Abstract
Background and Objectives: A novel post-translational modification (PTM) fragment derived from the cleavage of Fetuin-A (PTM-FetA) has recently emerged as a sensitive biomarker for kidney damage in diabetic patients, but evidence in other chronic renal diseases is lacking. In this pilot study, we aimed at evaluating the clinical significance of urinary PTM-FetA (uPTM-FetA) in a mixed cohort of patients with non-advanced chronic kidney disease (CKD) secondary to diabetic kidney disease (DKD) or other causes. Materials and Methods: We enrolled 47 adult patients with CKD (mean CKD-Epi 40.10 ± 16.5 mL/min/1.73 m2) due to DKD (n = 34) or other etiology (n = 13). uPTM-FetA was measured in the urine using a commercially available ELISA kit. Fifteen healthy individuals served as controls. Results: Collectively, all CKD patients displayed remarkably higher levels of uPTM-FetA than controls (0.84 [0.10–1.15] vs. 29.68 [2.50–55.16] ng/mL p = 0.0005), but values were lower in non-DKD than in DKD patients (1.66 [0.09–4.19] vs. 13.9 [0.01–45.02] ng/mL; p = 0.01). uPTM-FetA showed a great diagnostic capacity at ROC analyses to identify the presence of CKD (AUC 0.776; p < 0.001) and, within CKD patients, to discriminate the diabetic and non-diabetic etiology (AUC 0.673; p = 0.02). At multivariate correlation analyses, proteinuria (β = 0.442; p = 0.02) and BMI (β = −0.334; p = 0.04) were the sole independent predictors of uPTM-FetA in this study population. Conclusions: uPTM-FetA could be a novel sensitive biomarker at the crossroad of chronic renal damage and metabolic dysfunction. Additionally, this biomarker could also represent a non-invasive, complementary tool for discriminating among different CKD etiologies (DKD vs. non-DKD) in difficult cases or when renal biopsy is not available.
1. Introduction
Chronic kidney disease (CKD) is nowadays considered a true health priority, given the impressive rise in its incidence over recent decades and the consequent heavy impact on healthcare costs worldwide [1,2,3]. Given the paucity of clinical manifestations in early stages, a late identification of this condition is not infrequent, and may delay the timely establishment of therapeutic measures. On the other hand, misdiagnosis regarding the true CKD etiology may lead to inappropriate interventions [4,5]. As an example, despite diabetic kidney disease (DKD) representing the leading cause of CKD worldwide [6], diabetic patients with other concomitant renal disorders, such as glomerulonephritis, are often erroneously labeled as suffering DKD [7].
Indeed, albuminuria and proteinuria, which remain the cornerstone for the diagnosis, follow-up and therapeutic management of DKD, may display questionable sensitivity and specificity, as they may increase due to other glomerular disorders or may remain within the normal range in up to 40% of diabetic patients with biopsy evidence of renal involvement [8]. On the other hand, renal histology is invasive, time-consuming, and often not feasible or not recommended in diabetic patients. The search for alternative or complementary biomarkers for the diagnostic and clinical stratification of CKD and DKD patients, thus remains a timely research priority.
In this pilot, cross-sectional study, we explored the possible clinical significance of measuring urinary levels of the post-translational modified form of human fetuin-A (PTM-FetA) in a mixed cohort of patients with non-advanced CKD of various etiology. PTM-FetA is a new, emerging urinary biomarker which has recently been investigated for the prediction of the progression of renal impairment in type 2 diabetic patients [9].
In our study, we hypothesized that altered uPTM-FetA levels may reflect chronic kidney damage and may hold usefulness for the diagnostic stratification of individuals with CKD.
2. Materials and Methods
2.1. Study Cohort
Participants to this study were enrolled drawing on an outpatient population already followed at the Nephrology Unit of the University Hospital of “Magna Graecia” of Catanzaro, Italy. The main inclusion criteria were the presence of a mild-to-moderate renal failure (CKD stages 2–4, eGFR between 89 and 15 mL/min/1.73 m2 estimated by the CKD-Epi formula) and a stable renal function, defined as the absence of a >25% decline in eGFR during the 6 months prior to the start of the study. Exclusion criteria were the following: presence of ongoing infections, cancer, recent cardiovascular events requiring hospitalization, inflammatory states, uncontrolled hypertension, severe proteinuria (>3 g/24 h), and previous kidney transplant. Additionally, 15 healthy matched individuals with no history of kidney disease or concomitant active diseases served as controls for uPTM-FetA measurement. The study was approved by the local ethics committee and all participants signed an informed consent.
2.2. Clinical Assessment
Clinical, demographic, laboratory and anthropometric parameters were recorded during a planned outpatient visit, and were entered into an electronic standardized report form, together with information on active therapy. The recent clinical history of the participants was reconstructed through anamnesis in the context of clinical examination and consultation of the medical records. The identification of CKD etiology was available in all patients, and was based on clinical history (nephroangiosclerosis, chronic pyelonephritis), genetics (ADPKD) or renal biopsy (glomerulonephritis, DKD). Additionally, blood pressure was measured upon the planned visit three times using a sphygmomanometer, and its average value considered for data analysis.
2.3. Post-Translationally Modified Fetuin-A Fragments in Urine (uPTM-FetA) Measurement
uPTM-FetA was measured in early morning spot urine samples before the planned outpatient visit using a commercial ELISA kit (Human uPTM3-DKD ELISA; Bio Preventive Medicine Corp, Zubei City, Taiwan; Trade name: DNlite-IVD103 distributed by Tecan, Cernusco sul Naviglio, Italy). In this assay, calibrators or urine samples were mixed with anti-unique PTM Fetuin-A monoclonal antibody (mAb), and then incubated in a microplate pre-bounded with unique PTM Fetuin-A. After an incubation, a Horse Radish Peroxide (HRP) conjugated secondary antibody was added, followed by an incubation with 3,3′,5,5′-tetramethylbenzidine (TMB) substrate, according to the manufacturer’s instructions. Their relative reactivity was determined by absorbance measurement at 450 nanometers (nm) and plotted by comparison with a predetermined unique PTM Fetuin-A calibration curve. The linearity of Human uPTM3-DKD ELISA kit was found to be from 5.38–454.20 ng/mL (R2 = 0.99) with a limit of detection being 1.58% ng/mL. The precision has been validated by measuring two samples in triplicate in 2 lots for 20 days (CV = 12%); the reproducibility has been validated by measuring two samples in 5 replicate in 3 sites for 4 days (CV = 18%). uPTM-FetA values were normalized for urine volume and expressed as ng/mL.
2.4. Statistical Analysis
The analyses were performed using the SPSS package (version 24.0; IBM corporation, Armonk NY, USA) and the MedCalc Statistical Software (version 14.8.1, MedCalc Software bvba, Ostend, Belgium). Data were presented as mean ± SD for normally distributed values (via Kolmogorov–Smirnov test), median [IQ range] for variables with skewed distribution, or frequency percentage, as appropriate. Differences between groups were determined by the unpaired T-test for normally distributed values, the Mann–Whitney U test for non-parametric values, and the chi-square followed by a Fisher’s exact test for frequency distributions. The Pearson (R) and the Spearman (Rho) correlation coefficients were employed to identify the univariate correlates of uPTM-FetA. Multiple regression analyses were thus performed to assess independent relationships, considering uPTM-FetA as the dependent variable. Receiver Operating Characteristics (ROC) analyses were employed to calculate the area under the curve (AUC) for uPTM-FetA, considering the presence of CKD in the complete study population (CKD patients + healthy controls) and that of DKD in the CKD population as the status variable, respectively. The best cut-off values for uPTM-FetA were computed by the Youden index. All results were considered significant if the p value was <0.05.
3. Results
3.1. Clinical Characteristics and uPTM-FetA Measurement in the Study Cohort
The study population consisted of 47 adult patients (mean age 71.6 ± 10 years, 63.8% male) who met the inclusion/exclusion criteria for being eligible to participate. DKD was the established cause of CKD in 34 patients (72.3%), while in the remaining 13 individuals CKD was related to glomerulonephritis (n = 5), ADPKD (n = 2), chronic pyelonephritis (n = 2) or nephroangiosclerosis (n = 4). Mean eGFR (CKD-Epi) was 40.10 ± 16.5 mL/min/1.73 m2 in the whole study population, being marginally higher (p = 0.05) in the DKD (38.5 ± 12.6 mL/min/1.73 m2) compared to the non-DKD group (43.3 ± 9.8 mL/min/1.73 m2). BMI was significantly higher in the DKD vs. non-DKD group (28.5 ± 5.1 vs. 25.6 ± 5.1 p = 0.01), as well as proteinuria (0.381 [0.080–0.751] vs. 0.14 [0.168–0.312] p = 0.04), while the systolic blood pressure was lower (133.6 ± 18.8 mmHg vs. 125.4 ± 15.6 mmHg p = 0.05).
DKD patients were more frequently under SGLT-2 inhibitors treatment (50% vs. 23%; p = 0.03) and statins (97% vs.46.1%; p = 0.01), while no differences were observed for other therapeutics.
uPTM-FetA values were remarkably higher in the whole study population as compared with the control group (29.68 [2.50–55.16] vs. 0.84 [0.10–1.15] ng/mL; p = 0.0005). In parallel, a significant difference was also found in uPTM-FetA values between DKD and Non-DKD individuals (13.9 [0.01–45.02] vs. 1.66 [0.09–4.19]; p = 0.01; Figure 1). Such observations were confirmed at exploratory analyses (not shown) employing uPTM-FetA normalized by urinary creatinine.
Figure 1.
Difference in median uPTM-FetA levels between DKD and non-DKD patients. * p = 0.01.
Table 1 summarizes the complete information regarding the characteristics and active therapy for all the CKD patients and for the two subgroups (DKD and non-DKD).
Table 1.
Main clinical characteristics in the whole study cohort and in patients categorized according to CKD etiology (DKD vs. others). Statistically significant differences between subgroups are highlighted in bold.
3.2. Clinical Correlates of uPTM-FetA in CKD Patients
At univariate analyses, uPTM-FetA was negatively associated with BMI (R = −0.323; p = 0.02), Vitamin-D (R = −0.517; p = 0.005) and directly with proteinuria (R = 0.312; p = 0.04), gammaGT (R = 0.775 p = 0.02) and urinary potassium (R = 0.382 p = 0.04). In a fully adjusted multivariate model including all the univariate correlates, only proteinuria (β = 0.442; p = 0.02) and BMI (β = −0.334; p = 0.04) remained significantly associated with uPTM-FetA, while the other associations were lost. Of note, this resulting model was remarkably robust, as it was able to explain a large percentage of the uPTM-FetA variability in this population (Multiple R = 0.91, R2 = 83%; p = 0.007). Table 2 summarizes results from univariate and multivariate analysis of uPTM-FetA.
Table 2.
Univariate and multiple regression analysis of (log-transformed) uPTM-FetA levels. Statistically significant correlations are highlighted in bold.
3.3. ROC Analyses of uPTM-FetA
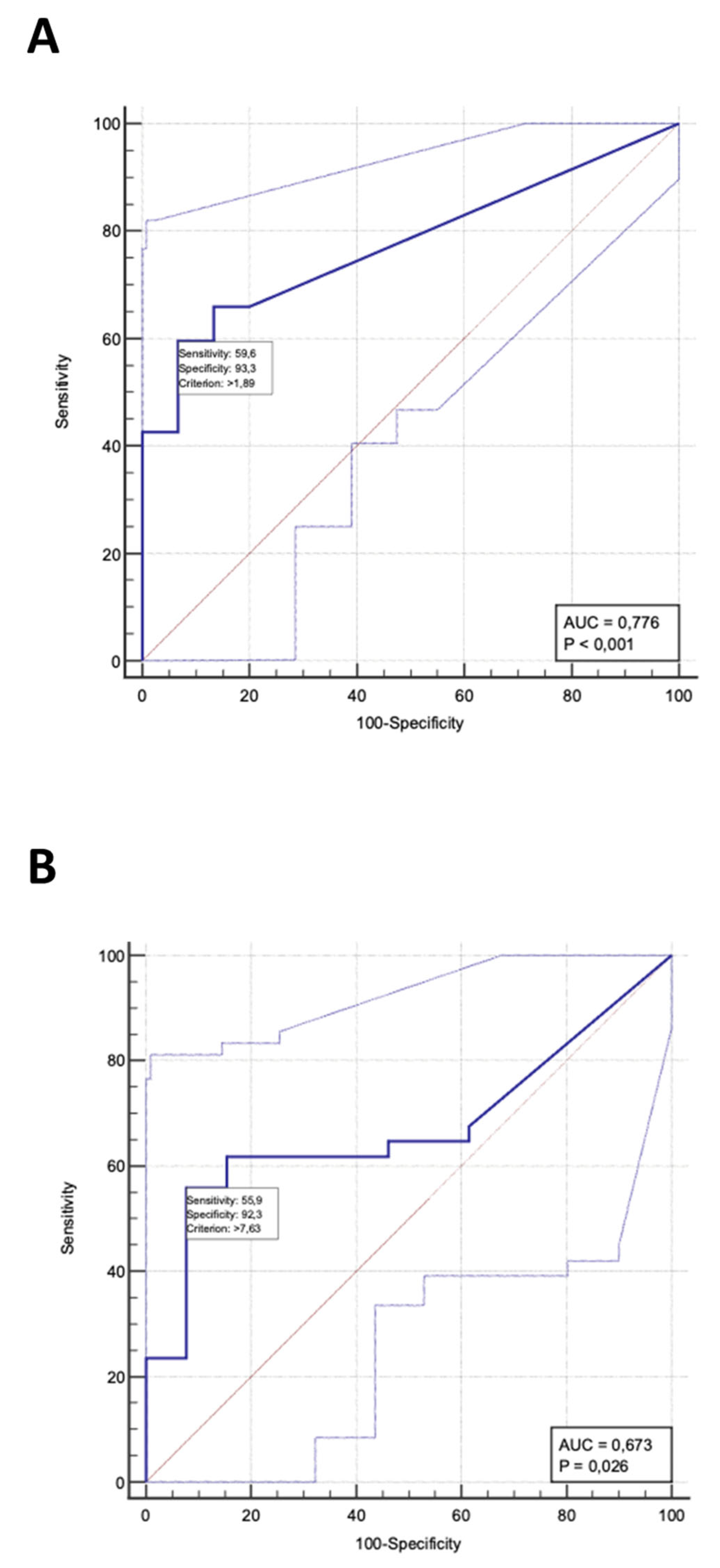
At ROC analyses, uPTM-FetA showed a remarkable capacity to discriminate CKD patients from healthy individuals with an area under the curve (AUC) of 0.776 (p < 0.001) and a best cut-off value of 1.89 ng/mL (sensitivity 59.6% 95%CI 44.3–73.6; specificity 93.3%, 95%CI 68.1–99.8). By the same token, within all CKD individuals, uPTM-FetA displayed a good diagnostic ability in identifying DKD as the etiology of CKD with an AUC 0.673 (p = 0.02) and a best cut-off value of 7.63 ng/mL (sensitivity 55.9% 95%CI 37.9–72.8; specificity 92.3%, 95%CI 64–99.8) (Figure 2).
Figure 2.
ROC curves of uPTM-FetA in discriminating (A) the presence of CKD in the whole study cohort (patients + controls) and (B) DKD as the etiology of CKD.
4. Discussion
In accordance with Chuang et al. [9], in this pilot study, we confirmed the ability of uPTM-FetA to reflect, with a good sensitivity and specificity, the presence of a chronic impairment in renal function. However, unlike the Chuang study, which focused specifically on diabetic individuals, we demonstrated that the utility of this biomarker could go beyond the sole DKD setting. In fact, in our mixed CKD cohort, DKD individuals showed significantly higher levels of uPTM-FetA with respect to individuals with chronic renal damage due to other etiology. Starting from these premises, we were able to uncover a satisfactory diagnostic capacity of this biomarker at ROC analyses in discriminating between different causes of CKD (DKD vs. non-DKD). Hence, the measurement of uPTM-FetA could help not only CKD identification, but also its etiological stratification, particularly in individuals with more advanced CKD stages or when renal biopsy is not feasible or available.
Fetuin-A, which is structured in two chains (A and B), becomes active after a proteolytic division of these two parts [10]. Magalhaes et al. recently identified 14 different urinary protein fragments belonging to the region of the connecting peptide of the total fetuin-A protein which are significantly increased in the urine of type 2 diabetic patients with already manifested kidney disease [11].
Post-translational modifications (PTMs) can play a crucial role in regulating the structure and function of proteins, impacting various cellular processes and intracellular signaling pathways. In a large proteomic profiling of urines from the participants to the Taiwan Renal Biomarker Study, uPTM-FetA emerged as one of the best biomarker candidates for the identification of DKD in type 2 diabetes [9]. Conversely, its usefulness in other CKD conditions remained, to date, unexplored.
Fetuin-A, is primarily synthesized in the liver and secreted into the bloodstream, playing a role in various physiological processes, including calcium homeostasis, inhibition of soft tissue calcification, and regulation of insulin sensitivity [12]. Beyond these roles, this protein is crucially involved in the pathogenesis of inflammation, insulin resistance and obesity [13].
Accordingly, in our cohort, we found BMI as the sole significant independent predictor of uPTM-FetA levels, together with proteinuria which, in turn, reflects the severity of active renal damage in the context of chronic kidney impairment. Taken all together, these assumptions could thus place uPTM-FetA at the crossroad of metabolic dysfunction and kidney damage, but targeted mechanistic studies are needed to confirm this hypothesis.
Indeed, the mechanisms underlying the increased urinary fetuin-A levels, during renal damage, still remain poorly understood. In the presence of kidney injury, fetuin-A could be lost, with a higher amount, in urine through the damaged glomerulus or, alternatively, could be actively synthetized and also released in urine from renal cells as part of a local protective reaction [14]. Accordingly, Hua Zhou et al. found very high concentrations of exosomal Fetuin-A during acute kidney injury [15], and variations in its levels of this biomarker overtime may reflect an accelerated progression of particular renal disorders like autosomal polycystic kidney disease [16]. In this last regard, the lack of a prospective phase in our pilot study prevents us to assess the utility of uPTM-FetA as a predictor of progression in such a mixed CKD, as previously demonstrated in DKD patients only [9]. By the same token, our preliminary findings, despite promising, deserve appropriate validation in larger and more heterogeneous cohorts and, ideally, should be accompanied by more in-depth sensitive and subgroup analyses taking into account, for instance, the different sub-etiologies of CKD in individuals without DKD.
5. Conclusions
uPTM-FetA could be a novel sensitive biomarker reflecting renal damage in CKD patients with or without DKD. In this regard, this protein could represent an additive tool for discriminating the diabetic etiology of CKD from other causes, particularly in difficult cases or where biopsy is not available. Further studies are needed to evaluate whether uPTM-FetA measurement may predict different disease evolution in CKD patients.
Author Contributions
Conceptualization, G.C. and D.B.; writing—original draft preparation, M.M., M.D., D.B. and G.C.; writing—review and editing, M.Z., G.C., D.P.F., M.A. and D.B.; investigation, P.C., L.T., M.G., R.M. and F.D.; supervision, D.P.F., G.C., D.B., M.A. and M.G. All authors have read and agreed to the published version of the manuscript.
Funding
This research received no external funding. The Human uPTM3-DKD ELISA kits employed in this study were courtesy of Bio Preventive Medicine Corp, Zubei City, Taiwan.
Institutional Review Board Statement
The study was conducted in accordance with the Declaration of Helsinki, and approved by the Institutional Review Board (Comitato Etico Calabria Centro; n.14/27 September 2023).
Informed Consent Statement
Informed consent was obtained from all subjects involved in the study.
Data Availability Statement
Raw data are available from the Corresponding Author upon reasonable request.
Conflicts of Interest
The authors declare no conflicts of interest.
References
- GBD Chronic Kidney Disease Collaboration. Global, regional, and national burden of chronic kidney disease, 1990–2017: A systematic analysis for the global burden of disease study 2017. Lancet 2020, 395, 709–733. [Google Scholar] [CrossRef] [PubMed]
- Cockwell, P.; Fisher, L.A. The global burden of chronic kidney disease. Lancet 2020, 395, 662–664. [Google Scholar] [CrossRef] [PubMed]
- Noels, H.; Jankowski, J. Increased Risk of Cardiovascular Complications in Chronic Kidney Disease: Introduction to a Compendium. Circ. Res. 2023, 132, 899–901. [Google Scholar] [CrossRef] [PubMed]
- de Boer, I.H.; Khunti, K.; Sadusky, T.; Tuttle, K.R.; Neumiller, J.J.; Rhee, C.M.; Rosas, S.E.; Rossing, P.; Bakris, G. Diabetes Management in Chronic Kidney Disease: A Consensus Report by the American Diabetes Association (ADA) and Kidney Disease: Improving Global Outcomes (KDIGO). Diabetes Care 2022, 45, 3075–3090. [Google Scholar] [CrossRef] [PubMed]
- Wittmann, I.; Molnar, G.A.; Degrell, P.; Wagner, Z.; Tamasko, M.; Laczy, B.; Brasnyo, P.; Wagner, L.; Nagy, J. Prevention and treatment of diabetic nephropathy. Diabetes Res. Clin. Pract. 2005, 68 (Suppl. S1), S36–S42. [Google Scholar] [CrossRef] [PubMed]
- Saeedi, P.; Petersohn, I.; Salpea, P.; Malanda, B.; Karuranga, S.; Unwin, N.; Colagiuri, S.; Guariguata, L.; Motala, A.A.; Ogurtsova, K.; et al. Global and regional diabetes prevalence estimates for 2019 and projections for 2030 and 2045: Results from the international diabetes federation diabetes atlas, 9(th) edition. Diabetes Res. Clin. Pract. 2019, 157, 107843. [Google Scholar] [CrossRef] [PubMed]
- Fiorentino, M.; Bolignano, D.; Tesar, V.; Pisano, A.; Biesen, W.V.; Tripepi, G.; D’Arrigo, G.; Gesualdo, L.; ERA-EDTA Immunonephrology Working Group. Renal biopsy in patients with diabetes: A pooled meta-analysis of 48 studies. Nephrol. Dial. Transplant. 2017, 32, 97–110. [Google Scholar] [CrossRef] [PubMed]
- Bolignano, D.; Zoccali, C. Non-proteinuric rather than proteinuric renal diseases are the leading cause of end-stage kidney disease. Nephrol. Dial. Transplant. 2017, 32, ii194–ii199. [Google Scholar] [CrossRef] [PubMed]
- Chuang, G.T.; Kremer, D.; Huang, C.H.; Alkaff, F.F.; Lin, C.H.; Tseng, T.L.; Laverman, G.D.; Bakker, S.J.L.; Chuang, L.M. Urinary fetuin-a fragments predict progressive egfr decline in two independent type 2 diabetes cohorts of different ethnicities. Am. J. Nephrol. 2024, 55, 106–114. [Google Scholar] [CrossRef] [PubMed]
- Lee, C.C.; Bowman, B.H.; Yang, F.M. Human alpha 2-hs-glycoprotein: The a and b chains with a connecting sequence are encoded by a single mrna transcript. Proc. Natl. Acad. Sci. USA 1987, 84, 4403–4407. [Google Scholar] [CrossRef] [PubMed]
- Magalhaes, P.; Zurbig, P.; Mischak, H.; Schleicher, E. Urinary fetuin-a peptides as a new marker for impaired kidney function in patients with type 2 diabetes. Clin. Kidney J. 2021, 14, 269–276. [Google Scholar] [CrossRef] [PubMed]
- Chekol Abebe, E.; Tilahun Muche, Z.; Behaile, T.M.A.; Mengie Ayele, T.; Mekonnen Agidew, M.; Teshome Azezew, M.; Abebe Zewde, E.; Asmamaw Dejenie, T.; Asmamaw Mengstie, M. The structure, biosynthesis, and biological roles of fetuin-a: A review. Front. Cell Dev. Biol. 2022, 10, 945287. [Google Scholar] [CrossRef] [PubMed]
- Trepanowski, J.F.; Mey, J.; Varady, K.A. Fetuin-a: A novel link between obesity and related complications. Int. J. Obes. 2015, 39, 734–741. [Google Scholar] [CrossRef] [PubMed]
- Inoue, K.; Wada, J.; Eguchi, J.; Nakatsuka, A.; Teshigawara, S.; Murakami, K.; Ogawa, D.; Terami, T.; Katayama, A.; Tone, A.; et al. Urinary fetuin-a is a novel marker for diabetic nephropathy in type 2 diabetes identified by lectin microarray. PLoS ONE 2013, 8, e77118. [Google Scholar] [CrossRef] [PubMed]
- Zhou, H.; Pisitkun, T.; Aponte, A.; Yuen, P.S.; Hoffert, J.D.; Yasuda, H.; Hu, X.; Chawla, L.; Shen, R.F.; Knepper, M.A.; et al. Exosomal fetuin-a identified by proteomics: A novel urinary biomarker for detecting acute kidney injury. Kidney Int. 2006, 70, 1847–1857. [Google Scholar] [CrossRef] [PubMed]
- Piazzon, N.; Bernet, F.; Guihard, L.; Leonhard, W.N.; Urfer, S.; Firsov, D.; Chehade, H.; Vogt, B.; Piergiovanni, S.; Peters, D.J.; et al. Urine fetuin-a is a biomarker of autosomal dominant polycystic kidney disease progression. J. Transl. Med. 2015, 13, 103. [Google Scholar] [CrossRef] [PubMed]
Disclaimer/Publisher’s Note: The statements, opinions and data contained in all publications are solely those of the individual author(s) and contributor(s) and not of MDPI and/or the editor(s). MDPI and/or the editor(s) disclaim responsibility for any injury to people or property resulting from any ideas, methods, instructions or products referred to in the content. |
© 2024 by the authors. Licensee MDPI, Basel, Switzerland. This article is an open access article distributed under the terms and conditions of the Creative Commons Attribution (CC BY) license (https://creativecommons.org/licenses/by/4.0/).

