Abstract
Background and objectives: It has been well established that the resting energy expenditure (REE) for the whole body is the sum of the REE for each organ-tissue in young and middle-aged healthy adults. Based on these previous studies, although it is speculated that sleeping energy expenditure (SEE, which has small inter-individual variability) changes with a commensurate gain or reduction in the resting metabolic rate of each organ-tissue, it is unclear whether a change in organ-tissue masses is directly attributed to the fluctuation of SEE at present. This study aimed to assess the relationship between changes in organ-tissue mass and sleeping energy expenditure (SEE) following weight change in college Sumo wrestlers. This included blood analysis, which is related to energy expenditure. Materials and Methods: A total of 16 healthy male college Sumo wrestlers were recruited in this study. All measurements were obtained before and after weight change. Magnetic resonance imaging measurements were used to determine the volume of the skeletal muscle (SM), liver, and kidneys, and an indirect human calorimeter was used to determine SEE before and after weight change. Results: The change in body mass and SEE ranged between −8.7~9.5 kg, and −602~388 kcal/day. Moreover, changes in SM, liver, and kidneys ranged between −3.3~3.6 kg, −0.90~0.77 kg, and −0.12~0.07 kg. The change in SEE was not significantly correlated with the change in SM or liver mass, nor with blood analyses; however, a significant relationship between the change in kidney mass and SEE was observed. Conclusions: Based on our results, there is a possibility that the mass of the kidneys has an effect on the change in SEE following weight change in college Sumo wrestlers.
1. Introduction
It has been well established that the resting energy expenditure (REE) for the whole body is the sum of the REE for each organ-tissue in young and middle-aged healthy adults [1,2,3]. Moreover, in the case of male college Sumo wrestlers with high REEs (i.e., about 2300 kcal/day), larger absolute amounts of low and high metabolically active tissue, including the skeletal muscle (SM), liver, and kidneys, are responsible for REE [4]. In addition, our previous study demonstrated that aerobic endurance training does not lead to a chronic elevation in each organ-tissue’s resting metabolic rate (kcal/kg/day) in cases with a relatively high O2 peak (i.e., approximately 60 mL/min/kg) [5]. Therefore, since the resting metabolic rate of each organ-tissue might remain unchanged following moderate exercise training, the increase or decrease of organ-tissue mass would be a key factor for changing REE.
According to previous studies, it has been revealed that the mass of internal organs such as the liver and kidneys changed as a result of diet and exercise. A recent study involving diet and exercise weight-loss intervention found decreases in the mass of the SM, liver, and kidneys (approximately 1.0 kg, 0.1 kg, and 0.01 kg, respectively) after a 6.2 kg weight reduction [6]. Moreover, in a longitudinal study of collegiate male American football players, the mass of the liver and kidneys increased by 0.2 kg and 0.04 kg, respectively, after 1 year of overfeeding and physical training [7]. Based on these previous studies, although it is speculated that REE changes with a commensurate gain or reduction in the resting metabolic rate of each organ-tissue (e.g., 200 kcal/kg/day for the liver; 440 kcal/kg/day for kidneys) [8], it is unclear whether changes in internal organs can be directly attributed to the fluctuation of REE at present.
Therefore, we aimed to assess the relationship between the change in organ-tissue mass and sleeping energy expenditure (SEE) following weight change in college Sumo wrestlers. Although Sumo wrestlers are specific subjects, our previous cross-sectional study found that they had higher REE values of the SM, liver, and kidneys than controls [4], and we would expect to observe a larger fluctuation of the SM and internal organs. At present, though it is generally accepted that a change in REE and SEE is mainly induced by a gain or loss in fat-free mass, it is still unclear whether these changes are due to changes in SM mass, internal organs of fat-free mass components, or other parameters. This study included blood analysis, which is related to energy expenditure. Although SEE is generally slightly lower than REE in the lying position, the inter-individual variability in SEE is reported to be small, probably due to the accuracy of an indirect human calorimeter (IHC) for measurements and can be considered “the stable condition” [9]. An understanding of the relationship between body composition and SEE following weight change may yield valuable information about energy requirements.
2. Materials and Methods
2.1. Subjects
A total of 16 healthy male college Sumo wrestlers aged 18–22 years were recruited in this study. All measurements were obtained before and after weight change (mean length of time between measurements: 31 ± 12 months). College Sumo wrestlers had performed regular training (“Kei-ko”) for more than 10 years. Kei-ko normally consists of wrestling exercises and additional technical drills that include a mix of power, agility, and endurance training [10]. None of the subjects had a history of cardiovascular, endocrine, or orthopedic disorders, nor had been taking any medication related to body composition or energy expenditure. All the subjects received a verbal and written description of the study and provided informed consent before testing. The study protocol was approved by the Ethical Committee of Waseda University (project identification code: 2012–113; date of approval: 21 August 2012) and the National Institute of Health and Nutrition (project identification code: 20130201-01; date of approval: 1 February 2013) and was conducted according to the guidelines laid down in the Declaration of Helsinki.
2.2. Anthropometry and Body Composition Measurements Using Dual-Energy X-ray Absorptiometry and Magnetic Resonance Imaging
Total body mass, fat mass, and lean soft tissue mass (LSTM) were measured using DXA (Delphi A-QDR, Hologic Inc., Bedford, MA, USA; Version 12.4:3 Auto Whole Body Fan Beam). The estimated coefficient of variation (CV) was <1%, based on the intra-observer variability for assessing fat mass and LSTM, employing DXA from the test–retest analyses conducted previously. Height was measured on a stadiometer (YS-OA, AS ONE Co. Ltd.) to the nearest 0.1 cm. Body mass index (BMI; kg/m2) was calculated as body mass (kg) using DXA divided by the square of the height (m).
The volume of whole-body SM and the internal organs (liver and kidneys) were estimated using a General Electric Signa EXCITE VI 1.5 Tesla scanner (Milwaukee, WI, USA). A T1-weighted spin-echo, axial-plane sequence was employed, with a 500 ms repetition time and a 13.1 ms echo time, during breath-holding scans and normal breathing scans. Subjects rested quietly in the magnet bore in the supine position with their hands placed on their abdomen. Contiguous transverse images with 1.0 cm slice thicknesses (0 cm interslice gap) were obtained from the top of the head to the malleolus lateralis for each subject. Approximately 5 acquisition sets were performed, extending from the top of the head to the femoral head, as subjects held their breath (approximately 30 s/set). A second set of acquisitions were obtained from the femoral head to the malleolus lateralis during normal breathing [11]. All images (approximately 155 slices per person) were traced by a highly trained technician, including the SM and abdominal organ segments and excluding connective tissue, blood vessels, and fat tissue. Magnetic resonance images were analyzed using ZedView software (LEXI Co., Ltd., Tokyo, Japan) for segmentation and calculation of the cross-sectional tissue areas. Since the large body frame produced artifacts in the arm region, the SM mass for arms from the axillary fossa to the end of the finger was excluded from the analysis.
The volume of the SM, liver, and kidneys was calculated from the sum of the cross-sectional area (cm2), determined by tracing the images and then multiplying the value by the slice thickness (1 cm). The volumes (cm3) were converted to masses (kg) using the following densities: 1.041 g/cm3 for the SM [12], 1.060 g/cm3 for liver, and 1.050 g/cm3 for kidneys [13]. The estimated CV for SM volume measurements from a test–retest analysis was 2% [11]. The percentage of difference in measurements for the same scan on 2 separate days by the same technician was 0.3% for the liver and 0.5% for the kidneys (n = 5). Anthropometry and body composition were obtained during a single-study visit to Waseda University.
2.3. Blood Collection and Analysis
Blood samples were collected in tubes containing thrombin for analyzing the levels of thyroid-stimulating hormone (TSH), total and free T3, and total and free T4, as well as into tubes containing ethylenediaminetetraacetic acid disodium salt (EDTA-2Na) for analyzing the levels of plasma epinephrine and norepinephrine. The blood samples in both tubes were centrifuged (3000 rpm for 10 min) after collection, and the serum and plasma were transferred into plastic tubes. Serum and plasma samples were immediately stored at < −30 °C for further analysis. The concentrations of serum TSH and total and free T3 and T4 were measured using an electrochemiluminescence immunoassay (accuracies are <18% for TSH, <15% for total T3 and T4, and <20% for free T3 and T4, and CVs for all assays are <10%). Plasma epinephrine and norepinephrine concentrations were measured using high-performance liquid chromatography. Blood samples were analyzed by SRL, Inc. (Tokyo, Japan).
2.4. Sleeping Energy Expenditure (SEE) Measurements Using Indirect Human Calorimeter (IHC)
The subjects entered the IHC chamber at 18:00 on the study day, had dinner at 18:30, went to bed at 22:00 after sedentary activities, and slept until 06:00 the following morning [9]. Each subject was provided with a standardized dinner (1283 kcal, Protein: Fat: Carbohydrate balance = 15.4:23.4:61.1) to meet their energy expenditure (EE) during their stay in the chamber. None of the subjects performed any exercise during the 48 h prior to testing. Details of the IHC method have previously been published [14,15,16]. The values of O2 and CO2 were recorded under conditions of standard temperature and pressure and dry conditions. Energy expenditure was estimated from O2 and CO2 using Weir’s equation [17]. The accuracy and precision of the IHC for measuring EE, as determined by the alcohol combustion test, was 99.8% ± 0.5% (mean ± standard deviation (SD)) in 6 h and 99.4% ± 3.1% in 30 min. SEE was defined as the minimum EE recorded over 3 h of sleep between 23:00 and 07:00.
2.5. Statistical Analysis
Results are expressed as mean ± SD for all variables. The difference in subject characteristics, organ-tissue mass, and blood analyses between before-and-after weight change were analyzed using a paired t-test. Spearman rank correlation analyses were used to describe the relationships between changes in SEE and MRI-measured SM mass and internal organs, and blood analyses. Stepwise multiple regression analysis was also performed to analyze change in SEE and these factors. Statistical analyses were performed using SPSS for Windows (IBM SPSS version 25.0; SPSS Inc., Chicago, IL, USA). A p-value of <0.05 was considered to be statistically significant.
3. Results
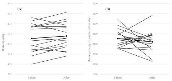
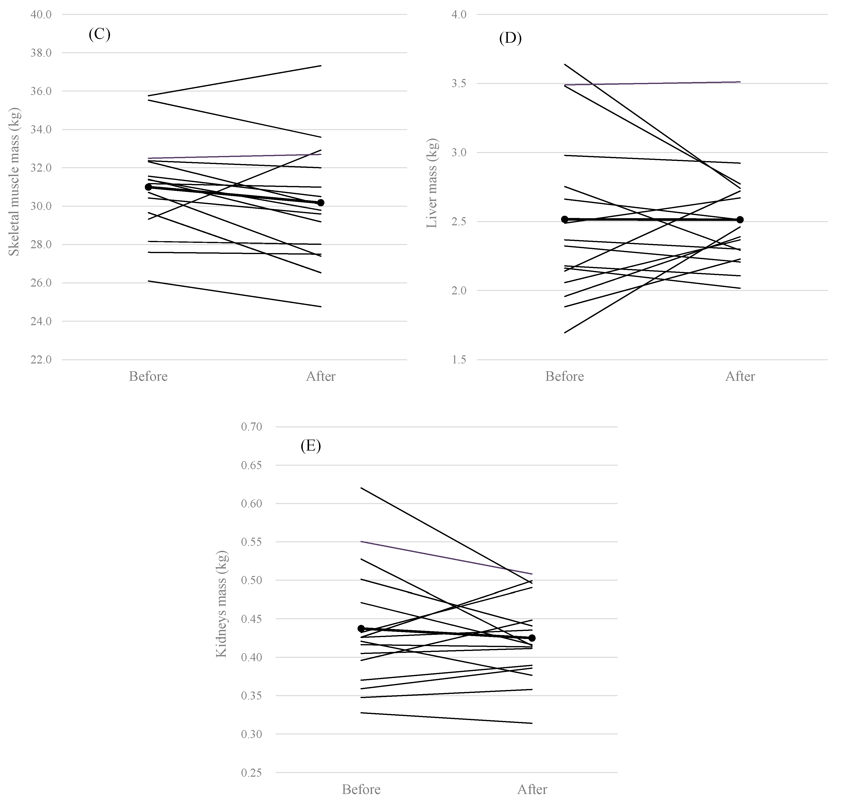
There were no significant differences in subject characteristics and mass of SM, liver, or kidneys and blood analyses between before-and-after weight change, except for standing height (Table 1, Table 2 and Table 3). The change in body mass and SEE ranged between −8.7~9.5 kg and −602~388 kcal/day (Figure 1). Moreover, changes in the SM, liver, and kidneys ranged between −3.3~3.6 kg, −0.90~0.77 kg and −0.12~0.07 kg (Figure 1). The change in SEE was not significantly correlated with the change in SM or liver mass, nor with blood analyses; however, a significant relationship between the change in kidney mass and SEE was observed in all subjects (Table 4, Figure 2). In addition, stepwise regression analyses indicated that the change in kidney mass was independently associated with that in SEE.
Table 1.
Subject characteristics and sleeping energy expenditure following weight change.
Table 2.
Organ-tissue mass following weight change.
Table 3.
Blood analyses following weight change.

Figure 1.
The changes in body mass (A), sleeping energy expenditure (B), skeletal muscle mass except for arm regions (C), liver mass (D), and kidneys mass (E) following weight change.
Table 4.
Correlation coefficients between change in SEE and organ-tissue & blood analyses.
Figure 2.
The relationship between changes in kidney mass and sleeping energy expenditure (EE).
4. Discussion
To our knowledge, this is the first longitudinal study regarding the relationship between changes in organ-tissue mass and SEE. Based on our results, there is a possibility that kidney-mass has an effect on the change in SEE following weight change. According to a limited study regarding the longitudinal effects of organ-tissue mass on REE, a gain or loss in kidney mass additionally explained the variance of REE change in stepwise multiple regression analysis [18]. Although the change in kidney mass is insignificant (between −0.04 and +0.02 kg in the current study) compared to other factors, it is probable that the influence of the kidneys, coupled with a high resting metabolic rate (i.e., 440 kcal/kg/day in Reference Man), on the variation of SEE is significant in cases of weight change. Moreover, there were two cases of increasing SEE despite decreasing kidney mass, and vice versa in this study. While these cases do not mean that there is causality between the changes in kidney mass and SEE, it is a point worthy of investigating in further studies with larger populations and more variation in kidney mass.
As is the case with the kidneys, the liver has high metabolic activity (i.e., 200 kcal/kg/day). However, a significant relationship between the change in liver mass and SEE was not indicated in the present study. Similarly, a relationship between the change in liver mass and REE following weight change was not found in previous longitudinal studies [18,19]. Moreover, according to a previous study that measured liver fat content using single-voxel proton magnetic resonance spectroscopy (1H-MRS), liver fat content was found to have a high variance, between 0.4% and 30.4% [19]. Based on these results, as liver fat content could be a confounding factor, we would need to accurately measure hepatic cells alone, to determine if there is an effect on REE and/or SEE following weight change.
It has long been thought that fluctuation of fat-free mass resulted in a change in SM mass and that internal organs such as the liver and kidneys remained unchanged following weight change. Moreover, previous studies reported that exercise-training induced changes in fat-free mass were significantly correlated with variations in REE following strength training [20,21]. Based on these findings, it has generally been accepted that a gain or loss in SM mass induces a change in REE and/or SEE following total body resistance training. However, it is still unclear whether exercise training-induced changes in REE were directly caused by changes in SM mass (i.e., 13 kcal/kg/day). Although the present study has attempted to answer this question, the effect of changes in SM mass on the variation of SEE was not observed. On the other hand, the limited previous study revealed that changes in SM mass were a key factor affecting fluctuating REE during changes in weight without exercise training [18]. Based on the findings of the previous study, although it is speculated that changes in SM mass are related to REE variation following exercise training, further study is needed to fully determine the relationship.
In the present study, we observe that the range of changing SEE was relatively large (i.e., approximately 400 kcal/day) following weight gain and loss. The variation in SEE was larger than the value predicted from changing organ-tissue mass and resting metabolic rate (e.g., 13 kcal/kg/day for SM; 440 kcal/kg/day for kidney). Although previous studies have suggested that changes in T3 correlated with changes in REE [18], the hormonal change was not clearly observed in the present study. Moreover, according to our previous studies, children aged 6–12 have a higher organ-tissue resting metabolic rate (kcal/kg/day) than adults [22]. On the other hand, cross-sectional studies have reported that the absolute value of REE and/or SEE would be attributed to the organ-tissue mass and that the metabolic rate is constant among athletes, including college Sumo wrestlers aged 19 [4,5]. Based on these findings, we concluded that college Sumo wrestlers in the present study are not in that growth phase. Further studies are required to ascertain whether each organ-tissue metabolic rate fluctuates following weight change by using noninvasive methods such as positron emission tomography.
5. Conclusions
The goal of this study was to determine whether changes in SEE following weight change were due to changes in organ-tissue mass. Based on our results, there is a possibility that the mass of kidneys has an effect on the change in SEE following weight change in college Sumo wrestlers. Since the results of this longitudinal study are not fully in accordance with previous cross-sectional studies and are based on moderate correlations in a small sample size (n = 16) and specific subjects, future clinical studies are needed with generic subjects and larger sample sizes to investigate hypertrophy of the SM and internal organs following weight change. Although we could not conclusively answer these questions, we hope that the results we obtained pave the way for others to understand the relationships between organ-tissue mass and REE and/or SEE.
Author Contributions
T.M. designed and conducted the research, obtained the data, statistically analyzed the whole data set, and wrote the paper. S.T. (Shigeho Tanaka), T.A., M.K., M.O., S.T. (Suguru Torii), and S.S. obtained the data and reviewed the paper. All authors have read and agreed to the published version of the manuscript.
Funding
This study was supported by The Ministry of Education, Science, Sports and Culture of Japan (Grant No 24680069).
Acknowledgments
We would like to sincerely thank the subjects who participated in this study. We wish to thank members of the National Institute of Health and Nutrition, particularly Hiroko Kogure, for her help in data acquisition and analyses.
Conflicts of Interest
No other authors declare a conflict of interest.
References
- Gallagher, D.; Belmonte, D.; Deurenberg, P.; Wang, Z.; Krasnow, N.; Pi-Sunyer, F.X.; Heymsfield, S.B. Organ-tissue mass measurement allows modeling of REE and metabolically active tissue mass. Am. J. Physiol. 1998, 275, 249–258. [Google Scholar] [CrossRef] [PubMed]
- Illner, K.; Brinkmann, G.; Heller, M.; Bosy-Westphal, A.; Muller, M.J. Metabolically active components of fat free mass and resting energy expenditure in nonobese adults. Am. J. Physiol. Endocrinol. Metab. 2000, 278, 308–315. [Google Scholar] [CrossRef] [PubMed]
- Bosy-Westphal, A.; Reinecke, U.; Schlorke, T.; Illner, K.; Kutzner, D.; Heller, M.; Muller, M.J. Effect of organ and tissue masses on resting energy expenditure in underweight, normal weight and obese adults. Int. J. Obes. Relat. Metab. Disord. 2004, 28, 72–79. [Google Scholar] [CrossRef] [PubMed]
- Midorikawa, T.; Kondo, M.; Beekley, M.D.; Koizumi, K.; Abe, T. High REE in Sumo wrestlers attributed to large organ-tissue mass. Med. Sci. Sports Exerc. 2007, 39, 688–693. [Google Scholar] [CrossRef] [PubMed]
- Midorikawa, T.; Tanaka, S.; Ando, T.; Tanaka, C.; Konishi, M.; Ohta, M.; Torii, S.; Sakamoto, S. Is there a chronic elevation in organ-tissue sleeping metabolic rate in very fit runners? Nutrients 2016, 8, 196–207. [Google Scholar] [CrossRef]
- Gallagher, D.; Kelley, D.E.; Thornton, J.; Boxt, L.; Pi-Sunyer, X.; Lipkin, E.; Nyenwe, E.; Janumala, I.; Heshka, S.; MRI ancillary study group of the look AHEAD research group. Changes in skeletal muscle and organ size after a weight-loss intervention in overweight and obese type 2 diabetic patients. Am. J. Clin. Nutr. 2016, 105, 78–84. [Google Scholar] [CrossRef] [PubMed]
- Miyauchi, S.; Oshima, S.; Asaka, M.; Kawano, H.; Torii, S.; Higuchi, M. Organ size increases with weight gain in power-trained athletes. Int. J. Sport Nutr. Exerc. Metab. 2013, 23, 617–623. [Google Scholar] [CrossRef] [PubMed]
- Elia, M. The inter-organ flux of substrates in fed and fasted man, as indicated by arterio-venous balance studies. Nutr. Res. Rev. 1991, 4, 3–31. [Google Scholar] [CrossRef] [PubMed]
- Ganpule, A.A.; Tanaka, S.; Ishikawa-Takata, K.; Tabata, I. Interindividual variability in sleeping metabolic rate in Japanese subjects. Eur. J. Clin. Nutr. 2007, 61, 1256–1261. [Google Scholar] [CrossRef] [PubMed]
- Kondo, M.; Abe, T.; Ikegawa, S.; Kawakami, Y.; Fukunaga, T. Upper limit of fat-free mass in humans: A study on Japanese Sumo wrestlers. Am. J. Hum. Biol. 1994, 6, 613–618. [Google Scholar] [CrossRef] [PubMed]
- Abe, T.; Kearns, C.F.; Fukunaga, T. Sex differences in whole body skeletal muscle mass measured by magnetic resonance imaging and its distribution in young Japanese adults. Br. J. Sports Med. 2003, 37, 436–440. [Google Scholar] [CrossRef] [PubMed]
- Snyder, W.S.; Cooke, M.J.; Nasset, E.S.; Karhausen, L.R.; Howells, G.P.; Tipton, I.H. Report of the Task Group on Reference Man; Pergamon: Oxford, UK, 1975; pp. 112, 282–285. [Google Scholar]
- Duck, F.A. Chapter 5—Mechanical properties of tissue. In Physical Properties of Tissue; Elsevier: New York, NY, USA, 1990; p. 138. [Google Scholar]
- Futami, J.; Tanaka, S.; Yamamura, C.; Oka, J.; Ishikawa-Takata, K.; Kashiwazaki, H. Measurement of energy expenditure by whole-body indirect human calorimeter–evaluation of validity and error factors. Nippon Eiyo Shokuryo Gakkaishi J. Jpn. Soc. Nutr. Food Sci. 2003, 56, 229–236. (In Japanese) [Google Scholar] [CrossRef]
- Yamamura, C.; Tanaka, S.; Futami, J.; Oka, J.; Ishikawa-Takata, K.; Kashiwazaki, H. Activity diary method for predicting energy expenditure as evaluated by a whole-body indirect human calorimeter. J. Nutr. Sci. Vitam. 2003, 49, 262–269. [Google Scholar] [CrossRef] [PubMed][Green Version]
- Usui, C.; Ando, T.; Ohkawara, K.; Miyake, R.; Oshima, Y.; Hibi, M.; Oishi, S.; Tokuyama, K.; Tanaka, S. Validity and reproducibility of a novel method for time-course evaluation of diet-induced thermogenesis in a respiratory chamber. Physiol. Rep. 2015, 3, e12410. [Google Scholar] [CrossRef] [PubMed]
- Weir, J.B. New methods for calculating metabolic rate with special reference to protein metabolism. J. Physiol. 1949, 109, 1–9. [Google Scholar] [CrossRef] [PubMed]
- Pourhassan, M.; Bosy-Westphal, A.; Schautz, B.; Braun, W.; Glüer, C.C.; Müller, M.J. Impact of body composition during weight change on resting energy expenditure and homeostasis model assessment index in overweight nonsmoking adults. Am. J. Clin. Nutr. 2014, 99, 779–791. [Google Scholar] [CrossRef] [PubMed]
- Bosy-Westphal, A.; Kossel, E.; Goele, K.; Later, W.; Hitze, B.; Settler, U.; Heller, M.; Glüer, C.C.; Heymsfield, S.B.; Müller, M.J. Contribution of individual organ mass loss to weight loss–associated decline in resting energy expenditure. Am. J. Clin. Nutr. 2009, 90, 993–1001. [Google Scholar] [CrossRef] [PubMed]
- Dolezal, B.A.; Potteiger, J.A. Concurrent resistance and endurance training influence basal metabolic rate in nondieting individuals. J. Appl. Physiol. 1998, 85, 695–700. [Google Scholar] [CrossRef] [PubMed]
- Lemmer, J.T.; Ivey, F.M.; Ryan, A.S.; Martel, G.F.; Hurlbut, D.E.; Metter, J.E.; Fozard, J.L.; Fleg, J.L.; Hurley, B.F. Effect of strength training on resting metabolic rate and physical activity: Age and gender comparisons. Med. Sci. Sports Exerc. 2001, 33, 532–541. [Google Scholar] [CrossRef] [PubMed]
- Midorikawa, T.; Hikihara, Y.; Ohta, M.; Ando, T.; Torii, S.; Sakamoto, S.; Tanaka, S. The relationship between organ-tissue body composition and resting energy expenditure in prepubertal children. Eur. J. Clin. Nutr. 2019, 73, 1149–1154. [Google Scholar] [CrossRef] [PubMed]
© 2020 by the authors. Licensee MDPI, Basel, Switzerland. This article is an open access article distributed under the terms and conditions of the Creative Commons Attribution (CC BY) license (http://creativecommons.org/licenses/by/4.0/).


