.
1,4-naphthoquinone analogs. * indicates the chiral carbon in the chemical structure of compounds 6 and 7, which were in R and S configuration respectively.
2.1. Synthesis of Vitamin K and Its Analogs
Vitamin K is an essential class of disubstituted 1,4-naphthoquinone derivatives, plays a crucial role in blood coagulation, and is essential for synthesizing coagulation factors in the liver, which can also facilitate the growth of cells [18,19]. There are two naturally occurring forms: vitamin K1 (Phylloquinone, 8, Scheme 1), an oil-soluble vitamin derived from alfalfa, and vitamin K2 (Menatetrenone, 9, Figure 1), a crystalline form obtained from fermented fish. Vitamin K1 is abundant in plants and is known as phylloquinone due to its phytane side chain [20,21,22]. Vitamin K2, the biologically active form of vitamin K, is subdivided into various subtypes like MK-4 and MK-7, differentiated by the number of isoprene units at the 3-position, the two most studied subtypes [23].
Scheme 1.
The synthetic routes of vitamin K1 (8). Conditions: (a) Phytyl bromide, −60 °C, 30 min, H3O+; (b) 0.5% (NiCl2, PPh3, n-BuLi), THF, −78 °C, 15 min.
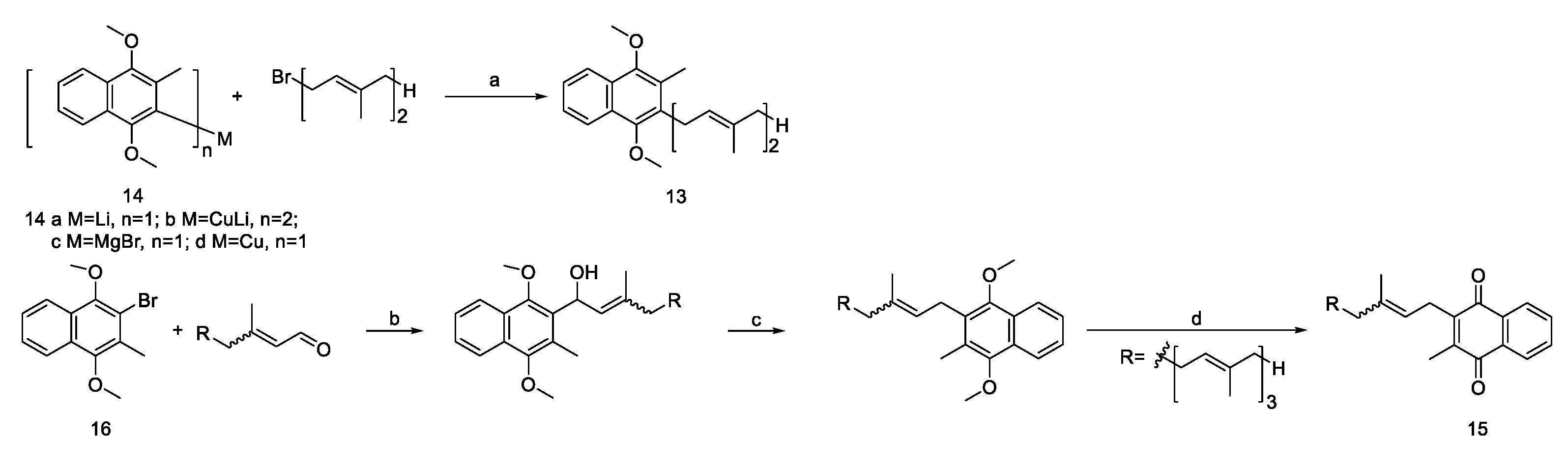
Vitamin K1 (8) isolation from alfalfa leaves opened the doors for different synthetic approaches involving Friedel–Crafts acylation using phytobromine or chlorophyll alcohol and 2-methyl-1,4-naphthoquinone [24,25]. While presenting a straightforward strategy, these methods result in low yields [26,27,28]. Subsequent optimizations by Chenard [29] and Lipshutz [30] significantly improved yields. Chenard’s method involved coupling protected naphthoquinone cuprate (10) with phytyl bromine (11), while Lipshutz’s approach used chloromethylated 2-methyl-1,4-naphthoquinone (12) coupled under nickel chloride and triphenylphosphine catalytic conditions.
For the synthesis of vitamin MK-2 (13, Scheme 2), Snyder et al. [31] reported a method using 2-metal-3-methyl-1,4-dimethoxynaphthalene (14) and brominated alkanes, proving most effective for high-yield MK-2 synthesis up to 80% and 99% retention of E-configuration. Garcias [32] described a synthesis route for MK-4 (15), involving 2-bromo-3-methyl-1,4-dimethoxynaphthalene (16) and allyl aldehyde coupling using n-butyllithium to deliver corresponding alcohol, followed by Birch hydrogenolysis (BIHY) to retain the conformation of a desired intermediate and, finally, ceric ammonium nitrate (IV) oxidation to obtain vitamin MK-4.
Scheme 2.
The synthetic route of vitamin MK-4. Conditions: (a) AgO, H+; (b) n-BuLi, THF; (c) Li/THF; (d) Ce (IV).
Vitamin MK-7 (17, Scheme 3), a subtype of vitamin K2, has distinguished high biological activity and better bioavailability than other vitamin K forms. It features minimal intestinal absorption and is retained in the serum for up to three days. Such efficiency allows small daily doses to suffice in supporting vitamin K-dependent enzymes and proteins. MK-7 also plays a role in calcium metabolism, contributing to bone formation and influencing the health of arterial blood vessel walls, unlike vitamin K1.
Scheme 3.
The synthetic route of vitamin MK-7. Conditions: (a) Ac2O, Py, SeO2, tBuO2H, salicylic acid; (b) PBr3, PhSO2Na; (c) tBuOK, Farnesyl bromide; (d) LiEt3BH, Pd(dppe)Cl2; (e) OH; (f) PBr3, CH2Cl2; (g) SnCl4, CH2Cl2, 0 °C; (h) NaHMDS, THF, −20 °C; (i) CAN, CH3CN/CH2Cl2.
The synthesis of vitamin MK-7, based on its molecular structure, can be achieved from menadione or its protected derivatives. In a notable advancement, Krajewski et al. [33] developed a multistep synthesis process, which has been the subject of a U.S. patent application. The synthesis begins with farnesol (18, Scheme 3), which undergoes acetylation, followed by hydroxyl group oxidation using selenium dioxide. The resulting product is then esterified using phosphorus tribromide, leading to intermediate 19. Then, the substitution reaction with brominated farnesol formed intermediate 20, and the substitution of benzenesulfonyl and acetyl groups yielded intermediate 21. The next step involves bromination to produce key intermediate 22. Concurrently, diethylmethanaphthoquinone (23) undergoes a substitution reaction to form intermediate 24. The intermediates 24 then undergo a nucleophilic substitution to deliver intermediate 24. Finally, dephenylsulfonylation and oxidation culminate in the production of vitamin MK-7.
2.2. Synthesis of Juglone (5-Hydroxy-1,4-Naphthoquinone)
Lawsone and Juglone differ in the position of their hydroxyl groups, impacting their synthesis and biological activities. This structural difference influences the electron density distribution in each molecule, contributing to distinct bioactivity profiles.
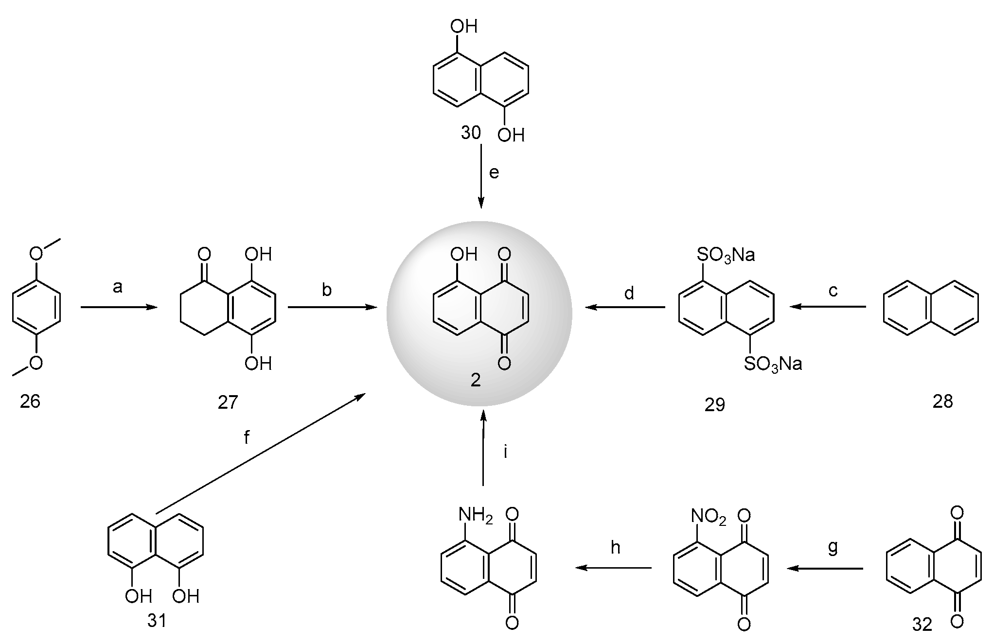
Juglone (2, Scheme 4), scientifically denoted as 5-hydroxy-1,4-naphthoquinone, is an intrinsic dye compound naturally found in Lawsonia inermis leaves and widely distributed across the roots, husks, fruits, and bark of the walnut family [34,35]. However, due to its low content and extraction efficiency in P. nutans, chemical synthesis is the predominant source of juglone [36].
Scheme 4.
The synthetic routes of juglone. Conditions: (a) Succinic anhydride, PhNO2, AlCl3, Et3SiH, CF3COOH, HBr, reflux; (b) DDQ, Benzene, reflux; (c) H2SO4, SO3, 55 °C; (d) NaOH, 330 °C, H2SO4, Na2Cr2O7, H2O, 15 °C; (e) Ac2O, H2O2, MeOH, 50 °C; (f) HIO4, microwave, 50 °C; (g) HNO3, H2SO4; (h) Na2S2O4, then H2O2; (i) NaNO2, then Cu2+.
The early synthesis of juglone was achieved through a Friedel–Crafts acylation and cyclization reaction utilizing 1,4-dimethoxybenzene (26) as the foundational substrate, forming an intermediate (27). Khalafy et al. [37] pioneered juglone synthesis, yielding the intermediate 5,8-dihydroxy-1-tetrahydronaphthalenone (27), which was subsequently oxidized using DDQ to yield juglone. Notably, this method offers relatively high yields; however, its dependence on toxic solvents, such as benzene, renders it useless for industrial-scale production.
Subsequent methodologies harnessed juglone’s quinone structure [38], focusing on the oxidation of naphthalene and naphthol as critical intermediates. Mamchur et al. [39] employed naphthalene (28) as the primary substrate, initially using sulfonation to form a salt, followed by alkalinization to obtain a phenol sodium salt, and ultimately subjecting it to oxidation with dichromate to yield juglone. However, it is a straightforward synthetic strategy. The main disadvantages are low yields and the use of heavy metals like chromium, which presents environmental contamination concerns.
Mingxiao Zhang et al. [40] introduced an innovative one-pot synthesis method for juglone. This approach synthesized the peracetic acid from acetic anhydride and hydrogen peroxide, eliminating the need for sulfuric acid. Subsequently, the authors incrementally added a methanolic solution of 1,5-dihydroxynaphthalene (30) and stirred at 50 °C for 4 h to yield juglone. The main advantages of this method are ease of operation, high yields, cost-effectiveness, readily accessible raw materials, and eliminating the necessity for toxic solvents. Iodylbenzene or iodosylbenzene employed as oxidants to obtain juglone was also a sophisticated method reported by R. Barret and M. Daudon [41]. Michael Oelgemoller et al. [42] employed a photochemistry protocol, oxidizing 1,5-dihydroxyl naphthalene to harness juglone in a special reactor. This method was environmentally friendly, with only oxygen gas and sunlight required, and produced little waste.
Hashemi et al. [43] embraced an environmentally conscientious synthetic technique, solid-phase microwave oxidation, for juglone synthesis. The method entailed mixing 1,8-dihydroxynaphthalene (31), periodate, and kaolinite clay in a mortar, followed by microwave irradiation for 50 s, resulting in a commendable 91% yield of juglone. This approach has a brief reaction duration, high yield, and negligible environmental impact. Hong Li et al. [44] reported a method employing 1,4-naphthoquinone (32) as the starting material, nitrified the α-H of the naphthoquinone. Reduction in the nitro group, diazotization, and hydrolysis procedure afforded the final product juglone subsequently.
2.3. Synthesis of Lawsone (2-Hydroxy-1,4-Naphthoquinone)
Lawsone, also known as 2-hydroxy-1,4-naphthoquinone, is a reddish-orange dye naturally occurring in the leaves of Lawsonia inermis and the flowers of water hyacinths. Its historical use as a hair and skin dye dates back over 5000 years [45]. Lawsone can form a Michael addition reaction with the protein keratin in the skin and hair, resulting in long-lasting coloration until natural shedding occurs. Furthermore, it exhibits strong UV-absorbing properties, making aqueous extracts effective in preventing skin tanning. Due to its susceptibility to biodegradation during extraction, contemporary production primarily relies on chemical synthesis [33,46,47].
Fieser et al. [48] accomplished the synthesis of lawsone (4, Scheme 5) through the closure of the phenyl derivative’s ring (32) via a cyclization reaction. This reaction can occur under alkaline conditions in atmospheric air or catalyzed by p-nitrotoluene and copper sulfate. Inoue et al. [49] employed a multistep process to convert 4-chlorobutyryl compounds (33) into lawsone. Initially, naphthol (34, 35) was oxidized to 2-hydroxy-1,4-naphthoquinone using potassium superoxide (KO2) in a toluene solution of 18-crown-6 [50] or a tetrahydrofuran solution at −10 °C [51], delivering a 34% yield. Subsequently, 4-amino-1,3-naphthalenediphenol (36) underwent oxidation to deliver lawsone under HCl or NaOH conditions at 45 °C for an hour [52]. 3,4-dihydroxy-1-naphthoic acid (37) was hydrolyzed under alkaline KOH conditions in the presence of air to yield the target product [53]. Further oxidation of 3,4-dimethoxy-1-naphthol (38) was carried out in aqueous NaOH and potassium ferricyanide to afford lawsone (65% yield) and a dimer product [54]. Subsequently, 2-allyl-1,4-naphthoquinone (39) underwent oxidation using KOH and H2O2, yielding a lawsone. Finally, the hydrolysis of 4-allyloxy-1,2-naphthalenedione (40) under alkaline conditions resulted in the formation of lawsone and allyl alcohol.
Scheme 5.
The synthetic routes of lawsone. Conditions: (a) p-Nitrotoluene, CuSO4 or NaOH, air; (b) HCl, NaOH, AlCl3, O2, PdCl2, MeOH, sod. tetrahydroborate, CS2, CH2Cl2; (c) KO2, 18-crown-6, toluene; (d) crown-ether/pyridine or KO2/THF, −10 °C; (e) [O], H2O, HCl or aq. KOH, air; (f) Prussian red, H2O, NaOH; (g) H2O2, KOH; (h) basic hydrolysis.
2.4. Synthesis of Shikonin and Alkannin
Red-root gromwell, belonging to the Comfrey family, encompasses two distinct species: Lithospermum erythrorhizon Sieb. & Zucc. and Arnebia euchroma (Royle) Johnst. It is predominantly found in regions spanning China, Korea, and Japan [55]. Within this botanical genus, shikonin (6, Scheme 6) and alkannin (7) emerge as a pair of enantiomeric isomers distinguished by their naphthazarin structure. Shikonin serves as the primary active constituent of Lithospermum erythrorhizon, whereas alkannin takes precedence in Arnebia euchroma. While conventional methods for obtaining shikonin have traditionally involved plant tissue extraction or cellular tissue cultivation, sustained research efforts have now made it feasible to achieve high enantiomeric excess (ee) values of shikonin, alkannin, and their derivatives through chemical synthesis [56,57].
Scheme 6.
The synthetic route of racemic shikonin. Conditions: (a) TsOH, CH3COCH3, MgMeI, THF; (b) CAN, CH3CN/CH2Cl2, AgO, AgNO3; (c) AcOH, Py, SOCl2, NaOH, CH3COOH; (d) Me2SCH2; (e) isopropyl thin lithium; (f) CAN, CH3CN/CH2Cl2; (g) AgO, AgNO3.
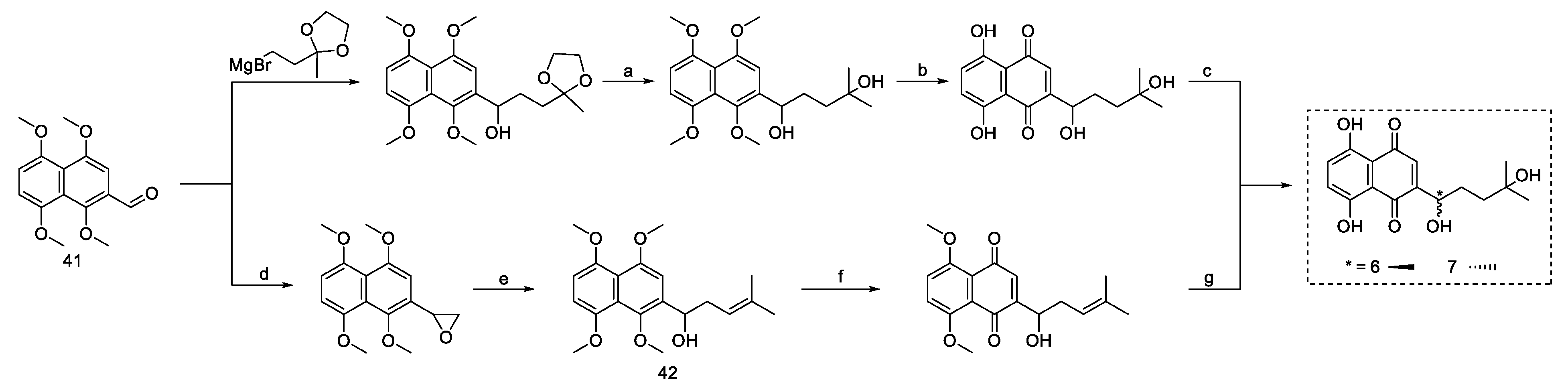
Most synthetic approaches to shikonin rely on 1,4,5,8-tetramethoxynaphthaldehyde as a key starting material. Terada et al. [58] made a pioneering contribution by synthesizing racemic shikonin, commencing with 1,4,5,8-tetramethoxynaphthaldehyde (41) as the initial substrate. The method involves a nucleophilic addition reaction of a glycol-protected Grignard reagent to the aldehyde, followed by subsequent hydrolysis, ketone oxidation, and, ultimately, demethylation in the presence of AgO/AgNO3 to yield racemic shikonin. Subsequently, Moiseenkov et al. [59] employed a similar strategy using 1,4,5,8-tetramethoxynaphthaldehyde (41) as the starting material. This method encompassed epoxidation, followed by ring opening through a reaction with organic lithium reagents, forming 1,4,5,8-tetramethoxy shikonin (42). The final step involved racemic shikonin synthesis through oxidation with ceric ammonium nitrate and demethylation with AgO/AgNO3.
Nicolaou et al. [60] have meticulously documented a sophisticated total synthesis strategy aimed at elucidating the absolute conformation of shikonin (6, Scheme 7) and alkannin (7). The method commences with the strategic utilization of commercially available 2,3-dichloronaphthazarin (43) as the primary starting material. This strategic approach involves the initial protection of the hydroxyl group, concomitant with the simultaneous bromination of the naphthazarin ring, culminating in the formation of intermediate 44. Subsequently, introducing the shikonin side chain at the brominated position yields the aryl ketone intermediate 45. This intermediate is of paramount significance, as it is an exceptionally well-suited substrate for numerous asymmetric reducing agents, rendering it the optimal choice for synthesizing both enantiomers. The reduction step, meticulously orchestrated through utilizing DIP-Cl, a chiral reducing agent, leads to the formation of intermediates 46 (S-configuration) and 47 (R-configuration), respectively. These intermediates are further subjected to oxidation and the subsequent removal of formaldehyde, ultimately revealing the absolute configurations of alkannin and shikonin.
Scheme 7.
The synthetic routes of shikonin and alkannin. Conditions: (a) SnCl2, HCl, BrCH2Cl, K2CO3, DMF, NBS, CHCl3; (b) t-BuLi, THF; (c) (+)-DIP-Cl, THF; (d) (−)-DIP-Cl, THF.
This groundbreaking methodology stands out on several fronts. Firstly, it harnesses naphthazarin’s economic and abundant resources as the primary starting material, contributing to its overall feasibility and accessibility. Secondly, it ingeniously generates an intermediate tailored to synthesize alkannin and shikonin with exceptionally high enantiomeric excess (ee) values with a convenient method to operate in the industry, attesting to its precision and efficiency. Lastly, the protective strategy demonstrates remarkable ingenuity, facilitating a straightforward, one-step deprotection process under mild conditions, underscoring its practicality and elegance.
In parallel, Rubing Wang et al. [61] have undertaken a study of utmost relevance, successfully yielding R and S configuration intermediates through the strategic introduction of S-1-phenylethylamine at the chiral carbon. Subsequent multistep hydrolysis and reduction reactions culminated in the acquisition of shikonin and alkannin with extraordinarily high ee values, underscoring their exemplary craftsmanship and commitment to scientific rigor.
This section introduced several typical naphthoquinone synthesis routes, most of which are multistep protocols. However, the common place among them was the construction of the naphthoquinone moiety. Apparently, the most convenient strategy to synthesize naphthoquinone was the oxidation of the naphthalene, which provides insight into the oxidation reagent. Standard oxidation reagents, including cerium ammonium nitrate (CAN), Ag2O, periodic acid, oxygen, KO2 and H2O2, could oxidize the hydroxyl naphthalene or methoxy naphthalene to naphthoquinone. Currently, the most widely used reagent for oxidation is CAN, which is relatively optimal since the condition is mild and the cost is relatively low.
However, the presence of substituents on the naphthalene ring can lead to regioselectivity challenges during oxidation. As shown in Scheme 8, oxidation may occur at different positions, resulting in the formation of regioisomeric naphthoquinones (for example, 48a and 48b). These regioisomers differ in the position of the quinone groups rather than being enantiomers, as they do not exhibit chirality. Developing a novel oxidation strategy that improves regioselectivity could significantly enhance the efficiency of naphthoquinone synthesis.
Scheme 8.
Oxidation strategy of naphthalene.
3. Biological Activity of 1,4-Naphthoquinone Derivatives
1,4-Naphthoquinone derivatives induce cytotoxicity through mechanisms like redox cycling, arylation, DNA strand breakage, free radical generation, and quinone methylation. These compounds, featuring quinone structures, inhibit specific proteins, resulting in antibacterial, antiviral, and antitumor effects. Agents like adriamycin, mitoxantrone, and compounds like lawsone, β-lapachol, and shikonin primarily inhibit topoisomerase I for antitumor activity [61,62,63].
3.1. Anticancer Activity
DNA topoisomerases control DNA’s topological structure by precisely breaking and rejoining DNA strands. They fall into two major classes: topoisomerase I and topoisomerase II. Mammalian topoisomerase II is a crucial target in clinical tumor therapy.
The tumor suppressor gene p53 responds to a myriad of both intracellular and extracellular cues, such as growth factor deprivation, hypoxia, radiation, chemical deficiencies, and nucleotide synthesis aberrations. Upon activation, p53 predominantly instigates apoptosis through transcriptional regulation, eliminating cells with severely damaged DNA. Alternatively, it can initiate growth arrest, facilitating DNA repair and preventing tumor formation [64,65].
The c-Jun N-terminal kinase (JNK), a member of the mitogen-activated protein kinase family, is pivotal in the signal transduction pathway responsible for conveying extracellular signals into intracellular responses. It is crucial in various physiological processes, including cell growth, differentiation, and apoptosis [66]. JNK can also induce apoptosis in response to different stresses, primarily by altering gene expression and initiating the phosphorylation of specific substrates. Furthermore, JNK activation leads to the phosphorylation of p53 and its stabilization, achieved by disrupting its binding to MDM2. Numerous studies have established that JNK activation is essential for stress-induced mitochondrial cytochrome release and apoptosis through the mitochondrial caspase-9 pathway. Moreover, the phosphorylation of JNK enhances the pro-apoptotic activity of multiple factors [67].
Vitamin K2 serves a critical function by facilitating the carboxylation of primary osteocalcin secreted by osteocytes, thereby promoting the deposition of calcium ions from the bloodstream into bone tissue. It is pivotal in the blood coagulation cascade and bone formation [68]. Recent research by Elikan Mishima et al. [69] has unveiled vitamin K’s potential as a ferroptosis inhibitor, suggesting its application in treating organ injuries, therapy-resistant cancers, Parkinson’s disease, and Alzheimer’s disease. However, due to its limited absorption, substantial and frequent doses of the synthetic MK-4 type of vitamin K2 must meet the average body requirements. Additionally, a recent study has highlighted the substantial anticancer effects of vitamin K2, showing its synergistic potential when combined with various anticancer agents [70]. Furthermore, research into various vitamin K analogs with different substituents is ongoing, contributing to developing new anticancer agents.
Yoo et al. [71] introduced phenylaminophenylthiosulfone compounds, incorporating an acyl group at the 3-position and a benzenethiol group at the 2-position of the naphthoquinone core scaffold, resulting in the synthesis of 48–49 (Figure 2). These compounds underwent rigorous in vitro cytotoxicity assessments using three distinct cell lines: MCF-7, A549, and HeLa. Furthermore, 49 (IC50 = 40 μM) demonstrated robust cytotoxic effects against HeLa, comparable to doxorubicin (IC50 = 30 μM). An in-depth structure-activity relationship analysis underscored the critical role of the 3-position substitution for antitumor selectivity, while the 2-position benzenethiol group substitution significantly enhanced cytotoxic activity.
Figure 2.
Phenylthiosulfone contained 1,4-naphthoquinone derivatives as anticancer agents.
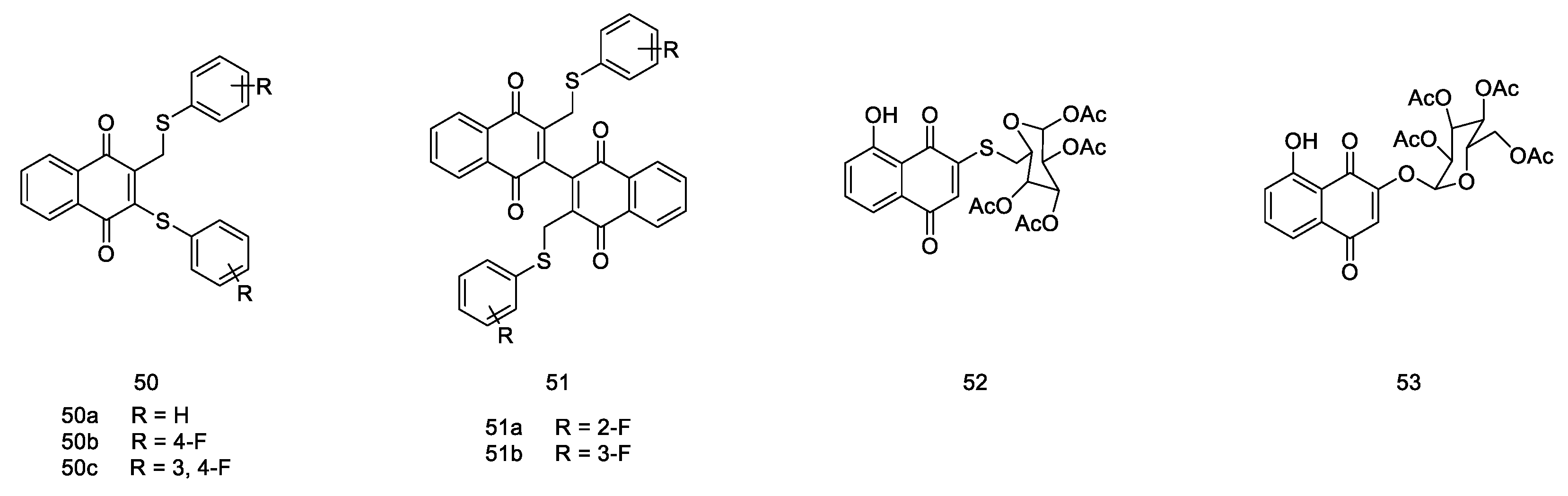
In a pioneering study, Wellington et al. [72] synthesized a novel series of vitamin VK3 analogs, innovatively incorporating sulfur-containing side chains at either the 2- or 3-position of the naphthoquinone moiety. This modification was geared towards enhancing anticancer efficacy. The research team rigorously tested these compounds against a diverse six-cell line panel to evaluate their anticancer activities. The findings were substantial. Compounds 50–51 (Figure 3) exhibited a remarkable inhibitory effect on cancer cells, surpassing the effectiveness of traditional vitamin VK3, as indicated by their lower GI50 values. Crucially, these compounds demonstrated heightened selectivity for cancer cells over normal human cells (specifically WI-38 cells), a significant advancement in targeted cancer therapy. This selectivity reduces potential collateral damage to healthy cells, a critical consideration in chemotherapy. A significant aspect of Wellington et al.’s research was the exploration of structure-activity relationships within these compounds. Introducing a fluorinated phenyl group at the 1,4-naphthoquinone sulfide moieties significantly boosted their anticancer activity.
Figure 3.
Sulfur-containing 1,4-naphthoquinone derivatives as anticancer agents.
Additionally, the study shed light on the potent antitumor properties of the 1,4-naphthoquinone sulfide dimer. In a comparative analysis of compounds 51a and 51b, a critical observation was made: the fluorine atom positioned at the 4-position was instrumental in enhancing the anticancer activities of these compounds. This insight underscores fluorination’s impact in elevating anticancer agents’ efficacy.
Wellington et al.’s research represents a significant stride in anticancer drug development. It exemplifies the potential of structural modifications in drug design and sets a precedent for future research in developing more effective and selective anticancer therapies.
Yu-Pu Juang et al. [73] conceived and synthesized a batch of juglone derivatives as the cell surface PDI (protein disulfide isomerase) inhibitor and evaluated their anticancer activity. The cytotoxicity experiments showed that compound 52 (Figure 3) exhibited distinct activity against several cell lines, including MDA-MB-231 (IC50 = 6.96 ± 0.47 μM), RPMI8226 (IC50 = 0.57 ± 0.01 μM), and EAhy926 (IC50 = 7.27 ± 0.08 μM). Additionally, compound 53 also showed remarkable cytotoxic activity against the tested cell lines, especially RPMI8226 (IC50 = 0.66 ± 0.08).
Gokmen et al., in their significant research study [74], embarked on the synthesis of a series of N-substituted and S,S-substituted naphthoquinone derivatives (55, 56, Figure 4), aiming to explore their potential as cytotoxic agents against various cancer cell lines (A-549, DU145, HCT-116, and MDA-MB-231 cancer cells), representing a diverse set of neoplastic conditions.
Figure 4.
Nitrogen and Sulfur modified 1,4-naphthoquinone derivatives as anticancer agents.
Suresh Awale et al. [75] conceived and synthesized a series of plumbagin derivatives, among which compound 60 showed a distinct anticancer activity against PANC-1 (IC50 = 47.2 μM in DMEM; IC50 = 0.11 μM in NDM). In vivo, the antitumor evaluation indicated that the plumbagin derivative 54 possessed potent inhibition activity against pancreatic tumor growth. With the treatment of compound 54, at the dosage of 50 μg/day and 250 μg/day, the weight of the tumor was suppressed (205.8 and 107.6 mg, respectively), compared with the control group’s 465.4 mg.
The results of their study were notable. Compounds 55a and 56, as illustrated in Figure 4, demonstrated considerable cytotoxic activity across the examined cell lines. These findings are significant, as they suggest a broad-spectrum efficacy of these compounds against different types of cancer cells. In addition, compound 55b exhibited specific inhibitory effects against MDA-MB-231 cells. Furthermore, compound 55c showed a distinct inhibition profile, effectively targeting MDA-MB-231 and DU-145 cells.
Khoshneviszadeh et al. [76] synthesized a novel series of aminonaphthoquinone compounds, distinctively integrating 1,2,3-triazole hybrids at the 2-position of the naphthoquinone ring. The primary aim was to evaluate the cytotoxic activity of these compounds against three human cancer cell lines: MCF-7 (breast cancer), HT-29 (colorectal cancer), and MOLT-4 (acute lymphoblastic leukemia).
Among the synthesized compounds, 56c (Figure 5) emerged as the most effective, demonstrating potent anticancer activity across all three cell lines. This efficacy is quantified by its IC50 values, 10.4 μM for MCF-7, 6.8 μM for HT-29, and 8.4 μM for MOLT-4. These values suggest a notable capacity of compound 56c to inhibit cancer cell proliferation at relatively low concentrations.
Figure 5.
Benzyl clicked 1,4-naphthoquinone derivatives as anticancer agents.
A critical aspect of the study was SAR studies to enlighten the cytotoxicity effects of different compounds. It was observed that the presence of a halogen atom on the benzene ring notably increased the cytotoxic potency of the 1,2,3-triazole hybrids. This was particularly evident when comparing compound 61c with its counterparts 57a, 57b, 57e, and 57d. Such findings underscore the impact of minor structural modifications on the biological activity of these compounds.
In general, this work contributes significantly to the field of anticancer drug design, particularly in highlighting the therapeutic potential of aminonaphthoquinone derivatives. The study demonstrates the capability of these compounds to target various cancer cell lines. It offers valuable insights into the role of structural elements, such as halogenation, in enhancing cytotoxic effects. This work paves the way for future explorations into more effective and targeted cancer therapies.
The study by Kirpotina et al. [77] ventures into the realm of cellular signaling, explicitly targeting the cell division cycle 25 (Cdc25) and Mitogen-Activated Protein Kinase Kinase 7 (MKK7), both intimately linked to tumor development. The authors explored this by introducing a phenylamino side chain at the 2-position of the naphthoquinone ring, resulting in two structurally similar compounds, 58 and 59 (Figure 6). Their investigation further expanded to a series of naphthoquinone compounds (59a–i) with diverse substituent groups, evaluating their anticancer activities against nine tumor cell lines, inhibitory effects on MKK7 and MKK4, as well as Cdc25 A/B, complemented by molecular docking studies.
Figure 6.
Sulfur-modified 1,4-naphthoquinone derivatives as anticancer agents.
In their findings, compounds 59a and 59f–i stood out for their notably low IC50 values, indicating potent cytotoxicity. Among these, compound 59c emerged as a significant inhibitor of MKK7, showcasing an IC50 value as low as 0.23 μM. Compounds 59b, 59c, 59d, and 58a also demonstrated substantial inhibitory potential against both MKK4 and MKK7. In the context of Cdc25A and Cdc25B inhibition, compounds 59a, 59b, 59i, and 58b were particularly notable. The correlation between the inhibition of Cdc25A/B and the anticancer activity was evident, suggesting a potential pathway for therapeutic targeting. Conversely, the study observed no clear correlation between the anticancer activity and inhibition of MKK7.
This detailed investigation by Kirpotina et al. contributes significantly to our understanding of the structure-activity relationships, specifically in cancer-signaling pathways. Their work underscores the potential of naphthoquinone derivatives in targeted cancer therapy, offering insights into the structural determinants of their biological efficacy. The lack of correlation between MKK7 inhibition and anticancer activity also opens new avenues for understanding the complex mechanisms of tumor suppression and developing more effective cancer treatments.
Olawode et al. [78] synthesized a series of naphthoquinone compounds, innovatively substituted with a 2-chloro-3-(thiazol-2-yl) amino group. Their research aimed to explore the compounds’ multifaceted biological activities, including anticancer, antimycobacterial, and antimalarial effects. Notably, 60a (IC50 = 1.8 µM), 60b (IC50 = 2.7 µM), 60c (IC50 = 1.5 µM), and 60d (IC50 = 0.004 µM) demonstrated significant cytotoxicity against SH-SY5Y neuroblastoma cells, as evidenced by their low IC50 values (Figure 7). Derivative 60d reveals a significant cytotoxic activity that can contribute to the electronegative substitution at the phenyl group. However, these compounds exhibited minimal inhibition against HeLa cervical adenocarcinoma cells, indicating selective cytotoxicity towards SH-SY5Y cells. This selectivity is critical, as it suggests potential avenues for targeted neuroblastoma therapy, a vital aspect of personalized medicine in oncology.
Figure 7.
Thiazole 1,4-naphthoquinone derivatives as anticancer agents.
Iryna Ivasechko et al. [79] received inspiration from thiazole and naphthoquinone compounds. They designed a series of naphthoquinone derivatives to determine the anticancer activity in vitro of condensed hybrid 4-thiazolidinone derivatives and their DNA interaction and general toxicity in vivo. Derivative 61 (Figure 7) with furan out of the condensed 4-thiazolidinone moiety showed relatively high antitumor activity, and the highest IC50 value was up to 0.6 μM. Furthermore, they also demonstrated that 59 could increase the percentage of cells in the G2/M phase of the cell cycle and reduce the synthesis of DNA and RNA in tumor cells.
Dyshlovoy and Pelageev et al. [80] approached naphthoquinone synthesis by introducing a 2-chloroethylthio group onto the naphthoquinone moiety. They tested the resulting compounds against advanced prostate cancer cell lines, uncovering that 62, 63, and 64 (Figure 8) exhibited potent inhibitory effects. Derivatives 62 and 64a, in particular, showed remarkable activity and selectivity, with IC50 values ranging from 0.14 μM to 0.77 μM. The study provides valuable insights into the structural determinants of cytotoxicity, indicating that introducing the 2-chloroethylthio group enhances the compounds’ anticancer potential. Moreover, the research demonstrated that 62 and 64b exert their anticancer effects primarily through the induction of DNA damage and cysteinase-dependent apoptosis, offering a novel therapeutic mechanism against prostate cancer.
Figure 8.
2-chloroethylthio substituted 1,4-naphthoquinone derivatives as anticancer agents.
Ferraris et al. [81] explored a unique approach by dimerizing amino alcohol-substituted naphthoquinone compounds. Their investigation focused on the compounds’ anticancer activities against Acute Myeloid Leukemia cell lines, including MOLM-14 and MV4-11. The study highlighted 65a-e presenting a remarkable anticancer activity (Figure 9), along with 65d, 66a, and 66b exhibiting pronounced cytotoxic effects. The findings also revealed that 66a and 66b inhibited Indoleamine 2,3-dioxygenases (IDO), suggesting a mechanism that disrupts cancer cell proliferation, a significant advance in understanding the molecular pathways of these compounds.
Figure 9.
Naphthoquinone dimers as anticancer agents.
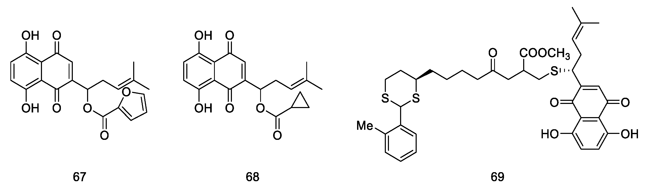
Shikonin is a naturally occurring compound capable of excreting profound antitumor, antitelomerase, and antiangiogenesis effects and is also responsible for DNA topoisomerase I/II inhibition [82,83]. A pair of enantiomers, identified as alkannin and shikonin, were isolated and identified from the roots of two different plants: Alkanna tinctoria (L.) Tausch in Europe and Lithospermum erythrorhizon Sieb. et Zucc. in the Orient, respectively. These compounds demonstrated remarkable antiproliferative properties, making them attractive lead compounds in developing anticancer drugs. Nevertheless, alkannin/shikonin and their synthetic counterparts were not employed in clinical trials as anticancer medications. Their non-specific cytotoxicity in vitro and in vivo posed the biggest challenge. In the literature, it has been demonstrated that reactive oxygen species (ROS) production and bioreductive alkylation are intimately linked to the mechanism of shikonin’s anticancer activity and widespread toxicity. It has been demonstrated that the cytotoxicity caused by ROS and alkylation is non-specific, impacting a wide range of biological macromolecules that include key proteins and nucleic acids in cellular biology, thus not only destroying cancer cells but also impacting healthy cells. Therefore, the structural modification of shikonin derivatives is a highly desirable strategy for medicinal chemists. Yang et al. [84] modified shikonin, a compound known for its antitumor properties, by introducing furoic acid on its hydroxyl group side chain. This modification resulted in a novel derivative 67 (Figure 10) exhibiting enhanced topoisomerase II inhibitory activity and substantial cytotoxicity (ave. IC50 value of 7.75 µM) against a range of cancer cells, including drug-resistant variants. This derivative also showed effectiveness in vivo against several human carcinomas. Complementing this, Durchschein et al. [17] developed new shikonin derivatives, discovering that 68 displayed robust inhibitory activity against melanoma cells (WM164 and MUG-Me12) and induced apoptosis in a caspase-dependent manner without causing cell membrane damage or cell cycle arrest, highlighting a distinct mechanism of action.
Figure 10.
Shikonin derivatives as anticancer agents.
Hongyan Lin et al. designed and synthesized a series of shikonin derivatives to determine their prospects as anticancer agents. They found that 69 (Figure 10) showed remarkable cytotoxic activity against several cell lines, including H1975 (IC50 = 1.51 ± 0.42 μM), H1299 (IC50 = 5.48 ± 1.63 μM), and HCC827 (IC50 = 5.19 ± 1.10 μM).
Kishore et al. [11] focused on 7-methyl juglone derivatives from Euclea natalensis, a plant traditionally used in Africa for cancer treatment. These compounds demonstrated significant toxicity against various human cancer cell lines (MCF-7, HeLa, SNO, and DU145), such as a significantly active 70, with IC50 values of 5.3 µM and 6.8 µM (Figure 11), and 71e, with IC50 values of 10.1 µM and 9.3 µM against HeLa and DU145, respectively (Figure 11). The SAR studies reveal that the hydroxyl groups at the 2- and 5-positions play a crucial role in their cytotoxic effects. The study contributes to understanding naturally derived naphthoquinones and their potential in cancer therapy.
Figure 11.
Lapachol derivatives as anticancer agents.
In recent studies, we synthesized several naphthoquinone oximes, including both shikonin and alkannin oximes [85,86,87,88]. We assessed their antiproliferative properties against certain cancer cell lines and the normal ones. Most of the prepared naphthoquinone oximes were shown to be strong anticancer agents against the tested cancer cell lines based on the results of biological evaluations. The alkannin oxime (DMAKO-05, Figure 12) with an isovaleryl group as the side chain showed highly potent antiproliferative activity against the human leukemia K562 cells and human breast cancer MCF-7 cells (IC50 value of 0.7 μM and 7.5 μM) [86]. Exchange of the aliphatic isobutyl group of DMAKO-05 with an aromatic ring will further potentiate the anticancer activity since 72 (Figure 12) was a five-fold more potent anticancer agent towards MCF-7 cells (IC50 = 1.5 μM), as compared with the lead compound. In addition, all of the produced oximes were identified as a group of selective anticancer agents with an IC50 value greater than 50 μM for the standard HSF cell line. Cui et al. focused on a new kind of shikonin derivative named DMAKO-20 (Figure 12), which possessed a remarkable antitumor activity against several cancer cell lines, including HCT-15 (IC50 = 0.63 ± 0.10 μM), HCT-116 (IC50 = 1.08 ± 0.21 μM), and K562 (IC50 = 0.4 ± 0.1 μM) [87]. Notably, DMAKO-20 was non-toxic to normal human cells (VEC and HSF). In vivo, experiments indicated that the treatment of DMAKO-20 could prominently diminish the tumor volume. Upon the dosage at 10 mg/kg, the average volume of HCT-15 xenografts (305.8 ± 25.8 mm) was much smaller than that of the control group (59.3% reduction) after 14 days’ treatment. The mechanistic studies demonstrated that the quinone derivative DMAKO-20 underwent tumor-specific CYP1B1-catalyzed oxidation to produce active naphthoquinone mono-oximes and nitric oxide, which exhibited synergistic anticancer effects.
Figure 12.
1,4-naphthoquinone oximes as anticancer agents.
Molecular docking is based on the “lock and key principle” of the interaction between ligands and receptors, simulating the interactions between small molecule ligands and biological macromolecule receptors. The interaction between ligand and receptor is a process of molecular recognition, mainly including electrostatic interaction, hydrophobic interaction, hydrogen-bonding interaction, van der Waals interaction, and so on. The binding mode and affinity between the ligand and corresponding receptor could be predicted through calculation, thereby conducting virtual screening of drugs.
To illustrate the binding interaction between quinone oxime DMAKO-20 and CYP1B1, we docked DMAKO-20 into the active site of CYP1B1 (PDB ID: 3PM0). Their binding mode is shown in Figure 13.
Figure 13.
(a). The binding mode between DMAKO-20 and CYP1B1. (b). Localized magnification of the binding mode between DMAKO-20 and CYP1B1. DMAKO-20 in magenta color was shown in sticks. Ser127 (peach red), Asn228 (violet), Phe231 (ochre), Asn265 (pink), Phe268 (blue), and Gln332 (orange) were shown in sticks. Intercellular hydrogen bonds are represented by orange-yellow dashed lines in the molecular visualization.
Figure 13 demonstrates that DMAKO-20 binds tightly to the CYP1B1 enzyme, exhibiting a strong binding affinity with a docking score of −9.7 kJ/mol. The oxygen atom at the 1-position of the oxime structure on the DMAKO-20 naphthalene ring forms a hydrogen bond with Ser127 at a distance of 2.56 Å. Additionally, DMAKO-20 forms multiple hydrogen bonds with key residues in the CYP1B1 binding site, including Asn265 (1.79 Å) through carbonyl hydrogen bonding, Asn228 (2.04 Å), through oxime hydrogen bonding at position 4, and Gln332 (2.63 Å), through methoxy hydrogen bonding at position 5.
The naphthalene ring of DMAKO-20 overlaps significantly with the benzene ring directly below Phe231 and above Phe268, forming π-π stacking interactions that enhance binding affinity. The 6-position of the target molecule is relatively small, allowing the flexible hydrophobic side chain to minimize steric hindrance and interact deeply within the CYP1B1 hydrophobic pocket. This hydrophobic interaction further strengthens the binding affinity of DMAKO-20 to the active site.
Thakore et al. [89] introduced amino and phenyl groups to the lawsone scaffold in their research. Subsequently, they assessed the anticancer activities of these modified compounds against the HepG2 human liver carcinoma cell line. Among the compounds investigated, precisely 73–76 (Figure 14) exhibited significant cytotoxicity against HepG2 cells, with IC50 values falling within the range of 1.68 to 11.01 μM. Notably, an analysis of structure-activity relationships revealed that incorporating octyl and hydroxyphenyl groups into the side chain substantially augmented the antitumor activity of these compounds.
Figure 14.
Lawsone derivatives as anticancer agents.
Interestingly, it was observed that the introduction of heterocyclic groups at the N-position, as seen in 74a, 74b, and 74c, did not contribute significantly to the cytotoxic activity when compared to the nitrophenyl group in these naphthoquinone compounds. Moreover, the presence of hydrocarbon groups at the N-position and aryl groups at the 1-position of the side chain appeared to enhance the compounds’ antitumor efficacy.
In a related study, Araújo et al. [90] synthesized a series of hydrazone compounds derived from lapachol, with naphthoquinone as the core structure. The researchers then conducted an extensive investigation into the anticancer properties of these synthesized compounds across a panel of human cancer cell lines, including human promyelocytic leukemia (HL-60), human colorectal carcinoma (HCT-16), and human prostate adenocarcinoma (PC-3). Among the compounds evaluated, specifically 77b, 78a, and 78b (Figure 15), demonstrated notable cytotoxic activity against the tested cancer cell lines. Notably, 78a and 78b exhibited the highest potency in their anticancer effects.
Figure 15.
Lapachol derivatives as anticancer agents.
In addition to assessing their anticancer potential, the researchers also examined the selectivity of these synthetic compounds by testing them on a non-malignant murine fibroblast cell line (L929). The results of this selectivity evaluation highlighted 78a as the most promising, particularly in its selectivity against HL-60 cells.
The anticancer activity of 1,4-naphthoquinone derivatives is attributed to their ability to induce apoptosis, disrupt redox balance, and inhibit key cellular enzymes. These compounds have shown significant promise across diverse cancer cell lines due to their structural adaptability and selective cytotoxicity.
Juglone derivatives (48–53) act as potent inhibitors of protein disulfide isomerase (PDI), a critical enzyme involved in protein folding within tumor cells. For instance, 63a (Figure 8) demonstrated an IC50 value of 0.57 µM against RPMI8226 cells, showcasing its potential for treating hematological malignancies [80]. SAR studies reveal that hydroxyl and halogen substitutions enhance ROS generation, amplifying pro-apoptotic activity by inducing oxidative stress, which causes DNA and protein damage, ultimately leading to apoptosis.
Similarly, lawsone derivatives (73–76) exhibit potent cytotoxic effects against HepG2 (Figure 14 and MCF-7 cell lines. Sulfur-modified lawsone derivatives, in particular, show IC50 values ranging from 1.68 to 11.01 µM, demonstrating enhanced activity through improved DNA intercalation and ROS modulation [27,68,89]. These findings confirm that halogen substitution increases cellular uptake and binding affinity to tumor enzymes, improving efficacy, while sulfur modification enhances redox properties, contributing to ROS generation and selective cytotoxicity.
Shikonin and its derivatives exhibit notable anticancer activity through mechanisms such as topoisomerase inhibition [61,62,63,82,83], ROS generation [85], and antiangiogenesis. For example, shikonin oximes (DMAKO-20, Figure 12) showed potent activity against HCT-15 and K562 cells, with IC50 values as low as 0.4 µM. Molecular docking studies revealed that DMAKO-20 selectively interacts with CYP1B1, demonstrating strong binding affinity and tumor-specific oxidation, which enhances its anticancer effects [85,86,87,88].
Figure 2, Figure 3, Figure 4, Figure 5, Figure 6, Figure 7, Figure 8, Figure 9, Figure 10, Figure 11, Figure 12, Figure 13, Figure 14 and Figure 15 provide a comprehensive overview of the diverse structures and mechanisms of action of these derivatives. Table 1 complements these data by summarizing IC50 values, structural modifications, and mechanisms of action. For instance, halogenated juglone derivatives were particularly effective against drug-resistant cancers, while sulfur-modified vitamin K3 analogs exhibited enhanced [27,68,89] ROS generation and selective cytotoxicity [71].
Table 1.
Anticancer mechanisms of 1,4-naphthoquinone derivatives.
These findings highlight the versatility and therapeutic potential of 1,4-naphthoquinone derivatives in cancer treatment. Their ability to selectively target cancer cells while minimizing toxicity to normal tissues makes them promising candidates for developing novel anticancer agents targeting drug-resistant malignancies.
3.2. Antimicrobial Activity
Khan and Said et al. [91] conducted an isolation study involving a series of furonaphthoquinone compounds 79 and 80 (Figure 16) extracted from the Amycolatopsis sp. strain to evaluate their antimicrobial properties. Notably, compounds 79 and 80 demonstrated potent and selective antibacterial activity, particularly against Gram-positive bacteria, compared to the positive controls of Ampicillin and Kanamycin. Compounds 79 and 80 exhibited significantly more inhibition against methicillin-resistant Staphylococcus aureus (MRSA), with MIC values ranging from 4 to 16 μg/mL. However, their antimicrobial activity against the other six tested Gram-positive bacterial strains was comparatively less pronounced. Notably, both compounds 79 and 80 showed limited inhibition against Gram-negative bacteria.
Figure 16.
Furo-naphthoquinones as antimicrobial agents.
In a separate study, Nural et al. [92] synthesized a series of compounds 81a–c (Figure 17) by introducing triazole hybrid groups at the 2-position of naphthoquinone. Their research aimed to assess the synthesized compound’s antimicrobial activity against different microbial strains and bacterial strains, such as E. coli, B. cereus, S. aureus, P. aeruginosa, E. hirae, L. pneumophila subsp: pneumophila, and fungal strains, including C. albicans and C. tropicalis.
Figure 17.
1,4-naphthoquinone derivatives with triazole hybrid groups as antimicrobial agents.
Comparatively, when assessed against the positive control ampicillin, compounds 81a–c exhibited moderate inhibition against the tested bacterial strains. Compounds 81a and 81b exhibited potent inhibition against specific microbial strains, with MIC values ranging from 4 to 16 μg/mL. Furthermore, compound 81b demonstrated moderate inhibition against the evaluated fungal strains compared to the positive antifungal drug.
Balachandran et al. [93] isolated a novel naphthoquinone derivative bluemomycin 82 (Figure 18) from the Gram-positive filamentous bacterium Streptomyces sp. Their research focused on evaluating the antimicrobial activity of bluemomycin against various bacterial strains. Notably, bluemomycin displayed remarkable inhibitory effects, particularly against Gram-negative bacteria. This included strains such as M. luteus, E. aerogenes, P. aeruginosa, S. typhimurium, S. flexneri, K. pneumoniae (ESBL-3894), K. pneumoniae (ESBL-75,799), and E. coli (ESBL-3984), with MIC values consistently around 12.5 μg/mL. Additionally, bluemomycin exhibited potent antifungal activity against A. flavus, with an MIC value of 6.25 μg/mL.
Figure 18.
Naphthoquinone derivatives as antimicrobial agents.
Supratman et al. [94] investigated naphthoquinone compounds 83–85 (Figure 18) obtained from F. napiforme. Their investigation highlighted the substantial inhibitory potential of 83–85 against S. aureus NBRC 13,276 and P. aeruginosa ATCC 15442, with MIC values consistently below 12.5 μg/mL. However, these compounds exhibited limited activity against A. clavatus F 318a and C. albicans ATCC 2019. Notably, the introduction of hydroxy substitution at the 6-position of naphthoquinone was observed to enhance their antimicrobial activity.
López-López et al. [95] synthesized naphthoquinone derivatives 86a–e and 87 (Figure 19) enriched with amino acids in their side chains. Their antimicrobial assays revealed that these compounds displayed moderate inhibition against a spectrum of Gram-positive (E. faecalis and S. aureus) and Gram-negative bacteria (E. coli and P. aeruginosa), with MIC values consistently below 25 μg/mL. Of particular interest, 83 exhibited potent inhibition against a clinical isolate of E. coli, showcasing an MIC value of 24.7 μg/mL. Remarkably, this strain demonstrated substantial resistance to several conventional drugs, including cephalosporins.
Figure 19.
Amino acids modified 1,4-naphthoquinone derivatives as antimicrobial agents.
In another study, Song et al. [96] engaged in the synthesis of lawsone derivatives 88a and 88b (Figure 20) and assessed their efficacy against multidrug-resistant strains, including methicillin-resistant S. aureus (MRSA), methicillin-sensitive S. aureus (MSSA), and vancomycin-intermediate S. aureus (VISA). Their findings indicated that 88a and 88b exhibited moderate inhibition against the tested strains. Significantly, 91a demonstrated robust antibacterial activity against MRSA strains, with MIC values ranging from 1.25 to 2.5 μg/mL, a potency comparable to that of positive drugs like vancomycin and daptomycin (MIC = 1 μg/mL) and suppression of other tested strains (MIC value 2.5 μg/mL). Moreover, 88a was noted for generating ROS and chelating intracellular iron, contributing to its antibacterial activity by disrupting bacterial cell membranes upon entering the cytoplasm.
Figure 20.
Lawsone derivatives as antimicrobial agents.
Sabutski et al. [97] synthesized naphthoquinone–sugar tetracyclic conjugates, with 89 and 90a–d (Figure 20) exhibiting potent inhibition (MIC = 6.25 μM) against the S. aureus ATCC 21,027 cell line. Additionally, 90a–c showed moderate antimicrobial activity, highlighting the potential activity enhancement through heterocyclic structures with mercapto–sugars.
Kim et al. [98] conducted a comprehensive investigation into pyrimidinone-fused naphthoquinone derivatives’ synthesis and antibacterial activity, offering valuable insights into their potential as effective agents against drug-resistant oral bacteria strains. Their meticulous study systematically assessed a range of compounds 91a–c and 91e–h (Figure 21), revealing their impressive inhibitory capabilities across a diverse spectrum of bacterial strains, as evidenced by MIC ranging from 1.56 μg/mL to 12.5 μg/mL. This wide-ranging activity underscores the versatility of these compounds. Notably, the study observed moderate yet substantial antibacterial effects exhibited by 91d and 91h against specific bacterial strains. The standout observation was the remarkable inhibition of P. gingivalis by 91d, signifying its potency against this oral bacterial strain. Furthermore, compared to the positive control oxytetracycline, these active compounds consistently demonstrated superior inhibitory properties, extending their effectiveness to critical bacterial strains relevant to oral health, including E. faecalis, S. epidermidis, S. mutans and P. gingivalis. The collective findings presented in this study accentuate the promise of pyrimidinone-fused naphthoquinone derivatives as potential therapeutic agents in the battle against drug-resistant oral bacteria strains, offering compelling prospects for future research and clinical applications in oral health management.
Figure 21.
Pyrimidinone-fused naphthoquinone derivatives as antimicrobial agents.
Gemili et al. [99] ventured into the synthesis of 2-iminothiazole substituted naphthoquinones 92a–c (Figure 22). These compounds exhibited remarkable antibacterial activity against M. tuberculosis H37Rv, with MIC values consistently below 7.81, 3.9 and 1.96 μg/mL, respectively, compared to positive control Isoniazid (MIC value = 0.98 μg/mL) and Ethambutol (MIC value = 1.96 μg/mL).
Figure 22.
2-iminothiazole substituted naphthoquinone compounds as antimicrobial agents.
Erasmus et al. [100] synthesized a series of 2-amino-3-triazol substituted naphthoquinone derivatives 93 and 94a–e (Figure 23). Compounds 93 and 94b displayed moderate antimycobacterial activity against Mtb, while the rest of the compounds demonstrated potent inhibition, as their MIC values were below or equal to 4.1 μM. Notably, the introduction of electro-positive groups enhances the inhibitory activity against Mtb.
Figure 23.
2-amino-3-triazol substituted naphthoquinone compounds as antimicrobial agents.
The antimicrobial activity of 1,4-naphthoquinone derivatives is often contingent upon their capacity to accept one or two electrons, forming anionic or double anionic radicals. The presence of electron-donating or electron-withdrawing substituents in 1,4-naphthoquinone determines the production of anionic radicals and the redox properties of the compounds, including the generation of ROS, such as hydrogen peroxide and superoxide, which can damage cells. Consequently, nitrogen and sulfur atoms in the side chain of naphthoquinone play a pivotal role in enhancing the antimicrobial activity of these compounds [101].
Tandon et al. [102] embarked on synthesizing a series of compounds enriched with nitrogen and sulfur atoms, strategically positioned at the 2- or 3-position of the side chain of 1,4-naphthoquinone and incorporated within the ring structure. Their comprehensive investigation thoroughly assessed these compounds’ antimicrobial potential against various pathogens, spanning C. albicans, C. neoformans, S. schenckii, T. mentagraphytes, C. parapsilosis, and A. fumigatus.
Among the synthesized compounds, 95a (Figure 24) emerged as a standout, demonstrating remarkable inhibitory activity with a minimum inhibitory concentration (MIC) of 12.5 μg/mL against C. albicans. Impressively, this level of inhibition surpassed that of the positive drug Miconazole, which exhibited an MIC of 25 μg/mL against the same pathogen. Furthermore, compound 95a displayed comparable inhibitory efficacy against C. neoformans (MIC = 12.5 μg/mL) and A. fumigatus (MIC = 12.5 μg/mL) when benchmarked against Miconazole.
Figure 24.
Heteroatoms modified 1,4-naphthoquinone derivatives as antimicrobial agents.
The study also unveiled the notable performance of 95b and 95c, both exhibiting comparable inhibitory activity against C. neoformans (MIC = 12.5 μg/mL) and C. albicans (MIC = 25 μg/mL) in comparison to the positive drug Miconazole. Compound 91c exhibited an intriguingly higher inhibitory potential against S. schenckii than the antifungal drug Nystatin, with an MIC value of 13.2 μg/mL.
These compelling findings underscore the promise of these meticulously designed compounds as potent candidates in antimicrobial agents, holding substantial potential for advancing therapeutic approaches against a spectrum of clinically relevant fungal pathogens.
Tandon et al. [103] reported that a series of aromatic, sulfur-containing 1,4-naphthoquinone derivatives were synthesized and assessed for their antibacterial and antifungal activities. Among these compounds, 96b, 97a, and 97b (Figure 25) demonstrated robust antifungal effects and notable antibacterial activity against S. aureus and K. pneumoniae. Intriguingly, compound 96b exhibited exceptional inhibitory potency against S. schenckii (MIC = 1.56 μg/mL), surpassing the performance of clinical antifungal drugs such as Fluconazole, MIC = 2.0 μg/mL, and Miconazole, MIC = 12.5 μg/mL. Furthermore, when compared to the positive drug Amphotericin-B, 96b consistently exhibited significant inhibitory activity against a spectrum of fungal species, including C. albicans MIC = 1.56 μg/mL, C. neoformans MIC = 0.78 μg/mL, T. mentagrophytes MIC = 1.56 μg/mL, and A. fumigatus MIC = 3.12 μg/mL. It is worth noting that compound 96b is currently undergoing further investigation for toxicological evaluation as a potential lead drug candidate.
Figure 25.
Aromatic group modified 1,4-naphthoquinone derivatives as antimicrobial agents.
Additionally, 97b displayed comparable inhibitory activity against C. neoformans MIC = 12.5 μg/mL, aligning closely with the performance of the positive drug Miconazole. Conversely, compound 100a exhibited superior inhibition against C. albicans MIC = 12.5 μg/mL compared to Miconazole MIC = 25 μg/mL, while the activity of compound 100c closely mirrored that of the positive drug.
The antimicrobial activity of 1,4-naphthoquinone derivatives is primarily attributed to their ability to generate ROS and disrupt key biological processes, including enzyme inhibition and biofilm disruption [39,40]. These compounds demonstrate broad-spectrum efficacy against drug-resistant bacterial and fungal pathogens. Their mechanisms of action involve ROS generation, which induces oxidative stress, causing DNA, protein, and membrane damage [74,96,98]. Structural modifications such as electron-donating and electron-withdrawing substituents significantly enhance their potency by modulating electron transfer properties, while sulfur and nitrogen substitutions improve redox potential and enable selective microbial targeting.
Studies have highlighted the structural diversity and biological activity of 1,4-naphthoquinone derivatives. For instance, 79 and 80, isolated from Amycolatopsis sp., exhibit selective antibacterial activity against Gram-positive bacteria, including methicillin-resistant Staphylococcus aureus (MRSA), with MIC values ranging from 4 to 16 µg/mL (Figure 16) [91]. Similarly, triazole-hybrid derivatives 81a–c (Figure 17) demonstrated moderate inhibition against bacterial strains such as E. coli and S. aureus, and fungal strains including Candida albicans, with MIC values between 4 and 16 µg/mL [92]. Notably, the sulfur-modified naphthoquinone bluemomycin (82, Figure 24), isolated from Streptomyces sp., exhibited potent activity against Gram-negative bacteria and fungi, including E. coli and Aspergillus flavus, with MIC values as low as 6.25 µg/mL [93].
In another study, lawsone derivatives 88a and 88b (Figure 20) displayed robust activity against multidrug-resistant strains, including MRSA, MSSA, and VISA [96]. Compounds 88a and 91a exhibited MIC values between 1.25 and 2.5 µg/mL, comparable to clinically used drugs, such as vancomycin and daptomycin [96,98]. These derivatives demonstrated a dual mechanism of action involving ROS generation and intracellular iron chelation, which disrupts bacterial membranes. Additionally, pyrimidinone-fused naphthoquinones (Figure 21) effectively inhibited oral pathogens, such as P. gingivalis and S. mutans, with MIC values ranging from 1.56 to 12.5 µg/mL, showcasing their potential for oral health applications [97].
Compounds enriched with sulfur and nitrogen substitutions have demonstrated significant antifungal activity. For example, compound 95a (Figure 24) exhibited superior inhibitory activity against C. albicans, C. neoformans, and Aspergillus fumigatus, with MIC values consistently around 12.5 µg/mL. Compared to the clinical antifungal drug miconazole, 95a demonstrated higher efficacy against C. albicans. Another notable compound, 96b (Figure 25), showed exceptional potency against S. schenckii (MIC = 1.56 µg/mL) and other fungal pathogens, outperforming conventional drugs such as fluconazole and amphotericin-B [102].
Figure 16, Figure 17, Figure 18, Figure 19, Figure 20, Figure 21, Figure 22, Figure 23, Figure 24 and Figure 25 illustrate the structural diversity and mechanisms of action of these derivatives, emphasizing the role of substituents in determining their efficacy. Table 2 complements these findings by summarizing the MIC values, structural modifications, and mechanisms of action for key compounds. For instance, halogenated juglone derivatives exhibited remarkable activity against drug-resistant bacterial strains, while sulfur-modified lawsone derivatives excelled in antifungal applications.
Table 2.
Antimicrobial activity of juglone and lawsone derivatives against bacterial and fungal pathogens.
These findings underscore the versatility of 1,4-naphthoquinone derivatives as potent antimicrobial agents. Their structural tunability, combined with their ability to selectively target microbial cells, positions them as promising candidates for the development of novel therapies to combat multidrug-resistant pathogens.
3.3. Antiviral Activity
In the realm of medicinal chemistry, Gonzaga, Daniel T. G., et al. [104] made significant strides in antiviral research by synthesizing a series of bis-naphthoquinone compounds, focusing on their activity against the Zika virus. They identified several high-activity 98 and 99a–d (Figure 26). These compounds were found to exhibit potent antiviral properties, with EI50 values at or below 1.38 µM, notably surpassing the efficacy of the standard antiviral agent ribavirin, which has an EI50 value of 2.98 µM.
Figure 26.
Bis-naphthoquinone compounds as antiviral agents.
In a related study, our lab [105] explored the antiviral potential of juglone derivatives against SARS-CoV-2. We discovered that 32 and 100–102 (Figure 27) showed remarkable inhibitory effects on SARS-CoV-2 Mpro. This enzyme is vital for the virus’s replication and transcription within host cells. The tested compounds demonstrated IC50 values ranging from 72.07 to 220.9 nM. Compared to the positive control shikonin, with an IC50 value of 15.75 ± 8.22 µM, 100–102 exhibited more robust activity against SARS-CoV-2 Mpro. Compound 106 notably emerged as the most potent inhibitor, with an IC50 value of 72.07 nM.
Figure 27.
Juglone derivatives as antiviral agents.
Additionally, compound 101 significantly suppressed the proliferation of SARS-CoV-2 Mpro in vitro (EC50 = 4.55 µM). The molecular docking assays revealed that these compounds interact effectively with the enzyme’s active site, primarily through hydrogen bonding with adjacent amino residues. Our study also provided insights into structure-activity relationships, suggesting that the incorporation of an acyl group or benzyl group enhances antiviral efficacy. In contrast, adding a methyl group, methoxy group, or the annulation of the naphthoquinone core with a phenyl group decreases the inhibition activities.
Naphthoquinone derivatives are the subject of considerable interest to the scientific community throughout the globe, particularly concerning their impact on virus replication and immune response modulation [106]. For instance, Sendl et al. [107] isolated two novel 1,4-naphthoquinone-active compounds, Rhinacanthin-C 103 (Figure 28) and Rhinacanthin-D 104 from Rhinacanthus nasutus. These compounds exhibited significant antiviral activity against cytomegalovirus (CMV), with EC50 values of 0.02 μg/mL and 0.22 μg/mL, respectively. Alcides et al. [108] synthesized derivatives 105 and 106 using lapachol (tobacco genus) as a lead compound and found them to be significantly effective against Herpes Simplex Virus-2, with IC50 values of 180 ng/mL and 25 ng/mL, respectively. This highlights the potential for developing a broader antiviral spectrum through chemical modifications and animal models of viral infection studies.
Figure 28.
1,4-naphthoquinone derivatives and lapachol derivatives as antiviral agents.
Additionally, HIV-1 reverse transcriptase inhibitors are of remarkable interest to medicinal chemists, such as the aryl-substituted naphthoquinone compounds synthesized by Ilina et al. [109], which showed potent inhibition against four reverse transcriptase M(215), M(67), and M(67, 70, 215) in HIV-1 recombinant wild-type and mutant forms. Compounds 107, 108a, and 108b (Figure 28 were particularly effective, indicating that 1,4-naphthoquinone derivatives are potent inhibitors of HIV-1 reverse transcriptase. Furthermore, some compounds inhibit azidothymidine-resistant wild-type and mutant reverse transcriptase. This indicates that 1,4-naphthoquinone derivatives may offer an alternative mechanism of action to existing drugs like nevirapine.
A, V.K.T. et al. [110] synthesized 2-substituted-1,4-naphthoquinone derivatives with sulfur atoms in their side chains, demonstrating significant inhibitory activity against influenza-A and HSV-1 viruses with 109 and 110 (Figure 29). Simultaneously, they also synthesized 111 from 1,4-naphthoquinone, showing notable activity against type II poliovirus.
Figure 29.
Sulfur-modified 1,4-naphthoquinone derivatives as antiviral agents.
Behl et al. synthesized a series of 2-aminomethyl-3-hydroxy-1,4-naphthoquinones derivatives. Subsequently, they encapsulated these quinones in liposomes for antiviral testing against HSV-1. The study revealed that these aminomethyl naphthoquinones derivatives, when enclosed within phosphatidylcholine liposomes, effectively inhibited HSV-1 replication. Notably, derivatives featuring a benzyl group (112, Figure 30) and a nitrobenzene moiety (113) demonstrated selective index values over nine times greater than those of acyclovir, used as the positive control. The EC50 values for 112 and 113 were 0.56 ± 0.02 µM and 0.36 ± 0.04 µM, respectively, indicating a potency almost four and nine times higher than acyclovir, which showed an EC50 of 3.16 ± 0.09 µM under identical experimental conditions.
Figure 30.
2-aminomethyl-3-hydroxy-1,4-naphthoquinones derivatives as antiviral agents.
Ngoc et al. conducted a study to evaluate the antiviral efficacy of rhinacanthins C (114), D (115), N (116) (Figure 31), extracted from the roots of Rhinacanthus Nasutus—a medicinal plant of the Acanthaceae family traditionally used in treating herpes virus infections [111]. The in vitro experiments demonstrated that all four compounds inhibited the influenza virus A/PR/8/34 (H1N1). The mean IC50 values were recorded as 0.30 µM for rhinacanthin C (114), 0.95 µM for rhinacanthin D (115), and 1.95 µM for rhinacanthin N (116).
Figure 31.
Rhinacanthins as antiviral agents.
Furthermore, Lisseth Cetina-Montejo and colleagues successfully isolated several novel naphthoquinones from the stem bark of Diospyros anisandra, with a specific focus on zeylanone epoxide (ZEP) (117, Figure 32) for antiviral activity assessment [112]. The team conducted experiments by infecting MDCK cells with strains H1N1, H1N1-H275Y, and H3N2, followed by treatment with ZEP. Virus titers were quantified using a plaque assay. The research revealed mean IC50 values of 0.65 µM for H1N1, 2.77 µM for H1N1-H275Y, and 1.6 µM for H3N2.
Figure 32.
Novel natural 1,4-naphthoquinones products as antiviral agents.
Zima and colleagues focused on the isolation of natural naphthoquinones, specifically lapachol (5), mompain (118), and quambalarine (119) (Figure 33) from the Quambalaria cyanescens fungus [113]. Their investigation into the antiviral properties of these compounds against H1N1 revealed varying levels of efficacy. Lapachol exhibited moderate inhibitory activity with an IC50 value of 19 μM. In contrast, mompain and quambalarine demonstrated significant potency as sub-micromolar inhibitors, with IC50 values of 0.43 μM and 0.29 μM, respectively.
Figure 33.
Natural naphthoquinone compounds as antiviral agents.
Garima and colleagues embarked on a project to synthesize a series of compounds, subsequently testing their efficacy against the neuraminidase (NA) of the H5N1 virus [114]. Among these synthesized compounds, 120a (Figure 34) and compound 120b emerged as the most potent in terms of antiviral activity. Specifically, compound 123a exhibited an IC50 of 29 ± 0.9 μM, while 120b demonstrated an IC50 of 26.5 ± 0.7 μM.
Figure 34.
1,4-Naphthaquinone dimers as antiviral agents.
Xu et al. successfully isolated three anthraquinone analogs from the roots of P. odoratum [115]. Utilizing NMR, MS, and CD techniques, they identified several novel natural naphthoquinones, notably compound 121 (Figure 35). Additionally, compounds emodin (122) and physcion (123, Figure 35) were also detected in the extracts. The team then proceeded to evaluate the antiviral efficacy of these compounds against the influenza A virus (H1N1). Their findings indicated IC50 values of 11.4 μM for compound 121, 11.0 μM for emodin (122), and notably lower at 2.3 μM for physcion (123).
Figure 35.
Natural anthraquinone analogs as antiviral agents.
The antiviral activity of 1,4-naphthoquinone derivatives is rooted in their ability to inhibit viral enzymes, disrupt replication pathways, and modulate immune responses. These compounds have shown significant potential against a wide range of viruses, including SARS-CoV-2 [105], Zika virus [104], cytomegalovirus (CMV) [107], herpes simplex virus (HSV), and influenza strains [110].
Bis-naphthoquinone derivatives (98 and 99) have demonstrated exceptional efficacy against the Zika virus, achieving EI50 values at or below 1.38 µM, significantly surpassing the activity of ribavirin (EI50 = 2.98 µM) (Figure 26) [104]. Their dimeric structure enhances interactions with viral replication proteins, contributing to their potent antiviral effects. Similarly, juglone derivatives, such as 100–103 (Figure 27), exhibit strong inhibition of SARS-CoV-2 main protease (Mpro), a key enzyme for viral replication [106]. Compound 100 demonstrated an IC50 of 72.07 nM, far exceeding the activity of shikonin (IC50 = 15.75 ± 8.22 µM). Molecular docking studies reveal that these compounds form hydrogen bonds at the enzyme’s active site, with structural modifications like acyl and benzyl groups enhancing efficacy [105].
1,4-Naphthoquinone derivatives also show notable activity against DNA and RNA viruses. Rhinacanthin-C and Rhinacanthin-D (Figure 28), isolated from Rhinacanthus nasutus, demonstrated potent effects against CMV and HSV, with EC50 values as low as 0.02 µg/mL and 0.22 µg/mL, respectively [107]. Similarly, lapachol derivatives, such as mompain and quambalarine (Figure 31, exhibited sub-micromolar inhibition of influenza A (H1N1), with IC50 values of 0.43 µM and 0.29 µM, respectively [113]. These findings underscore the importance of structural features, such as sulfur and nitrogen substitutions, which enhance redox activity and membrane penetration.
Further studies have highlighted the versatility of these derivatives against resistant viral strains. Sulfur-modified derivatives, including 109 and 110 (Figure 29), were highly effective against HSV-1 and influenza A, emphasizing the role of sulfur in boosting antiviral efficacy [110]. Additionally, rhinacanthins extracted from Rhinacanthus nasutus showed strong inhibition of influenza A (H1N1), with IC50 values ranging from 0.30 to 1.95 µM (Figure 31) [111]. Structural features such as acyl and benzyl substitutions improved binding affinity, while bulky or electron-donating groups like phenyl or methoxy reduced activity, as shown through SAR analysis.
Figure 26, Figure 27, Figure 28, Figure 29, Figure 30, Figure 31, Figure 32, Figure 33, Figure 34 and Figure 35 illustrates the structural diversity and mechanisms of action of 1,4-naphthoquinone derivatives, while Table 3 summarizes their key activities, IC50 values, and structural modifications. For instance, juglone derivatives targeting SARS-CoV-2 Mpro exhibited IC50 values as low as 72.07 nM, while rhinacanthins and lapachol derivatives showed exceptional potency against influenza A. These findings highlight the potential of 1,4-naphthoquinone derivatives as versatile antiviral agents. Their structural tunability and ability to selectively target viral systems make them promising candidates for combating emerging viral pathogens.
Table 3.
Antiviral activities of 1,4-naphthoquinone derivatives, including IC50 values and structural modifications.
3.4. Miscellaneous
Lien et al. [116] synthesized a series of 2-substituted aliphatic and aromatic 1,4-naphthoquinone derivatives. These derivatives effectively inhibited the formation of neutrophil superoxide anion, demonstrating substantial anti-inflammatory activity. Notably, 124a and 124b (Figure 36) achieved IC50 values of 0.6 μM, exhibiting inhibition intensity 25 times greater than the positive control, trifluoperazine. Additionally, these compounds showed promising antiplatelet agglutination activity. Mass cells release various inflammatory regulatory factors during immune responses, crucial in the passive skin allergic response (PCA). In a related study, Huang et al. [117] synthesized amide-substituted 1,4-naphthoquinone derivatives, assessing their antiallergic activity. 125a–125c significantly inhibited mast cell growth and degranulation at 0.3–1 μg/mL concentrations, thus showing notable antiallergic potential. Other biological activities of 1,4-naphthoquinones, such as antithrombotic, free radical scavenging, and antiradical activities, have been reported [45].
Figure 36.
The chemical structure of 1,4-naphthoquinone derivatives.
4. Conclusions and Further Perspectives
The exploration and structural modification of lead compounds derived from natural products is a cornerstone of new drug development. Among these, natural 1,4-naphthoquinone derivatives have garnered significant attention for their diverse biological activities, including antitumor, antibacterial, antiviral, and anti-inflammatory effects. However, the extensive cytotoxicity of 1,4-naphthoquinones has limited their clinical applications, primarily due to non-specific damage to both cancerous and normal cells.
From a chemical perspective, the anticancer activity and pervasive toxicity of naphthoquinones are closely linked to their ability to ROS and induce bio-reductive alkylation. These processes cause non-specific damage to biological macromolecules, such as nucleic acids and proteins, compromising the selectivity of these compounds. Innovations in structural modification have sought to address these limitations, with particular success seen in shikonin oximes. Derived from the bioactive component of the traditional Chinese medicine Lithospermum erythrorhizon, shikonin oximes function as tumor-specific CYP1-activated prodrugs, significantly enhancing selectivity and reducing cytotoxicity. This prodrug strategy has demonstrated potent anticancer activity both in vivo and in vitro, offering a promising pathway for mitigating the inherent limitations of 1,4-naphthoquinones. Additionally, naphthoquinone derivatives, including alkannin, lawsone, and plumbagin derivatives exhibited remarkable antimicrobial activity, derived from their generation of ROS. Naphthoquinone derivatives also possess antiviral activity both against DNA and RNA viruses, based on numerous mechanisms, including topoisomerase inhibition and DNA intercalation.
Rational structural modifications of the quinone scaffold have focused on introducing substituents, such as halogen, methyl, methoxy, and hydroxyl groups, at strategic positions on the quinone ring or altering the ring itself. These modifications have yielded compounds with enhanced activity; however, they can also exacerbate toxicity. The development of selective, tumor-targeted quinones remains a critical goal, balancing the dual objectives of improving antitumor efficacy and reducing cytotoxicity.
These advances in structural modification highlight the potential of 1,4-naphthoquinones as scaffolds for next-generation anticancer drugs, emphasizing the need for continued innovation to unlock their clinical potential.
Author Contributions
Conceptualization, S.X., S.N.K. and J.C.; software, G.Y.; formal analysis, S.X., Y.L. and S.N.K.; investigation, S.X., Y.L., S.N.K., W.Z. and J.C.; data curation, S.X., Y.L. and S.N.K.; writing—original draft preparation, S.X., Y.L. and W.Z.; writing—review and editing, S.X., S.N.K., G.Y. and J.C.; visualization, G.Y.; supervision, S.N.K. and J.C.; project administration, J.C.; funding acquisition, J.C. All authors have read and agreed to the published version of the manuscript.
Funding
This research was funded by Shanghai Science and Technology Innovation Action Program [23430761000] and the APC was funded by the same program [23430761000].
Conflicts of Interest
The authors declare no conflict of interest.
References
- Bray, F.; Laversanne, M.; Sung, H.; Ferlay, J.; Siegel, R.L.; Soerjomataram, I.; Jemal, A. Global cancer statistics 2022: GLOBOCAN estimates of incidence and mortality worldwide for 36 cancers in 185 countries. CA Cancer J. Clin. 2024, 74, 229–263. [Google Scholar] [CrossRef]
- Grivennikov, S.I.; Greten, F.R.; Karin, M. Immunity, Inflammation, and Cancer. Cell 2010, 140, 883–899. [Google Scholar] [CrossRef] [PubMed]
- Katzung, B.G.; Masters, S.B.; Trevor, A.J. Basic and Clinical Pharmacology, 11th ed.; McGraw-Hill Medical: New York City, NY, USA, 2009; pp. 36–42. [Google Scholar]
- Hauner, K.; Maisch, P.; Retz, M. Side effects of chemotherapy. Der Urologe. Ausg. A 2017, 56, 472–479. [Google Scholar] [CrossRef] [PubMed]
- Mishra, A.P.; Salehi, B.; Sharifi-Rad, M.; Pezzani, R.; Kobarfard, F.; Sharifi-Rad, J.; Nigam, M. Programmed Cell Death, from a Cancer Perspective: An Overview. Mol. Diagn. Ther. 2018, 22, 281–295. [Google Scholar] [CrossRef] [PubMed]
- Wang, Y.; Alenazy, R.; Gu, X.; Polyak, S.W.; Zhang, P.; Sykes, M.J.; Zhang, N.; Venter, H.; Ma, S. Design and structural optimization of novel 2H-benzo[h]chromene derivatives that target AcrB and reverse bacterial multidrug resistance. Eur. J. Med. Chem. 2021, 213, 113049. [Google Scholar] [CrossRef] [PubMed]
- Wahab, S.; Khan, T.; Adil, M.; Khan, A. Mechanistic aspects of plant-based silver nanoparticles against multidrug resistant bacteria. Heliyon 2021, 7, e07448. [Google Scholar] [CrossRef]
- Verma, P.R. Anticancer Activities of 1,4-Naphthoquinones: A QSAR Study. Anticancer Agents Med. Chem. 2006, 6, 489–499. [Google Scholar] [CrossRef] [PubMed]
- Shikov, A.N.; Pozharitskaya, O.N.; Krishtopina, A.S.; Makarov, V.G. Naphthoquinone pigments from sea urchins: Chemistry and pharmacology. Phytochem. Rev. 2018, 17, 509–534. [Google Scholar] [CrossRef]
- Soldi, R.; Horrigan, S.K.; Cholody, M.W.; Padia, J.; Sorna, V.; Bearss, J.; Gilcrease, G.; Bhalla, K.; Verma, A.; Vankayalapati, H.; et al. Design, Synthesis, and Biological Evaluation of a Series of Anthracene-9,10-dione Dioxime β-Catenin Pathway Inhibitors. J. Med. Chem. 2015, 58, 5854–5862. [Google Scholar] [CrossRef]
- Kishore, N.; Binneman, B.; Mahapatra, A.; van de Venter, M.; du Plessis-Stoman, D.; Boukes, G.; Houghton, P.; Marion Meyer, J.J.; Lall, N. Cytotoxicity of synthesized 1,4-naphthoquinone analogues on selected human cancer cell lines. Bioorganic Med. Chem. 2014, 22, 5013–5019. [Google Scholar] [CrossRef]
- Song, G.-Y.; Kim, Y.; You, Y.-J.; Cho, H.; Kim, S.-H.; Sok, D.-E.; Ahn, B.-Z. Naphthazarin Derivatives (VI): Synthesis, Inhibitory Effect on DNA Topoisomerase-I and Antiproliferative Activity of 2- or 6-(1-Oxyiminoalkyl)-5,8-dimethoxy-1,4-naphthoquinones. Arch. Der Pharm. 2000, 333, 87–92. [Google Scholar] [CrossRef]
- Durchschein, C.; Hufner, A.; Rinner, B.; Stallinger, A.; Deutsch, A.; Lohberger, B.; Bauer, R.; Kretschmer, N. Synthesis of Novel Shikonin Derivatives and Pharmacological Effects of Cyclopropylacetylshikonin on Melanoma Cells. Molecules 2018, 23, 2820. [Google Scholar] [CrossRef] [PubMed]
- Papageorgiou, V.P.; Assimopoulou, A.N.; Samanidou, V.F.; Papadoyannis, I.N. Recent Advances in Chemistry, Biology and Biotechnology of Alkannins and Shikonins. Curr. Org. Chem. 2006, 10, 2123–2142. [Google Scholar] [CrossRef]
- Tandon, V.K.; Kumar, S. Recent development on naphthoquinone derivatives and their therapeutic applications as anticancer agents. Expert Opin. Ther. Pat. 2013, 23, 1087–1108. [Google Scholar] [CrossRef]
- Wang, S.-H.; Lo, C.-Y.; Gwo, Z.-H.; Lin, H.-J.; Chen, L.-G.; Kuo, C.-D.; Wu, J.-Y. Synthesis and biological evaluation of lipophilic 1,4-naphthoquinone derivatives against human cancer cell lines. Molecules 2015, 20, 11994–12015. [Google Scholar] [CrossRef] [PubMed]
- Pingaew, R.; Prachayasittikul, V.; Worachartcheewan, A.; Nantasenamat, C.; Prachayasittikul, S.; Ruchirawat, S.; Prachayasittikul, V. Novel 1,4-naphthoquinone-based sulfonamides: Synthesis, QSAR, anticancer and antimalarial studies. Eur. J. Med. Chem. 2015, 103, 446–459. [Google Scholar] [CrossRef] [PubMed]
- Gröber, U.; Reichrath, J.; Holick, M.F.; Kisters, K. Vitamin K: An old vitamin in a new perspective. Dermatoendocrinol 2014, 6, e968490. [Google Scholar] [CrossRef]
- Munns, T.W.; Johnston, M.F.; Liszewski, M.K.; Olson, R.E. Vitamin K-dependent synthesis and modification of precursor prothrombin in cultured H-35 hepatoma cells. Proc. Natl. Acad. Sci. USA 1976, 73, 2803–2807. [Google Scholar] [CrossRef] [PubMed]
- Vermeer, C.; Schurgers, L.J. A comprehensive review of vitamin K and vitamin K analogues. Hematol. Oncol. Clin. N. Am. 2000, 14, 339–353. [Google Scholar] [CrossRef]
- Ansell, J.; Hirsh, J.; Poller, L.; Bussey, H.; Jacobson, A.; Hylek, E. The Pharmacology and Management of the Vitamin K Antagonists. Chest 2004, 126, 204S–233S. [Google Scholar] [CrossRef] [PubMed]
- Fieser, L.F.; Tishler, M.; Wendler, N.L. Extensions of the vitamin K1 synthesis. J. Am. Chem. Soc. 1940, 62, 2861–2866. [Google Scholar] [CrossRef]
- Pucaj, K.; Rasmussen, H.; Møller, M.; Preston, T. Safety and toxicological evaluation of a synthetic vitamin K2, menaquinone-7. Toxicol. Mech. Methods 2011, 21, 520–532. [Google Scholar] [CrossRef]
- MacCorquodale, D.W.; Cheney, L.C.; Binkley, S.B.; Holcomb, W.F.; McKee, R.W.; Thayer, S.A.; Doisy, E.A. The constitution and synthesis of vitamin K1. J. Biol. Chem. 1939, 131, 357–370. [Google Scholar] [CrossRef]
- Panchabhai, P.; Kaliaperumal, N.; Mannathusamy, G.; Chinnadurai, A. An Improved and Plant Viable Synthesis of Vitamin K1. J. Pharm. Res. Int. 2021, 33, 538–547. [Google Scholar] [CrossRef]
- Almquist, H.J.; Klose, A.A. Synthetic and natural antihemorrhagic compounds. J. Am. Chem. Soc. 1939, 61, 2557–2558. [Google Scholar] [CrossRef]
- Fieser, L.F.; Campbell, W.P.; Fry, E.M.; Gates, M.D. Synthetic approach to vitamin K1. J. Am. Chem. Soc. 1939, 61, 2559. [Google Scholar] [CrossRef]
- Fieser, L.F. The Synthesis of Vitamin K1. Science 1940, 91, 31–36. [Google Scholar] [CrossRef] [PubMed]
- Bertrand, L.; Chenard, M.J.; Manning, P.; Raynolds, J.W. Organocopper chemistry of quinone bisketals. Application to the synthesis of isoprenoid quinone systems. J. Org. Chem. 1980, 45, 378–384. [Google Scholar]
- Lipshutz, B.H.; Kim, S.-K.; Mollard, P.; Stevens, K.L. An expeditious route to CoQn, vitamins K1 and K2, and related allylated para-quinones utilizing Ni(0) catalysis. Tetrahedron 1998, 54, 1241–1253. [Google Scholar] [CrossRef]
- Snyder, C.D.; Rapoport, H. Synthesis of menaquinones. J. Am. Chem. Soc. 1974, 96, 8046–8054. [Google Scholar] [CrossRef]
- Garcias, X.; Ballester, P.; Capo, M.; Saa, J.M. Dela-stereocontrolled entry to (E)-prenyl or (Z)-prenyl aromatics and questions -sythesis of menaquinone-4. J. Org. Chem. 1994, 59, 5093–5096. [Google Scholar] [CrossRef]
- Krajewski, K.; Kutner, A.; Dzikowska, J.; Gutowska, R.; Napiórkowski, M.; Winiarski, J.; Kubiszewski, M.; Jedynak, L.; Morzycki, J.; Witkowski, S. Process for preparation of NK-7 type of vitamin K2. 2015. WO 2010035000.
- Strugstad, M.P.; Despotovski, S. A summary of extraction, properties, and potential uses of juglone: A literature review. J. Ecosyst. Manag. 2012, 13, 72–86. [Google Scholar] [CrossRef]
- Inbaraj, J.J.; Chignell, C.F. Cytotoxic Action of Juglone and Plumbagin: A Mechanistic Study Using HaCaT Keratinocytes. Chem. Res. Toxicol. 2004, 17, 55. [Google Scholar] [CrossRef] [PubMed]
- Cui, J.-h.; Cui, Q.; Zhang, Q.-j.; Li, S.-s. An Efficient Multigram Synthesis of Juglone Methyl Ether. J. Chem. Res. 2015, 39, 553–554. [Google Scholar] [CrossRef]
- Khalafy, J.; Bruce, J.M. Oxidative dehydrogenation of 1-tetralones: Synthesis of juglone, naphthazarin, and α-hydroxyanthraquinones. J. Sci. Islam. Repub. Iran 2002, 13, 131–139. [Google Scholar]
- Singh, H.; Folk, T.L.; Scheuer, P.J. Synthesis of juglone derivatives: Hydroxy, acetyl and ethyl substituents. Tetrahedron 1969, 25, 5301–5310. [Google Scholar] [CrossRef]
- Mamchur, A.V.; Gorbas, L.F.; Galstyan, G.A. Use of Ozone in Synthesis of 5-Hydroxy-1,4-naphthoquinone. Russ. J. Appl. Chem. 2001, 74, 1405–1407. [Google Scholar] [CrossRef]
- Zhang, M.a.X.L. One-pot Synthesis of pecan quinone from acetic anhydride, H2O2 and 1,5-dihydroxynaphthol. Chin. J. Appl. Chem. 2007, 24, 3. [Google Scholar]
- Barret, R.; Daudon, M. An Efficient Synthesis of Juglone. Synth. Commun. 1990, 20, 2907–2912. [Google Scholar] [CrossRef]
- Oelgemöller, M.; Healy, N.; de Oliveira, L.; Jung, C.; Mattay, J. Green photochemistry: Solar-chemical synthesis of Juglone with medium concentrated sunlight. Green Chem. 2006, 8, 831–834. [Google Scholar] [CrossRef]
- Hashemi, M.; Akhbari, M. Efficient Solvent-Free Oxidation of Phenols to p-Quinones with Iodic Acid on the Surface of K10 Montmorillonite. Russ. J. Org. Chem. 2005, 41, 935–936. [Google Scholar] [CrossRef]
- Li, H.; Liu, R.; Ji, Y.; Wang, Y. A new method for the synthesis of juglone. J. Chem. Pharm. Res. 2014, 6, 72–76. [Google Scholar]
- Dweck, A.C. Natural ingredients for colouring and styling. Int. J. Cosmet. Sci. 2002, 24, 287–302. [Google Scholar] [CrossRef] [PubMed]
- Hamama, W.S.; Hassanien, A.E.-D.E.; Zoorob, H.H. Advanced Routes in Synthesis and Reactions of Lawsone Molecules (2-Hydroxynaphthalene-1,4-dione). J. Heterocycl. Chem. 2017, 54, 2155–2196. [Google Scholar] [CrossRef]
- Anaissi-Afonso, L.; Oramas-Royo, S.; Ayra-Plasencia, J.; Martín-Rodríguez, P.; García-Luis, J.; Lorenzo-Castrillejo, I.; Fernández-Pérez, L.; Estévez-Braun, A.; Machín, F. Lawsone, Juglone, and β-Lapachone Derivatives with Enhanced Mitochondrial-Based Toxicity. ACS Chem. Biol. 2018, 13, 1950–1957. [Google Scholar] [CrossRef]
- Fieser, L.F.; Berliner, E. Naphthoquinone antimalarials; general survey. J. Am. Chem. Soc. 1948, 70, 3151–3155. [Google Scholar] [CrossRef]
- Inoue, K.; Ueda, S.; Nayeshiro, H.; Moritome, N.; Inouye, H. Biosynthesis of naphthoqinones and anthraquinones in streptocarpus dunnii cell cultures. Phytochem. 1984, 23, 312–318. [Google Scholar] [CrossRef]
- Lissel, M. Über die reaktion von α- und β -tetralon mit kaliumsuperoxid. Tetrahedron Lett. 1984, 25, 2213–2214. [Google Scholar] [CrossRef]
- De Min, M.; Croux, S.; Tournaire, C.; Hocquaux, M.; Jackquet, B.; Oliveros, E.; Maurette, M.-T. Réactivité du superoxyde de Potassium en phase hétérogéne: Oxydation de naphtalénedios en naphtoquinones hydroxylées. Tetrahedron 1992, 48, 1869–1882. [Google Scholar] [CrossRef]
- Yan, Y.; Kang, E.-H.; Yang, K.-E.; Tong, S.-L.; Fang, C.-G.; Liu, S.-J.; Xiao, F.-S. High activity in selective catalytic oxidation of naphthol to 2-hydroxy-1,4-naphthoquinone by molecular oxygen under air pressure over recycled iron porphyrin catalysts. Catal. Commun. 2004, 5, 387–390. [Google Scholar] [CrossRef]
- Barange, D.K.; Kavala, V.; Raju, B.R.; Kuo, C.-W.; Tseng, C.; Tu, Y.-C.; Yao, C.-F. Facile and highly efficient method for the C-alkylation of 2-hydroxy-1,4-naphthoquinone to nitroalkenes under catalyst-free ‘on water’ conditions. Tetrahedron Lett. 2009, 50, 5116–5119. [Google Scholar] [CrossRef]
- Laatsch, H. Dimere Naphthochinone, VIII. Synthese 3,3′-dihydroxylierter 2,2′-Bi-1,4-naphthochinone. Liebigs Ann. Der Chem. 1983, 1983, 1886–1900. [Google Scholar] [CrossRef]
- Papageorgiou, V.; Assimopoulou, A.; Ballis, A. Alkannins and Shikonins: A New Class of Wound Healing Agents. Curr. Med. Chem. 2008, 15, 3248–3267. [Google Scholar] [CrossRef] [PubMed]
- Papageorgiou, V.P.; Assimopoulou, A.N.; Couladouros, E.A.; Hepworth, D.; Nicolaou, K.C. The Chemistry and Biology of Alkannin, Shikonin, and Related Naphthazarin Natural Products. Angew. Chem. Int. Ed. 1999, 38, 270–301. [Google Scholar] [CrossRef]
- Gong, K.; Li, W. Shikonin, a Chinese plant-derived naphthoquinone, induces apoptosis in hepatocellular carcinoma cells through reactive oxygen species: A potential new treatment for hepatocellular carcinoma. Free Radic. Biol. Med. 2011, 51, 2259–2271. [Google Scholar] [CrossRef] [PubMed]
- Terada, A.; Tanoue, Y.; Hatada, A.; Sakamoto, H. Synthesis of shikalkin (±shikonin) and related compounds. Bull. Chem. Soc. Jpn. 1987, 60, 205–213. [Google Scholar] [CrossRef]
- Moiseenkov, A.M.; Balaneva, N.N.; Novikov, V.L.; Eliakov, G.B. Total synthesis of shikalkin. Proc. USSR Acad. Sci. 1987, 295, 614–617. [Google Scholar]
- Nicolaou, K.C.; Hepworth, D. Concise and Efficient Total Syntheses of Alkannin and Shikonin. Angew. Chem. Int. Ed. 1998, 37, 839–841. [Google Scholar] [CrossRef]
- Wang, R.; Zhou, S.; Jiang, H.; Zheng, X.; Zhou, W.; Li, S. An Efficient Multigram Synthesis of Alkannin and Shikonin. Eur. J. Org. Chem. 2012, 2012, 1373–1379. [Google Scholar] [CrossRef]
- D’Arpa, P.; Liu, L.F. Topoisomerase-targeting antitumor drugs. Biochim. Biophys. Acta (BBA)-Rev. Cancer 1989, 989, 163–177. [Google Scholar] [CrossRef]
- Prachayasittikul, V.; Pingaew, R.; Worachartcheewan, A.; Nantasenamat, C.; Prachayasittikul, S.; Ruchirawat, S.; Prachayasittikul, V. Synthesis, anticancer activity and QSAR study of 1,4-naphthoquinone derivatives. Eur. J. Med. Chem. 2014, 84, 247–263. [Google Scholar] [CrossRef] [PubMed]
- Harris, S.L.; Levine, A.J. The p53 pathway: Positive and negative feedback loops. Oncogene 2005, 24, 2899–2908. [Google Scholar] [CrossRef]
- Tang, J.C.; Zhao, J.; Long, F.; Chen, J.Y.; Mu, B.; Jiang, Z.; Ren, Y.; Yang, J. Efficacy of Shikonin against Esophageal Cancer Cells and its possible mechanisms in vitro and in vivo. J. Cancer 2018, 9, 32–40. [Google Scholar] [CrossRef] [PubMed]
- Sanclemente, M.; Francoz, S.; Esteban-Burgos, L.; Bousquet-Mur, E.; Djurec, M.; Lopez-Casas, P.P.; Hidalgo, M.; Guerra, C.; Drosten, M.; Musteanu, M.; et al. c-RAF Ablation Induces Regression of Advanced Kras/Trp53 Mutant Lung Adenocarcinomas by a Mechanism Independent of MAPK Signaling. Cancer Cell 2018, 33, 217–228. [Google Scholar] [CrossRef]
- Hsu, Y.-L.; Cho, C.-Y.; Kuo, P.-L.; Huang, Y.-T.; Lin, C.-C. Plumbagin (5-Hydroxy-2-methyl-1,4-naphthoquinone) Induces Apoptosis and Cell Cycle Arrest in A549 Cells through p53 Accumulation via c-Jun NH2-Terminal Kinase-Mediated Phosphorylation at Serine 15 in Vitro and in Vivo. J. Pharmacol. Exp. Ther. 2006, 318, 484. [Google Scholar] [CrossRef]
- Tabb, M.M.; Sun, A.; Zhou, C.; Grün, F.; Errandi, J.; Romero, K.; Pham, H.; Inoue, S.; Mallick, S.; Lin, M.; et al. Vitamin K2 Regulation of Bone Homeostasis Is Mediated by the Steroid and Xenobiotic Receptor SXR*. J. Biol. Chem. 2003, 278, 43919–43927. [Google Scholar] [CrossRef]
- Mishima, E.; Ito, J.; Wu, Z.; Nakamura, T.; Wahida, A.; Doll, S.; Tonnus, W.; Nepachalovich, P.; Eggenhofer, E.; Aldrovandi, M.; et al. A non-canonical vitamin K cycle is a potent ferroptosis suppressor. Nature 2022, 608, 778–783. [Google Scholar] [CrossRef] [PubMed]
- Jiang, Y.A.Z.R. Research progress of antitumor effect of vitamin K2. Pract. J. Cancer 2015, 1, 156–158. [Google Scholar]
- Ravichandiran, P.; Subramaniyan, S.A.; Kim, S.-Y.; Kim, J.-S.; Park, B.-H.; Shim, K.S.; Yoo, D.J. Synthesis and Anticancer Evaluation of 1,4-Naphthoquinone Derivatives Containing a Phenylaminosulfanyl Moiety. ChemMedChem 2019, 14, 532–544. [Google Scholar] [CrossRef] [PubMed]
- Wellington, K.W.; Hlatshwayo, V.; Kolesnikova, N.I.; Saha, S.T.; Kaur, M.; Motadi, L.R. Anticancer activities of vitamin K3 analogues. Investig. New Drugs 2020, 38, 378–391. [Google Scholar] [CrossRef] [PubMed]
- Juang, Y.-P.; Tsai, J.-Y.; Gu, W.-L.; Hsu, H.-C.; Lin, C.-L.; Wu, C.-C.; Liang, P.-H. Discovery of 5-Hydroxy-1,4-naphthoquinone (Juglone) Derivatives as Dual Effective Agents Targeting Platelet-Cancer Interplay through Protein Disulfide Isomerase Inhibition. J. Med. Chem. 2024, 67, 3626–3642. [Google Scholar] [CrossRef] [PubMed]
- Gokmen, Z.; Onan, M.E.; Deniz, N.G.; Karakas, D.; Ulukaya, E. Synthesis and investigation of cytotoxicity of new N- and S,S-substituted-1,4-naphthoquinone (1,4-NQ) derivatives on selected cancer lines. Synth. Commun. 2019, 49, 3008–3016. [Google Scholar]
- Awale, S.; Baba, H.; Phan, N.D.; Kim, M.J.; Maneenet, J.; Sawaki, K.; Kanda, M.; Okumura, T.; Fujii, T.; Okada, T.; et al. Targeting pancreatic cancer with novel plumbagin derivatives: Design, synthesis, molecular mechanism, in vitro and in vivo evaluation. J. Med. Chem. 2023, 66, 8054–8065. [Google Scholar] [CrossRef] [PubMed]
- Gholampour, M.; Ranjbar, S.; Edraki, N.; Mohabbati, M.; Firuzi, O.; Khoshneviszadeh, M. Click chemistry-assisted synthesis of novel aminonaphthoquinone-1,2,3-triazole hybrids and investigation of their cytotoxicity and cancer cell cycle alterations. Bioorganic Chem. 2019, 88, 102967. [Google Scholar] [CrossRef] [PubMed]
- Schepetkin, I.A.; Karpenko, A.S.; Khlebnikov, A.I.; Shibinska, M.O.; Levandovskiy, I.A.; Kirpotina, L.N.; Danilenko, N.V.; Quinn, M.T. Synthesis, anticancer activity, and molecular modeling of 1,4-naphthoquinones that inhibit MKK7 and Cdc25. Eur. J. Med. Chem. 2019, 183, 111719. [Google Scholar] [CrossRef]
- Olawode, E.O.; Tandlich, R.; Prinsloo, E.; Isaacs, M.; Hoppe, H.; Seldon, R.; Warner, D.F.; Steenkamp, V.; Kaye, P.T. Synthesis and biological evaluation of 2-chloro-3-[(thiazol-2-yl)amino]-1,4-naphthoquinones. Bioorganic Med. Chem. Lett. 2019, 29, 1572–1575. [Google Scholar] [CrossRef]
- Ivasechko, I.; Lozynskyi, A.; Senkiv, J.; Roszczenko, P.; Kozak, Y.; Finiuk, N.; Klyuchivska, O.; Kashchak, N.; Manko, N.; Maslyak, Z.; et al. Molecular design, synthesis and anticancer activity of new thiopyrano [2,3-d]thiazoles based on 5-hydroxy-1,4-naphthoquinone (juglone). Eur. J. Med. Chem. 2023, 252, 115304. [Google Scholar] [CrossRef]
- Dyshlovoy, S.A.; Pelageev, D.N.; Jakob, L.S.; Borisova, K.L.; Hauschild, J.; Busenbender, T.; Kaune, M.; Khmelevskaya, E.A.; Graefen, M.; Bokemeyer, C.; et al. Activity of new synthetic (2-chloroethylthio)-1, 4-naphthoquinones in prostate cancer cells. Pharmaceuticals 2021, 14, 949. [Google Scholar] [CrossRef]
- Ferraris, D.; Lapidus, R.; Truong, P.; Bollino, D.; Carter-Cooper, B.; Lee, M.; Chang, E.; LaRossa-Garcia, M.; Dash, S.; Gartenhaus, R.; et al. Pre-Clinical Activity of Amino-Alcohol Dimeric Naphthoquinones as Potential Therapeutics for Acute Myeloid Leukemia. Anticancer Agents Med. Chem. 2022, 22, 239–253. [Google Scholar] [CrossRef]
- Xie, Y.; Hou, X.; Wu, C. The Research Progress of Cell Apoptosis Induced by Shikonin and Signal Pathway of Apoptosis. Chin. J. Inf. Tradit. Chin. Med. 2017, 12, 125–129. [Google Scholar]
- Zhang, X.; Cui, J.-H.; Meng, Q.-Q.; Li, S.-S.; Zhou, W.; Xiao, S. Advance in Antitumor Mechanisms of Shikonin, Alkannin and their Derivatives. Mini-Rev. Med. Chem. 2018, 18, 164–172. [Google Scholar] [CrossRef] [PubMed]
- Yang, F.; Chen, Y.; Duan, W.; Zhang, C.; Zhu, H.; Ding, J. SH-7, a new synthesized shikonin derivative, exerting its potent antitumor activities as a topoisomerase inhibitor. Int. J. Cancer 2006, 119, 1184–1193. [Google Scholar] [CrossRef] [PubMed]
- Wang, R.; Zhang, X.; Song, H.; Zhou, S.; Li, S. Synthesis and evaluation of novel alkannin and shikonin oxime derivatives as potent antitumor agents. Bioorganic Med. Chem. Lett. 2014, 24, 4304–4307. [Google Scholar] [CrossRef] [PubMed]
- Cui, J.; Zhang, X.; Huang, G.; Zhang, Q.; Dong, J.; Sun, G.; Meng, Q.; Li, S. DMAKO-20 as a New Multitarget Anticancer Prodrug Activated by the Tumor Specific CYP1B1 Enzyme. Mol. Pharm. 2019, 16, 409–421. [Google Scholar] [CrossRef] [PubMed]
- Huang, G.; Zhao, H.-R.; Meng, Q.-Q.; Zhang, Q.-J.; Dong, J.-Y.; Zhu, B.-q.; Li, S.-S. Synthesis and biological evaluation of sulfur-containing shikonin oxime derivatives as potential antineoplastic agents. Eur. J. Med. Chem. 2018, 143, 166–181. [Google Scholar] [CrossRef] [PubMed]
- Huang, G.; Dong, J.-Y.; Zhang, Q.-J.; Meng, Q.-Q.; Zhao, H.-R.; Zhu, B.-Q.; Li, S.-S. Discovery and synthesis of sulfur-containing 6-substituted 5,8-dimethoxy-1,4-naphthoquinone oxime derivatives as new and potential anti-MDR cancer agents. Eur. J. Med. Chem. 2019, 165, 160–171. [Google Scholar] [CrossRef]
- Nariya, P.; Shukla, F.; Vyas, H.; Devkar, R.; Thakore, S. Synthesis and characterization of Mannich bases of lawsone and their anticancer activity. Synth. Commun. 2020, 50, 1724–1735. [Google Scholar] [CrossRef]
- Guimaráes, G.D.; de Assis Gonsalves, A.; Rolim, A.L.; Araújo, C.E.; dos Anjos Santos, L.V.; Silva, F.S.M.; de Cássia Evangelista de Oliveira, F.; da Costa, P.M.; Pessoa, C.; Fonseca Goulart, O.M.; et al. Naphthoquinone-based Hydrazone Hybrids: Synthesis and Potent Activity Against Cancer Cell Lines. Med. Chem. 2021, 17, 945–955. [Google Scholar] [CrossRef]
- Khan, A.; Said, M.S.; Borade, B.R.; Gonnade, R.; Barvkar, V.; Kontham, R.; Dastager, S.G. Enceleamycins A–C, Furo-Naphthoquinones from Amycolatopsis sp. MCC0218: Isolation, Structure Elucidation, and Antimicrobial Activity. J. Nat. Prod. 2022, 85, 1267–1273. [Google Scholar] [CrossRef]
- Nural, Y.; Ozdemir, S.; Doluca, O.; Demir, B.; Yalcin, M.S.; Atabey, H.; Kanat, B.; Erat, S.; Sari, H.; Seferoglu, Z. Synthesis, biological properties, and acid dissociation constant of novel naphthoquinone–triazole hybrids. Bioorganic Chem. 2020, 105, 104441. [Google Scholar] [CrossRef]
- Balachandran, C.; Al-Dhabi, N.A.; Duraipandiyan, V.; Ignacimuthu, S. Bluemomycin, a new naphthoquinone derivative from Streptomyces sp. with antimicrobial and cytotoxic properties. Biotechnol. Lett. 2021, 43, 1005–1018. [Google Scholar] [CrossRef]
- Supratman, U.; Hirai, N.; Sato, S.; Watanabe, K.; Malik, A.; Annas, S.; Harneti, D.; Maharani, R.; Koseki, T.; Shiono, Y. New naphthoquinone derivatives from Fusarium napiforme of a mangrove plant. Nat. Prod. Res. 2021, 35, 1406–1412. [Google Scholar] [CrossRef]
- Oliveira, C.G.T.; Miranda, F.F.; Ferreira, V.F.; Freitas, C.C.; Rabello, R.F.; Carballido, J.M.; Corrêa, L.C.D. Synthesis and antimicrobial evaluation of 3-hydrazino-naphthoquinones as analogs of lapachol. J. Braz. Chem. Soc. 2001, 12, 791–803. [Google Scholar] [CrossRef]
- Song, R.; Yu, B.; Friedrich, D.; Li, J.; Shen, H.; Krautscheid, H.; Huang, S.D.; Kim, M.-H. Naphthoquinone-derivative as a synthetic compound to overcome the antibiotic resistance of methicillin-resistant S. aureus. Commun. Biol. 2020, 3, 529. [Google Scholar] [CrossRef]
- Sabutski, Y.E.; Menchinskaya, E.S.; Shevchenko, L.S.; Chingizova, E.A.; Chingizov, A.R.; Popov, R.S.; Denisenko, V.A.; Mikhailov, V.V.; Aminin, D.L.; Polonik, S.G. Synthesis and Evaluation of Antimicrobial and Cytotoxic Activity of Oxathiine-Fused Quinone-Thioglucoside Conjugates of Substituted 1,4-Naphthoquinones. Molecules 2020, 25, 3577. [Google Scholar] [CrossRef] [PubMed]
- Kim, K.; Kim, D.; Lee, H.; Lee, T.H.; Kim, K.Y.; Kim, H. New Pyrimidinone-Fused 1,4-Naphthoquinone Derivatives Inhibit the Growth of Drug Resistant Oral Bacteria. Biomedicines 2020, 8, 160. [Google Scholar] [CrossRef] [PubMed]
- Gemili, M.; Nural, Y.; Keleş, E.; Aydıner, B.; Seferoğlu, N.; Ülger, M.; Şahin, E.; Erat, S.; Seferoğlu, Z. Novel highly functionalized 1,4-naphthoquinone 2-iminothiazole hybrids: Synthesis, photophysical properties, crystal structure, DFT studies, and anti(myco)bacterial/antifungal activity. J. Mol. Struct. 2019, 1196, 536–546. [Google Scholar] [CrossRef]
- Erasmus, C.; Aucamp, J.; Smit, F.J.; Seldon, R.; Jordaan, A.; Warner, D.F.; N’Da, D.D. Synthesis and comparison of in vitro dual anti-infective activities of novel naphthoquinone hybrids and atovaquone. Bioorganic Chem. 2021, 114, 105118. [Google Scholar] [CrossRef] [PubMed]
- Tandon, V.K.; Maurya, H.K.; Yadav, D.B.; Tripathi, A.; Kumar, M.; Shukla, P.K. Naphtho [2,3-b][1,4]-thiazine-5,10-diones and 3-substituted-1,4-dioxo-1,4-dihydronaphthalen-2-yl-thioalkanoate derivatives: Synthesis and biological evaluation as potential antibacterial and antifungal agents. Bioorganic Med. Chem. Lett. 2006, 16, 5883–5887. [Google Scholar] [CrossRef] [PubMed]
- Tandon, V.K.; Yadav, D.B.; Singh, R.V.; Chaturvedi, A.K.; Shukla, P.K. Synthesis and biological evaluation of novel (l)-α-amino acid methyl ester, heteroalkyl, and aryl substituted 1,4-naphthoquinone derivatives as antifungal and antibacterial agents. Bioorganic Med. Chem. Lett. 2005, 15, 5324–5328. [Google Scholar] [CrossRef] [PubMed]
- Tandon, V.K.; Maurya, H.K.; Mishra, N.N.; Shukla, P.K. Design, Synthesis and biological evaluation of novel nitrogen and sulfur containing hetero-1,4-naphthoquinones as potent antifungal and antibacterial agents. Eur. J. Med. Chem. 2009, 44, 3130–3137. [Google Scholar] [CrossRef]
- Gonzaga, D.T.G.; Gomes, R.S.P.; Marra, R.K.F.; Silva, F.C.d.; Gomes, M.W.L.; Ferreira, D.F.; Santos, R.M.A.; Pinto, A.M.V.; Ratcliffe, N.A.; Cirne-Santos, C.C.; et al. Inhibition of Zika Virus Replication by Synthetic Bis-Naphthoquinones. J. Braz. Chem. Soc. 2019, 30, 1697–1706. [Google Scholar] [CrossRef]
- Cui, J.; Jia, J. Discovery of juglone and its derivatives as potent SARS-CoV-2 main proteinase inhibitors. Eur. J. Med. Chem. 2021, 225, 113789. [Google Scholar] [CrossRef] [PubMed]
- Fu, Z.; Huang, B.; Tang, J.; Liu, S.; Liu, M.; Ye, Y.; Liu, Z.; Xiong, Y.; Zhu, W.; Cao, D. The complex structure of GRL0617 and SARS-CoV-2 PLpro reveals a hot spot for antiviral drug discovery. Nat. Commun. 2021, 12, 488. [Google Scholar] [CrossRef] [PubMed]
- Sendl, A.; Chen, J.L.; Jolad, S.D.; Stoddart, C.; Rozhon, E.; Kernan, M.; Nanakorn, W.; Balick, M. Two new naphthoquinones with antiviral activity from Rhinacanthus nasutus. J. Nat. Prod. 1996, 59, 808–811. [Google Scholar] [CrossRef]
- Silva, A.J.M.D.; Buarque, C.D.; Brito, F.V.; Aurelian, L.; Costa, P.R.R. Synthesis and preliminary pharmacological evaluation of new (+/-) 1,4-naphthoquinones structurally related to lapachol. Bioorganic Med. Chem. 2002, 10, 2731–2738. [Google Scholar] [CrossRef] [PubMed]
- Ilina, T.V.; Semenova, E.A.; Pronyaeva, T.R.; Pokrovskii, A.G.; Tolstikov, G.A. Inhibition of HIV-1 reverse transcriptase by aryl-substituted naphto- and anthraquinones. Dokl. Biochem. Biophys. 2002, 382, 56. [Google Scholar] [CrossRef]
- Tandon, V.K.; Chhor, R.B.; Singh, R.V.; Rai, S.; Yadav, D.B. Design, synthesis and evaluation of novel 1,4-naphthoquinone derivatives as antifungal and anticancer agents. Bioorganic Med. Chem. Lett. 2004, 14, 1079–1083. [Google Scholar] [CrossRef] [PubMed]
- Ngoc, T.M.; Phuong, N.T.T.; Khoi, N.M.; Park, S.J.; Kwak, H.J.; Nhiem, N.X.; Trang, B.T.T.; Tai, B.H.; Song, J.H.; Ko, H.J. A new naphthoquinone analogue and antiviral constituents from the root of Rhinacanthus nasutus. Nat. Prod. Res. 2018, 1, 360–366. [Google Scholar] [CrossRef] [PubMed]
- Cetina-Montejo, L.; Ayora-Talavera, G.; Borges-Argáez, R. Zeylanone epoxide isolated from Diospyros anisandra stem bark inhibits influenza virus in vitro. Arch. Virol. 2019, 164, 1543–1552. [Google Scholar] [CrossRef] [PubMed]
- Zima, V.; Radilová, K.; Koíek, M.; Albiana, C.B.; Machara, A. Unraveling the Anti-Influenza Effect of Flavonoids: Experimental Validation of Luteolin and its Congeners as Potent Influenza Endonuclease Inhibitors. Eur. J. Med. Chem. 2020, 208, 112754. [Google Scholar] [CrossRef] [PubMed]
- Tisseh, Z.N.; Bazgir, A. An efficient, clean synthesis of 3,3′-(arylmethylene)bis(2-hydroxynaphthalene-1,4-dione) derivatives. Dye. Pigment. 2009, 83, 258–261. [Google Scholar] [CrossRef]
- Pang, X.; Zhao, J.Y.; Liu, N.; Chen, M.H.; Ma, B.P. Anthraquinone analogues with inhibitory activities against influenza a virus from Polygonatum odoratum. J. Asian Nat. Prod. Res. 2020, 23, 717–723. [Google Scholar] [CrossRef] [PubMed]
- Lien, J.C.; Huang, L.J.; Teng, C.M.; Wang, J.P.; Kuo, S.C. Synthesis of 2-alkoxy 1,4-naphthoquinone derivatives as antiplatelet, anti-inflammatory, and antiallergic agents. Chem. Pharm. Bull. 2010, 33, 105. [Google Scholar]
- Lien, J.C.; Huang, L.J.; Wang, J.P.; Teng, C.M.; Lee, K.H.; Kuo, S.C. Synthesis and antiplatelet, anti-inflammatory and antiallergic activities of 2,3-disubstituted 1,4-naphthoquinones. Cheminform 1996, 27, 1181–1187. [Google Scholar] [CrossRef]
Disclaimer/Publisher’s Note: The statements, opinions and data contained in all publications are solely those of the individual author(s) and contributor(s) and not of MDPI and/or the editor(s). MDPI and/or the editor(s) disclaim responsibility for any injury to people or property resulting from any ideas, methods, instructions or products referred to in the content. |
© 2025 by the authors. Licensee MDPI, Basel, Switzerland. This article is an open access article distributed under the terms and conditions of the Creative Commons Attribution (CC BY) license (https://creativecommons.org/licenses/by/4.0/).











































