Obstetric and Perinatal Outcomes after Very Early Preterm Premature Rupture of Membranes (PPROM)-A Retrospective Analysis over the Period 2000–2020
Abstract
1. Introduction
2. Materials and Methods
2.1. Study Design and Patients
2.2. Statistical Analysis
2.3. Instruments
2.4. Ethics
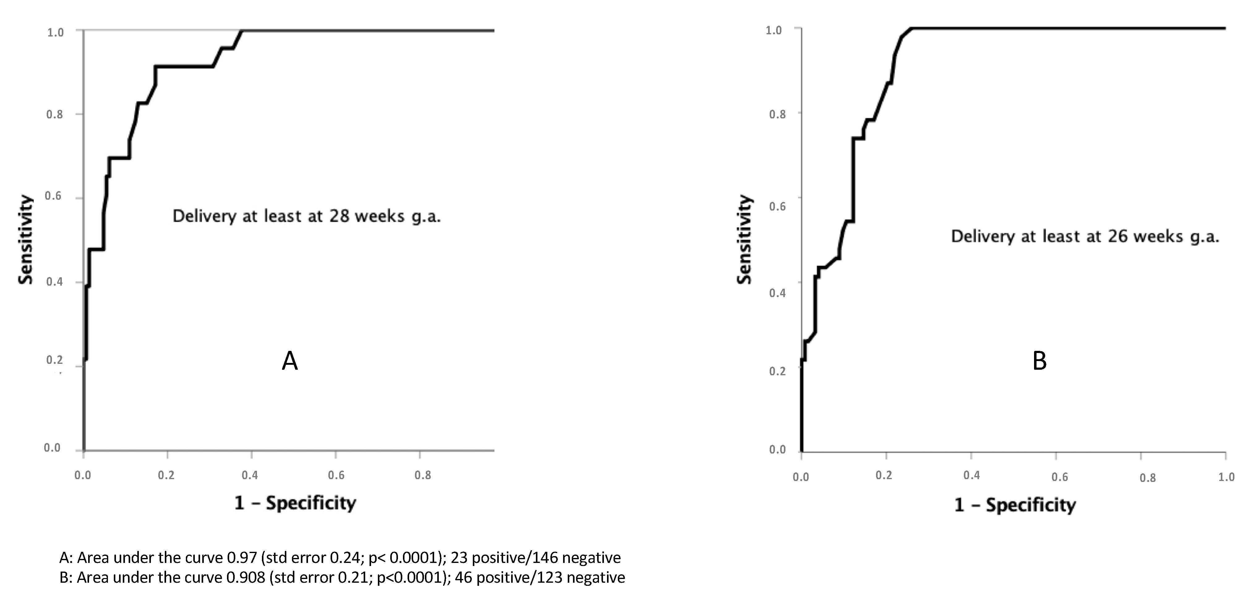
3. Results
4. Discussion
5. Conclusions
Author Contributions
Funding
Institutional Review Board Statement
Informed Consent Statement
Data Availability Statement
Acknowledgments
Conflicts of Interest
References
- Prelabor rupture of membranes: ACOG Practice Bulletin Summary, Number 217. Obstet. Gynecol. 2020, 135, 739–743. [CrossRef]
- Goldenberg, R.L.; Culhane, J.F.; Iams, J.D.; Romero, R. Epidemiology and causes of preterm birth. Lancet 2008, 371, 75–84. [Google Scholar] [CrossRef]
- Manuck, T.A.; Varner, M.W. Neonatal and early childhood outcomes following early vs later preterm premature rupture of membranes. Am. J. Obstet. Gynecol. 2014, 211, 308.e1–308.e6. [Google Scholar] [CrossRef]
- Tchirikov, M.; Schlabritz-Loutsevitch, N.; Maher, J.; Buchmann, J.; Naberezhnev, Y.; Winarno, A.S.; Seliger, G. Mid-trimester preterm premature rupture of membranes (PPROM): Etiology, diagnosis, classification, international recommendations of treatment options and outcome. J. Perinat. Med. 2018, 46, 465–488. [Google Scholar] [CrossRef]
- Parry, S.; Strauss, J.F. Premature rupture of the fetal membranes. N. Engl. J. Med. 1998, 338, 663–670. [Google Scholar] [CrossRef] [PubMed]
- DiGiulio, D.B.; Romero, R.; Kusanovic, J.P.; Gómez, R.; Kim, C.J.; Seok, K.S.; Gotsch, F.; Mazaki-Tovi, S.; Vaisbuch, E.; Sanders, K.; et al. Prevalence and diversity of microbes in the amniotic fluid, the fetal inflammatory response, and pregnancy outcome in women with preterm pre-labor rupture of membranes. Am. J. Reprod. Immunol. 2010, 64, 38–57. [Google Scholar] [CrossRef]
- Capece, A.; Vasieva, O.; Meher, S.; Alfirevic, Z.; Alfirevic, A. Pathway analysis of genetic factors associated with spontaneous preterm birth and pre-labor preterm rupture of membranes. PLoS ONE 2014, 9, e108578. [Google Scholar] [CrossRef]
- Clark, E.A.; Varner, M. Impact of preterm PROM and its complications on long-term infant outcomes. Clin. Obstet. Gynecol. 2011, 54, 358–369. [Google Scholar] [CrossRef] [PubMed]
- Manuck, T.A.; Maclean, C.C.; Silver, R.M.; Varner, M.W. Preterm premature rupture of membranes: Does the duration of latency influence perinatal outcomes? Am. J. Obstet. Gynecol. 2009, 201, e1–e6. [Google Scholar] [CrossRef]
- Manuck, T.A.; Eller, A.G.; Esplin, M.S.; Stoddard, G.J.; Varner, M.W.; Silver, R.M. Outcomes of expectantly managed preterm premature rupture of membranes occurring before 24 weeks of gestation. Obstet. Gynecol. 2009, 114, 29–37. [Google Scholar] [CrossRef]
- Test, G.; Levy, A.; Wiznitzer, A.; Mazor, M.; Holcberg, G.; Zlotnik, A.; Sheiner, E. Factors affecting the latency period in patients with preterm premature rupture of membranes. Arch. Gynecol. Obstet. 2011, 283, 707–710. [Google Scholar] [CrossRef] [PubMed]
- Kibel, M.; Asztalos, E.; Barrett, J.; Dunn, M.S.; Tward, C.; Pittini, A.; Melamed, N. Outcomes of pregnancies complicated by preterm premature rupture of membranes between 20 and 24 weeks of gestation. Obstet. Gynecol. 2016, 128, 313–320. [Google Scholar] [CrossRef] [PubMed]
- Verma, U.; Goharkhay, N.; Beydoun, S. Conservative management of preterm premature rupture of membranes between 18 and 23 weeks of gestation--maternal and neonatal outcome. Eur. J. Obstet. Gynecol. Reprod. Biol. 2006, 128, 119–124. [Google Scholar] [CrossRef] [PubMed]
- Strand, E.A.; Dougherty Schaab, B.L.; Moore, E.S. Preterm premature rupture of membranes between 14 and 24 weeks of gestation. Obstet. Gynecol. 2014, 123, 172S–173S. [Google Scholar] [CrossRef]
- González-Mesa, E.; Herrera, J.A.; Urgal, A.; Lazarraga, C.; Benítez, M.J.; Gómez, C. Temporal trends of latency period and perinatal survival after very early preterm premature rupture of fetal membranes. Arch. Gynecol. Obstet. 2012, 286, 347–352. [Google Scholar] [CrossRef] [PubMed]
- CMBD Andalucía. Servicio Andaluz de Salud n.d. Available online: https://www.sspa.juntadeandalucia.es/servicioandaluzdesalud/profesionales/sistemas-de-informacion/cmbd-andalucia (accessed on 5 March 2021).
- Fanczal, E.; Berecz, B.; Szijártó, A.; Gasparics, Á.; Varga, P. The prognosis of preterm infants born at the threshold of viability: Fog over the Gray Zone—Population-based studies of extremely preterm infants. Med. Sci. Monit. 2020, 10, e926947. [Google Scholar]
- SEGO. Sociedad Española de Ginecología y Obstetricia n.d. Available online: https://sego.es/Guias_de_Asistencia_Practica#perinatal (accessed on 18 March 2021).
- Gibbs, R.S.; Castillo, M.S.; Rodgers, P.J. Management of acute chorioamnionitis. Am. J. Obstet. Gynecol. 1980, 136, 709–713. [Google Scholar] [CrossRef]
- Kenyon, S.L.; Taylor, D.J.; Tarnow-Mordi, W.; ORACLE Collaborative Group. Broad-spectrum antibiotics for preterm, prelabour rupture of fetal membranes: The ORACLE I randomised trial. ORACLE Collaborative Group. Lancet 2001, 357, 979–988. [Google Scholar] [CrossRef]
- Kenyon, S.; Boulvain, M.; Neilson, J.P. Antibiotics for preterm rupture of membranes. Cochrane Database Syst. Rev. 2013, 12, CD001058. [Google Scholar] [CrossRef]
- Kenyon, S.L.; Taylor, D.J.; Tarnow-Mordi, W.; ORACLE Collaborative Group. Broad-spectrum antibiotics for spontaneous preterm labour: The ORACLE II randomised trial. ORACLE Collaborative Group. Lancet 2001, 357, 989–994. [Google Scholar] [CrossRef]
- Hayes, E.J.; Paul, D.A.; Stahl, G.E.; Seibel-Seamon, J.; Dysart, K.; Leiby, B.E.; Mackley, A.B.; Berghella, V. Effect of antenatal corticosteroids on survival for neonates born at 23 weeks of gestation. Obstet. Gynecol. 2008, 111, 921–926. [Google Scholar] [CrossRef] [PubMed]
- McGoldrick, E.; Stewart, F.; Parker, R.; Dalziel, S.R. Antenatal corticosteroids for accelerating fetal lung maturation for women at risk of preterm birth. Cochrane Database Syst. Rev. 2020, 12, CD004454. [Google Scholar] [PubMed]
- Vidaeff, A.C.; Ramin, S.M. Antenatal corticosteroids after preterm premature rupture of membranes. Clin. Obstet. Gynecol. 2011, 54, 337–343. [Google Scholar] [CrossRef]
- Fox, N.S.; Gelber, S.E.; Kalish, R.B.; Chasen, S.T. The recommendation for bed rest in the setting of arrested preterm labor and premature rupture of membranes. Am. J. Obstet. Gynecol. 2009, 200, 165.e1–165.e6. [Google Scholar] [CrossRef]
- Sprague, A.E.; O’Brien, B.; Newburn-Cook, C.; Heaman, M.; Nimrod, C. Bed rest and activity restriction for women at risk for preterm birth: A survey of Canadian prenatal care providers. J. Obstet. Gynaecol. Can. 2008, 30, 317–326. [Google Scholar] [CrossRef]
- Singla, A.; Yadav, P.; Vaid, N.B.; Suneja, A.; Faridi, M.M.A. Transabdominal amnioinfusion in preterm premature rupture of membranes. Int. J. Gynecol. Obstet. 2010, 108, 199–202. [Google Scholar] [CrossRef]
- Roberts, D.; Vause, S.; Martin, W.; Green, P.; Walkinshaw, S.; Bricker, L.; Beardsmore, C.; Shaw, B.N.; McKay, A.; Skotny, G.; et al. Amnioinfusion in preterm premature rupture of membranes (AMIPROM): A randomised controlled trial of amnioinfusion versus expectant management in very early preterm premature rupture of membranes—A pilot study. Health Technol. Assess. 2014, 18, 1–135. [Google Scholar] [CrossRef] [PubMed]
- Van Kempen, L.E.M.; van Teeffelen, A.S.; de Ruigh, A.A.; Oepkes, D.; Haak, M.C.; van Leeuwen, E.; Woiski, M.; Porath, M.M.; Bax, C.J.; van Wassenaer-Leemhuis, A.G.; et al. Amnioinfusion compared with no intervention in women with second-trimester rupture of membranes: A randomized controlled trial. Obstet. Gynecol. 2019, 133, 129–136. [Google Scholar] [CrossRef]









Publisher’s Note: MDPI stays neutral with regard to jurisdictional claims in published maps and institutional affiliations. |
© 2021 by the authors. Licensee MDPI, Basel, Switzerland. This article is an open access article distributed under the terms and conditions of the Creative Commons Attribution (CC BY) license (https://creativecommons.org/licenses/by/4.0/).
Share and Cite
González-Mesa, E.; Blasco-Alonso, M.; Benítez, M.J.; Gómez-Muñoz, C.; Sabonet-Morente, L.; Gómez-Castellanos, M.; Ulloa, O.; González-Cazorla, E.; Puertas-Prieto, A.; Mozas-Moreno, J.; et al. Obstetric and Perinatal Outcomes after Very Early Preterm Premature Rupture of Membranes (PPROM)-A Retrospective Analysis over the Period 2000–2020. Medicina 2021, 57, 469. https://doi.org/10.3390/medicina57050469
González-Mesa E, Blasco-Alonso M, Benítez MJ, Gómez-Muñoz C, Sabonet-Morente L, Gómez-Castellanos M, Ulloa O, González-Cazorla E, Puertas-Prieto A, Mozas-Moreno J, et al. Obstetric and Perinatal Outcomes after Very Early Preterm Premature Rupture of Membranes (PPROM)-A Retrospective Analysis over the Period 2000–2020. Medicina. 2021; 57(5):469. https://doi.org/10.3390/medicina57050469
Chicago/Turabian StyleGonzález-Mesa, Ernesto, Marta Blasco-Alonso, María José Benítez, Cristina Gómez-Muñoz, Lorena Sabonet-Morente, Manuel Gómez-Castellanos, Osmayda Ulloa, Ernesto González-Cazorla, Alberto Puertas-Prieto, Juan Mozas-Moreno, and et al. 2021. "Obstetric and Perinatal Outcomes after Very Early Preterm Premature Rupture of Membranes (PPROM)-A Retrospective Analysis over the Period 2000–2020" Medicina 57, no. 5: 469. https://doi.org/10.3390/medicina57050469
APA StyleGonzález-Mesa, E., Blasco-Alonso, M., Benítez, M. J., Gómez-Muñoz, C., Sabonet-Morente, L., Gómez-Castellanos, M., Ulloa, O., González-Cazorla, E., Puertas-Prieto, A., Mozas-Moreno, J., Jiménez-López, J., & Lubián-López, D. (2021). Obstetric and Perinatal Outcomes after Very Early Preterm Premature Rupture of Membranes (PPROM)-A Retrospective Analysis over the Period 2000–2020. Medicina, 57(5), 469. https://doi.org/10.3390/medicina57050469

