Abstract
The inoculation of beneficial microorganisms to improve plant growth and soil properties is a promising strategy in the soil amendment. However, the effects of co-inoculation with phosphate-solubilizing bacteria (PSB) and N2-fixing bacteria (NFB) on the soil properties of typical C-deficient soil remain unclear. Based on a controlled experiment and a pot experiment, we examined the effects of PSB (M: Bacillus megaterium and F: Pseudomonas fluorescens), NFB (C: Azotobacter chroococcum and B: Azospirillum brasilence), and combined PSB and NFB treatments on C, N, P availability, and enzyme activities in sterilized soil, as well as the growth of Cyclocarya Paliurus seedlings grow in unsterilized soil. During a 60-day culture, prominent increases in soil inorganic N and available P contents were detected after bacteria additions. Three patterns were observed for different additions according to the dynamic bacterial growth. Synergistic effects between NFB and PSB were obvious, co-inoculations with NFB enhanced the accumulation of available P. However, decreases in soil available P and N were observed on the 60th day, which was induced by the decreases in bacterial quantities under C deficiency. Besides, co-inoculations with PSB and NFB resulted in greater performance in plant growth promotion. Aimed at amending soil with a C supply shortage, combined PSB and NFB treatments are more appropriate for practical fertilization at intervals of 30–45 days. The results demonstrate that co-inoculations could have synergistic interactions during culture and application, which may help with understanding the possible mechanism of soil amendment driven by microorganisms under C deficiency, thereby providing an alternative option for amending such soil.
1. Introduction
In Southern China, plantation areas are mostly assigned to poor sites with yellowish-brown clay soil in the subtropical mountainous areas, as part of the Grain for Green Project (GTGP). These regions are perceived to be infertile due to low levels of organic C and nutrients [1,2]. To improve the poor status of such soils, many studies are emphasizing efficient soil amendment strategies [1,3]. However, the most common strategy, chemical fertilization, has produced harmful effects in the soil and the environment [4]. Due to leaching and immobilization [5], few nutrients, such as N and P, in the soil are available for plant uptake even after long-term chemical fertilizer treatment [6,7,8]. These problems are now compelling researchers to find more sustainable and advanced techniques to remediate the soil [9,10]. Of the recommended strategies, the use of bio-fertilizer has proven to be an efficient and eco-friendly management practice in improving soil fertility and crop growth [11].
A bio-fertilizer is a substance containing living beneficial microorganisms that can colonize the rhizosphere and stimulate plant growth by increasing the supply of available nutrients to plants when applied to the soil [12]. Soil N and P are known to be two of the most essential nutrients for plant growth and development worldwide. As tested soils in South China are seriously lacking in available N and P, the fixation of N and solubilization of P driven by N2-fixing bacteria (NFB) and phosphate-solubilizing bacteria (PSB) are of central importance. NFB have the ability to convert inert N2 into ammonium and thereby protect nitrogen from being lost through volatilization and leaching [13]. PSB can convert insoluble phosphates into a bio-available form through solubilization and mineralization [14].
Soil C plays a crucial role in the application of bio-fertilizer, which is one of three soil components crucial for its physical and biochemical properties, and the degradation of organic matter is closely related to soil microbial activity [15,16]. Several studies have reported different findings regarding the effects of bio-fertilization on soil C content [17]. In turn, soil microbial populations and enzyme activities are related to organic C input (straw, compost, and manure), which could reduce the negative effects of the severe environment on microorganisms [18]. Many reports have highlighted the effects of microorganisms input on soil nutrient content, plant growth, and disease resistance, as well as the importance of soil C when applying microorganisms to the soil [9,16,19]. However, most approaches were conducted using a single bacteria strain, which may partially account for the recorded inconsistencies in the field [20,21]. Hence, less is known about the effects of co-inoculation with PSB and NFB on soil properties. The soil amending mechanism and interactions between NFB and PSB under C-deficiency remain to be determined.
The effects of bio-fertilizer evaluated in other areas are often limited by different factors, such as incubation time, inoculation types, limited C resources and survival of microbes [22]. On the other side, soil native microbes could influence the effects of bio-fertilizer on plant growth. Therefore, the characteristics of the typical soil in subtropical mountainous plantation areas, the time-effectiveness of inoculants, and the selection of the appropriate beneficial microorganism combination for fertilization should be investigated. The aims of this study were to determine the adaptive bacterial isolates or combinations of NFB and PSB, and to investigate the soil amendment mechanism and interaction between NFB and PSB under C-deficiency. Basically, a lab experiment was conducted to investigate, (1) whether these microorganisms could survive and multiplicate under limited C resources, (2) their efficiency in improving the main soil nutrient contents (N and P) in yellowish-brown clay soil under sterilized conditions. As supplementary, a pot experiment was conducted under non-sterilized soil conditions, to verify the effects of these strains accompanied by the native microbes, on plant growth and biomass accumulation. These results could interpret the mechanism of action and interaction between bacteria strains and soil with different incubation time under C-deficient conditions, as well as provide supports for the application of bio-bacterial fertilizer in such soils.
2. Materials and Methods
2.1. Soil Properties and Pretreatment
Natural soil was sampled from the topsoil (0–20 cm) at a Cyclocarya Paliurus plantation (a typical medicinal plant in subtropical regions in China) in July 2016, which was located in Baima Nanjing (31°35′ N, 119°10′ E), China. Samples were collected from five plots (1 × 1 m) in an “S” pattern in 4-year-old C. Paliurus plantation fields (about 120 × 40 m, at a planting density of 2 × 2 m) and were mixed thoroughly to form a composite sample. After removing the plant material, stones, and other debris, the collected soil was divided into two parts, one was sieved (2 mm) and kept at 4 ℃ prior to use in the lab experiment, the other one was used for pot experiment.
The above soil is the representative soil type in subtropical regions in China, which was classified as yellowish-brown clay soil with a heavy texture, pH of 6.5, bulk density of 1.6 g·cm–3, total C of 4.1 g·kg–1, total N of 0.79 g·kg–1, total P of 0.30 g·kg–1, total of K 0.10 g·kg–1, NH4+–N of 10.94 mg·kg–1, NO3––N of 2.68 mg·kg–1, and available P of 1.03 mg·kg–1.
2.2. Microorganisms
In this study, we used four microorganisms, including phosphate solubilizing bacteria (PSB, viz., M: Bacillus megaterium and F: Pseudomonas fluorescens) and nitrogen-fixing bacteria (NFB, viz., C: Azotobacter chroococcum and B: Azospirillum brasilence). The above bacteria have been documented as having the ability to improve soil nutrients, such as N and P [23,24,25,26,27]. Prior to use, the inocula were prepared by incubating bacteria strains in a lysogeny-broth medium (LB medium, pH: 7.0, comprised of 10 g tryptone, 5 g yeast extract, and 10 g NaCl per liter). At the mid-exponential growth phase, the strains were diluted using sterile distilled water to a final concentration of 1 × 108 colony forming units (CFU)·mL–1. None of these strains have shown antagonistic effects against one another [19,28,29].
2.3. Experimental Design
In the lab experiment, the soils were incubated with 12 additions (treatments) of the 4 bacteria, containing 4 treatments with a single bacteria addition (SBA), 7 treatments with a mixed bacteria addition (MBA), and 1 control with no bacteria addition (Table 1). Each treatment was replicated 4 times, and the bacteria were added to the soil, which was autoclaved enough times to eliminate other microbes. Thereafter, 300 g of sterilized soil supplemented with bacteria was placed into a cylindrical tissue-culture box (diameter (D) × height (H): 8.5 × 8.4 cm, breathable and waterproof), and the box was incubated in a bio-clean incubator at 28 °C under darkness conditions for 60 days. During incubation, the soil moisture was held at 60% of the water holding capacity with sterile water.
Table 1.
Soil with 12 additions with different bacteria combinations (mL).
The pot experiment was conducted based on the lab experiment results, with three types of bacteria combination (PSB: M, MF; NFB: C, CB; PSB+NFB: MFCB). An important medicinal species (C. Paliurus, 2-year-old seedlings) native to China’s subtropical mountainous area, was grown in the same soil as we used in this study without sterilization. From April, four times of bio-fertilizations were conducted every 45 days according to bacterial growth results.
2.4. Sampling and Analytical Methods
The soils in the lab experiment were vertically sampled on the 5th, 10th, 15th, 20th, 30th, 45th, and 60th days of incubation (Figure 1) to estimate the bacterial quantity (BQ) using the plate count serial dilution method [30]. Similarly, soil samples from each box on the 0th, 30th, and 60th day of incubation were collected and stored at 4 °C for measurement of the soil properties. Total C (TC) and total N (TN) were evaluated using an elemental analyzer (vario MAX CN, Elementar, Hanau, Germany), where the concentration of inorganic N (IN, including NH4+–N and NO3––N) was extracted with a 2 M KCl solution, and then measured by colorimetry on an AutoAnalyser III (SEAL Analytical, Berlin, Germany). Soil available P (SAP) was determined using the molybdenum-blue method [31]. Acid phosphatases (AcPase) activity was assessed using the method described by Tabatabai and Bremner [32]. Each experiment was conducted in three replicates for measurements of the BQ and soil properties.
Figure 1.
Abridged general view of soil sampling. Five random vertical sampling holes (diameter: 8 mm; depth: 60 mm) were implemented for lessening the disturbance of sampling to microbes.
For the measurement of plant growth in the pot experiment, the whole plants were sampled in late September to assess the biomass accumulations (including stem, root, and leaf). Seedling heights were measured by the difference of initial (April) and final height (late September).
2.5. Statistical Analysis
The Shapiro–Wilk test and Levene’s test were used for testing the normal distribution of the data and homogeneity of the variances, respectively. Mixed linear models were used to assess the effects of the inoculant, incubation time, and their interactions (as fixed effects), as well as the block as a random effect on the soil’s biochemical properties. Where there were significant effects (p < 0.05), the Duncan’s multiple range test was applied to determine the differences between the individual treatment means. Tamhane’s T2 was used to test for differences amongst treatments when variances of the tested data were not equal. Data are expressed as means ± standard deviation (SD). All statistical analyses were considered significantly at p < 0.05. The pairwise relationships of BQ and P-related indexes were elucidated using linear regression based on Spearman’s correlation analysis. All statistical analyses were performed using SPSS 19.0 (SPSS Inc., Chicago, IL, USA).
3. Results
3.1. Dynamic Growth of Bacteria in Incubation Soil
Generally, the bacterial quantities (BQ) in all the treatments significantly increased with prolonged incubation, whereas the maxima were obviously different between the mixed bacteria addition (MBA) and the single bacteria addition (SBA). The maximum values of the BQ for MBA ranged from 18.3 × 106 CFU·g–1 in MB to 43.3 × 106 CFU·g–1 in MFCB, whereas for SBA, they ranged from 8.3 CFU·g–1 in M to 17.3 × 106 CFU·g–1 in C (Table 2). Based on the dynamic changes in bacterial growth, three patterns were observed for the different additions (Figure 2). The peaking of the BQ for SBA occurred at different times from that in MBA; the quantity in SBA peaked at the 15–20th day and the peaks in most of the MBA (MC, CB, MB, FC) occurred at the 30th day, whereas some (FB and MF) presented bimodal peaks at the beginning and midterms of incubation (Figure 2).
Table 2.
Changing patterns of bacterial quantities (×106 CFU·g–1 soil) for bacterium addition with different incubation duration (means ± standard deviation).
Figure 2.
Three dynamic growth patterns of different inoculants during the 60-day incubation. (a) pattern 1, a single peak observed at 10–20 d by single bacterium addition. (b) pattern 2, a single peak observed at 30–40 d by mixed bacteria addition. (c) pattern 3, bimodal observed at different time by mixed bacteria additions.
Quantities of the two functional bacteria varied with incubation length. Quantities of the phosphate-solubilizing bacteria (M and F) appeared to decline in the last 30 days, while N2-fixing bacteria (C and B) increased (Table 2 and Figure 2a). On the 60th day, 17.3 × 106 and 12.7 × 106 CFU·g–1 in C and B, respectively, were significantly higher than the 1.9 × 106 and 3.6 106 CFU·g–1 in M and F, respectively (p < 0.05).
Overall, the single bacteria grew rapidly without competing pressure compared to other combinations, reaching their peak quickly and with a low maximum quantity. Conversely, the competition of mixed bacteria retarded the peaking time but increased the maximum.
3.2. Inoculants, Incubation Time, and Their Interactions on Soil Characteristics
Based on the statistical analysis results, the effects of the inoculants, incubation duration, and their interactions on soil TC, TN, IN, available P, and P-related enzyme activities are presented in Table 3. Over a 60-day incubation, we found that TC and TN showed significant responses to incubation time, whereas no significant effects of inoculant addition on TC and TN were detected (p = 0.07 and 0.06, Table 3). IN (NH4+–N + NO3––N), available P, and P-related enzyme activities of the incubation soil were significantly affected by inoculant additions and incubation duration (p < 0.01). Interactions of the inoculants and incubation duration were significant for all measured parameters (p < 0.05, Table 3).
Table 3.
The linear mixed model for the effects of inoculants, incubation time, and their interactions on soil characteristics.
Given the significant effects of incubation time on these indexes, pairwise comparisons of the indexes between 30 days and 60 days were analyzed for all additions (Table 4). Impacts of incubation duration on SAP existed in each inoculant except CK. However, the effects of incubation duration on other soil parameters varied with different inoculants.
Table 4.
Pairwise comparisons’ results of soil indexes between 30d and 60d incubation for all additions.
3.3. C and N Contents of the Incubation Soil
As shown in Table 5, the results show the significant effects of bacteria additions on TC and TN after a 30-day incubation (p < 0.05). Prominent increases in TN content were found in MF, FB, and FC at 30 days compared to the control (0.7 g·kg–1). However, variations in TC and TN contents among different bacteria additions were not significant at 60 days, but obvious reductions occurred in both SBA and MBA at 60 days compared to 30 days (Table 4; Table 5; p < 0.05). For instance, significant decreases in TC in treatments M, C, and MC were detected at 60 days compared to 30 days (decreased by 12.1%, 7.4%, and 16.1%, respectively), whereas obvious reductions of N in MF, MC, MB, FC, and FB were recorded (Table 5).
Table 5.
Incubation soil TC, TN and IN contents after beneficial bacteria addition.
Differences in IN contents were observed after additions of various bacteria and two incubation durations (Table 4; Table 5). A significant increase in soil IN content was detected in the first 30 days after bacteria addition (Table 5, p < 0.05). However, in contrast to the 30 days, the IN contents of most treatments at 60 days were lowered but were still significantly higher than in the control (Table 4, p < 0.01). Statistically, no remarkable changes were detected under conditions of inoculation with NFB alone (except B at 30 days) compared to the control.
3.4. AcPase Activity and SAP Concentrations
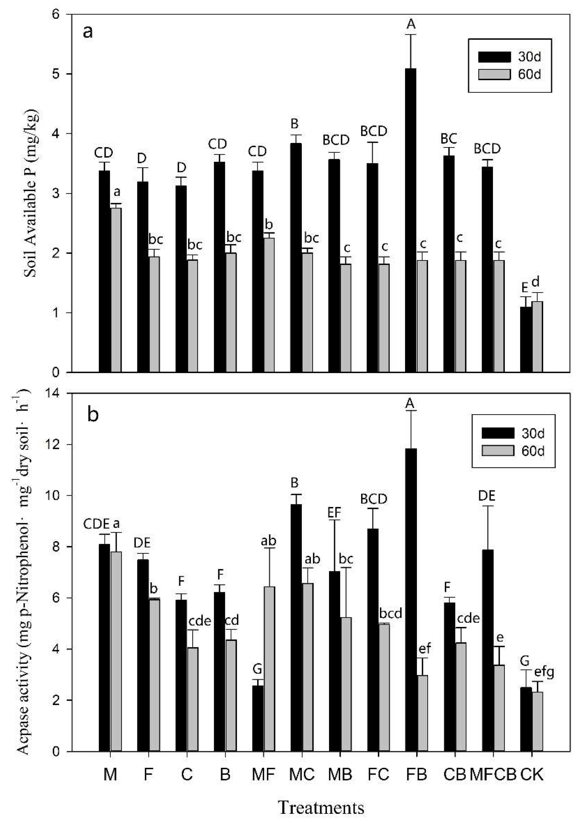
Soil available phosphorus (SAP) concentrations and AcPase activity in the soil after a 60-day incubation are presented in Figure 3. The SAP levels of all treatments were very low, ranging from about 1 mg·kg–1 in CK to 5 mg·kg–1 in FB at 30 days (Figure 3a). During the 60-day incubation, the SAP concentrations of all treatments increased at 30 days in contrast to CK, but significantly declined at 60 days (Table 4, p < 0.01). For example, the SAP in FB at 30 days was significantly higher than in other treatments, but then declined by about 63% at 60 days, which was in accord with the change in the corresponding AcPase activity (Figure 3b).
Figure 3.
(a) Soil available phosphorus (SAP) contents and (b) AcPase activity of different treatments at the 30th (black bar) and the 60th day (gray bar). Marked capitals/lowercases above the standard line mean the significant difference among different treatments at the 30th day/the 60th day (p < 0.05).
Significant variations in AcPase activity in different treatments were detected (p < 0.05) and the impacts of incubation duration on AcPase activity in SBA were different from the effects in MBA (Table 4). For instance, AcPase activity in treatment M (belonging to SBA) showed no significant differences between 30 and 60 days, whereas AcPase activity in MFCB and FB (belonging to MBA) at 60 days showed lower values (Figure 4). AcPase activity and SAPs in single applications of NFB (C, B, CB) were lower than in most of the other additions, although co-inoculation with both PSB and NFB (MC, FC, FB, MFCB) significantly increased the concentrations of SAP and AcPase activity at 30 days (p < 0.05, Figure 3). However, this effect was minimal at 60 days. Compared to 30 days, the AcPase activity in FB at 60 days declined by 70%, which was accompanied by an obvious drop in the SAP concentration (Table 4, Figure 3; p < 0.01).
Figure 4.
(a) Plant biomass (including stem, leaf, thick root, fine root) and (b) total increment of seedling height in different treatments with PSB (M and MF), NFB (C and CB) and PSB+NFB (MFCB).
3.5. Seedling Height and Biomass Accumulation
As shown in Figure 4a, the total biomass accumulation of C. Paliurus was significantly increased after bacterial additions. Plant biomass assessment was divided into four components, including stem, leaf, thick root and fine root. Compared with seedlings grown in native soil (CK), significant increments were detected in each component after bacteria addition. However, no positive effect of PSB application (treatment M and MF) on plant biomass was found during the investigation. On the contrary, the application of NFB (C and CB) significantly increased biomass accumulation of leaf and root. It is noteworthy that the biomass of above ground (stem, leaf) and thick root in co-inoculation with PSB and NFB (treatment MFCB) obtained about 47.8g and 20 g per plant respectively, which were significantly higher than when these microorganisms were used alone.
Compared with CK, the total increments of seedling height were improved after bacterial additions (Figure 4b). Specifically, dual inoculation with PSB (MF) and co-inoculation with PSB and NFB (treatment MFCB) resulted in greater influences on seedling height than other treatments, including treatment only retained with native microbes.
4. Discussion
4.1. Changes of BQ Influenced by C Resources and Interactions of Bacteria
Shortages of available N and P in soils with poor C content are common in hilly and mountainous regions in China’s subtropical area where plant growth is limited. Bio-fertilization is a better choice compared to chemical fertilization for sustainably improving soil fertility [7,33]. Different from earlier studies [15,16], we incubated the inoculants in soil that collected from poor natural fields with low-level C. Soil biological properties, such as bacterial/fungal quantities and enzymes, are significantly correlated with soil C level [34]. As a result, BQ in most of the treatments performed similarly, with increases first then decreases during the 60-day incubation period (Figure 2). This indicates a coefficient restriction between limited C resources and the resilience of bacteria [35].
Here, three growth patterns of the inoculants were observed during the incubation, suggesting different responses of the BQ to inoculant isolates or in combination under C-deficient conditions (Figure 2). The BQ in some treatments increased again after their first peak, such as the co-inoculations (MF, FB, MFCB) in pattern 3 (Figure 2c). This was obviously different from previous publications in which only one peak was observed [20,21,36]. We speculated that the occurrence of the second growth of bacteria was mainly stimulated by co-inoculation with PSB and NFB, where synergistic effects activated under the circumstances of limited available C and N resources in the microcosms [19,37]. Similar studies reported that mixed microbial cultures allowed their components to interact with each other synergistically via physical or biochemical activities, thereby simultaneously improving viability [38,39]. In this experiment, synergistic mechanisms were found in the MF, FB, and MFCB, but BQ finally decreased under limited nutrients conditions. This result provides support when choosing the inoculant type (PSB+NFB) and frequency (30–45d) of fertilization when applying bio-fertilizer in such soils. Co-inoculation with PSB and NFB in soil results in more interactions of inoculants, such as the production of enzymes and organic acid, although more energy and inorganic nutrients would be consumed than when these organisms were used alone [19,40,41]. This was also supported by our study, where limited energy resources restrained the population growth for MBA at 30–40 days. Hence, the appropriate amount of C resource input during bio-fertilization is necessary when applying in such soil with low C level.
4.2. Additions of Bacteria Improved Soil Nutrients with Different Patterns
The responses of BQ to different inoculants under C-deficient conditions provided a better understanding of the relationship between the BQ, inoculant type, incubation duration, and available nutrients. Soil available nutrients, such as available N and P, are indispensable in regulating plant growth. However, soil available nutrients are often limited due to the changes in related enzyme and microorganism activities. During culture, the available nutrient contents in soil increased at an early stage (30 days) but declined at a later stage (60 days, Table 4; Table 5; Figure 3). This pattern was consistent with the changing tendency of BQ (Table 2). Many studies have shown that the populations of beneficial microbes in soil provided the foundations that positively affected soil characteristics [22,42,43]. Limited bacteria quantities in soil decreased available nutrients production, such as N and P, which may, in turn, restrict the population of microbes and affect the rates of the C decomposition process [44,45]. Related reports have revealed that soil available C and N affect the pivotal process of microbial growth, and N-assimilation that driven by soil microorganisms mostly occurs in the NH4+–N of inorganic N and alanine of organic N [46,47,48]. The microflora is positively correlated with soil C and available nutrients, and soil nutrients are conducive to increasing the abundance of soil microorganisms [49,50]. Thus, regular organic and bio-based fertilization of soils are favorable to the building of positive structures and functioning of the soil microbial community [3,51,52].
Few effects of a single application of NFB on the availability of N were detected during culture (Table 5). However, co-inoculations with NFB significantly increased soil available P concentrations and the related enzyme activity (Figure 3a). Two assumptions to explain these synergistic effects are presented here: (1) co-inoculants with NFB could synergistically stimulate population growth of microbes based on the above discussion and (2) NFB could directly promote the activity of P-related enzymes (AcPase). Liu et al. stated that certain species of NFB could increase P uptake under N addition, which is related to soil P-related enzyme activity [53,54]. AcPase activity is significantly affected by soil N, P conditions, and soil microorganism activities could result in an obvious change of AcPase activity. However, the AcPase activities of soil culture with NFB (C, B, CB) were obviously lower than the others (Figure 3b). This indicates the synergistic effect of specific NFB strains on SAP and related enzyme activity could be explained by stimulating growth and phosphate-solubilizing effects of PSB, rather than directly increasing the AcPase activity. This assumption could explain the result of the FB treatment, where the BQ decreased by about 72% at 60 days compared to 30 days, being accompanied by a drop in AcPase activity and SAP concentration.
The relationships between BQ and P-related indexes in SBA and MBA at 30d based on linear regression are shown in Figure 5. The P-related indexes (SAP and AcPase) significantly increased in both SBA and MBA with increases in the bacterial quantities (p < 0.05, Figure 5), while MBA resulted in higher value. And the SAP concentrations were correlated with the AcPase activity (R2 = 0.5423, p < 0.001). This suggests that changes in the SAP concentrations mainly resulted from changes in the BQ and following altered P-related enzyme activities under bio-fertilization.
Figure 5.
The relationships between (a) BQ vs P-related indexes in SBA at 30d, (b) BQ vs P-related indexes in MBA at 30 d on linear regression.
4.3. Co-Inoculation with NFB and PSB Resulted in Higher Plant Biomass Accumulation
The pot experiment was used for evaluating the pragmatic effects of these bacteria by compared to treatment with only native microbes (CK), while the lab experiment was conducted for verifying whether these bacteria could survive and benefit the soil nutrients. Similar researches were found in many published literature papers, in which sterilized or oven-dried soil was used for testing the effects of beneficial microorganisms without disturbance of other microbes under controlled conditions, and non-sterilized soil was used for investigating the pragmatic effects on plants under natural conditions [55,56,57,58]. Plants accompanied by soil microorganisms in rhizosphere that could assist plants with nutrient acquisition [59]. Therefore, additions of bio-fertilizer improve the available nutrients supply for plant growth. Under natural conditions, compared with treatment with only native microbes, soil nutrient contents, and plant N and P uptake were significantly improved after bacteria addition, especially for treatment MFCB (co-inoculation with PSB and NFB). More importantly, the relative abundances of these bacteria were increasing at the first 30 days, but decreased after that (data not shown). This suggests these bacteria could survive and enlarge population during the initial competition with native microbes, but continuous bio-fertilization is necessary to help these microorganisms get advantage. In the present study, bacteria addition increased seedling height and biomass accumulation under unsterilized soil condition. More importantly, they increased the biomass of the whole plant, especially the biomass of the leaf, which is the most valuable organ for medicinal use. Based on these results, applications of bio-fertilizer, such as MFCB, in leaf-use plantations of C. paliurus could be a potential sustainable strategy for these plantations in the future.
To date, the interactive effects of co-inoculation with NFB and PSB on C-deficient soil conditions have been less studied. However, advanced mechanisms for interpreting the synergistic effects between NFB (A. chroococcum, A. brasilence) and PSB (B. megaterium, P. fluorescens) should be further investigated and evaluated to clarify the biochemical basis of these interactions. The survival and growth of strains vary with the chemical, physical, and biological differences between in vitro conditions and the field environment. A combination of NFB and PSB might cause competition for energy sources, such as root exudation and soil available nutrients. Hence, to obtain accurate conclusions about the effects of co-inoculation with NFB and PSB, further studies should be considered under different environmental media, and based on various research conditions [15,19].
5. Conclusions
Based on the results of the lab experiment and pot experiment, inoculation with beneficial bacteria had a positive effect on soil amendment and plant growth. Bacterial additions increased soil N and P availability, and co-inoculations with PSB and NFB enhanced the accumulation of the available P. However, decreases in soil nutrients were observed at 60 days compared to 30 days, which were induced by the decrease in bacterial quantities under C deficiency. These results highlight the interaction mechanism between strains and soil with the increase in the incubation duration under C-deficiency conditions. Besides, co-inoculations with PSB and NFB resulted in greater performance in plant growth promotion and nutrients uptake. In summary, aimed at amending the yellowish-brown clay soil with low levels of C, bacteria combinations (PSB+NFB) are recommended for practical application at intervals of 30–45 days. The lab experiment provided the basis for applying these microorganisms in natural environments, which helped us understand the possible interactions between PSB and NFB under C deficiency. The pot experiment results cross-validated that co-inoculation with PSB and NFB resulted in greater performance. This research gives the first interpretation of the mechanism of action and interaction between bacteria strains and soil under C deficiency, and contributes to the development of a biotechnological strategy, and sustainable agriculture, thereby minimizing the input of chemical fertilizers.
Author Contributions
Investigation, Z.W. and Z.C.; software, Z.W.; writing—original draft preparation, Z.W.; writing—review and editing, X.F.; supervision, X.F.
Funding
This research was funded by the Forestry Science and Technology Promotion Project from the State Forestry Administration of China (2017(08)), the National Natural Science Foundation of China (No.31470637), the Priority Academic Program Development of Jiangsu Higher Education Institutions (PAPD).
Acknowledgments
The authors also would like to thank Ye Tian and Hui Sun from Nanjing Forestry University for suggestions to research work and Zhihong Ding and Wenwen Zhong from Nanjing Forestry University for their contribution to experiments.
Conflicts of Interest
The authors declare no conflict of interest.
References
- Fazhu, Z.; Jiao, S.; Chengjie, R.; Di, K.; Jian, D.; Xinhui, H.; Gaihe, Y.; Yongzhong, F.; Guangxin, R. Land use change influences soil C, N, and P stoichiometry under ‘Grain-to-Green Program’ in China. Sci. Rep. 2015, 5, 10195. [Google Scholar] [CrossRef] [PubMed]
- Huang, Z.Q.; Chang, S.; Clinton, P.W.; Johnson, C.E.; Wang, H.L.; Xu, Z.H. Preface to the special issue for the 8th International Symposium on Forest Soils: Linking Soil Processes to Forest Productivity and Water Protection under Global Change. J. Soil Sediments 2017, 17, 2215–2217. [Google Scholar] [CrossRef][Green Version]
- Tang, Y.C.; Zhang, X.Y.; Li, D.D.; Wang, H.M.; Chen, F.S.; Fu, X.L.; Fang, X.M.; Sun, X.M.; Yu, G.R. Impacts of nitrogen and phosphorus additions on the abundance and community structure of ammonia oxidizers and denitrifying bacteria in Chinese fir plantations. Soil Biol. Biochem. 2016, 103, 284–293. [Google Scholar] [CrossRef]
- Bhardwaj, D.; Ansari, M.W.; Sahoo, R.K.; Tuteja, N. Biofertilizers function as key player in sustainable agriculture by improving soil fertility, plant tolerance and crop productivity. Microb. Cell Factories 2014, 13, 66. [Google Scholar] [CrossRef] [PubMed]
- Smil, V. Phosphorus in the Environment: Natural Flows and Human Interferences. Annu. Rev. Energy Environ. 2000, 25, 53–88. [Google Scholar] [CrossRef]
- Adesemoye, A.O.; Kloepper, J.W. Plant-microbes interactions in enhanced fertilizer-use efficiency. Appl. Microbiol. Biotechnol. 2009, 85, 1–12. [Google Scholar] [CrossRef] [PubMed]
- Gyaneshwar, P.; Kumar, G.N.; Parekh, L.J.; Poole, P.S. Role of soil microorganisms in improving P nutrition of plants. Plant Soil 2002, 245, 83–93. [Google Scholar] [CrossRef]
- Kaur, G.; Reddy, M.S. Effects of Phosphate-Solubilizing Bacteria, Rock Phosphate and Chemical Fertilizers on Maize-Wheat Cropping Cycle and Economics. Pedosphere 2015, 25, 428–437. [Google Scholar] [CrossRef]
- Megali, L.; Glauser, G.; Rasmann, S. Fertilization with beneficial microorganisms decreases tomato defenses against insect pests. Agron. Sustain. Dev. 2014, 34, 649–656. [Google Scholar] [CrossRef]
- Yin, H.J.; Zhao, W.Q.; Li, T.; Cheng, X.Y.; Liu, Q. Balancing straw returning and chemical fertilizers in China: Role of straw nutrient resources. Renew. Sustain. Energy Rev. 2018, 81, 2695–2702. [Google Scholar] [CrossRef]
- Liu, D.; Fang, S.; Tian, Y.; Dun, X. Seasonal and clonal variations of microbial biomass and processes in the rhizosphere of poplar plantations. Appl. Soil Ecol. 2014, 78, 65–72. [Google Scholar] [CrossRef]
- Vessey, J.K. Plant growth promoting rhizobacteria as biofertilizers. Plant Soil 2003, 255, 571–586. [Google Scholar] [CrossRef]
- Yevdokimov, I.; Gattinger, A.; Buegger, F.; Munch, J.C.; Schloter, M. Changes in microbial community structure in soil as a result of different amounts of nitrogen fertilization. Biol. Fert. Soils 2008, 44, 1103–1106. [Google Scholar] [CrossRef]
- Behera, B.C.; Yadav, H.; Singh, S.K.; Mishra, R.R.; Sethi, B.K.; Dutta, S.K.; Thatoi, H.N. Phosphate solubilization and acid phosphatase activity of Serratia sp. isolated from mangrove soil of Mahanadi river delta, Odisha, India. J. Genet. Eng. Biotechnol. 2017, 15, 169–178. [Google Scholar] [CrossRef] [PubMed]
- Debska, B.; Dlugosz, J.; Piotrowska-Dlugosz, A.; Banach-Szott, M. The impact of a bio-fertilizer on the soil organic matter status and carbon sequestration-results from a field-scale study. J. Soil Sediments 2016, 16, 2335–2343. [Google Scholar] [CrossRef]
- Yilmaz, E.; Sonmez, M. The role of organic/bio-fertilizer amendment on aggregate stability and organic carbon content in different aggregate scales. Soil Tillage Res. 2017, 168, 118–124. [Google Scholar] [CrossRef]
- Huang, Y.M.; Wu, Q.S.; Li, Y. Arbuscular Mycorrhizal Fungi Alter Plant Growth, Soil Aggregate Stability, and Rhizospheric Organic Carbon Pools of Citrus. Adv. Mater. Res. 2013, 610–613, 3063–3066. [Google Scholar] [CrossRef]
- Gunasekara, A.S.; Xing, B.S. Sorption and desorption of naphthalene by soil organic matter: Importance of aromatic and aliphatic components. J. Environ. Qual. 2003, 32, 240–246. [Google Scholar] [CrossRef]
- Yu, X.; Liu, X.; Zhu, T.H.; Liu, G.H.; Mao, C. Co-inoculation with phosphate-solubilzing and nitrogen-fixing bacteria on solubilization of rock phosphate and their effect on growth promotion and nutrient uptake by walnut. Eur. J. Soil Biol. 2012, 50, 112–117. [Google Scholar] [CrossRef]
- Hameeda, B.; Harini, G.; Rupela, O.P.; Wani, S.P.; Reddy, G. Growth promotion of maize by phosphate-solubilizing bacteria isolated from composts and macrofauna. Microbiol. Res. 2008, 163, 234–242. [Google Scholar] [CrossRef]
- Valetti, L.; Iriarte, L.; Fabra, A. Growth promotion of rapeseed (Brassica napus) associated with the inoculation of phosphate solubilizing bacteria. Appl. Soil Ecol. 2018, 132, 1–10. [Google Scholar] [CrossRef]
- Hu, J.; Wei, Z.; Weidner, S.; Friman, V.P.; Xu, Y.C.; Shen, Q.R.; Jousset, A. Probiotic Pseudomonas communities enhance plant growth and nutrient assimilation via diversity-mediated ecosystem functioning. Soil Biol. Biochem. 2017, 113, 122–129. [Google Scholar] [CrossRef]
- Venieraki, A.; Dimou, M.; Vezyri, E.; Kefalogianni, I.; Argyris, N.; Liara, G.; Pergalis, P.; Chatzipavlidis, I.; Katinakis, P. Characterization of Nitrogen-Fixing Bacteria Isolated from Field-Grown Barley, Oat, and Wheat. J. Microbiol. 2011, 49, 525–534. [Google Scholar] [CrossRef] [PubMed]
- Kumar, V.; Sarma, M.V.R.K.; Saharan, K.; Srivastava, R.; Kumar, L.; Sahai, V.; Bisaria, V.S.; Sharma, A.K. Effect of formulated root endophytic fungus Piriformospora indica and plant growth promoting rhizobacteria fluorescent pseudomonads R62 and R81 on Vigna mungo. World J. Microbiol. Biotechnol. 2012, 28, 595–603. [Google Scholar] [CrossRef] [PubMed]
- Mengual, C.; Schoebitz, M.; Azcon, R.; Roldan, A. Microbial inoculants and organic amendment improves plant establishment and soil rehabilitation under semiarid conditions. J. Environ. Manag. 2014, 134, 1–7. [Google Scholar] [CrossRef]
- Ortiz, N.; Armada, E.; Duque, E.; Roldán, A.; Azcón, R. Contribution of arbuscular mycorrhizal fungi and/or bacteria to enhancing plant drought tolerance under natural soil conditions: Effectiveness of autochthonous or allochthonous strains. J. Plant Physiol. 2015, 174, 87–96. [Google Scholar] [CrossRef] [PubMed]
- Wyciszkiewicz, M.; Saeid, A.; Dobrowolska-Iwanek, J.; Chojnacka, K. Utilization of microorganisms in the solubilization of low-quality phosphorus raw materiaL. Ecol. Eng. 2016, 89, 109–113. [Google Scholar] [CrossRef]
- Mittal, V.; Singh, O.; Nayyar, H.; Kaur, J.; Tewari, R. Stimulatory effect of phosphate-solubilizing fungal strains (Aspergillus awamori and Penicillium citrinum) on the yield of chickpea (Cicer arietinum L. cv. GPF2). Soil Biol. Biochem. 2008, 40, 718–727. [Google Scholar] [CrossRef]
- Dadrasan, M.; Chaichi, M.R.; Pourbabaee, A.A.; Yazdani, D.; Keshavarz-Afshar, R. Deficit irrigation and biological fertilizer influence on yield and trigonelline production of fenugreek. Ind. Crops Prod. 2015, 77, 156–162. [Google Scholar] [CrossRef]
- Sanders, E.R. Aseptic Laboratory Techniques: Plating Methods. JoVE 2012, 63, e3064. [Google Scholar] [CrossRef]
- SR, O. Estimation of available phosphorus in soils by extraction with sodium bicarbonate. Misc. Pap. Inst. Agric. Res. 1954, 939, 1–19. [Google Scholar]
- Tabatabai, M.A.; Bremner, J.M. Use of p-nitrophenyl phosphate for assay of soil phosphatase activity. Soil Biol. Biochem. 1969, 1, 301–307. [Google Scholar] [CrossRef]
- Igual, J.M.; Valverde, A.; Cervantes, E.; Velazquez, E. Phosphate-solubilizing bacteria as inoculants for agriculture: Use of updated molecular techniques in their study. Agronomie 2001, 21, 561–568. [Google Scholar] [CrossRef]
- Tejada, M.; Gonzalez, J.L.; Hernandez, M.T.; Garcia, C. Application of different organic amendments in a gasoline contaminated soil: Effect on soil microbial properties. Bioresour. Technol. 2008, 99, 2872–2880. [Google Scholar] [CrossRef] [PubMed]
- Jing, Z.W.; Chen, R.R.; Wei, S.P.; Feng, Y.Z.; Zhang, J.B.; Lin, X.G. Response and feedback of C mineralization to P availability driven by soil microorganisms. Soil Biol. Biochem. 2017, 105, 111–120. [Google Scholar] [CrossRef]
- Tahir, M.; Khalid, U.; Ijaz, M.; Shah, G.M.; Naeem, M.A.; Shahid, M.; Mahmood, K.; Ahmad, N.; Kareem, F. Combined application of bio-organic phosphate and phosphorus solubilizing bacteria (Bacillus strain MWT 14) improve the performance of bread wheat with low fertilizer input under an arid climate. Braz. J. Microbiol. 2018, 49 (Suppl. S1), 15–24. [Google Scholar] [CrossRef] [PubMed]
- Wani, P.; Khan, M.; Zaidi, A. Co-inoculation of nitrogen-fixing and phosphate-solubilizing bacteria to promote growth, yield and nutrient uptake in chickpea. Acta Agron. Hung. 2007, 55, 315–323. [Google Scholar] [CrossRef]
- Vassilev, N.; Vassileva, M.; Fenice, M.; Federici, F. Immobilized cell technology applied in solubilization of insoluble inorganic (rock) phosphates and P plant acquisition. Bioresour. Technol. 2001, 79, 263–271. [Google Scholar] [CrossRef]
- Shanmugam, S.R.; Chaganti, S.R.; Lalman, J.A.; Heath, D.D. Effect of inhibitors on hydrogen consumption and microbial population dynamics in mixed anaerobic cultures. Int. J. Hydrog. Energy 2014, 39, 249–257. [Google Scholar] [CrossRef]
- Paerl, H.W.; Pinckney, J.L. A mini-review of microbial consortia: Their roles in aquatic production and biogeochemical cycling. Microb. Ecol. 1996, 31, 225–247. [Google Scholar] [CrossRef]
- Wei, Y.; Zhao, Y.; Shi, M.; Cao, Z.; Lu, Q.; Yang, T.; Fan, Y.; Wei, Z. Effect of organic acids production and bacterial community on the possible mechanism of phosphorus solubilization during composting with enriched phosphate-solubilizing bacteria inoculation. Bioresour. Technol. 2018, 247, 190–199. [Google Scholar] [CrossRef] [PubMed]
- Saxena, J.; Rana, G.; Pandey, M. Impact of addition of biochar along with Bacillus sp on growth and yield of French beans. Sci. Horticult. 2013, 162, 351–356. [Google Scholar] [CrossRef]
- Rashid, M.I.; Mujawar, L.H.; Shahzad, T.; Almeelbi, T.; Ismail, I.M.I.; Oves, M. Bacteria and fungi can contribute to nutrients bioavailability and aggregate formation in degraded soils. Microbiol. Res. 2016, 183, 26–41. [Google Scholar] [CrossRef] [PubMed]
- Treseder, K.K. Nitrogen additions and microbial biomass: A meta-analysis of ecosystem studies. Ecol. Lett. 2008, 11, 1111–1120. [Google Scholar] [CrossRef] [PubMed]
- Liu, L.; Gundersen, P.; Zhang, T.; Mo, J. Effects of phosphorus addition on soil microbial biomass and community composition in three forest types in tropical China. Soil Biol. Biochem. 2012, 44, 31–38. [Google Scholar] [CrossRef]
- Hadas, A.; Sofer, M.; Molina, J.A.E.; Barak, P.; Clapp, C.E. Assimilation of nitrogen by soil microbial population: NH4 versus organic N. Soil Biol. Biochem. 1992, 24, 137–143. [Google Scholar] [CrossRef]
- Yang, L.J.; Zhang, L.L.; Geisseler, D.; Wu, Z.J.; Gong, P.; Xue, Y.; Yu, C.X.; Juan, Y.H.; Horwath, W.R. Available C and N affect the utilization of glycine by soil microorganisms. Geoderma 2016, 283, 32–38. [Google Scholar] [CrossRef]
- Wang, H.Y.; Nie, Y.; Butterly, C.R.; Wang, L.; Chen, Q.H.; Tian, W.; Song, B.B.; Xi, Y.G.; Wang, Y. Fertilization alters microbial community composition and functional patterns by changing the chemical nature of soil organic carbon: A field study in a Halosol. Geoderma 2017, 292, 17–24. [Google Scholar] [CrossRef]
- Cai, F.; Chen, W.; Wei, Z.; Pang, G.; Li, R.X.; Ran, W.; Shen, Q.R. Colonization of Trichoderma harzianum strain SQR-T037 on tomato roots and its relationship to plant growth, nutrient availability and soil microflora. Plant Soil 2015, 388, 337–350. [Google Scholar] [CrossRef]
- Yang, Q.; Zhang, H.; Guo, Y.; Tian, T. Influence of Chicken Manure Fertilization on Antibiotic-Resistant Bacteria in Soil and the Endophytic Bacteria of Pakchoi. Int. J. Environ. Res. Public Health 2016, 13, 662. [Google Scholar] [CrossRef]
- Marschner, P.; Kandeler, E.; Marschner, B. Structure and function of the soil microbial community in a long-term fertilizer experiment. Soil Biol. Biochem. 2003, 35, 453–461. [Google Scholar] [CrossRef]
- Frey, S.D.; Knorr, M.; Parrent, J.L.; Simpson, R.T. Chronic nitrogen enrichment affects the structure and function of the soil microbial community in temperate hardwood and pine forests. Ecol. Manag. 2004, 196, 159–171. [Google Scholar] [CrossRef]
- Liu, J.X.; Huang, W.J.; Zhou, G.Y.; Zhang, D.Q.; Liu, S.Z.; Li, Y.Y. Nitrogen to phosphorus ratios of tree species in response to elevated carbon dioxide and nitrogen addition in subtropical forests. Glob. Chang. Biol. 2013, 19, 208–216. [Google Scholar] [CrossRef] [PubMed]
- Liu, J.X.; Li, Y.Y.; Xu, Y.; Liu, S.G.; Huang, W.J.; Fang, X.; Yin, G.C. Phosphorus uptake in four tree species under nitrogen addition in subtropical China. Environ. Sci. Pollut. R 2017, 24, 20005–20014. [Google Scholar] [CrossRef] [PubMed]
- Park, J.H.; Bolan, N. Lead immobilization and bioavailability in microbial and root interface. J. Hazard. Mater. 2013, 261, 777–783. [Google Scholar] [CrossRef] [PubMed]
- De Bolle, S.; Gebremikael, M.T.; Maervoet, V.; De Neve, S. Performance of phosphate-solubilizing bacteria in soil under high phosphorus conditions. Biol. Fert. Soils 2013, 49, 705–714. [Google Scholar] [CrossRef]
- Sanz-Saez, A.; Heath, K.D.; Burke, P.V.; Ainsworth, E.A. Inoculation with an enhanced N-2-fixing Bradyrhizobium japonicum strain (USDA110) does not alter soybean (Glycine maxMerr.) response to elevated [CO2]. Plant Cell Environ. 2015, 38, 2589–2602. [Google Scholar] [CrossRef] [PubMed]
- Porto, D.S.; Farias, E.D.C.; Chaves, J.D.; Souza, B.F.; de Medeiros, R.D.; Zilli, J.E.; da Silva, K. Symbiotic effectiveness of Bradyrhizobium ingae in promoting growth of Inga edulis Mart. seedlings. Rev. Bras. Cienc. Solo 2017, 41, e0160222. [Google Scholar] [CrossRef]
- Hacquard, S.; Garrido-Oter, R.; Gonzalez, A.; Spaepen, S.; Ackermann, G.; Lebeis, S.; McHardy, A.C.; Dangl, J.L.; Knight, R.; Ley, R.; et al. Microbiota and Host Nutrition across Plant and Animal Kingdoms. Cell Host Microbe 2015, 17, 603–616. [Google Scholar] [CrossRef] [PubMed]
© 2019 by the authors. Licensee MDPI, Basel, Switzerland. This article is an open access article distributed under the terms and conditions of the Creative Commons Attribution (CC BY) license (http://creativecommons.org/licenses/by/4.0/).




