Abstract
Background and Objectives: COVID-19 may have long-term adverse effects on bone health, particularly in individuals aged ≥50 years with obesity or diabetes, who are predisposed to impaired bone quality. Materials and Methods: This retrospective cohort study used TriNetX data from 141 healthcare organizations across North America and Western Europe. Patients aged ≥50 years with overweight (body mass index 25–30 kg/m2), obesity (body mass index ≥ 30 kg/m2), or type 2 diabetes (T2DM) and COVID-19 (2019–2024) were propensity score-matched to non-COVID-19 controls. Exclusion criteria included prior overweight, obesity, diabetes, osteoporosis, T-score ≤ −2.5, Z score ≤ −2.0, fractures, pneumonia, tuberculosis, and cancer. Outcomes included new-onset osteoporosis, fragility fractures, and low T-scores (≤−2.5). Cox regression estimated hazard ratios (HRs); sensitivity analyses assessed lag effects (1–4 years). Results: Among 327,933 matched pairs, COVID-19 was linked to increased osteoporosis risk at 3 years (HR, 1.039; 95% CI, 1.003–1.077) and 6 years (HR, 1.095; 95% CI, 1.059–1.133). Sensitivity analysis showed rising risk with longer lag times: HRs were 1.212, 1.379, 1.563, and 1.884 at 1 to 4 years, respectively. Subgroup analyses confirmed consistent trends. Conclusions: COVID-19 is independently associated with elevated long-term osteoporosis risk in older adults with new-onset overweight, obesity, or T2DM, peaking at 4 years post-infection and persisting through 6 years.
1. Introduction
Obesity, diabetes mellitus (DM), and osteoporosis share a complex and interrelated pathophysiological relationship. Individuals with obesity or DM often exhibit normal or even increased bone mineral density (BMD); however, their bone quality is frequently compromised, placing them at elevated risk of fragility fractures [,,]. This paradox may be attributed to increased bone marrow adipose tissue (BMAT), which secretes adipokines and inflammatory mediators that disrupt the bone microenvironment and impair bone metabolism. Moreover, DM has been shown to directly suppress osteoblastic activity while promoting bone marrow adiposity, further reducing bone strength and increasing fracture susceptibility [].
The coronavirus disease 2019 (COVID-19) pandemic has dramatically impacted global health systems, with emerging evidence indicating that its effects extend beyond the respiratory tract to include bone and mineral metabolism. During the acute phase of infection, severe COVID-19 is associated with a “cytokine storm,” characterized by elevated levels of interleukin-6 (IL-6), tumor necrosis factor-alpha (TNF-α), and other inflammatory markers [,]. These cytokines enhance osteoclast differentiation and activity, accelerating bone resorption and contributing to acute bone loss. Additionally, hospitalization-related immobility and the frequent use of corticosteroids in severe COVID-19 cases are known contributors to skeletal deterioration [,,].
In the subacute phase, persistent symptoms, such as post-viral fatigue and limited mobility—hallmarks of long COVID—may perpetuate immobility-induced bone loss []. Meanwhile, lingering systemic inflammation and immune dysregulation may continue to suppress bone formation. Nutritional deficiencies, particularly vitamin D insufficiency, which is commonly observed in COVID-19, DM, and obesity, further impair bone remodeling [,].
The long-term effects of COVID-19 on bone health are increasingly being recognized. Among patients with pre-existing osteopenia or osteoporosis, COVID-19 may exacerbate disease progression and lead to a more rapid decline in BMD and increased fracture risk. Individuals with DM or obesity—conditions characterized by chronic low-grade inflammation and hormonal/metabolic disturbances—may be particularly susceptible to COVID-19-related skeletal complications [,].
Importantly, the interaction between COVID-19, DM, obesity, and osteoporosis represents a synergistic risk pathway. Shared mechanisms, such as chronic inflammation, insulin resistance, physical inactivity, nutritional deficits, and glucocorticoid exposure form a “vicious cycle” that accelerates bone fragility [,,,]. To date, however, few large-scale studies have quantified the long-term risk of osteoporosis in patients aged ≥50 years with obesity or type 2 diabetes (T2DM) following COVID-19 infection [].
To address this gap, we conducted a retrospective cohort study using a large, multicenter electronic health record (EHR) database to examine the association between COVID-19 infection and subsequent risk of osteoporosis, low T-score, and fragility fractures in this high-risk population.
2. Methods
2.1. Study Design
This was a retrospective comparative cohort study informed by prior epidemiological frameworks. We compared the risk of newly diagnosed osteoporosis and osteoporosis-related fractures between patients with new-onset overweight, obesity, or T2DM who had COVID-19 and those without COVID-19 (Figure 1).

Figure 1.
Study flowchart for sample selection. Matching was based on demographics, medical utilization, smoking status, and comorbidities.
2.2. Data Source
Data Source and Study Design
This retrospective cohort study utilized data from the TriNetX Research Network, a global federated health research platform providing secure, web-based access to de-identified electronic medical records. The dataset was extracted for the period spanning 1 January 2025, to 6 June 2025, and included records from 141 healthcare organizations across North America (United States and Canada) and Western Europe (United Kingdom, Germany, France, Spain, and Italy).
TriNetX ensures compliance with ethical standards, including the Health Insurance Portability and Accountability Act (HIPAA) in the United States and the General Data Protection Regulation (GDPR) in Europe. All patient data are de-identified prior to access, and individual informed consent is not required for analyses using the TriNetX platform. Institutional Review Board (IRB) approval was not necessary, as this study involved the analysis of anonymized data only. Nonetheless, the study was approved by the IRB of Chia-Yi Christian Hospital (approval number IRB2025032) and conducted in accordance with the Declaration of Helsinki.
2.3. Inclusion and Exclusion Criteria
2.3.1. Inclusion Criteria
Eligible participants were adults aged 50 to 100 years who had a documented diagnosis of new-onset overweight (defined as body mass index [BMI] 25–30 kg/m2), obesity (BMI ≥ 30 kg/m2), or T2DM, identified using ICD-10-CM codes. Patients with a confirmed diagnosis of COVID-19 between 2020 and 2024 were identified using ICD-10-CM code U07.1 or equivalent codes within the TriNetX platform. The index date was defined as the first recorded diagnosis of COVID-19. To ensure sufficient data for outcome assessment, only patients with at least one follow-up encounter within three months of the index date were included.
2.3.2. Exclusion Criteria
To minimize confounding from pre-existing metabolic or skeletal conditions, patients were excluded if they had any diagnosis of overweight, obesity, or T2DM prior to the index date, as only new-onset cases were considered. Patients with a history of osteoporosis—including a T-score ≤ −2.5 or Z-score ≤ −2.0—or with any osteoporosis-related or pathological fractures were also excluded. Additional exclusions included a history of pneumonia before 2019, tuberculosis, or cancer known to contribute to skeletal fragility or pathological fractures. After applying these criteria, a total of 385,966 patients were included in the final analysis.
2.4. Non-COVID-19 Cohort Definition
The non-COVID-19 cohort included individuals without any recorded diagnosis of COVID-19 through 2024 and with at least one healthcare encounter from 2019 to 2024. The index date was the first such encounter. The same exclusion criteria as the COVID-19 cohort were applied. After exclusions, 541,474 eligible non-COVID-19 patients were identified with at least one post-index medical encounter.
2.5. Outcomes and Follow-Up
The primary outcome was newly diagnosed osteoporosis (ICD-10) or osteoporosis-related fractures. Follow-up began at the index date and ended at the earliest date of outcome occurrence or the last recorded encounter. Follow-up continued for up to 6 years or until the database cutoff date in December 2024. Additional File 1 (Tables S1–S3) lists the ICD codes and definitions used for exposures and outcomes.
2.6. Study Covariates
Baseline covariates included demographics (age, sex, race/ethnicity), comorbidities, healthcare utilization metrics (e.g., emergency and inpatient visits), and select clinical laboratory variables. These variables informed the matching and regression models.
2.7. Statistical Analysis
Patient cohorts were propensity-score matched using baseline covariates, including demographics, healthcare utilization, and comorbidities. Logistic regression via scikit-learn was used to estimate propensity scores, and greedy nearest-neighbor matching was performed using a caliper width of 0.1 standard deviations. Matching produced 327,933 pairs.
Kaplan–Meier methods estimated cumulative osteoporosis incidence, with Cox proportional hazards models used for risk comparison. The proportional hazards assumption was tested with the Schoenfeld method, and p-values < 0.05 were considered statistically significant. All statistical tests were conducted using the TriNetX Analytics Platform.
2.8. Prespecified Outcomes
The primary outcome was new-onset osteoporosis. Time periods were defined as follows: acute (within 3 months post-index), subacute (3–6 months), and chronic (beyond 6 months). Secondary outcomes included low T-score (≤−2.5) and fragility fractures as a positive control. Definitions and codes are provided in Supplementary: Table S3.
2.9. Sensitivity Analysis
To avoid confounding by post-viral syndrome, sensitivity analyses were performed using alternative cutoff times (1, 2, 3, and 4 years) to define osteoporosis, T-score ≤ −2.5, and fractures. Additional tests evaluated the association between COVID-19 and osteoporosis risk with extended follow-up up to 6 years (see Figure 2).

Figure 2.
Osteoporosis, low T-scores, and fracture risks between COVID-19 and non-COVID-19 cohorts: Stratified analysis.
2.10. Stratified Analyses
Subgroup analyses examined the risk of osteoporosis outcomes by age group (50–60 vs. 60–100 years), sex, BMI (30–39 vs. ≥40), HbA1c (6.5–10 vs. >10), PTH (0–60 vs. >60 pg/mL), and calcitonin (0–60 vs. >60 pg/mL), across 12 propensity score models over 0–6 years. HRs and 95% CIs were calculated for each subgroup (see Figure 3).

Figure 3.
Stratified risk of osteoporosis and related outcomes using 12 statistical models.
3. Results
We initially identified 385,966 patients aged ≥50 years and diagnosed with COVID-19 and 541,474 individuals without COVID-19 from 2019 to 2024. After excluding ineligible participants and performing propensity score matching, 327,933 matched pairs were included in the analysis (Figure 1). After matching, demographics, lifestyle factors, comorbidities, medications, and procedures were well balanced between the COVID-19 and non-COVID-19 cohorts (standardized mean difference [SMD] < 0.1), except for HbA1c and calcitonin levels (SMD > 0.1) (Table 1).

Table 1.
Comparison of baseline characteristics between COVID-19 and non-COVID patients aged ≥50 years before and after matching.
Figure 2 presents the risk of osteoporosis over time. Comparing COVID-19 to non-COVID-19 cohorts, the hazard ratios (HRs) with 95% confidence intervals (CIs) were as follows: 1.009 (95% CI: 0.966–1.054) at 1 year, 1.039 (95% CI: 1.003–1.077) at 3 years, and 1.095 (95% CI: 1.059–1.133) at 6 years. Differences at 3 and 6 years were statistically significant (p < 0.05), and HRs increased with a longer follow-up.
Sensitivity analyses using 1-, 2-, 3-, and 4-year post-index cutoffs showed consistent HRs of 1.212 (95% CI: 1.154–1.273), 1.379 (95% CI: 1.290–1.474), 1.563 (95% CI: 1.388–1.759), and 1.884 (95% CI: 1.501–2.366), respectively, supporting the association between COVID-19 and new-onset osteoporosis.
Secondary outcomes also demonstrated positive associations: patients with COVID-19 had lower T-scores (≤−2.5) and a higher incidence of fractures compared to the non-COVID-19 cohort (Figure 2).
Figure 3 summarizes HRs from 12 stratified PSM models across subgroups and follow-up periods. Elevated HRs were observed across age (50–60 vs. 60–100 years), sex, HbA1c, BMI, PTH, and calcitonin levels, indicating consistent increased risk of osteoporosis, low T-score, and fractures in the COVID-19 cohort. All subgroup comparisons were statistically significant (p < 0.005).
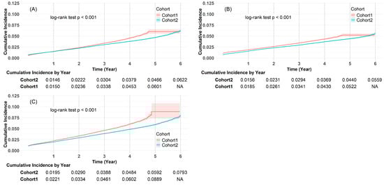
Kaplan–Meier analysis further demonstrated significantly higher cumulative incidence of osteoporosis (log-rank p < 0.001; Figure 4A), low T-score (Figure 4B), and fractures (Figure 4C) in the COVID-19 cohort.

Figure 4.
Longitudinal analysis of the cumulative incidence of osteoporosis in COVID-19 (Cohort 1) vs. non-COVID-19 (Cohort 2) cohorts: (A) osteoporosis; (B) T-score ≤ −2.5; (C) fractures.
4. Discussion
4.1. Key Findings
In our cohort study, COVID-19 patients were significantly more likely to be diagnosed with osteoporosis within the first 3 months or during extended follow-up at multiple intervals, namely 6, 12, 24, 36, 48, and 60 months after infection, compared to propensity score-matched patients without COVID-19. Importantly, the elevated hazard ratios (HRs) persisted regardless of whether the analysis was initiated at the index date or 3 months, 1 year, 2 years, 3 years, or even 4 years after the COVID-19 diagnosis. This robust finding, which minimizes the risk of reverse causality, underscores the long-term impact of COVID-19 on bone health.
4.2. Comparison with the Existing Literature
A Hong Kong study with a median follow-up of 11 months similarly demonstrated that COVID-19 patients had a higher risk of major osteoporotic fractures (HR 1.22, 95% CI [1.15–1.31]) []. Both the acute phase (within 30 days) and post-acute phase (beyond 30 days) were associated with significantly higher risks of fractures and falls. In parallel, a UK study reported a significant reduction in T-score (mean change of −0.23) and increased risk of osteoporosis (OR 1.49, 95% CI [1.40–1.59]) post-COVID-19, consistent with our findings [].
4.3. Clinical Implications
To address ascertainment bias, we excluded osteoporosis diagnoses made within 1–4 years post-COVID-19. Despite these lag times, the risk remained elevated in the COVID-19 group, with the highest HR observed at a 4-year lag. The risk increased progressively over longer follow-up periods.
Subgroup analyses revealed that even individuals aged 50–60 years and those with high HbA1c (>10), BMI (30–39, >40), PTH (>60), and calcitonin (>60) had significantly increased HRs. COVID-19, obesity, and DM may share common inflammatory and metabolic pathways contributing to compromised bone health [,,,]. Weight loss, immobilization, and prolonged bed rest could exacerbate bone loss, while uncontrolled DM impairs bone quality and healing [,,,,,,,].
Our results suggest that COVID-19 is associated with acute, subacute, and chronic phases of osteoporosis risk. Clinical strategies should incorporate individualized assessments and advanced osteoporosis therapies for high-risk individuals.
4.4. Strengths
This study demonstrates that COVID-19 is associated with a long-term rise in osteoporosis, low BMD, and fracture risks among patients with new-onset overweight, obesity, or T2DM. These risks increased over time, peaking at 4 years post-infection, and were consistent across sensitivity and subgroup analyses.
The extended follow-up (6 to 60 months) allowed the assessment of evolving risk and helped distinguish incidence from pre-existing osteoporosis. Propensity score matching reduced confounding, and the large sample size supported generalizability.
4.5. Limitations
This study’s retrospective nature and reliance on EHR data carry risks of selection bias, coding inconsistencies, and limited granularity. Our cohort may not represent underserved populations. Important variables (e.g., corticosteroid use, lifestyle, and vitamin D status) were unavailable.
Future work should incorporate broader populations, clinical variables, and long-term surveillance to strengthen causal inferences.
5. Conclusions
This large, multicenter retrospective cohort study demonstrates that COVID-19 is significantly associated with the long-term risk of osteoporosis, low T-scores, and fragility fractures in patients aged ≥50 years with new-onset overweight, obesity or T2DM. These risks were higher in the COVID-19 cohort than in the non-COVID-19 cohort over time, peaking at 4 years post-infection and remained consistent across sensitivity and subgroup analyses. These findings highlight the need for vigilant bone health monitoring and early intervention strategies in this vulnerable population. As the pandemic’s long-term sequelae continue to unfold, healthcare systems must prioritize integrated care pathways that address not only cardiopulmonary complications but also musculoskeletal health in post-COVID-19 survivors.
Supplementary Materials
The following supporting information can be downloaded at https://www.mdpi.com/article/10.3390/medicina61081320/s1, including: Table S1: Diagnosis code definitions. Table S2: Propensity score matching covariates. Table S3: Osteoporosis, T-score, and fracture ICD-10 definitions.
Author Contributions
Conceptualization, J.-J.Y.; methodology, J.-J.Y.; formal analysis, J.-J.Y.; investigation, J.-J.Y.; resources, J.-J.Y.; data curation, J.-J.Y.; writing—original draft preparation, J.-J.Y., S.-Y.S. and Y.-F.S.; writing—review and editing, J.-J.Y., S.-Y.S. and Y.-F.S.; visualization, J.-J.Y., S.-Y.S. and Y.-F.S.; supervision, J.-J.Y.; project administration, J.-J.Y.; funding acquisition, J.-J.Y., S.-Y.S. and Y.-F.S. contributed equally to this work and should be considered co-first authors. All authors have read and agreed to the published version of the manuscript.
Funding
No additional external funding was received for this study.
Institutional Review Board Statement
This study was conducted in accordance with the Declaration of Helsinki and approved by the Institutional Review Board of Chia-Yi Christian Hospital (IRB approval number: IRB2025032; approval date: 14 April 2025).
Informed Consent Statement
Patient consent was waived due to the use of de-identified data from the TriNetX Research Network.
Data Availability Statement
The data presented in this study are available on request from the corresponding author. The data are not publicly available due to institutional policies and patient privacy regulations.
Acknowledgments
This study is supported in part by Ditmanson Medical Foundation Chia-Yi Christian Hospital. We thank the Health Data Science Center, Ditmanson Medical Foundation Chia-Yi Christian Hospital, for administrative and technical support. The funders had no role in the study design, data collection, analysis, interpretation, or manuscript preparation.
Conflicts of Interest
The authors declare no conflicts of interest.
References
- Guimarães, G.C.; Coelho, J.B.C.; Silva, J.G.O.; de Sant’Ana, A.C.C.; de Sá, C.A.C.; Moreno, J.M.; Reis, L.M.; de Oliveira Guimarães, C.S. Obesity, diabetes and risk of bone fragility: How BMAT behavior is affected by metabolic disturbances and its influence on bone health. Osteoporos. Int. 2024, 35, 575–588. [Google Scholar] [CrossRef] [PubMed]
- Martiniakova, M.; Biro, R.; Penzes, N.; Sarocka, A.; Kovacova, V.; Mondockova, V.; Omelka, R. Links among Obesity, Type 2 Diabetes Mellitus, and Osteoporosis: Bone as a Target. Int. J. Mol. Sci. 2024, 25, 4827. [Google Scholar] [CrossRef] [PubMed]
- Anghel, L.; Manole, C.; Nechita, A.; Tatu, A.L.; Ștefănescu, B.I.; Nechita, L.; Bușilă, C.; Zainea, P.; Baroiu, L.; Mușat, C.L. Calcium, Phosphorus and Magnesium Abnormalities Associated with COVID-19 Infection, and Beyond. Biomedicines 2023, 11, 2362. [Google Scholar] [CrossRef] [PubMed]
- Lopez, N.; Cohen, S.M.; Emanuele, M. Type 2 Diabetes and Bone Disease. Clin. Rev. Bone Miner. Metab. 2023, 21, 21–31. [Google Scholar] [CrossRef]
- Haudenschild, A.K.; Christiansen, B.A.; Orr, S.; Ball, E.E.; Weiss, C.M.; Liu, H.; Fyhrie, D.P.; Yik, J.H.N.; Coffey, L.L.; Haudenschild, D.R. Acute bone loss following SARS-CoV-2 infection in mice. J. Orthop. Res. 2023, 41, 1945–1952. [Google Scholar] [CrossRef] [PubMed]
- Alghamdi, F.; Mokbel, K.; Meertens, R.; Obotiba, A.D.; Alharbi, M.; Knapp, K.M.; Strain, W.D. Bone Mineral Density, Bone Biomarkers, and Joints in Acute, Post, and Long COVID-19: A Systematic Review. Viruses 2024, 16, 1694. [Google Scholar] [CrossRef] [PubMed]
- Huang, C.; Huang, L.; Wang, Y.; Li, X.; Ren, L.; Gu, X.; Kang, L.; Guo, L.; Liu, M.; Zhou, X.; et al. 6-month consequences of COVID-19 in patients discharged from hospital: A cohort study. Lancet 2021, 397, 220–232. [Google Scholar] [CrossRef] [PubMed]
- Tahtabasi, M.; Kilicaslan, N.; Akin, Y.; Karaman, E.; Gezer, M.; Icen, Y.K.; Sahiner, F. The Prognostic Value of Vertebral Bone Density on Chest CT in Hospitalized COVID-19 Patients. J. Clin. Densitom. 2021, 24, 506–515. [Google Scholar] [CrossRef] [PubMed]
- Elmedany, S.H.; Badr, O.I.; Abu-Zaid, M.H.; Tabra, S.A.A. Bone mineral density changes in osteoporotic and osteopenic patients after COVID-19 infection. Egypt. Rheumatol. Rehabil. 2022, 49, 64. [Google Scholar] [CrossRef]
- Soeroto, A.Y.; Soetedjo, N.N.; Purwiga, A.; Santoso, P.; Kulsum, I.D.; Suryadinata, H.; Ferdian, F. Effect of increased BMI and obesity on the outcome of COVID-19 adult patients: A systematic review and meta-analysis. Diabetes Metab. Syndr. 2020, 14, 1897–1904. [Google Scholar] [CrossRef] [PubMed]
- Harris, A.; Creecy, A.; Awosanya, O.D.; McCune, T.; Ozanne, M.V.; Toepp, A.J.; Kacena, M.A.; Qiao, X. SARS-CoV-2 and its Multifaceted Impact on Bone Health: Mechanisms and Clinical Evidence. Curr. Osteoporos. Rep. 2024, 22, 135–145. [Google Scholar] [CrossRef] [PubMed]
- Amin, H.; Khan, M.A.; Bukhari, M. Investigating the impact of COVID-19 lockdowns on fragility fracture risk and bone mineral density in a large observational cohort: A cross-sectional study. Rheumatol. Adv. Pract. 2024, 8, rkae115. [Google Scholar] [CrossRef] [PubMed]
- Tang, J. COVID-19 Pandemic and Osteoporosis in Elderly Patients. Aging Dis 2022, 13, 960–969. [Google Scholar] [CrossRef] [PubMed]
- Lui, D.T.W.; Xiong, X.; Cheung, C.-L.; Lai, F.T.T.; Li, X.; Wan, E.Y.F.; Chui, C.S.L.; Chan, E.W.Y.; Cheng, F.W.T.; Chung, M.S.H.; et al. Risks of incident major osteoporotic fractures following SARS-CoV-2 infection among older individuals: A population-based cohort study in Hong Kong. J. Bone Miner. Res. 2024, 39, 551–560. [Google Scholar] [CrossRef] [PubMed]
- Galliera, E.; Massaccesi, L.; Mangiavini, L.; De Vecchi, E.; Villa, F.; Corsi Romanelli, M.M.; Peretti, G. Effects of COVID-19 on bone fragility: A new perspective from osteoimmunological biomarkers. Front. Immunol. 2024, 15, 1493643. [Google Scholar] [CrossRef] [PubMed]
- Sapra, L.; Saini, C.; Garg, B.; Gupta, R.; Verma, B.; Mishra, P.K.; Srivastava, R.K. Long-term implications of COVID-19 on bone health: Pathophysiology and therapeutics. Inflamm. Res. 2022, 71, 1025–1040. [Google Scholar] [CrossRef] [PubMed]
- Gittoes, N.J.; Criseno, S.; Appelman-Dijkstra, N.M.; Bollerslev, J.; Canalis, E.; Rejnmark, L.; Hassan-Smith, Z. ENDOCRINOLOGY IN THE TIME OF COVID-19: Management of calcium metabolic disorders and osteoporosis. Eur. J. Endocrinol. 2020, 183, G57–G65. [Google Scholar] [CrossRef] [PubMed]
- Berktaş, B.M.; Gökçek, A.; Hoca, N.T.; Koyuncu, A. COVID-19 illness and treatment decrease bone mineral density of surviving hospitalized patients. Eur. Rev. Med. Pharmacol. Sci. 2022, 26, 3046–3056. [Google Scholar] [CrossRef] [PubMed]
- Wang, Z.; Li, Z.; Shen, Y.; Qian, S.; Tang, M.; He, J.; Lu, H.; Zhang, N. Long-term effects of COVID-19 infection on bone mineral density. J. Glob. Health 2024, 14, 05029. [Google Scholar] [CrossRef] [PubMed]
Disclaimer/Publisher’s Note: The statements, opinions and data contained in all publications are solely those of the individual author(s) and contributor(s) and not of MDPI and/or the editor(s). MDPI and/or the editor(s) disclaim responsibility for any injury to people or property resulting from any ideas, methods, instructions or products referred to in the content. |
© 2025 by the authors. Published by MDPI on behalf of the Lithuanian University of Health Sciences. Licensee MDPI, Basel, Switzerland. This article is an open access article distributed under the terms and conditions of the Creative Commons Attribution (CC BY) license (https://creativecommons.org/licenses/by/4.0/).