Relationship between Lesion Parameters after Radiofrequency Catheter Ablation in Striated Muscles and Parenchymal Tissue
Abstract
1. Introduction
2. Materials and Methods
2.1. Animals
2.2. Radiofrequency Ablation Procedure
2.3. Histological Analysis
2.4. Mathematical Analysis
2.5. Statistical Analysis
3. Results
3.1. Comparison of the Lesion Groups in Different Tissue Types
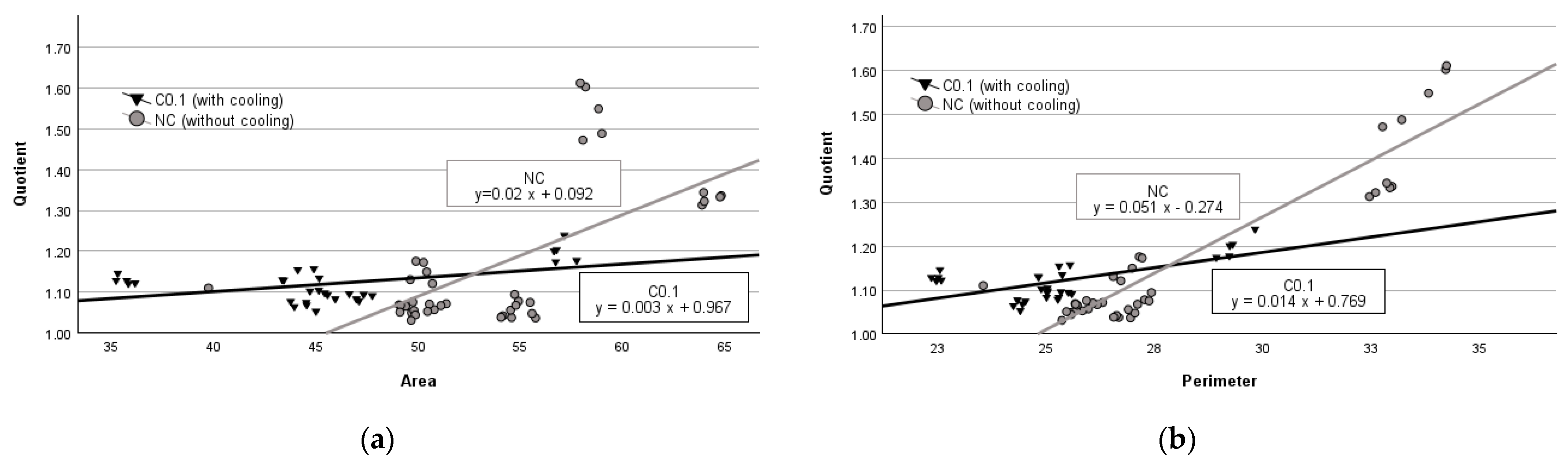
3.2. Correlation between the Lesion Groups in Different Tissue Types
3.3. The Regression Analysis in the Lesion Groups of Different Tissue Types
4. Discussion
5. Conclusions
Author Contributions
Funding
Institutional Review Board Statement
Informed Consent Statement
Data Availability Statement
Acknowledgments
Conflicts of Interest
References
- Habibi, M.; Berger, R.D.; Calkins, H. Radiofrequency Ablation: Technological Trends, Challenges, and Opportunities. Europace 2021, 23, 511–519. [Google Scholar] [CrossRef] [PubMed]
- Mansur, A.; Garg, T.; Shrigiriwar, A.; Etezadi, V.; Georgiades, C.; Habibollahi, P.; Huber, T.C.; Camacho, J.C.; Nour, S.G.; Sag, A.A.; et al. Image-Guided Percutaneous Ablation for Primary and Metastatic Tumors. Diagnostics 2022, 12, 1300. [Google Scholar] [CrossRef]
- García-Touchard, A.; Maranillo, E.; Mompeo, B.; Sañudo, J.R. Microdissection of the Human Renal Nervous System: Implications for Performing Renal Denervation Procedures. Hypertension 2020, 76, 1240–1246. [Google Scholar] [CrossRef] [PubMed]
- Nattel, S. New Ideas about Atrial Fibrillation 50 Years On. Nature 2002, 415, 219–226. [Google Scholar] [CrossRef] [PubMed]
- Chugh, S.S.; Havmoeller, R.; Narayanan, K.; Singh, D.; Rienstra, M.; Benjamin, E.J.; Gillum, R.F.; Kim, Y.-H.; McAnulty, J.H., Jr.; Zheng, Z.-J.; et al. Worldwide Epidemiology of Atrial Fibrillation: A Global Burden of Disease 2010 Study. Circulation 2014, 129, 837–847. [Google Scholar] [CrossRef] [PubMed]
- Lloyd-Jones, D.M.; Wang, T.J.; Leip, E.P.; Larson, M.G.; Levy, D.; Vasan, R.S.; D’Agostino, R.B.; Massaro, J.M.; Beiser, A.; Wolf, P.A.; et al. Lifetime Risk for Development of Atrial Fibrillation: The Framingham Heart Study. Circulation 2004, 110, 1042–1046. [Google Scholar] [CrossRef] [PubMed]
- Thijssen, V.L.J.L.; Ausma, J.; Liu, G.S.; Allessie, M.A.; van Eys, G.J.J.M.; Borgers, M. Structural Changes of Atrial Myocardium during Chronic Atrial Fibrillation. Cardiovasc. Pathol. 2000, 9, 17–28. [Google Scholar] [CrossRef] [PubMed]
- Wang, L.; Lu, B.; He, M.; Wang, Y.; Wang, Z.; Du, L. Prostate Cancer Incidence and Mortality: Global Status and Temporal Trends in 89 Countries from 2000 to 2019. Front. Public Health 2022, 10, 811044. [Google Scholar] [CrossRef] [PubMed]
- Horner, M.J.; Ries, L.A.; Krapcho, M.; Neyman, N.; Aminou, R.; Howlader, N.; Altekruse, S.F.; Feuer, E.J.; Huang, L.; Mariotto, A.; et al. (Eds.) SEER Cancer Statistics Review, 1975–2006; National Cancer Institute: Bethesda, MD, USA, 2009. Available online: https://seer.cancer.gov/csr/1975_2006/ (accessed on 8 April 2024).
- Weiss, C.; Stewart, M.; Franzen, O.; Rostock, T.; Becker, J.; Skarda, J.R.; Meinertz, T.; Willems, S. Transmembraneous Irrigation of Multipolar Radiofrequency Ablation Catheters: Induction of Linear Lesions Encircling the Pulmonary Vein Ostium without the Risk of Coagulum Formation? J. Interv. Card. Electrophysiol. 2004, 10, 199–209. [Google Scholar] [CrossRef]
- Story, B.D.; Miller, M.E.; Bradbury, A.M.; Million, E.D.; Duan, D.; Taghian, T.; Faissler, D.; Fernau, D.; Beecy, S.J.; Gray-Edwards, H.L. Canine Models of Inherited Musculoskeletal and Neurodegenerative Diseases. Front. Vet. Sci. 2020, 7, 80. [Google Scholar] [CrossRef]
- Flores Dueñas, C.A.; Cordero Yañez, I.A.; González, R.M.; Herrera Ramírez, J.C.; Montaño Gómez, M.F.; Gaxiola Camacho, S.M.; García Reynoso, I.C. Translational Echocardiography: The Dog as a Clinical Research Model of Cardiac Dysfunction. Appl. Sci. 2023, 13, 4437. [Google Scholar] [CrossRef]
- Chow, L.; Wheat, W.; Ramirez, D.; Impastato, R.; Dow, S. Direct Comparison of Canine and Human Immune Responses Using Transcriptomic and Functional Analyses. Sci. Rep. 2024, 14, 0027. [Google Scholar] [CrossRef]
- Yokoyama, K.; Nakagawa, H.; Wittkampf, F.H.M.; Pitha, J.V.; Lazzara, R.; Jackman, W.M. Comparison of Electrode Cooling between Internal and Open Irrigation in Radiofrequency Ablation Lesion Depth and Incidence of Thrombus and Steam Pop. Circulation 2006, 113, 11–19. [Google Scholar] [CrossRef]
- Nakagawa, H.; Yamanashi, W.S.; Pitha, J.V.; Arruda, M.; Wang, X.; Ohtomo, K.; Beckman, K.J.; McClelland, J.H.; Lazzara, R.; Jackman, W.M. Comparison of in Vivo Tissue Temperature Profile and Lesion Geometry for Radiofrequency Ablation with a Saline-Irrigated Electrode versus Temperature Control in a Canine Thigh Muscle Preparation. Circulation 1995, 91, 2264–2273. [Google Scholar] [CrossRef]
- Nakagawa, H.; Wittkampf, F.H.M.; Yamanashi, W.S.; Pitha, J.V.; Imai, S.; Campbell, B.; Arruda, M.; Lazzara, R.; Jackman, W.M. Inverse Relationship between Electrode Size and Lesion Size during Radiofrequency Ablation with Active Electrode Cooling. Circulation 1998, 98, 458–465. [Google Scholar] [CrossRef]
- Skaudickas, D.; Vaitiekaitis, G.; Liobikas, J.; Gružienė, A.; Abras, M.; Gersone, G.; Vitkus, A.; Kerzienė, S.; Undžytė, G.; Veikutis, V.; et al. Analysis of Morphological and Morphometric Changes in a Parenchymal Tissue after the Radiofrequency Ablation Procedure. Medicina 2023, 59, 702. [Google Scholar] [CrossRef]
- Vaitiekaitis, G.; Vitkus, A.; Noreika, A.; Balnytė, I.; Pockevičius, A.; Balčiūnienė, N.; Liobikas, J.; Baniulis, D.; Gružienė, A. Radiofrequency ablation with two sodium chloride concentrations cooling solutions and its influence on dog thigh muscle tissue damage character and size. Vet. Med. Zoot 2012, 60, 84–91. [Google Scholar]
- Ahmed, M.; Liu, Z.; Humphries, S.; Nahum Goldberg, S. Computer Modeling of the Combined Effects of Perfusion, Electrical Conductivity, and Thermal Conductivity on Tissue Heating Patterns in Radiofrequency Tumor Ablation. Int. J. Hyperth. 2008, 24, 577–588. [Google Scholar] [CrossRef]
- Sakakura, K.; Ladich, E.; Fuimaono, K.; Grunewald, D.; O’Fallon, P.; Spognardi, A.-M.; Markham, P.; Otsuka, F.; Yahagi, K.; Shen, K.; et al. Comparison of Renal Artery, Soft Tissue, and Nerve Damage after Irrigated versus Nonirrigated Radiofrequency Ablation. Circ. Cardiovasc. Interv. 2015, 8. [Google Scholar] [CrossRef]
- Sakaoka, A.; Terao, H.; Nakamura, S.; Hagiwara, H.; Furukawa, T.; Matsumura, K.; Sakakura, K. Accurate Depth of Radiofrequency-Induced Lesions in Renal Sympathetic Denervation Based on a Fine Histological Sectioning Approach in a Porcine Model. Circ. Cardiovasc. Interv. 2018, 11. [Google Scholar] [CrossRef] [PubMed]
- Fischer, A.H.; Jacobson, K.A.; Rose, J.; Zeller, R. Hematoxylin and Eosin Staining of Tissue and Cell Sections. Cold Spring Harb. Protoc. 2008, 2008, pdb.prot4986. [Google Scholar] [CrossRef]
- Bancroft, J.D.; Gamble, M. Theory and Practice of Histological Techniques, 6th ed.; Churchill Livingstone: Lond, UK; Elsevier: Beiging, China, 2008. [Google Scholar]
- Röhrig, B.; du Prel, J.-B.; Wachtlin, D.; Kwiecien, R.; Blettner, M. Sample Size Calculation in Clinical Trials. Dtsch. Arztebl. Int. 2010, 107, 552–556. [Google Scholar] [CrossRef] [PubMed]
- Matsui, Y.; Nakagawa, A.; Kamiyama, Y.; Yamamoto, K.; Kubo, N.; Nakase, Y. Selective Thermocoagulation of Unresectable Pancreatic Cancers by Using Radiofrequency Capacitive Heating. Pancreas 2000, 20, 14–20. [Google Scholar] [CrossRef] [PubMed]
- Cornelis, F.H.; Durack, J.C.; Kimm, S.Y.; Wimmer, T.; Coleman, J.A.; Solomon, S.B.; Srimathveeravalli, G. A Comparative Study of Ablation Boundary Sharpness after Percutaneous Radiofrequency, Cryo-, Microwave, and Irreversible Electroporation Ablation in Normal Swine Liver and Kidneys. Cardiovasc. Radiol. 2017, 40, 1600–1608. [Google Scholar] [CrossRef] [PubMed]
- Kim, Y.-S.; Rhim, H.; Cho, O.K.; Koh, B.H.; Kim, Y. Intrahepatic Recurrence after Percutaneous Radiofrequency Ablation of Hepatocellular Carcinoma: Analysis of the Pattern and Risk Factors. Eur. J. Radiol. 2006, 59, 432–441. [Google Scholar] [CrossRef]
- Goldberg, S.N.; Hahn, P.F.; Tanabe, K.K.; Mueller, P.R.; Schima, W.; Athanasoulis, C.A.; Compton, C.C.; Solbiati, L.; Gazelle, G.S. Percutaneous Radiofrequency Tissue Ablation: Does Perfusion-Mediated Tissue Cooling Limit Coagulation Necrosis? J. Vasc. Interv. Radiol. 1998, 9, 101–111. [Google Scholar] [CrossRef]
- Wang, X.; Sofocleous, C.T.; Erinjeri, J.P.; Petre, E.N.; Gonen, M.; Do, K.G.; Brown, K.T.; Covey, A.M.; Brody, L.A.; Alago, W.; et al. Margin Size Is an Independent Predictor of Local Tumor Progression after Ablation of Colon Cancer Liver Metastases. Cardiovasc. Radiol. 2013, 36, 166–175. [Google Scholar] [CrossRef]
- Widmann, G.; Bodner, G.; Bale, R. Tumour Ablation: Technical Aspects. Cancer Imaging 2009, 9, S63–S67. [Google Scholar] [CrossRef]
- Kurup, A.N.; Morris, J.M.; Callstrom, M.R. Ablation of Musculoskeletal Metastases. AJR Am. J. Roentgenol. 2017, 209, 713–721. [Google Scholar] [CrossRef]
- Gupta, P.R.; Ghosh, P.; Sarkar, J. Effects of Probe Parameters on Radio-Frequency Ablation of Localized Liver Cancer Using a Personalized Patient Treatment Planning. Therm. Sci. Eng. Prog. 2023, 46, 102236. [Google Scholar] [CrossRef]
- Mulier, S.; Ni, Y.; Jamart, J.; Ruers, T.; Marchal, G.; Michel, L. Local Recurrence after Hepatic Radiofrequency Coagulation: Multivariate Meta-Analysis and Review of Contributing Factors. Ann. Surg. 2005, 242, 158–171. [Google Scholar] [CrossRef]
- Huang, Z.; Guo, Z.; Ni, J.; Zuo, M.; Zhang, T.; Ma, R.; An, C.; Huang, J. Four types of tumor progression after microwave ablation of single hepatocellular carcinoma of ≤5 cm: Incidence, risk factors and clinical significance. Int. J. Hyperth. 2021, 38, 1164–1173. [Google Scholar] [CrossRef]
- Schutt, D.J.; O’Rourke, A.P.; Will, J.A.; Haemmerich, D. Biopotential as Predictor of Ablation Zone Size during Radiofrequency Tumor Ablation. Sci. Iran. 2011, 18, 1511–1515. [Google Scholar] [CrossRef]
- DeWalla, R.J.; Varghesea, T.; Brace, C.L. Visualizing ex vivo radiofrequency and microwave ablation zones using electrode vibration elastography. Am. Assoc. Phys. Med. 2012, 39, 6692–6700. [Google Scholar] [CrossRef]
- Hocquelet, A.; Trillaud, H.; Frulio, N.; Papadopoulos, P.; Balageas, P.; Salut, C.; Meyer, M.; Blanc, J.-F.; Montaudon, M.; Denis de Senneville, B. Three-Dimensional Measurement of Hepatocellular Carcinoma Ablation Zones and Margins for Predicting Local Tumor Progression. J. Vasc. Interv. Radiol. 2016, 27, 1038–1045. [Google Scholar] [CrossRef][Green Version]



| Parenchymal Tissue (Pa) | Striated Muscle Tissue (M) | |||||
|---|---|---|---|---|---|---|
| Parameter | NC Group (n = 40) | C0.1 Group (n = 30) | p | NC Group (n = 27) | C0.1 Group (n = 30) | p |
| Area (A) (mm2) | 53.80 ± 0.86 | 45.61 ± 1.17 c | <0.001 | 50.66 ± 2.74 | 33.77 ± 0.97 d | <0.001 |
| Perimeter (P) (mm) | 28.04 ± 0.49 a | 25.29 ± 0.38 c | <0.001 | 33.29 ± 0.90 b | 23.71 ± 0.39 d | <0.001 |
| Quotient (Q) (unit) | 1.17 ± 0.03 a | 1.12 ± 0.01 c | 0.117 | 1.79 ± 0.03 b | 1.33 ± 0.03 d | <0.001 |
| Parenchymal Tissue (Pa) | Striated Muscle Tissue (M) | |||||||
|---|---|---|---|---|---|---|---|---|
| NC Group | C0.1 Group | NC Group | C0.1 Group | |||||
| Perimeter | Quotient | Perimeter | Quotient | Perimeter | Quotient | Perimeter | Quotient | |
| Area | 0.866 *** | 0.629 *** | 0.980 *** | 0.473 ** | 0.966 *** | −0.438 *** | 0.829 *** | −0.050 |
| Perimeter | 0.933 *** | 0.636 *** | −0.233 | 0.515 ** | ||||
| Tissue Type | Group | Attribute | Unstandardised Regression Coefficients | Standardised Regression Coefficients | p |
|---|---|---|---|---|---|
| Parenchymal tissue | NC | Area | −0.0228 | −0.717 | <0.001 |
| Perimeter | 0.0860 | 1.555 | <0.001 | ||
| C0.1 | Area | −0.0276 | −3.880 | <0.001 | |
| Perimeter | 0.0971 | 4.440 | <0.001 | ||
| Striated muscle tissue | NC | Area | −0.0310 | −3.234 | <0.001 |
| Perimeter | 0.0844 | 2.892 | <0.001 | ||
| C0.1 | Area | −0.0400 | −1.522 | <0.001 | |
| Perimeter | 0.1164 | 1.776 | <0.001 |
Disclaimer/Publisher’s Note: The statements, opinions and data contained in all publications are solely those of the individual author(s) and contributor(s) and not of MDPI and/or the editor(s). MDPI and/or the editor(s) disclaim responsibility for any injury to people or property resulting from any ideas, methods, instructions or products referred to in the content. |
© 2024 by the authors. Licensee MDPI, Basel, Switzerland. This article is an open access article distributed under the terms and conditions of the Creative Commons Attribution (CC BY) license (https://creativecommons.org/licenses/by/4.0/).
Share and Cite
Gružienė, A.; Liobikas, J.; Paparde, A.; Kerzienė, S.; Gružaitė, J.; Skaudickas, D.; Lenčiauskas, P.; Circenis, K.; Vaitiekaitis, G. Relationship between Lesion Parameters after Radiofrequency Catheter Ablation in Striated Muscles and Parenchymal Tissue. Medicina 2024, 60, 1089. https://doi.org/10.3390/medicina60071089
Gružienė A, Liobikas J, Paparde A, Kerzienė S, Gružaitė J, Skaudickas D, Lenčiauskas P, Circenis K, Vaitiekaitis G. Relationship between Lesion Parameters after Radiofrequency Catheter Ablation in Striated Muscles and Parenchymal Tissue. Medicina. 2024; 60(7):1089. https://doi.org/10.3390/medicina60071089
Chicago/Turabian StyleGružienė, Aldona, Julius Liobikas, Artūrs Paparde, Sigita Kerzienė, Jovita Gružaitė, Darijus Skaudickas, Povilas Lenčiauskas, Kristaps Circenis, and Gintautas Vaitiekaitis. 2024. "Relationship between Lesion Parameters after Radiofrequency Catheter Ablation in Striated Muscles and Parenchymal Tissue" Medicina 60, no. 7: 1089. https://doi.org/10.3390/medicina60071089
APA StyleGružienė, A., Liobikas, J., Paparde, A., Kerzienė, S., Gružaitė, J., Skaudickas, D., Lenčiauskas, P., Circenis, K., & Vaitiekaitis, G. (2024). Relationship between Lesion Parameters after Radiofrequency Catheter Ablation in Striated Muscles and Parenchymal Tissue. Medicina, 60(7), 1089. https://doi.org/10.3390/medicina60071089

