Periodized Aerobic Interval Training Modifies Geometric Indices of Heart Rate Variability in Metabolic Syndrome
Abstract
1. Introduction
2. Materials and Methods
2.1. Study Nature and Casuistry
2.2. Ethics Criteria
2.3. Experimental Approach
2.4. Training Program
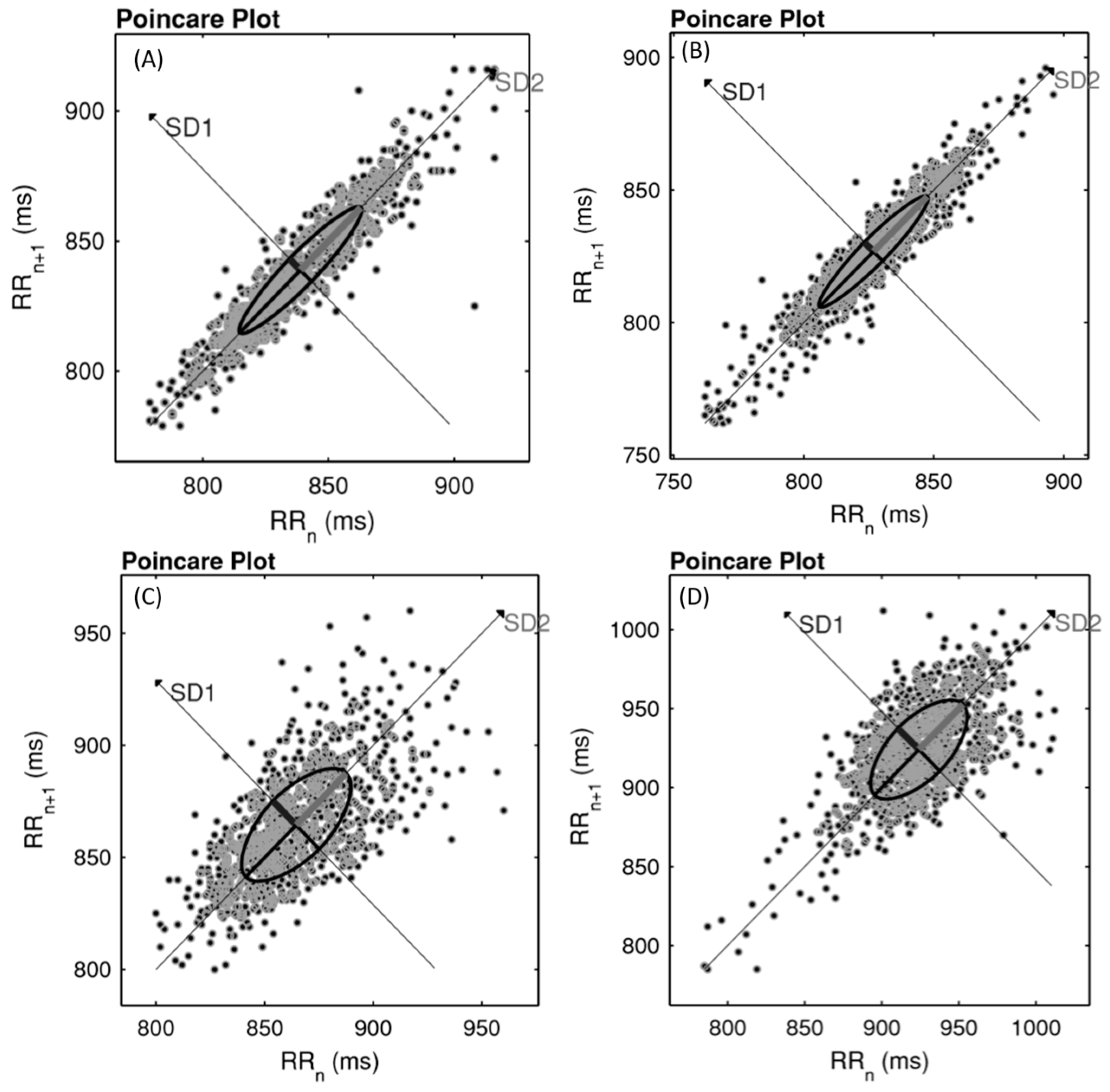
2.5. Heart Rate Variability Evaluation
2.6. MetS Diagnosis
2.7. Data Analysis
3. Results
4. Discussion
5. Conclusions
Author Contributions
Funding
Conflicts of Interest
References
- Task Force of the European Society of Cardiology and the North American Society of Pacing and Electrophysiology members. Heart rate variability: Standards of measurement, physiological interpretation and clinical use. Circulation 1996, 93, 1043–1065. [Google Scholar] [CrossRef]
- Majercak, I. The use of heart rate variability in cardiology. Bratisl. Lek. List 2002, 103, 368–377. [Google Scholar]
- Acharya, U.R.; Joseph, K.P.; Kannathal, N.; Lim, C.M.; Suri, J.S. Heart rate variability: A review. Med. Biol. Eng. Comput. 2006, 44, 1031–1051. [Google Scholar] [CrossRef] [PubMed]
- De Rezende Barbosa, M.P.C.; Júnior, J.N.; Cassemiro, B.M.; de Souza, N.M.; Bernardo, A.F.B.; Silva, A.K.F.; Pastre, C.M.; Vanderlei, L.C.M. Impact of functional training on cardiac autonomic modulation, cardiopulmonary parameters and quality of life in healthy women. Clin. Physiol. Funct. Imaging. 2016, 36, 318–325. [Google Scholar] [CrossRef] [PubMed]
- Khaled, A.S.; Owis, M.I.; Mohamed, A.S.A. Employing time-domain methods and poincaré plot of heart rate variability signals to detect congestive heart failure. BIME J. 2006, 6, 35–41. [Google Scholar]
- Voss, A.; Schroeder, R.; Truebner, S.; Goernig, M.; Figulla, H.R.; Schirdewan, A. Comparison of nonlinear methods symbolic dynamics, detrended fluctuation, and Poincaré plot analysis in risk stratification in patients with dilated cardiomyopathy. Chaos 2007, 17, 015120. [Google Scholar] [CrossRef] [PubMed]
- Gomes, R.L.; Vanderlei, L.C.; Garner, D.M.; Santana, M.D.; Valenti, V.E. Poincaré plot analysis of ultra-short-term heart rate variability during recovery from exercise in physically active men. J. Sports Med. Phys. Fit. 2018, 58, 998–1005. [Google Scholar]
- Novelli, F.I.; de Araújo, J.A.; Tolazzi, G.J.; Tricot, G.K.; Arsa, G.; Cambri, L.T. Reproducibility of Heart Rate Variability Threshold in Untrained Individuals. Int. J. Sports Med. 2019, 40, 95–99. [Google Scholar] [CrossRef]
- Hoshi, R.A.; Pastre, C.M.; Vanderlei, L.C.; Godoy, M.F. Poincaré plot indexes of heart rate variability: Relationships with other nonlinear variables. Auton. Neurosci. 2013, 177, 271–274. [Google Scholar] [CrossRef] [PubMed]
- Godoy, M.; Takakura, I.; Correa, P. Relevance of the analysis of nonlinear dynamic behavior (chaos theory) as a prognostic factor of morbidity and mortality in patients undergoing coronary artery bypass grafting. Arq Ciências Saúde 2005, 12, 167–171. [Google Scholar]
- Alberti, K.G.; Eckel, R.H.; Grundy, S.M.; Zimmet, P.Z.; Cleeman, J.I.; Donato, K.A.; Fruchart, J.C.; James, W.P.; Loria, C.M.; Smith, S.C., Jr. Harmonizing the Metabolic Syndrome: A Joint Interim Statement of the International Diabetes Federation Task Force on Epidemiology and Prevention; National Heart, Lung, and Blood Institute; American Heart Association; World Heart Federation; International Atherosclerosis Society; and Internacional Association for the Study of Obesity. Circulation 2009, 120, 1640–1645. [Google Scholar] [PubMed]
- Kubičková, A.; Kozumplík, J.; Nováková, Z.; Plachý, M.; Jurák, P.; Lipoldová, J. Heart rate variability analysed by Poincaré plot in patients with metabolic syndrome. J. Electrocardiol. 2016, 49, 23–28. [Google Scholar] [CrossRef] [PubMed]
- Tarvainen, M.P.; Niskanen, J.P.; Lipponen, J.A.; Ranta-Aho, P.O.; Karjalainen, P.A. Kubios HRV–heart rate variability analysis software. Comput. Methods Programs Biomed. 2014, 113, 210–220. [Google Scholar] [CrossRef] [PubMed]
- Gunes, Y.; Guntekin, U.; Tuncer, M.; Sahin, M. Os Efeitos da Trimetazidina na Variabilidade da Frequência Cardíaca (VFC) em pacientes com insuficiência cardíaca. Arq. Bras. Cardiol. 2009, 93, 154–158. [Google Scholar] [CrossRef] [PubMed]
- Tukek, T.; Yildiz, P.; Atilgan, D.; Tuzcu, V.; Eren, M.; Erk, O.; Demirel, Ş.; Akkaya, V.; Dilmener, M.; Korkut, F. Effect of diurnal variability of heart rate on development of arrhythmia in patients with chronic obstructive pulmonary disease. Int. J. Cardiol. 2003, 88, 199–206. [Google Scholar] [CrossRef]
- Massaro, S.; Pecchia, L. Heart rate variability (HRV) analysis: A methodology for organizational neuroscience. Organ. Res. Methods 2019, 22, 354–393. [Google Scholar] [CrossRef]
- Rakobowchuk, M.; Harris, E.; Taylor, A.; Cubbon, R.M.; Birch, K.M. Moderate and heavy metabolic stress interval training improve arterial stiffness and heart rate dynamics in humans. Eur. J. Appl. Physiol. 2013, 113, 839–849. [Google Scholar] [CrossRef]
- Tamburus, N.Y.; Paula, R.F.L.; Kunz, V.C.; César, M.C.; Moreno, M.A.; Silva, E.D. Interval training based on ventilatory anaerobic threshold increases cardiac vagal modulation and decreases high-sensitivity c-reative protein: Randomized clinical trial in coronary artery disease. Brazilian J. Phys. Ther. 2015, 19, 441–450. [Google Scholar] [CrossRef] [PubMed][Green Version]
- Ramos, J.S.; Dalleck, L.C.; Borrani, F.; Beetham, K.S.; Mielke, G.I.; Dias, K.A.; Wallen, M.P.; Keating, S.E.; Fassett, R.G.; Coombes, J.S. High-intensity interval training and cardiac autonomic control in individuals with metabolic syndrome: A randomised trial. Int. J. Cardiol. 2017, 245, 245–252. [Google Scholar] [CrossRef]
- Matveyev, L.P. Problem of Periodization the Sport Training; FiS Publisher: Moscow, Russian, 1964. [Google Scholar]
- Issurin, V.B. New horizons for the methodology and physiology of training periodization. Sports Med. 2010, 40, 189–206. [Google Scholar] [CrossRef]
- Mezzani, A.; Hamm, L.F.; Jones, A.M.; McBride, P.E.; Moholdt, T.; Stone, J.A.; Urhausen, A.; Williams, M.A. Aerobic exercise intensity assessment and prescription in cardiac rehabilitation: A joint position statement of the European Association for Cardiovascular Prevention and Rehabilitation, the American Association of Cardiovascular and Pulmonary. Rehabilitat. J. Cardiopulm. Rehabil. Prev. 2013, 20, 327–350. [Google Scholar] [CrossRef]
- Riebe, D.; Thompson, P.D.; Arena, R.; Pescatello, L.S. American College of Sports Medicine. Diretrizes do ACSM para os testes de esforço e sua prescrição, 8th ed.; Guanabara Koogan Publisher: Rio de Janeiro, Brazil, 2010. [Google Scholar]
- Bellini, Á.J.; Passaro, L.C.; Mastrocolla, L.E.; Sbissa, A.S.; de Araujo, C.G.; de Brito, F.S.; Torres, F.C.; Teixeira, F.D.; Fº, J.A.; Guimarães, J.I.; et al. I Consenso Nacional de Reabilitação Cardiovascular. Arq. Bras. Cardiol. 1997, 69, 267–291. [Google Scholar]
- Kiviniemi, A.M.; Hautala, A.J.; Kinnunen, H.; Tulppo, M.P. Endurance training guided individually by daily heart rate variability measurements. Eur. J. Appl. Physiol. 2007, 101, 743–751. [Google Scholar] [CrossRef]
- Catai, A.M.; Pastre, C.M.; Godoy, M.F.; Silva, E.D.; Takahashi, A.C.M.; Vanderlei, L.C.M. Heart rate variability: Are you using it properly? Standardisation checklist of pro cedures. Braz. J. Phys. Ther. 2019, in press. [Google Scholar] [CrossRef]
- Vanderlei, L.C.M.; Pastre, C.M.; Hoshi, R.A.; Carvalho, T.D.; Godoy, M.F. Basic notions of heart rate variability and its clinical applicability. Rev. Bras. Cir. Cardiovasc. 2009, 24, 205–217. [Google Scholar] [CrossRef]
- Godoy-Matos, A.F.; Oliveira, J.; Guedes, E.P.; Carraro, L.; Lopes, A.C.; Mancini, M.C.; Suplicy, H.L.; Brito, C.L.S.; Bystronski, D.P.; Mombach, K.D.; et al. Associação Brasileira para o Estudo da Obesidade e Síndrome Metabólica. Diretrizes Brasileiras de Obesidade, 3rd ed.; ABESO: São Paulo, Brazil, 2009. [Google Scholar]
- Malachias, M.V.; Gomes, M.A.; Nobre, F.; Alessi, A.; Feitosa, A.D.; Coelho, E.B. 7th Brazilian Guideline of Arterial Hypertension: chapter 2-diagnosis and classification. Arq. Bras. Cardiol. 2016, 107, 7–13. [Google Scholar]
- Munk, P.S.; Butt, N.; Larsen, A.I. High-intensity interval exercise training improves heart rate variability in patients following percutaneous coronary intervention for angina pectoris. Int. J. Cardiol. 2010, 145, 312–314. [Google Scholar] [CrossRef]
- Silva, A.P.F.; Guida, H.L.; Santosantônio, A.M.; Vanderlei, L.C.M.; Ferreira, L.L.; de Abreu, L.C.; Sousa, F.H.; Valenti, V.E. Auditory stimulation with music influences the geometric indices of heart rate variability in men. Int. Arch. Med. 2014, 7, 27. [Google Scholar] [CrossRef]
- Karmakar, C.K.; Gubbi, J.; Khandoker, A.H.; Palaniswami, M. Analyzing temporal variability of standard descriptors of Poincaré plots. J. Electrocardiol. 2010, 43, 719–724. [Google Scholar] [CrossRef]
- Townend, J.N.; Al-Ani, M.; West, J.N.; William, A.L.; John, H.C. Modulation of cardiac autonomic control in humans by angiotensin II. Hypertension 1995, 25, 1270–1275. [Google Scholar] [CrossRef]
- Chowdhary, S.; Townend, J.N. Role of nitric oxide in the regulation of cardiovascular autonomic control. Clin. Sci. 1999, 97, 5–17. [Google Scholar] [CrossRef]


| Week (Phase) | Sessions | Sets × Effort Time | Recovery Time Between Sets | Total Time (Effort Time + Recovery Time) | Intensity |
|---|---|---|---|---|---|
| 1st | 1st and 2nd | 5 × 4 min | 1–4 min | 24–32 min | Training: 20–39% of HRR Recovery: 19% of HRR (Light) |
| 2nd | 3rd and 4th | 6 × 4 min | 1–4 min | 29–39 min | |
| 3rd | 5th and 6th | 7 × 4 min | 1–4 min | 34–46 min | |
| 4th | 7th, 8th and 9th | 8 × 4 min | 1–4 min | 39–53 min | |
| 5th | 10th, 11th and 12th | 9 × 4 min | 1–4 min | 44–60 min | |
| 6th | 5th Recovery week | ||||
| (Adaptation) | 13th, 14th and 15th | 9 × 4 min | 1–4 min | 44–60 min | |
| 7th | 16th and 17th | 4 × 2.5 min | 1–4 min | 13–19 min | Training: 40–59% of HRR Recovery: 30% of HRR (Moderate) |
| 8th | 18th and 19th | 5 × 2.5 min | 1–4 min | 16.5–24.5 min | |
| 9th | 20th and 21st | 6 × 2.5 min | 1–4 min | 20–30 min | |
| 10th | 22nd, 23th and 24th | 7 × 2.5 min | 1–4 min | 23.5–41 min | |
| 11th | 25th, 26th and 27th | 7 × 2.5 min | 1–4 min | 23.5–41 min | |
| (Intermediate) | 11th Recovery week | ||||
| 12th | 28th and 29th | 5 × 1.5 min | 1–4 min | 11.5–19.5 min | Training: 60–90% of HRR Recovery: 50% of HRR (High) |
| 13th | 30th and 31th | 6 × 1.5 min | 1–4 min | 14–24 min | |
| 14th | 32nd and 33th | 7 × 1.5 min | 1–4 min | 16.5–28.5 min | |
| 15th | 14th Recovery week | ||||
| 16th | 34th, 35th and 36th | 8 × 1.5 min | 1–4 min | 19–33 min | |
| (Final) | 37th, 38th e 39th | 9 × 1.5 min | 1–4 min | 21.5–37.5 min | |
| AITG (n = 26) | CG (n = 26) | p Value | |
|---|---|---|---|
| Age (years) | 49.96 ± 6.53 (40.00–59.00) | 52.44 ± 6.42 (40.00–60.00) | 0.16 |
| Waist-hip ratio | 0.93 ± 0.05 (0.83–1.04) | 0.91 ± 0.06 (0.72–1.04) | 0.23 |
| AC (cm) | 111.67 ± 10.39 (96.00–133.00) | 107.61 ± 9.96 (94.50–133.00) | 0.15 |
| Weight (kg) | 95.11 ± 16.39 (64.40–127.10) | 83.25 ± 16.89 (56.00–124.7) | 0.01 |
| Height (m) | 1.71 ± 0.09 (1.52–1.91) | 1.63 ± 0.08 (1.47–1.80) | 0.07 |
| BMI (kg/m2) | 32.38 ± 4.28 (23.94–40.56) | 30.75 ± 4.42 (23.92–39.59) | 0.18 |
| MetS components (%) | |||
| BP | 80.76 | 80.76 | 1.00 |
| Blood glucose | 69.23 | 69.23 | 1.00 |
| Triglycerides | 73.07 | 38.46 | 0.08 |
| Low HDL | 57.69 | 46.15 | 0.57 |
| WC increased | 100.00 | 100.00 | 1.00 |
| Class of medicines (%) | |||
| Ca+ channel blocker | 11.53 | 19.23 | 0.70 |
| Antagonist of Angiotensina II | 46.15 | 34.61 | 0.39 |
| Thiazide diuretics | 30.76 | 34.61 | 1.00 |
| Beta blockers | 19.23 | 42.30 | 0.13 |
| ECA inhibitors | 15.38 | 7.69 | 0.66 |
| Insulin | 7.69 | 23.07 | 0.24 |
| Sulfonylurea | 3.84 | 26.92 | 0.05 |
| DPP4inhibitor | 3.84 | 3.84 | 1.00 |
| Metformin | 19.23 | 30.76 | 0.52 |
| Statin | 26.92 | 30.76 | 1.00 |
| Fibrate | 7.69 | 0.00 | 0.49 |
| Thiazolidinedione | 0.00 | 7.69 | 0.49 |
| Antiplatelet agent | 7.69 | 3.84 | 1.00 |
| Others | 34.61 | 23.07 | 0.54 |
| CG | AITG | |||||
|---|---|---|---|---|---|---|
| Variables | Mean (SE) | Mean (SE) | F | P | Eta squared | Effect size |
| RRTRI | −1.25 (0.58) | 1.41 (0.57) | 10.10 | 0.00 | 0.18 | High |
| TINN | −4.05 (17.38) | 25.52 (17.03) | 1.40 | 0.24 | 0.03 | Low |
| SD1 | −0.13 (1.52) | 4.34 (1.49) | 4.20 | 0.04 | 0.08 | Moderate |
| SD2 | −2.14 (3.59) | 11.23 (3.52) | 6.71 | 0.01 | 0.12 | High |
| SD1/SD2 | 0.03 (0.02) | 0.00 (0.02) | 0.66 | 0.41 | 0.01 | Low |
| Mean RR | −14.10 (31.59) | −0.53 (30.94) | 0.08 | 0.76 | 0.00 | Low |
© 2019 by the authors. Licensee MDPI, Basel, Switzerland. This article is an open access article distributed under the terms and conditions of the Creative Commons Attribution (CC BY) license (http://creativecommons.org/licenses/by/4.0/).
Share and Cite
Vanzella, L.M.; Dagostinho, D.B.B.; Figueiredo, M.P.F.d.; Castrillón, C.I.M.; Netto Junior, J.; Vanderlei, L.C.M. Periodized Aerobic Interval Training Modifies Geometric Indices of Heart Rate Variability in Metabolic Syndrome. Medicina 2019, 55, 532. https://doi.org/10.3390/medicina55090532
Vanzella LM, Dagostinho DBB, Figueiredo MPFd, Castrillón CIM, Netto Junior J, Vanderlei LCM. Periodized Aerobic Interval Training Modifies Geometric Indices of Heart Rate Variability in Metabolic Syndrome. Medicina. 2019; 55(9):532. https://doi.org/10.3390/medicina55090532
Chicago/Turabian StyleVanzella, Laís Manata, Denise Brugnoli Balbi Dagostinho, Maria Paula Ferreira de Figueiredo, Carlos Iván Mesa Castrillón, Jayme Netto Junior, and Luiz Carlos Marques Vanderlei. 2019. "Periodized Aerobic Interval Training Modifies Geometric Indices of Heart Rate Variability in Metabolic Syndrome" Medicina 55, no. 9: 532. https://doi.org/10.3390/medicina55090532
APA StyleVanzella, L. M., Dagostinho, D. B. B., Figueiredo, M. P. F. d., Castrillón, C. I. M., Netto Junior, J., & Vanderlei, L. C. M. (2019). Periodized Aerobic Interval Training Modifies Geometric Indices of Heart Rate Variability in Metabolic Syndrome. Medicina, 55(9), 532. https://doi.org/10.3390/medicina55090532

