Test–Retest Reliability of Functional Electromechanical Dynamometer on Five Sit-to-Stand Measures in Healthy Young Adults
Abstract
1. Introduction
2. Materials and Methods
2.1. Subjects
2.2. Study Design
2.3. Testing Procedures
2.4. Statistical Analyses
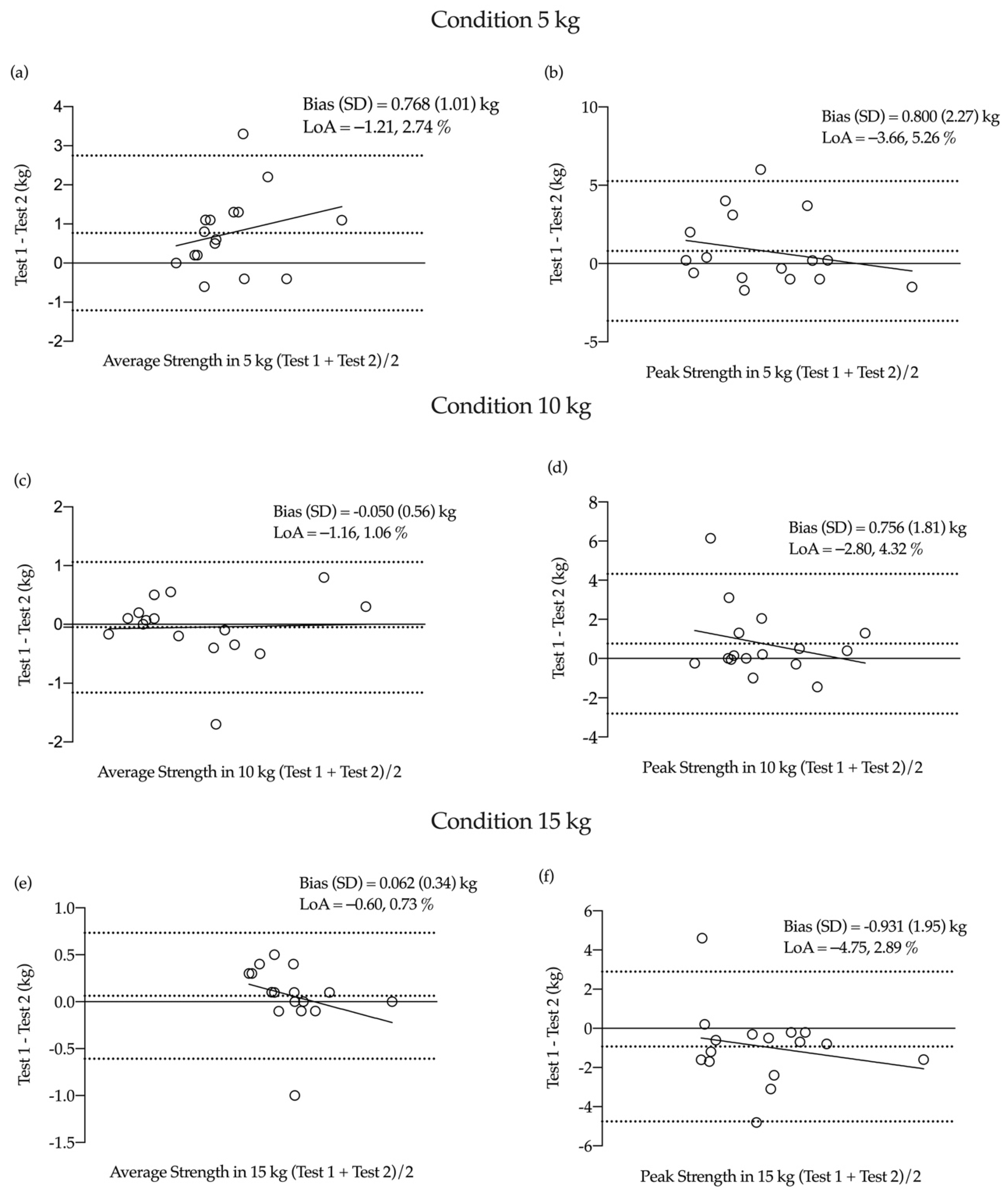
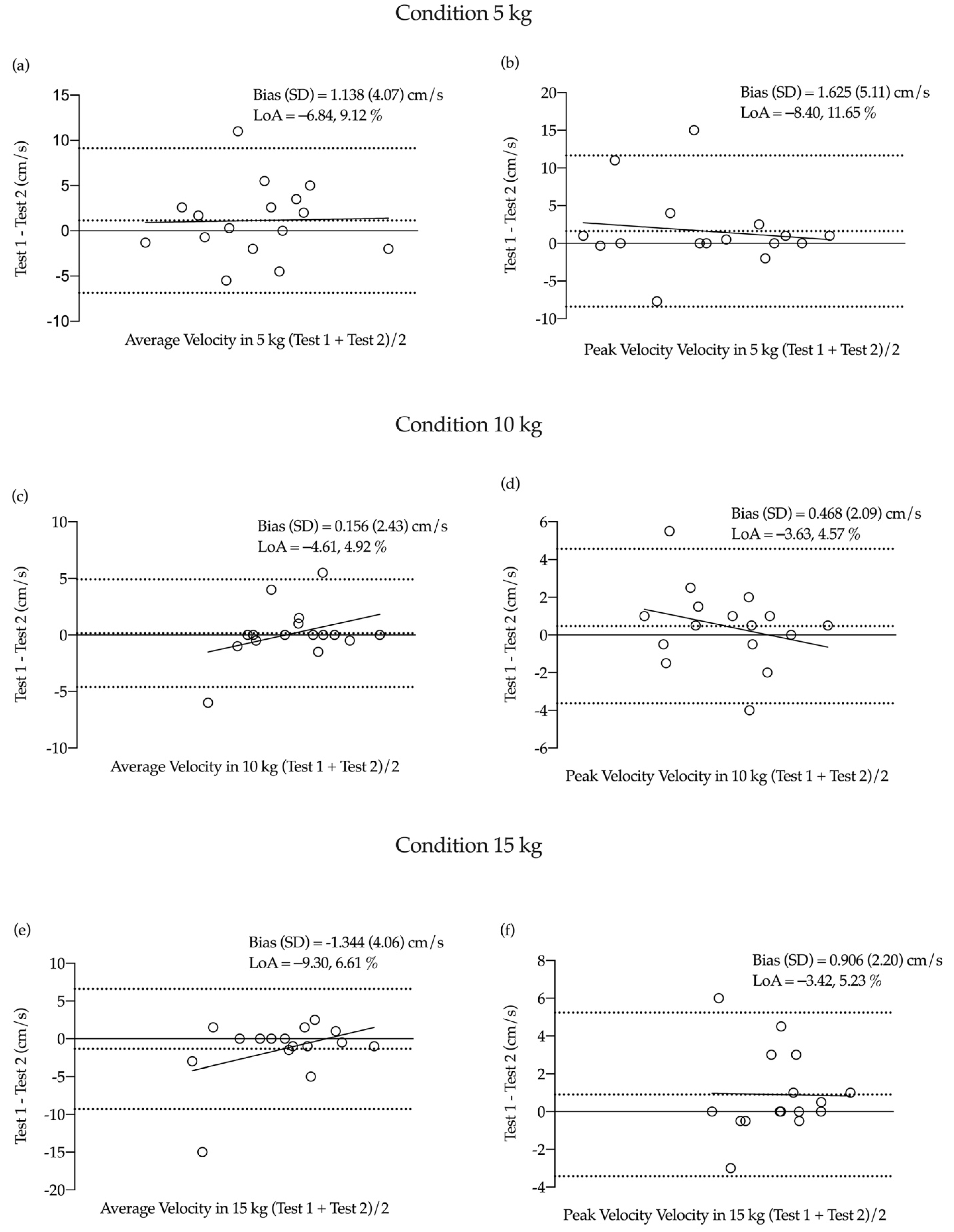
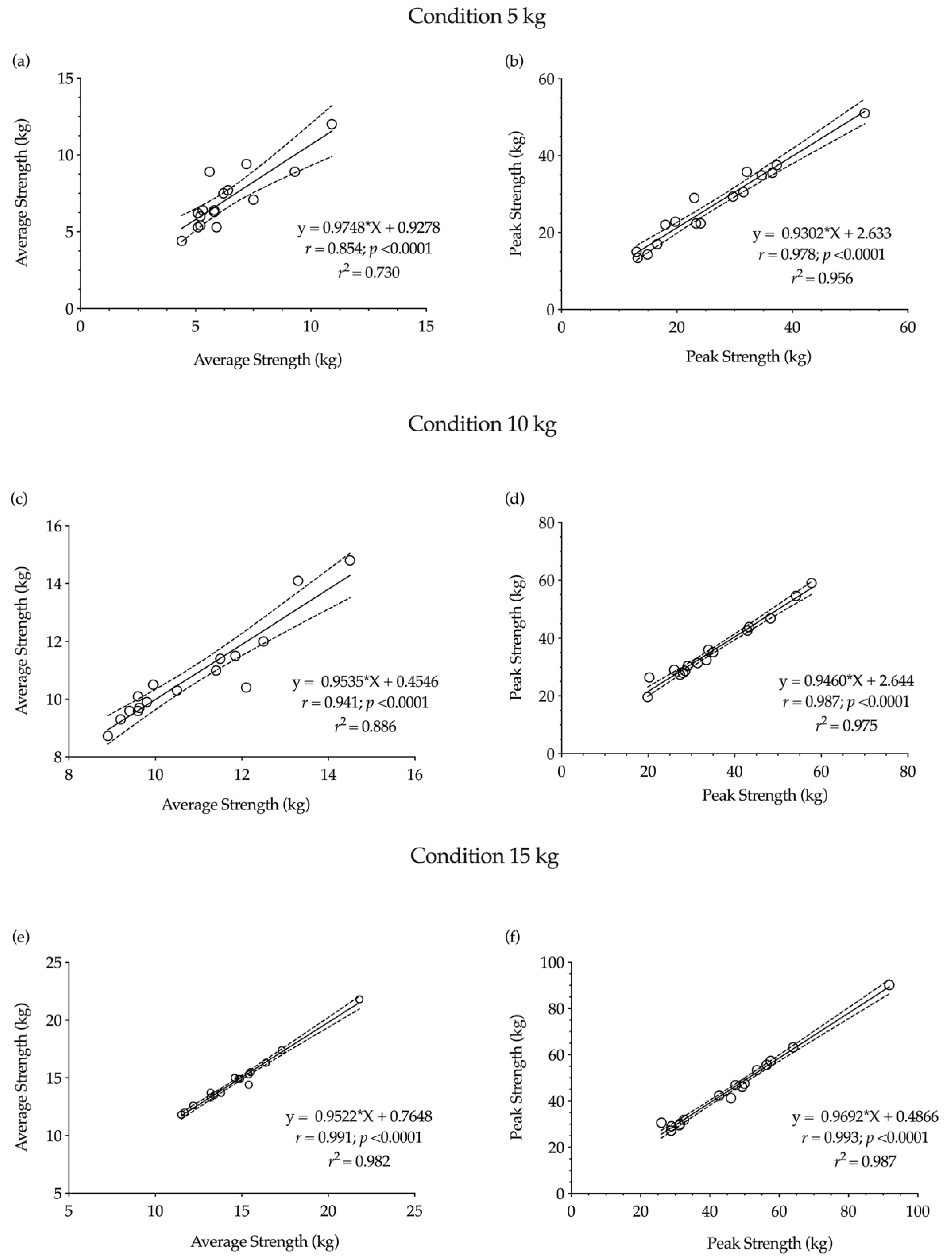
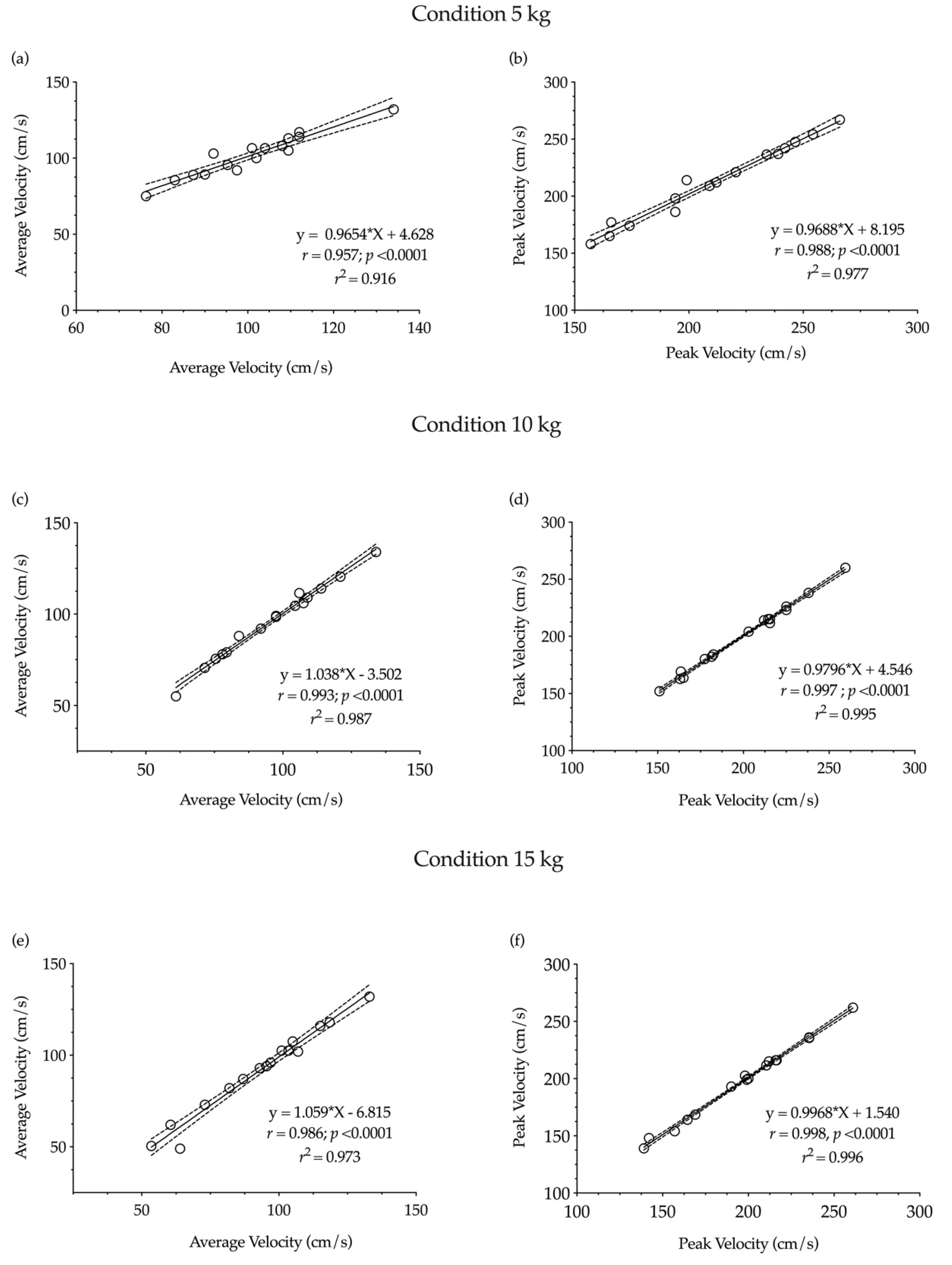
3. Results
4. Discussion
5. Conclusions
Author Contributions
Funding
Institutional Review Board Statement
Informed Consent Statement
Acknowledgments
Conflicts of Interest
References
- Dall, P.M.; Kerr, A. Frequency of the sit to stand task: An observational study of free-living adults. Appl. Ergon. 2010, 41, 58–61. [Google Scholar] [CrossRef]
- Janssen, W.G.M.; Bussmann, H.B.J.; Stam, H.J. Determinants of the sit-to-stand movement: A review. Phys. Ther. 2002, 82, 866–879. [Google Scholar] [CrossRef]
- Pickford, C.G.; Findlow, A.H.; Kerr, A.; Banger, M.; Clarke-Cornwell, A.M.; Hollands, K.L.; Quinn, T.; Granat, M.H. Quantifying sit-to-stand and stand-to-sit transitions in free-living environments using the activPAL thigh-worn activity monitor. Gait Posture 2019, 73, 140–146. [Google Scholar] [CrossRef]
- Eriksrud, O.; Bohannon, R.W. Relationship of knee extension force to independence in sit-to-stand performance in patients receiving acute rehabilitation. Phys. Ther. 2003, 83, 544–551. [Google Scholar] [CrossRef]
- Roebroeck, M.E.; Doorenbosch, C.A.; Harlaar, J.; Jacobs, R.; Lankhorst, G.J. Biomechanics and muscular activity during sit-to-stand transfer. Clin. Biomech. 1994, 9, 235–244. [Google Scholar] [CrossRef]
- Caruthers, E.J.; Thompson, J.A.; Chaudhari, A.M.W.; Schmitt, L.C.; Best, T.M.; Saul, K.R.; Siston, R.A. Muscle Forces and Their Contributions to Vertical and Horizontal Acceleration of the Center of Mass During Sit-to-Stand Transfer in Young, Healthy Adults. J. Appl. Biomech. 2016, 32, 487–503. [Google Scholar] [CrossRef]
- Schenkman, M.; Berger, R.A.; Riley, P.O.; Mann, R.W.; Hodge, W.A. Whole-body movements during rising to standing from sitting. Phys. Ther. 1990, 70, 638–651. [Google Scholar] [CrossRef] [PubMed]
- Riley, P.O.; Schenkman, M.L.; Mann, R.W.; Hodge, W.A. Mechanics of a constrained chair-rise. J. Biomech. 1991, 24, 77–85. [Google Scholar] [CrossRef]
- Hatamoto, Y.; Yamada, Y.; Higaki, Y.; Tanaka, H. A novel approach for measuring energy expenditure of a single sit-to-stand movement. Eur. J. Appl. Physiol. 2016, 116, 997–1004. [Google Scholar] [CrossRef]
- Inai, T.; Takabayashi, T.; Edama, M.; Kubo, M. Effect of hip joint angle at seat-off on hip joint contact force during sit-to-stand movement: A computer simulation study. Biomed. Eng. Online 2018, 17, 177. [Google Scholar] [CrossRef]
- Mao, Y.R.; Wu, X.Q.; Li Zhao, J.; Lo, W.L.A.; Chen, L.; Ding, M.H.; Xu, Z.Q.; Bian, R.H.; Huang, D.F.; Li, L. The crucial changes of sit-to-stand phases in subacute stroke survivors identified by movement decomposition analysis. Front. Neurol. 2018. [Google Scholar] [CrossRef]
- Shojaei, I.; Salt, E.G.; Hooker, Q.; Bazrgari, B. Mechanical demands on the lower back in patients with non-chronic low back pain during a symmetric lowering and lifting task. J. Biomech. 2018, 70, 255–261. [Google Scholar] [CrossRef]
- Van Lummel, R.C.; Walgaard, S.; Maier, A.B.; Ainsworth, E.; Beek, P.J.; van Dieën, J.H. The Instrumented Sit-to-Stand Test (iSTS) Has Greater Clinical Relevance than the Manually Recorded Sit-to-Stand Test in Older Adults. PLoS ONE 2016, 11, e0157968. [Google Scholar] [CrossRef] [PubMed]
- Mateos-Angulo, A.; Galán-Mercant, A.; Cuesta-Vargas, A.I. Muscle thickness contribution to sit-to-stand ability in institutionalized older adults. Aging Clin. Exp. Res. 2019. [Google Scholar] [CrossRef]
- Bohannon, R.W. Measurement of sit-to-stand among older adults. Top. Geriatr. Rehabil. 2012, 28, 11–16. [Google Scholar] [CrossRef]
- Chorin, F.; Cornu, C.; Beaune, B.; Frère, J.; Rahmani, A. Sit to stand in elderly fallers vs non-fallers: New insights from force platform and electromyography data. Aging Clin. Exp. Res. 2016, 28, 871–879. [Google Scholar] [CrossRef]
- Regterschot, G.R.H.; Zhang, W.; Baldus, H.; Stevens, M.; Zijlstra, W. Test-retest reliability of sensor-based sit-to-stand measures in young and older adults. Gait Posture 2014, 40, 220–224. [Google Scholar] [CrossRef]
- Gurses, H.N.; Zeren, M.; Denizoglu Kulli, H.; Durgut, E. The relationship of sit-to-stand tests with 6-minute walk test in healthy young adults. Medicine 2018, 97. [Google Scholar] [CrossRef]
- Guarrera-Bowlby, P.L.; Gentile, A.M. Form and variability during sit-to-stand transitions: Children versus adults. J. Mot. Behav. 2004, 36, 104–114. [Google Scholar] [CrossRef] [PubMed]
- Mertz, K.H.; Reitelseder, S.; Jensen, M.; Lindberg, J.; Hjulmand, M.; Schucany, A.; Binder Andersen, S.; Bechshoeft, R.L.; Jakobsen, M.D.; Bieler, T.; et al. Influence of between-limb asymmetry in muscle mass, strength, and power on functional capacity in healthy older adults. Scand. J. Med. Sci. Sports 2019, 29, 1901–1908. [Google Scholar] [CrossRef] [PubMed]
- Hammami, M.; Negra, Y.; Billaut, F.; Hermassi, S.; Shephard, R.J.; Chelly, M.S. Effects of Lower-Limb Strength Training on Agility, Repeated Sprinting With Changes of Direction, Leg Peak Power, and Neuromuscular Adaptations of Soccer Players. J. Strength Cond. Res. 2018, 32, 37–47. [Google Scholar] [CrossRef]
- Bohannon, R.W. Sit-to-stand test for measuring performance of lower extremity muscles. Percept. Mot. Skills 1995, 80, 163–166. [Google Scholar] [CrossRef] [PubMed]
- Rodrigues-De-Paula Goulart, F.; Valls-Solé, J. Patterned electromyographic activity in the sit-to-stand movement. Clin. Neurophysiol. 1999, 110, 1634–1640. [Google Scholar] [CrossRef]
- Macaluso, A.; De Vito, G. Muscle strength, power and adaptations to resistance training in older people. Eur. J. Appl. Physiol. 2004, 91, 450–472. [Google Scholar] [CrossRef]
- Goodpaster, B.H.; Park, S.W.; Harris, T.B.; Kritchevsky, S.B.; Nevitt, M.; Schwartz, A.V.; Simonsick, E.M.; Tylavsky, F.A.; Visser, M.; Newman, A.B. The loss of skeletal muscle strength, mass, and quality in older adults: The Health, Aging and Body Composition Study. J. Gerontol. Ser. Biol. Sci. Med. Sci. 2006, 61, 1059–1064. [Google Scholar] [CrossRef] [PubMed]
- Alcazar, J.; Losa-Reyna, J.; Rodriguez-Lopez, C.; Alfaro-Acha, A.; Rodriguez-Mañas, L.; Ara, I.; García-García, F.J.; Alegre, L.M. The sit-to-stand muscle power test: An easy, inexpensive and portable procedure to assess muscle power in older people. Exp. Gerontol. 2018, 112, 38–43. [Google Scholar] [CrossRef] [PubMed]
- Bergquist, R.; Weber, M.; Schwenk, M.; Ulseth, S.; Helbostad, J.L.; Vereijken, B.; Taraldsen, K. Performance-based clinical tests of balance and muscle strength used in young seniors: A systematic literature review. BMC Geriatr. 2019, 19, 9. [Google Scholar] [CrossRef]
- Dvir, Z.; Müller, S. Multiple-Joint Isokinetic Dynamometry: A Critical Review. J. Strength Cond. Res. 2020. [Google Scholar] [CrossRef] [PubMed]
- Rodriguez-Perea, A.; Ríos, L.J.C.; Martinez-Garcia, D.; Ulloa-Díaz, D.; Rojas, F.G.; Jerez-Mayorga, D.; Rios, I.J.C. Reliability of isometric and isokinetic trunk flexor strength using a functional electromechanical dynamometer. PeerJ 2019, 7, e7883. [Google Scholar] [CrossRef]
- Vega, E.C.; Jerez-Mayorga, D.; Payer, R.M.; Jara, C.C.; Guzman-Guzman, I.; Ponce, A.R.; Chirosa, L.J. Validity and reliability of evaluating hip abductor strength using different normalization methods in a functional electromechanical device. PLoS ONE 2018, 13, e0202248. [Google Scholar] [CrossRef]
- Chamorro, C.; de la Fuente, C.; Rubio, J.; Campos, C.; Chirosa, L.J. Absolute reliability and concurrent validity of a novel electromechanical pulley dynamometer for measuring shoulder rotation isometric strength in asymptomatic subjects. Study conducted at Pontificia Universidad Católica, Santiago, Chile. J. Pak. Med. Assoc. 2019, 69, 1000–1005. [Google Scholar]
- Chamorro, C.; De La Fuente, C.; Jerez, D.; Campos, C.; Chirosa, L.J. Reliability of shoulder rotators isometric strength test using a novel pulley electromechanical dynamometer. Influence of the assessment position. Asian J. Sports Med. 2018, 9. [Google Scholar] [CrossRef]
- Fàbrica, C.G.; Ferraro, D.; Mercado-Palomino, E.; Molina-Molina, A.; Chirosa-Rios, I. Differences in Utilization of Lower Limb Muscle Power in Squat Jump With Positive and Negative Load. Front. Physiol. 2020, 11, 573. [Google Scholar] [CrossRef] [PubMed]
- Machado-Payer, R.; Latorre-Román, P.Á.; Jerez-Mayorga, D.; Chirosa, L.J.; Ábalos-Medina, G. Muscle Quality Index as a Predictor of Hip Osteoarthritis. Top. Geriatr. Rehabil. 2020, 36, 50–54. [Google Scholar] [CrossRef]
- Jerez-Mayorga, D.; Chirosa Ríos, L.J.; Reyes, A.; Delgado-Floody, P.; Machado Payer, R.; Guisado Requena, I.M. Muscle quality index and isometric strength in older adults with hip osteoarthritis. PeerJ 2019, 7, e7471. [Google Scholar] [CrossRef] [PubMed]
- Barboza González, P.; Chirosa Ríos, L.J.; Ulloa Díaz, D.; Chirosa Ríos, I.; Fuentealba Urra, S.; Guede Rojas, F.; Mardones Herrera, S.; Rebolledo Torres, E. Effect of muscle strength at different intensities on resting energy expenditure. J. Hum. Sport Exerc. 2017, 12, 668–679. [Google Scholar] [CrossRef]
- Soriano-Maldonado, A.; Carrera-Ruiz, Á.; Díez-Fernández, D.M.; Esteban-Simón, A.; Maldonado-Quesada, M.; Moreno-Poza, N.; García-Martínez, M.D.M.; Alcaraz-García, C.; Vázquez-Sousa, R.; Moreno-Martos, H.; et al. Effects of a 12-week resistance and aerobic exercise program on muscular strength and quality of life in breast cancer survivors: Study protocol for the EFICAN randomized controlled trial. Medicine 2019, 98, e17625. [Google Scholar] [CrossRef] [PubMed]
- Miranda-Fuentes, C.; Guisado-Requena, I.M.; Delgado-Floody, P.; Arias-Poblete, L.; Pérez-Castilla, A.; Jerez-Mayorga, D.; Chirosa-Rios, L.J. Reliability of low-cost near-infrared spectroscopy in the determination of muscular oxygen saturation and hemoglobin concentration during rest, isometric and dynamic strength activity. Int. J. Environ. Res. Public Health 2020, 17, 8824. [Google Scholar] [CrossRef]
- Martinez-Garcia, D.; Rodriguez-Perea, A.; Barboza, P.; Ulloa-Díaz, D.; Jerez-Mayorga, D.; Chirosa, I.; Chirosa Ríos, L.J. Reliability of a standing isokinetic shoulder rotators strength test using a functional electromechanical dynamometer: Effects of velocity. PeerJ 2020, 8, e9951. [Google Scholar] [CrossRef]
- Jerez-Mayorga, D.; Delgado-Floody, P.; Intelangelo, L.; Campos-Jara, C.; Arias-Poblete, L.; García-Verazaluce, J.; Garcia-Ramos, A.; Chirosa, L.J. Behavior of the muscle quality index and isometric strength in elderly women. Physiol. Behav. 2020, 227, 113145. [Google Scholar] [CrossRef] [PubMed]
- Rodriguez-Perea, Á.; Jerez-Mayorga, D.; García-Ramos, A.; Martínez-García, D.; Chirosa Ríos, L.J. Reliability and concurrent validity of a functional electromechanical dynamometer device for the assessment of movement velocity. Proc. Inst. Mech. Eng. Part P J. Sport. Eng. Technol. 2021, 175433712098488. [Google Scholar] [CrossRef]
- Sherwood, J.J.; Inouye, C.; Webb, S.L.; Jenny, O. Reliability and Validity of the Sit-to-Stand as a Muscular Power Measure in Older Adults. J. Aging Phys. Act. 2019. [Google Scholar] [CrossRef]
- Hopkins, W.G.; Marshall, S.W.; Batterham, A.M.; Hanin, J. Progressive statistics for studies in sports medicine and exercise science. Med. Sci. Sports Exerc. 2009, 41, 3–12. [Google Scholar] [CrossRef]
- Weir, J.P. Quantifying test-retest reliability using the intraclass correlation coefficient and the SEM. J. Strength Cond. Res. 2005, 19, 231–240. [Google Scholar] [CrossRef] [PubMed]
- James, L.P.; Roberts, L.A.; Haff, G.G.; Kelly, V.G.; Beckman, E.M. Validity and Reliability of a Portable Isometric Mid-Thigh Clean Pull. J. Strength Cond. Res. 2017, 31, 1378–1386. [Google Scholar] [CrossRef] [PubMed]
- Bland, J.M.; Altman, D.G. Statistical methods for assessing agreement between two methods of clinical measurement. Lancet 1986, 1, 307–310. [Google Scholar] [CrossRef]
- Hopkins, W. Spreadsheets for analysis of validity and reliability. Sportscience 2015, 19, 36–42. [Google Scholar]
- Jara, C.A.C.; González, I.J.B.; Ríos, L.J.C.; Tamayo, I.M.; Fuenzalida, A.E.L.; Ríos, I.J.C. Validity and reliability of the haefni health system 1.0 device in the measurement of the isokinetic velocity range. Cuad. Psicol. Deport. 2014, 14, 91–98. [Google Scholar] [CrossRef]
- Hopkins, W.G. Measures of reliability in sports medicine and science. Sport. Med. 2000, 30, 1–15. [Google Scholar] [CrossRef]
- Jara, C.C.; Ríos, L.J.C.; Mayorga, D.J.; Rios, I.C.; Salazar, C.M.; Beraldo, P.C. Comparison of two incremental protocols for evaluation of hip extension. J. Fisioter. Mov. 2017, 30, 133–140. [Google Scholar] [CrossRef][Green Version]
- Mong, Y.; Teo, T.W.; Ng, S.S. 5-Repetition Sit-to-Stand Test in Subjects With Chronic Stroke: Reliability and Validity. Arch. Phys. Med. Rehabil. 2010, 91, 407–413. [Google Scholar] [CrossRef] [PubMed]
- Medina-Mirapeix, F.; Vivo-Fernández, I.; López-Cañizares, J.; García-Vidal, J.A.; Benítez-Martínez, J.C.; del Baño-Aledo, M.E. Five times sit-to-stand test in subjects with total knee replacement: Reliability and relationship with functional mobility tests. Gait Posture 2018, 59, 258–260. [Google Scholar] [CrossRef] [PubMed]
- Cani, K.C.; Silva, I.J.C.S.; Karloh, M.; Gulart, A.A.; Matte, D.L.; Mayer, A.F. Reliability of the five-repetition sit-to-stand test in patients with chronic obstructive pulmonary disease on domiciliary oxygen therapy. Physiother. Theory Pract. 2020, 36, 219–225. [Google Scholar] [CrossRef] [PubMed]
- Kumban, W.; Amatachaya, S.; Emasithi, A.; Siritaratiwat, W. Five-times-sit-to-stand test in children with cerebral palsy: Reliability and concurrent validity. NeuroRehabilitation 2013, 32, 9–15. [Google Scholar] [CrossRef]
- De Melo, T.A.; Duarte, A.C.M.; Bezerra, T.S.; França, F.; Soares, N.S.; Brito, D. The five times sit-to-stand test: Safety and reliability with older intensive care unit patients at discharge. Rev. Bras. Ter. Intensiva 2019, 31, 27–33. [Google Scholar] [CrossRef]





| Condition | Session 1 (Mean ± SD) | Session 2 (Mean ± SD) | p-Value | ES (95% CI) | CV (95% CI) | SEM (95% CI) | ICC (95% CI) | |
|---|---|---|---|---|---|---|---|---|
| Average Strength (kg) | 5 kg | 6.3 ± 1.7 | 7.1 ± 1.9 | 0.008 | 0.42 (−0.258–1.1459) | 10.67 (7.88–16.52) | 0.71 (0.53–1.11) | 0.87 (0.66–0.95) |
| 10 kg | 10.9 ± 1.6 | 10.8 ± 1.7 | 0.728 | −0.03 (−1.041–0.92) | 3.70 (2.73–5.72) | 0.40 (0.30–0.62) | 0.95 (0.86–0.98) | |
| 15 kg | 14.7 ± 2.5 | 14.8 ± 2.4 | 0.476 | 0.03 (−0.939–1.021) | 1.64 (1.21–2.54) | 0.24 (0.18–0.37) | 0.99 (0.98–1.00) | |
| Peak Strength (kg) | 5 kg | 26.3 ± 10.8 | 27.1 ± 10.3 | 0.180 | 0.08 (−0.905–1.056) | 6.04 (4.46–9.35) | 1.61 (1.19–2.49) | 0.98 (0.94–0.99) |
| 10 kg | 35.0 ± 11.3 | 35.7 ± 10.8 | 0.116 | 0.07 (−0.917–1.044) | 4.18 (2.88–7.63) | 0.40 (0.30–0.62) | 0.98 (0.94–0.99) | |
| 15 kg | 46.1 ± 17.1 | 45.2 ± 16.6 | 0.075 | −0.06 (−1.034–0.927) | 3.02 (2.23–4.68) | 0.24 (0.18–0.37) | 0.99 (0.98–1.00) |
| Condition | Session 1 (Mean ± SD) | Session 2 (Mean ± SD) | p-Value | ES (95% CI) | CV (95% CI) | SEM (95% CI) | ICC (95% CI) | |
|---|---|---|---|---|---|---|---|---|
| Average Velocity (cm/s) | 5 kg | 100.8 (13.9) | 102.0 (14.0) | 0.281 | 0.08 (−0.894–1.066) | 2.84 (2.10–4.40) | 2.88 (2.13–4.46) | 0.96 (0.90–0.99) |
| 10 kg | 95.8 (19.8) | 95.9 (20.7) | 0.800 | 0.01 (−0.975–0.985) | 1.80 (1.33–2.78) | 1.72 (1.27–2.66) | 0.99 (0.98–1.00) | |
| 15 kg | 93.0 (22.0) | 91.7 (23.6) | 0.205 | −0.06 (−1.037–0.923) | 3.11 (2.30–4.81) | 2.87(2.12–4.44) | 0.99 (0.96–1.00) | |
| Peak Velocity (cm/s) | 5 kg | 210.8 (34.3) | 212.4 (33.6) | 0.223 | 0.05 (−0.933–1.027) | 1.71 (1.26–2.65) | 3.62 (2.67–5.60) | 0.99 (0.97–1.00) |
| 10 kg | 199.5 (31.2) | 200.0 (30.6) | 0.385 | 0.02 (−0.964–0.996) | 0.74 (0.55–1.15) | 1.48 (1.09–2.29) | 1.00 (0.99–1.00) | |
| 15 kg | 196.6 (34.7) | 197.5 (34.7) | 0.121 | 0.03 (−0.954–1.006) | 0.79 (0.59–1.23) | 1.56 (1.15–2.42) | 1.00 (1.00–1.00) |
Publisher’s Note: MDPI stays neutral with regard to jurisdictional claims in published maps and institutional affiliations. |
© 2021 by the authors. Licensee MDPI, Basel, Switzerland. This article is an open access article distributed under the terms and conditions of the Creative Commons Attribution (CC BY) license (https://creativecommons.org/licenses/by/4.0/).
Share and Cite
Jerez-Mayorga, D.; Huerta-Ojeda, Á.; Chirosa-Ríos, L.J.; Guede-Rojas, F.; Guzmán-Guzmán, I.P.; Intelangelo, L.; Miranda-Fuentes, C.; Delgado-Floody, P. Test–Retest Reliability of Functional Electromechanical Dynamometer on Five Sit-to-Stand Measures in Healthy Young Adults. Int. J. Environ. Res. Public Health 2021, 18, 6829. https://doi.org/10.3390/ijerph18136829
Jerez-Mayorga D, Huerta-Ojeda Á, Chirosa-Ríos LJ, Guede-Rojas F, Guzmán-Guzmán IP, Intelangelo L, Miranda-Fuentes C, Delgado-Floody P. Test–Retest Reliability of Functional Electromechanical Dynamometer on Five Sit-to-Stand Measures in Healthy Young Adults. International Journal of Environmental Research and Public Health. 2021; 18(13):6829. https://doi.org/10.3390/ijerph18136829
Chicago/Turabian StyleJerez-Mayorga, Daniel, Álvaro Huerta-Ojeda, Luis Javier Chirosa-Ríos, Francisco Guede-Rojas, Iris Paola Guzmán-Guzmán, Leonardo Intelangelo, Claudia Miranda-Fuentes, and Pedro Delgado-Floody. 2021. "Test–Retest Reliability of Functional Electromechanical Dynamometer on Five Sit-to-Stand Measures in Healthy Young Adults" International Journal of Environmental Research and Public Health 18, no. 13: 6829. https://doi.org/10.3390/ijerph18136829
APA StyleJerez-Mayorga, D., Huerta-Ojeda, Á., Chirosa-Ríos, L. J., Guede-Rojas, F., Guzmán-Guzmán, I. P., Intelangelo, L., Miranda-Fuentes, C., & Delgado-Floody, P. (2021). Test–Retest Reliability of Functional Electromechanical Dynamometer on Five Sit-to-Stand Measures in Healthy Young Adults. International Journal of Environmental Research and Public Health, 18(13), 6829. https://doi.org/10.3390/ijerph18136829

