Prevalence of Carcinogenic Genotypes of HPV-Infected Women in a Ten-Year Period (2014–2023) in Vojvodina, Serbia
Abstract
1. Introduction
- Group 1 (carcinogenic to humans, HR) includes HPV genotypes 16, 18, 31, 33, 35, 39, 45, 51, 52, 56, 58, and 59;
- Group 2A (probably carcinogenic) includes HPV genotype 68;
- Group 2B (potentially carcinogenic) includes HPV genotypes 26, 53, 66, 67, 70, 73, 82, 30, 34, 69, 85, and 97;
- Group 3 (low-risk, LR) includes HPV genotypes 6 and 11.
2. Materials and Methods
2.1. Study Subjects
2.2. HR HPV Detection and Genotyping
2.3. Statistical Analysis
3. Results
3.1. Overall HR HPV Infection Prevalence
3.2. Genotype-Specific Prevalence of HR HPV Infection


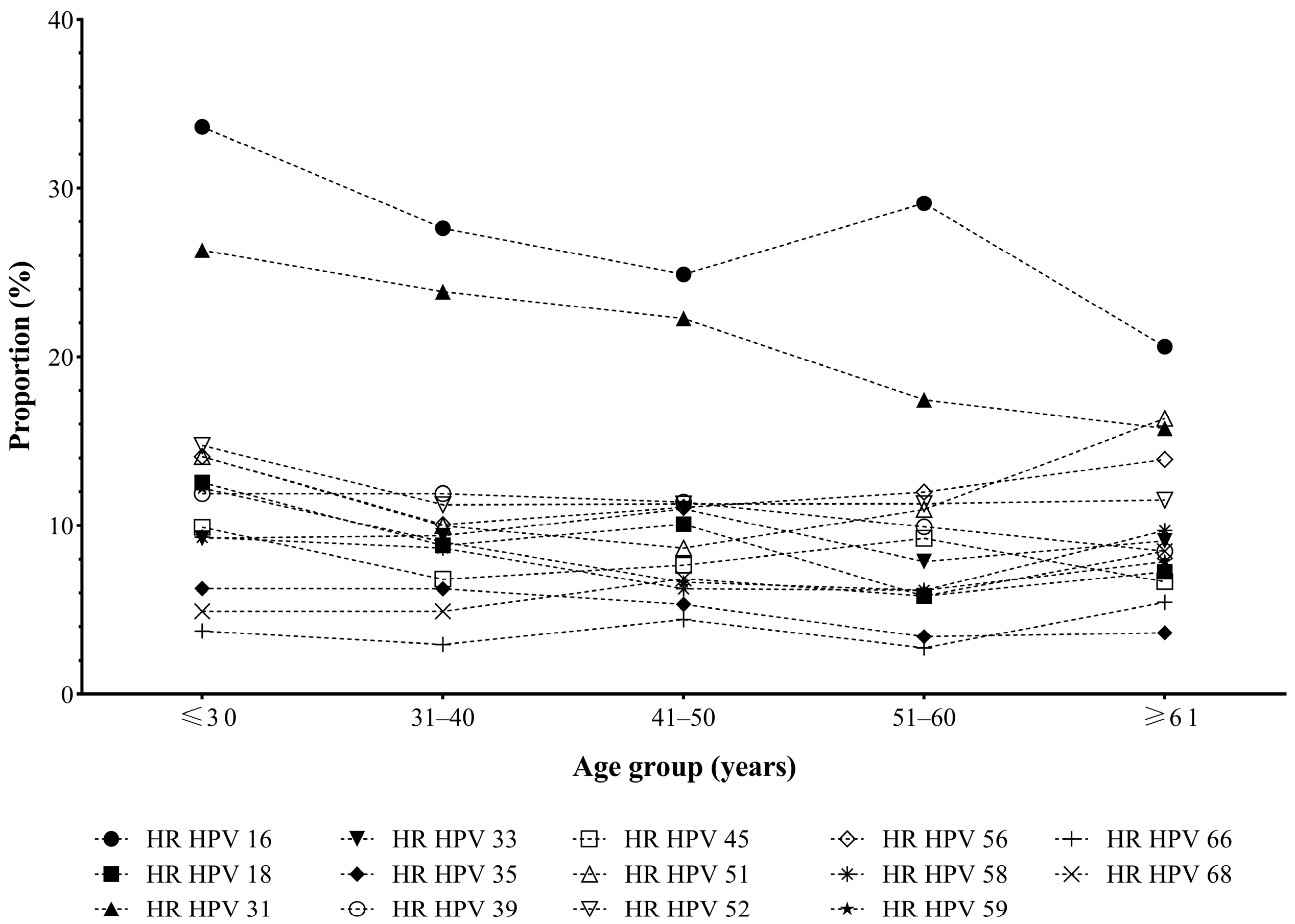
3.3. Age-Specific Prevalence of HR HPV Infection and Genotype Distribution
3.4. Cervical Cytology
4. Discussion
5. Conclusions
Supplementary Materials
Author Contributions
Funding
Institutional Review Board Statement
Informed Consent Statement
Data Availability Statement
Acknowledgments
Conflicts of Interest
References
- Mehta, K.; Laimins, L. High-Risk Human Papillomaviruses and DNA Repair. In Viruses and Human Cancer: From Basic Science to Clinical Prevention (Recent Results Cancer Research), 2nd ed.; Wu, T.-C., Chang, M.-H., Jeang, K.-T., Eds.; Springer Nature: Cham, Switzerland, 2021; pp. 141–155. [Google Scholar]
- Sung, H.; Ferlay, J.; Siegel, R.L.; Laversanne, M.; Soerjomataram, I.; Jemal, A.; Bray, F. Global Cancer Statistics 2020: GLOBOCAN Estimates of Incidence and Mortality Worldwide for 36 Cancers in 185 Countries. CA Cancer J. Clin. 2021, 71, 209–249. [Google Scholar] [CrossRef] [PubMed]
- Bruni, L.; Barrionuevo-Rosas, L.; Albero, G.; Aldea, M.; Serrano, B.; Valencia, S.; Brotons, M.; Mena, M.; Cosano, R.; Muñoz, J.; et al. Human Papillomavirus and Related Diseases in the World; ICO/IARC Inf Cent HPV Cancer (HPV Inf Centre): Barcelona, Spain, 2023. [Google Scholar]
- IARC Working Group. Human Papillomaviruses. In Biological Agents: A Review of Human Carcinogens; International Agency for Research on Cancer: Lyon, France, 2012; Volume 100 B, pp. 255–313. [Google Scholar] [CrossRef]
- National Institutes of Health NCI. Gardasil 9 Vaccine Protects against Additional HPV Types. 2015. Available online: https://www.cancer.gov/types/cervical/research/gardasil9-prevents-more-hpv-types (accessed on 15 December 2023).
- Kombe, A.J.K.; Li, B.; Zahid, A.; Mengist, H.M.; Bounda, G.-A.; Zhou, Y.; Jin, T. Epidemiology and Burden of Human Papillomavirus and Related Diseases, Molecular Pathogenesis, and Vaccine Evaluation. Front. Public Health 2021, 8, 552028. [Google Scholar] [CrossRef] [PubMed]
- Adebamowo, S.N.; Olawande, O.; Famooto, A.; Dareng, E.O.; Offiong, R.; Adebamowo, C.A.; H3Africa ACCME Research Group. Persistent Low-Risk and High-Risk Human Papillomavirus Infections of the Uterine Cervix in HIV-Negative and HIV-Positive Women. Front. Public Health 2017, 5, 271323. [Google Scholar] [CrossRef] [PubMed]
- Shanmugasundaram, S.; You, J. Targeting persistent human papillomavirus infection. Viruses 2017, 9, 229. [Google Scholar] [CrossRef]
- Schiffman, M.; Doorbar, J.; Wentzensen, N.; de Sanjosé, S.; Fakhry, C.; Monk, B.J.; Stanley, M.A.; Franceschi, S. Carcinogenic human papillomavirus infection. Nat. Rev. Dis. Primers 2016, 2, 16086. [Google Scholar] [CrossRef] [PubMed]
- Della Fera, A.N.; Warburton, A.; Coursey, T.L.; Khurana, S.; McBride, A.A. Persistent human papillomavirus infection. Viruses 2021, 13, 321. [Google Scholar] [CrossRef] [PubMed]
- Cheng, L.; Wang, Y.; Du, J. Human papillomavirus vaccines: An updated review. Vaccines 2020, 8, 391. [Google Scholar] [CrossRef] [PubMed]
- WHO. Weekly epidemiological record: Human papillomavirus vaccines: WHO position paper (2022 Update). Wkly. Epidemiol. Rec. 2022, 97, 645672. [Google Scholar]
- Horn, J.; Denecke, A.; Luyten, A.; Rothe, B.; Reinecke-Lüthge, A.; Mikolajczyk, R.; Petry, K.U. Reduction of cervical cancer incidence within a primary HPV screening pilot project (WOLPHSCREEN) in Wolfsburg, Germany. Br. J. Cancer 2019, 120, 1015–1022. [Google Scholar] [CrossRef]
- Chrysostomou, A.C.; Stylianou, D.C.; Constantinidou, A.; Kostrikis, L.G. Cervical cancer screening programs in Europe: The transition towards HPV vaccination and population-based HPV testing. Viruses 2018, 10, 729. [Google Scholar] [CrossRef]
- Ministry of Health of the Republic Serbia. Zakon o Zaštiti Stanovništva od Zaraznih Bolesti: 15/2016-31, 68/2020-4, 136/2020-3. 2020. Available online: https://pravno-informacioni-sistem.rs/SlGlasnikPortal/eli/rep/sgrs/skupstina/zakon/2016/15/8/reg (accessed on 15 March 2024).
- Bruni, L.; Barrionuevo-Rosas, L.; Albero, G.; Serrano, B.; Mena, M.; Gómez, D.; Muñoz, J.; Bosch, F.X.; De Sanjosé, S. Human Papillomavirus and Related Diseases Report in Serbia; ICO/IARC Inf Cent HPV Cancer (HPV Inf Centre): Barcelona, Spain, 2023. [Google Scholar]
- Nayar, R.; Wilbur, D.C. The Bethesda System for Reporting Cervical Cytology: Definitions, Criteria, and Explanatory Notes, 3rd ed.; Springer International Publishing: Cham, Switzerland, 2015. [Google Scholar] [CrossRef]
- Nikolic, N.; Basica, B.; Mandic, A.; Surla, N.; Gusman, V.; Medic, D.; Petrovic, T.; Strbac, M.; Petrovic, V. E6/E7 mRNA Expression of the Most Prevalent High-Risk HPV Genotypes in Cervical Samples from Serbian Women. Diagnostics 2023, 13, 917. [Google Scholar] [CrossRef] [PubMed]
- Sabol, I.; Milutin Gašperov, N.; Matovina, M.; Božinović, K.; Grubišić, G.; Fistonić, I.; Belci, D.; Alemany, L.; Džebro, S.; Dominis, M.; et al. Cervical HPV type-specific pre-vaccination prevalence and age distribution in Croatia. PLoS ONE 2017, 12, e0180480. [Google Scholar] [CrossRef] [PubMed]
- Kovacevic, G.; Jovanovic-Galovic, A.; Petrovic, V.; Vinarz, Z.; Marinkovic, G.; Brasanac, B.; Milosevic, V. Human papillomavirus infection prevalence in female university students in Novi Sad, Serbia. Srp. Arh. Celok. Lek. 2016, 144, 300–306. [Google Scholar] [CrossRef]
- Kovacevic, G.; Milosevic, V.; Nikolic, N.; Patic, A.; Dopudj, N.; Radovanov, J.; Cvjetkovic, I.H.; Petrovic, V.; Petrovic, M. The prevalence of 30 HPV genotypes detected by EUROArray HPV in cervical samples among unvaccinated women from Vojvodina province, Serbia. PLoS ONE 2021, 16, e0249134. [Google Scholar] [CrossRef] [PubMed]
- Nikolic, N.; Strbac, M.; Dopudj, N.; Basica, B.; Mioljub, R.; Petrovic, V. Prevalence and genotype distribution of high-risk HPV infection in ten year period in Vojvodina, Serbia. In Proceedings of the EUROGIN 2022—International Multidisciplinary HPV Congress, Düsseldorf, Germany, 10–12 April 2022; p. 49, #3413. [Google Scholar]
- Schettino, M.T.; De Franciscis, P.; Schiattarella, A.; La Manna, V.; Della Gala, A.; Caprio, F.; Tammaro, C.; Ammaturo, F.P.; Guler, T.; Yenigün, E.H. Prevalence of HPV Genotypes in South Europe: Comparisons between an Italian and a Turkish Unvaccinated Population. J. Environ. Public Health 2019, 2019, 8769735. [Google Scholar] [CrossRef] [PubMed]
- Lopicic, M.; Raonic, J.; Antunovic, M.; Milicic, B.; Mijovic, G. Distribution of vaccine-related high-risk human papillomaviruses and their impact on the development of cervical dysplasia in women in Montenegro. Acta Microbiol. Immunol. Hung. 2021, 68, 297–303. [Google Scholar] [CrossRef] [PubMed]
- Ursu, R.G.; Onofriescu, M.; Nemescu, D.; Iancu, L.S. HPV prevalence and type distribution in women with or without cervical lesions in the Northeast region of Romania. Virol. J. 2011, 8, 558. [Google Scholar] [CrossRef]
- Suteu, O.; Blaga, M.L.; Nygard, M.; Leinonen, M.K.; Nicula, F.; Pais, R.; Coza, D.; Cadariu, P.A.; Melnic, A.; Andreassen, T.; et al. Prevalence of positive screening test results and agreement between cytology and human papillomavirus testing in primary cervical cancer screening in North-Western Romania. Eur. J. Cancer Prev. 2020, 29, 141–148. [Google Scholar] [CrossRef]
- Argyri, E.; Tsimplaki, E.; Papatheodorou, D.; Daskalopoulou, D.; Panotopoulou, E. Recent trends in HPV infection and type distribution in Greece. Anticancer Res. 2018, 38, 3079–3084. [Google Scholar] [CrossRef]
- Kovachev, S.; Slavov, V. Prevalence of human papillomavirus infection in women in Bulgaria: A 2017 update. J. Med. Virol. 2018, 90, 1142–1149. [Google Scholar] [CrossRef]
- Dabeski, D.; Dabeski, A.; Antovska, V.; Trajanova, M.; Todorovska, I.; Sima, A. Human papillomavirus infections in women with and without squamous cell abnormalities of the uterine cervix. Scr. Med. 2019, 50, 69–76. [Google Scholar] [CrossRef]
- Baba, S.; Taguchi, A.; Kawata, A.; Hara, K.; Eguchi, S.; Mori, M.; Adachi, K.; Mori, S.; Iwata, T.; Mitsuhashi, A.; et al. Differential expression of human papillomavirus 16-, 18-, 52-, and 58-derived transcripts in cervical intraepithelial neoplasia. Virol. J. 2020, 17, 32. [Google Scholar] [CrossRef] [PubMed]
- Salimović-Bešić, I.; Hukić, M. Potential coverage of circulating HPV types by current and developing vaccines in a group of women in Bosnia and Herzegovina with abnormal Pap smears. Epidemiol. Infect. 2015, 143, 2604–2612. [Google Scholar] [CrossRef] [PubMed]
- Baddal, B.; Oktay, M.N.; Bostanci, A.; Yenen, M.C. Prevalence and genotype screening of human papillomavirus among women attending a private hospital in Northern Cyprus: An 11-year retrospective study. BMC Womens Health 2023, 23, 297. [Google Scholar] [CrossRef] [PubMed]
- Kim, J.; Kim, B.K.; Jeon, D.; Lee, C.H.; Roh, J.-W.; Kim, J.-Y.; Park, S.-Y. Type-specific viral load and physical state of HPV Type 16, 18, and 58 as diagnostic biomarkers for high-grade squamous intraepithelial lesions or cervical cancer. Cancer Res. Treat. 2020, 52, 396–405. [Google Scholar] [CrossRef] [PubMed]
- Učakar, V.; Poljak, M.; Klavs, I. Pre-vaccination prevalence and distribution of high-risk human papillomavirus (HPV) types in Slovenian women: A cervical cancer screening based study. Vaccine 2012, 30, 116–120. [Google Scholar] [CrossRef] [PubMed]
- Bruni, L.; Diaz, M.; Castellsagué, X.; Ferrer, E.; Bosch, F.X.; De Sanjosé, S. Cervical human papillomavirus prevalence in 5 continents: Meta-analysis of 1 million women with normal cytological findings. J. Infect. Dis. 2010, 202, 1789–1799. [Google Scholar] [CrossRef] [PubMed]
- Bowden, S.J.; Fiander, A.N.; Hibbitts, S. HPV 51: A candidate for type-replacement following vaccination? MedRxiv 2021, 195, 1–24. [Google Scholar]
- Yuce, K.; Pinar, A.; Salman, M.C.; Alp, A.; Sayal, B.; Dogan, S.; Hascelik, G. Detection and genotyping of cervical HPV with simultaneous cervical cytology in Turkish women: A hospital-based study. Arch. Gynecol. Obstet. 2012, 286, 203–208. [Google Scholar] [CrossRef]
- Mollers, M.; Hein, J.B.; Henrike, J.V.; Audrey, J.K.; Ingrid, V.v.D.B.; Jan, E.v.B.; Antoinette, A.B.; Petra, F.W.; Christian, J.H.; Chris, J.M.; et al. Prevalence, incidence and persistence of genital HPV infections in a large cohort of sexually active young women in the Netherlands. Vaccine 2013, 31, 394–401. [Google Scholar] [CrossRef]
- Senkomago, V.; Jane Henley, S.; Thomas, C.C.; Mix, J.M.; Markowitz, L.E.; Saraiya, M. Morbidity and Mortality Weekly Report Human Papillomavirus-Attributable Cancers-United States, 2012–2016. Morb. Mortal. Wkly. Rep. 2019, 68, 724–728. [Google Scholar] [CrossRef] [PubMed]
- Bruno, M.T.; Scalia, G.; Cassaro, N.; Boemi, S. Multiple HPV 16 infection with two strains: A possible marker of neoplastic progression. BMC Cancer 2020, 20, 444. [Google Scholar] [CrossRef]
- Hajia, M.; Sohrabi, A. Possible synergistic interactions among multiple HPV genotypes in women suffering from Genital Neoplasia. Asian Pac. J. Cancer Prev. 2018, 19, 785–789. [Google Scholar] [CrossRef] [PubMed]
- Chaturvedi, A.K.; Katki, H.A.; Hildesheim, A.; Rodríguez, A.C.; Quint, W.; Schiffman, M.; Van Doorn, L.-J.; Porras, C.; Wacholder, S.; Gonzalez, P.; et al. Human papillomavirus infection with multiple types: Pattern of coinfection and risk of cervical disease. J. Infect. Dis. 2011, 203, 910–920. [Google Scholar] [CrossRef]
- Toliman, P.J. Innovative Approaches for Cervical Cancer Screening in Papua New Guinea: Evaluation of Novel Point-of-Care Test and Treat Algorithms in a High-Burden Setting. Ph.D. Thesis, University of New South Wales, Sydney, Australia, 2020. [Google Scholar]
- Kovacevic, G.; Nikolic, N.; Jovanovic-Galovic, A.; Hrnjakovic-Cvjetkovic, I.; Vuleta, D.; Patic, A.; Radovanov, J.; Milosevic, V. Frequency of twelve carcinogenic human papilloma virus types among women from the South Backa region, Vojvodina, Serbia. Turk. J. Med. Sci. 2016, 46, 97–104. [Google Scholar] [CrossRef]
- Zhang, W.; Guo, N.; Li, B.; Shang, E.; Wang, J.; Zhang, M.; Yang, X. Prevalence and genotype distribution of human papillomavirus infections in Beijing, China between 2016 and 2020. Virol. J. 2023, 20, 11. [Google Scholar] [CrossRef]
- Liu, M.; Zhang, X.; Guo, L.; Sun, W.; Jiang, X. HPV prevalence and genotype distribution among 38 056 women in Weifang, China: A cross-sectional study. BMJ Open 2023, 13, e073332. [Google Scholar] [CrossRef] [PubMed]
- Loopik, D.L.; IntHout, J.; Ebisch, R.M.; Melchers, W.J.; Massuger, L.F.; Siebers, A.G.; Bekkers, R.L. The risk of cervical cancer after cervical intraepithelial neoplasia grade 3: A population-based cohort study with 80,442 women. Gynecol. Oncol. 2020, 157, 195–201. [Google Scholar] [CrossRef]
- Goldstone, S.E. Human papillomavirus (HPV) vaccines in adults: Learnings from long-term follow-up of quadrivalent HPV vaccine clinical trials. Hum. Vaccines Immunother. 2023, 19, 2184760. [Google Scholar] [CrossRef]
- World Health Organization (WHO). Human Papillomavirus (HPV) Vaccination Coverage. Available online: https://who-wiise-frontend-prod.azurewebsites.net/pages/coverage/hpv.html (accessed on 9 January 2024).
- World Health Organization (WHO). Ten Threats to Global Health in 2019. Vaccine Hesitancy 2019. Available online: https://www.who.int/news-room/spotlight/ten-threats-to-global-health-in-2019 (accessed on 8 January 2024).
- Naoum, P.; Athanasakis, K.; Zavras, D.; Kyriopoulos, J.; Pavi, E. Knowledge, Perceptions and Attitudes Toward HPV Vaccination: A Survey on Parents of Girls Aged 11–18 Years Old in Greece. Front. Glob. Womens Health 2022, 3, 871090. [Google Scholar] [CrossRef]
- Štrbac, M.; Vuković, V.; Pustahija, T.; Nikolić, N.; Rajčević, S.; Ilić, S.; Dugandžija, T.; Patić, A.; Ristić, M.; Petrović, V. Motives and attitudes of parents toward HPV vaccination: Results from the initial period of HPV vaccine rollout in Serbia. PLoS ONE 2023, 18, e0287295. [Google Scholar] [CrossRef]
- Vadaparampil, S.T.; Malo, T.L.; Kahn, J.A.; Salmon, D.A.; Lee, J.-H.; Quinn, G.P.; Roetzheim, R.G.; Bruder, K.L.; Proveaux, T.M.; Zhao, X.; et al. Physicians’ human papillomavirus vaccine recommendations, 2009 and 2011. Am. J. Prev. Med. 2014, 46, 80–84. [Google Scholar] [CrossRef]



| HR HPV Genotypes | Double Infection | ||
|---|---|---|---|
| n | % | % of All Infected Women | |
| HPV 16, HPV 31 | 82 | 7.9 (82/1040) | 1.9 (82/4356) |
| HPV 16, HPV 39 | 36 | 3.5 (35/1040) | 0.8 (36/4356) |
| HPV 31, HPV 52 | 32 | 3.1 (32/1040) | 0.7 (32/4356) |
| HPV 16, HPV 56 | 31 | 3.0 (31/1040) | 0.7 (31/4356) |
| HPV 31, HPV 39 | 30 | 2.9 (30/1040) | 0.7 (30/4356) |
| HPV 18, HPV 39 | 28 | 2.7 (28/1040) | 0.6 (28/4356) |
| HPV 16, HPV 52 | 26 | 2.5 (26/1040) | 0.6 (26/4356) |
| HPV 16, HPV 51 | 25 | 2.4 (25/1040) | 0.6 (25/4356) |
| HPV 16, HPV 18 | 24 | 2.3 (24/1040) | 0.6 (24/4356) |
| HPV 16, HPV 59 | 24 | 2.3 (24/1040) | 0.6 (24/4356) |
| HPV 18, HPV 31 | 24 | 2.3 (24/1040) | 0.6 (24/4356) |
| HPV 31, HPV 56 | 23 | 2.2 (23/1040) | 0.5 (23/4356) |
| Other double infections: | 655 | 63.0 (655/1040) | 15 (655/4356) |
| Total: | 1040 | 100 (1040/1040) | 23.9 (1040/4356) |
| HR HPV-Positive Women * | n (%) |
|---|---|
| Cytology | |
| NILM | 348 (34.3) |
| ASCUS | 422 (41.5) |
| LSIL | 161 (15.8) |
| HSIL | 85 (8.4) |
| Total | 1016 (100) |
| Age | |
| ≤30 | 327 (32.2) |
| 31–40 | 289 (28.4) |
| 41–50 | 274 (27.0) |
| 51–60 | 70 (6.9) |
| ≥61 | 56 (5.5) |
| Mean age (years, SD)) | 37.7 (12.1) |
| HR HPV Infection | NILM | ASCUS | LSIL | HSIL | χ2 | p |
|---|---|---|---|---|---|---|
| n (%) | n (%) | n (%) | n (%) | |||
| Single | 232 (66.7) | 253 (60.0) | 80 (49.7) | 65 (76.5) | 21.880 | 0.000 *** |
| Multiple | 116 (33.3) | 169 (40.0) | 81 (50.3) | 20 (23.5) | ||
| Total | 348 (100) | 422 (100) | 161 (100) | 85 (100) |
| HR HPV | Cytology | χ2 | p | ||||
|---|---|---|---|---|---|---|---|
| NILM | ASCUS | LSIL | HSIL | ||||
| n (%) | n (%) | n (%) | n (%) | ||||
| HPV 16 | + | 83 (23.9) | 136 (32.2) | 51 (31.7) | 49 (57.6) | 36.530 | 0.000 *** |
| − | 265 (76.1) | 286 (67.8) | 110 (68.3) | 36 (42.4) | |||
| HPV 18 | + | 42 (12.1) | 34 (8.1) | 21 (13.0) | 8 (9.4) | 4.845 | 0.184 |
| − | 306 (87.9) | 388 (91.9) | 140 (87.0) | 77 (90.6) | |||
| HPV 31 | + | 64 (18.4) | 94 (22.3) | 43 (26.7) | 8 (9.4) | 11.950 | 0.008 ** |
| − | 284 (81.6) | 328 (77.7) | 118 (73.3) | 77 (90.6) | |||
| HPV 33 | + | 25 (7.2) | 49 (11.6) | 12 (7.5) | 9 (10.6) | 5.309 | 0.151 |
| − | 323 (92.8) | 373 (88.4) | 149 (92.5) | 76 (89.4) | |||
| HPV 35 | + | 13 (3.7) | 30 (7.1) | 12 (7.5) | 3 (3.5) | 5.715 | 0.126 |
| − | 335 (96.3) | 392 (92.9) | 149 (92.5) | 82 (96.5) | |||
| HPV 39 | + | 24 (6.9) | 39 (9.2) | 15 (9.3) | 4 (4.7) | 3.061 | 0.382 |
| − | 324 (93.1) | 383 (90.8) | 146 (90.7) | 81 (95.3) | |||
| HPV 45 | + | 26 (7.5) | 31 (7.3) | 12 (7.5) | 4 (4.7) | 0.860 | 0.835 |
| − | 322 (92.5) | 391 (92.7) | 149 (92.5) | 81 (95.3) | |||
| HPV 51 | + | 42 (12.1) | 53 (12.6) | 24 (14.9) | 8 (9.4) | 1.654 | 0.647 |
| − | 306 (87.9) | 369 (87.4) | 137 (85.1) | 77 (90.6) | |||
| HPV 52 | + | 39 (11.2) | 61 (14.5) | 15 (9.3) | 7 (8.2) | 4.851 | 0.183 |
| − | 309 (88.8) | 361 (85.5) | 146 (90.7) | 78 (91.8) | |||
| HPV 56 | + | 34 (9.8) | 50 (11.8) | 30 (18.6) | 7 (8.2) | 9.552 | 0.023 * |
| − | 314 (90.2) | 372 (88.2) | 131 (81.4) | 78 (91.8) | |||
| HPV 58 | + | 26 (7.5) | 30 (7.1) | 14 (8.7) | 3 (3.5) | 2.301 | 0.512 |
| − | 322 (92.5) | 392 (92.9) | 147 (91.3) | 82 (96.5) | |||
| HPV 59 | + | 40 (11.5) | 37 (8.8) | 18 (11.2) | 1 (1.2) | 9.293 | 0.026 * |
| − | 308 (88.5) | 385 (91.2) | 143 (88.8) | 84 (98.8) | |||
| HPV 66 | + | 37 (10.6) | 24 (5.7) | 23 (14.3) | 5 (5.9) | 13.540 | 0.004 ** |
| − | 311 (89.4) | 398 (94.3) | 138 (85.7) | 80 (94.1) | |||
| HPV 68 | + | 50 (14.4) | 56 (13.3) | 16 (9.9) | 1 (1.2) | 12.460 | 0.006 ** |
| − | 298 (85.6) | 366 (86.7) | 145 (90.1) | 84 (98.8) | |||
| Total | 348 (100) | 422 (100) | 161 (100) | 85 (100) | |||
| Cytology | Age Group (Years) | Total n (%) | χ2 | p | Mean Age (Years, (SD)) | F | p | ||||
|---|---|---|---|---|---|---|---|---|---|---|---|
| ≤30 | 31–40 | 41–50 | 51–60 | ≥61 | |||||||
| n (%) | n (%) | n (%) | n (%) | n (%) | |||||||
| NILM | 125 (38.2) | 94 (32.5) | 94 (34.3) | 17 (24.3) | 18 (32.1) | 348 (34.3) | 31.98 | 0.001 ** | 36.6 (11.9) | 5.583 | 0.000 *** |
| ASCUS | 130 (39.8) | 118 (40.8) | 121 (44.2) | 31 (44.3) | 22 (39.3) | 422 (41.5) | 38.1 (11.8) | 0.014 * | |||
| LSIL | 55 (16.8) | 45 (15.6) | 46 (16.8) | 9 (12.9) | 6 (10.7) | 161 (15.8) | 36.5 (11.6) | 0.001 ** | |||
| HSIL | 17 (5.2) | 32 (11.1) | 13 (4.7) | 13 (18.6) | 10 (17.9) | 85 (8.4) | 42.2 (14.4) | - | |||
| Total | 327 (32.2) | 289 (28.4) | 274 (27.0) | 70 (6.9) | 56 (5.5) | 1016 (100) | |||||
Disclaimer/Publisher’s Note: The statements, opinions and data contained in all publications are solely those of the individual author(s) and contributor(s) and not of MDPI and/or the editor(s). MDPI and/or the editor(s) disclaim responsibility for any injury to people or property resulting from any ideas, methods, instructions or products referred to in the content. |
© 2024 by the authors. Licensee MDPI, Basel, Switzerland. This article is an open access article distributed under the terms and conditions of the Creative Commons Attribution (CC BY) license (https://creativecommons.org/licenses/by/4.0/).
Share and Cite
Nikolic, N.; Basica, B.; Strbac, M.; Terzic, L.; Patic, A.; Kovacevic, G.; Velicki, R.; Petrovic, D.; Mandic, A.; Petrovic, V. Prevalence of Carcinogenic Genotypes of HPV-Infected Women in a Ten-Year Period (2014–2023) in Vojvodina, Serbia. Medicina 2024, 60, 922. https://doi.org/10.3390/medicina60060922
Nikolic N, Basica B, Strbac M, Terzic L, Patic A, Kovacevic G, Velicki R, Petrovic D, Mandic A, Petrovic V. Prevalence of Carcinogenic Genotypes of HPV-Infected Women in a Ten-Year Period (2014–2023) in Vojvodina, Serbia. Medicina. 2024; 60(6):922. https://doi.org/10.3390/medicina60060922
Chicago/Turabian StyleNikolic, Natasa, Branka Basica, Mirjana Strbac, Lidija Terzic, Aleksandra Patic, Gordana Kovacevic, Radmila Velicki, Dusan Petrovic, Aljosa Mandic, and Vladimir Petrovic. 2024. "Prevalence of Carcinogenic Genotypes of HPV-Infected Women in a Ten-Year Period (2014–2023) in Vojvodina, Serbia" Medicina 60, no. 6: 922. https://doi.org/10.3390/medicina60060922
APA StyleNikolic, N., Basica, B., Strbac, M., Terzic, L., Patic, A., Kovacevic, G., Velicki, R., Petrovic, D., Mandic, A., & Petrovic, V. (2024). Prevalence of Carcinogenic Genotypes of HPV-Infected Women in a Ten-Year Period (2014–2023) in Vojvodina, Serbia. Medicina, 60(6), 922. https://doi.org/10.3390/medicina60060922

