Abstract
Octahydro-1, 3, 5, 7-tetranitro-1, 3, 5, 7-tetrazocine (HMX) is extensively exploited in the manufacturing of explosives; therefore, a significant level of HMX contamination can be encountered near explosive production plants. For instance, up to 12 ppm HMX concentrations have been observed in the wastewater effluent of a munitions manufacturing facility, while up to 45,000 mg/kg of HMX has been found in a soil sample taken from a location close to a high-explosive production site. Owing to their immense demand for a variety of applications, the large-scale production of explosives has culminated in severe environmental issues. Soil and water contaminated with HMX can pose a detrimental impact on flora and fauna and hence, remediation of HMX is paramount. There is a rising demand to establish a sustainable technology for HMX abatement. Physiochemical and bioremediation approaches have been employed to treat HMX in the soil, groundwater, and wastewater. It has been revealed that treatment methods such as photo-peroxidation and photo-Fenton oxidation can eliminate approximately 98% of HMX from wastewater. Fenton’s reagents were found to be very effective at mineralizing HMX. In the photocatalytic degradation of HMX, approximately 59% TOC removal was achieved by using a TiO2 photocatalyst, and a dextrose co-substrate was used in a bioremediation approach to accomplish 98.5% HMX degradation under anaerobic conditions. However, each technology has some pros and cons which need to be taken into consideration when choosing an HMX remediation approach. In this review, various physiochemical and bioremediation approaches are considered and the mechanism of HMX degradation is discussed. Further, the advantages and disadvantages of the technologies are also discussed along with the challenges of HMX treatment technologies, thus giving an overview of the HMX remediation strategies.
1. Introduction
The application of diverse kinds of explosives in propelling rockets, the military, artilleries manufacturing, the mining industry, and construction is well recognized [1,2,3]. One of the most commonly used explosives is octahydro-1, 3, 5, 7-tetranitro-1, 3, 5, 7-tetrazocine, also referred to as high melting explosive (HMX). HMX is also widely recognized as an octogen as well as cyclotetramethylenetetranitramine [4]. Some important applications of HMX include the manufacturing of explosives and nuclear devices, utilization as raw material in propellant formulations, and artillery shells as burster chargers [5,6,7,8]. Additionally, HMX is often used as a vital component of secondary explosives, viz., HTA-3 [8].
Owing to its high stability, high detonation heat, and high detonation velocity, HMX has been the most extensively exploited energetic chemical for both military and commercial applications [5,9,10]. HMX is a heterocyclic compound consisting of an eight-membered ring [11,12]. HMX can exist in four different crystalline phases, viz., α, β, δ, and γ [13,14]. Under ambient conditions, β-HMX is recognized to be thermodynamically stable among all phases and δ-HMX is usually more vulnerable than β-HMX. The bandgap influences the sensitivity of the four HMX polymorphs. The order of sensitivity for HMX polymorphs is β-HMX < γ- HMX < α- HMX < δ- HMX [13]. Figure 1 depicts the trend in HMX-related publications and citations from 2000 to 2022, demonstrating the significance of HMX-based investigations.
Figure 1.
The trend of HMX-related investigations from 2000 to 2022 (based on https://www.webofscience.com/ accessed on 22 November 2022, keywords-HMX).
Explosive materials and/or their residues can be detected around explosive production plants, military firing ranges, or munitions utilization areas [12,15,16]. A significant amount of explosive-contaminated wastewater is released during the production of explosives which contaminates the surface water resources [6]. It is noteworthy that because of their high mobility in the soil as well as low adsorption, HMX can also cause groundwater contamination [8,17,18]. Additionally, the existence of HMX in the soil can adversely affect the soil profile and the diversity of microbial communities can be reduced which affects the natural degradation capabilities of soil with explosive contaminants. Various groundwater, wastewater, and soil samples have been reported to contain varying amounts of HMX (Table 1).
Table 1.
The concentration of HMX in groundwater, wastewater, and soil samples.
The occurrence of explosive pollutants in the aquatic environment and soil causes severe environmental pollution [26]. Contamination caused by the release of large amounts of HMX has become a compelling environmental dilemma across the world [26,27]. A low octanol-water partition coefficient (kow 0.06) [28], as well as poor water solubility-5 mg/L at 25 °C [29], makes HMX a recalcitrant chemical, and its long-term persistence in the environment warrants its sustainable removal [6,8]. Soil and water contamination by different explosives are well known but there has been no substantial progress on treatment approaches and understanding of the fate of explosives and their byproducts [7].
HMX is known to be mutagenic and carcinogenic for human beings and is classified as a Class D carcinogen [17,27,30]. Exposure to HMX can trigger acute poisoning, epilepsy, nausea, convulsions, and loss of consciousness [31]. HMX accumulation in the heart, kidney, liver, and brain has been reported and additionally, the liver and central nervous system can also be affected by HMX [31]. Furthermore, the degradation byproducts (as a result of the environmental impact) of HMX can also pose severe environmental threats even if present in low concentrations [32]. The detrimental impact of HMX on the soil profile is well documented as it affects the soil’s microbial community and population [20,22,31].
Different concentrations of HMX in the soil has been reported by many researchers [14,20,33]. In the United States and Europe, HMX is recognized as a key control pollutant [26]. The US Environmental Protection Agency (USEPA) has set 0.04 mg/L as the acceptable limit for HMX in drinking water [30]. However, a significant concentration of HMX has been detected in different effluents [6,25]. To meet the guidelines and reduce the harmful effect of HMX on the environment, it is crucial to treat HMX in an eco-friendly manner. However, many obstacles are associated with the treatment of HMX effluents due to their highly acidic nature and high COD levels [6]. Wastewater from the explosive and ammunitions industries contains huge amounts of contaminants with significant concentrations of nitrate and various organic nitro-compounds such as 2,4,6- trinitrotoluene (TNT), hexahydro-1,3,5-trinitro-1,3,5-triazine (RDX), HMX, nitroglycerine, etc. In addition, various chemicals such as hexamine, CH3COOH, NH4+, HNO3, and NO3− have been detected in the HMX production effluents. Further, RDX usually exists in HMX wastewater as a co-contaminant [6,30]. The composition of HMX-contaminated wastewater from different sites is displayed in Figure 2 [6,25].
Figure 2.
Characteristics of (a) ammunition manufacturing effluent [25] and (b) effluent of HMX production facilities [6].
Due to the heterogeneous composition of wastewater effluent of explosive production plants, it is challenging to develop an effective and inexpensive treatment technology. However, there is a growing need for the development of economically viable and efficient treatment technology for HMX-contaminated groundwater, wastewater, and soil.
2. HMX Remediation Approaches
In the past, several initiatives have been taken to develop a suitable approach for the treatment of HMX and other explosive chemicals in the soil and contaminated water [6,14,15,29,34]. The treatment approach can be categorized as a physicochemical or biological approach based on the treatment principle. Physiochemical remediation and bioremediation are the major approaches for HMX abatement [12,30,35].
2.1. Physicochemical Remediation
Various physicochemical remediation methods have been investigated for HMX remediation from the soil, groundwater, and wastewater. Some of them are adsorption, reduction, incineration, advanced oxidation processes (AOPs), alkaline hydrolysis, etc. [1,25,36,37,38,39,40,41,42,43,44,45,46,47]. Section 2.1 is a discussion of the various physicochemical remediation approaches; some physicochemical remediation approaches are listed in Table 2.
Table 2.
Physicochemical remediation approaches for HMX abatement.
2.1.1. Adsorption
The adsorption technique has been extensively employed in the removal of hazardous pollutants and is acknowledged to be a very promising approach owing to its high selectivity and cost-efficacy [53,54,55,56,57]. The commercially available and synthesized activated carbon-based adsorption of toxic pollutants has been reported by many researchers [58,59]. Various low-cost materials have also been examined to develop efficient activated carbon [58]. The efficiency of granular activated carbon (GAC) for the adsorption of HMX from contaminated groundwater was evaluated using a small-scale column [36]. Different types of GACs were selected for this study and among all, the Calgon F400 sample was found to be very effective in HMX removal. Explosive-loaded GAC was regenerated by using bio-regeneration where explosive-loaded GAC was degraded in a bioreactor [59]. It was noted that HMX reduced from 0.6 mg/L to 0.4 mg/L in 4 days. Furthermore, the silica-based adsorbent was employed for HMX adsorption where ammonium perchlorate oxidation was utilized for the preparation of mesoporous silicas which showed abundant surface silanol groups [50]. The ammonium perchlorate (AP)-HNO3 treated SBA-15 showed 4.7 μmol/g adsorption capacity for HMX.
In another study, HMX removal was investigated using solid-phase extraction on activated carbon prepared using spent coffee grounds [60]. Furthermore, the efficacy of various cellulosic material-based adsorbents on the adsorptive removal of various explosives, along with HMX, from stormwater was also examined [61]. Cationized pine shavings and burlap material surpassed all other materials assessed. In addition, the efficiency of commercially available cationized adsorbent materials was investigated. The efficiency of cetyltrimethylammonium chloride (CTAC) was investigated for the removal of ppb level (0.6 ppb) HMX from groundwater using a rapid small-scale column test [19]. In another study, Poly(N-isopropylacrylamide)-copoly(acrylic acid) hydrogels were synthesized for the abatement of HMX and other pollutants [52]. Batch adsorption was conducted to evaluate the removal efficiency of synthesized hydrogels. The impact of parameters, viz., temperature and pH, on the swelling of hydrogels was investigated and it was demonstrated that the hydrogels are very stable and could be a potential candidate for the removal of pollutants.
Two different types of soils, viz., agricultural topsoil (VT, 8.4% TOC) and sandy soil (SSL, 0.33% TOC), were utilized for the study of HMX sorption and degradation [51]. HMX adsorption on soil was performed at room temperature and it was noted that the TOC content of the soil did not pose any significant impact on HMX removal. Further, the removal of HMX was investigated using different nanocomposites, viz., α-Fe2O3-rGO and nZVI-rGO [37]. Batch mode adsorption experiments were performed for HMX removal. Contact time, pH, and adsorbent dosage were among the parameters that were optimized; the Freundlich isotherm was suitable for isotherm data.
2.1.2. Reduction
Zero-valent iron is very effective in organic pollutant degradation. The ability of nanoscale Zero-valent iron (nZVI) for the treatment of HMX and other explosives from wastewater was evaluated [40]. For this study, nZVI was fabricated by the co-precipitation method. The surface area and diameter of synthesized nZVI were 42.56 m2/g and 20–50 nm, respectively. The LC/MS/MS technique was used for the confirmation of HMX degradation byproducts (formaldehyde/methanol/hydrazine/dimethylhydrazine). The finding of the study indicated nZVI as an excellent candidate for the in situ degradation of explosives containing wastewater. However, it is noteworthy that in the chemical reaction, corrosion of nZVIs occurs due to the formation of Fe3O4 which affects the efficiency of nZVIs.
In another study, the role of didecyldimethylammonium bromide (didecyl) surfactant was examined for HMX destruction by zero-valent iron (Fe0) in contaminated soils [22]. It was revealed that a very low concentration of dodecyl (2% w/v with 3% of Fe0 (w/v) is required for the destruction of solid-phase HMX. Further, ZVI was utilized for HMX degradation under anoxic conditions [29]. It was demonstrated that two initial reactions, (i) reduction of the N-NO2 group to the five nitroso products and (ii) ring cleavage from either HMX or 1NO-HMX, could be accountable for the degradation of HMX. Finally, HCHO, NH4+, NH2NH2, and N2O were generated as HMX degradation byproducts. Due to the presence of NH2NH2 and HCHO, additional treatment is required.
The reduction of HMX in soil and groundwater samples was also examined using nZVI nanocomposites [32]. Reduction experiments were conducted using different systems, viz., batch, column, and a permeable reactive barrier (PRB) system. The batch mode system offered a better performance in comparison to the other systems. HMX degradation resulted in N2O, CO2, and CH4 via cleavage of the ring structure. Further, a reductive technology using a bimetallic catalyst was developed for the abatement of HMX and other explosives [39]. Two-phase reactors consisting of bimetallic particles and an aqueous stream were used for the reductive technology where the bimetallic catalyst was prepared by electroless deposition. It was reported that Fe/Ni and Fe/Cu can easily degrade explosives and that the pH affects the degradation process.
2.1.3. Advanced Oxidation Processes (AOPs)
The efficiency of AOP techniques for organic pollutant degradation is well documented [62,63,64,65,66]. AOPs such as photocatalysis using various kinds of photocatalysts, Fenton process, photo-Fenton, electro-assisted photo-Fenton processes, etc. have been investigated for HMX abatement [6,25,30,42,48].
Photocatalysis
TiO2 photocatalyst was used for HMX degradation in explosives-contaminated wastewater [43]. The influence of the initial concentration and pH on the HMX degradation and mineralization was assessed. A higher degradation of HMX was recorded in the case of low HMX concentration and a neutral pH was more effective in HMX degradation; approximately 59% TOC removal was noted for HMX. NO3−, NO2−, and NH4+ were the major byproducts. Similarly, in another report, photocatalytic degradation of HMX was conducted using UV/TiO2 [41].
Catalytic as well as advanced oxidation processes (AOPs) using UV and hydrogen peroxide were investigated for the oxidation of HMX in contaminated water [49]. Catalytic oxidation was conducted using a 4.45 wt% Pt/TiO2 catalyst. For UV photolysis, H2O2 was used as an oxidant and UV radiation was selected at 254 nm with experiments conducted at ambient conditions. The temperature was found to have a significant impact on both catalytic and non-catalytic oxidation. Additionally, HMX degradation by UV/TiO2 photocatalysis was conducted using a circular photocatalytic reactor [38]. The effect of parameters, viz., photocatalyst dose, HMX initial concentration, and initial pH, on HMX degradation was examined. It was observed that UV and TiO2 were not effective when used alone. A remarkable effect was achieved when TiO2 and UV were used together during the HMX degradation. A higher degradation rate was obtained in the neutral range of pH and degradation kinetics followed pseudo-first-order kinetics. TOC removal of 60% was obtained within 150 min and higher degradation was observed when the TiO2 dose was 0.7 g/L. With a 5 mg/L concentration of HMX, the recovery of nitrogen was approximately 70%. Analysis of the degradation byproducts confirmed the presence of NO3−, NO2−, and NH4+ in the treated samples.
Fenton and Photo-Fenton
The Fenton and photo-Fenton processes are effective in the abatement of numerous organic pollutants, including explosives residue in water bodies and soil [42,67,68]. In the study of Bhanot et al., the efficiency of different AOPs, viz., photolysis, photo-peroxidation, and photo-Fenton oxidation, for the degradation of HMX from wastewater were examined [6]. The concentration of nitrate and chemical oxygen demand (COD) was determined in treated samples. Both photo-peroxidation and photo-Fenton oxidation treatment approaches were able to remove approximately 98% of HMX from wastewater [6]. Zoh and Stenstorm investigated the Fenton oxidation of HMX at pH 3.0 [30]; the resulting kinetic data fit well with the pseudo-first-order equation (Figure 3).
Figure 3.
HMX degradation kinetics by Fenton oxidation. Adapted from Ref. [30] with permission from Elsevier.
It was reported that the concentration of Fenton’s reagent affects the reaction rate. The findings of this report demonstrated that Fenton’s reagents can efficiently mineralize HMX, resulting in the formation of nitrate as a byproduct of HMX oxidation. It was reported that 1.75 M NO3− was generated per M HMX in the Fenton process when the experimental parameters were as follows [Fe2+] 0.72 mmol/L, [H2O2] 77.6 mmol/L, and HMX molar concentration 0.015 mmol/L. Similarly, in another investigation, HMX-containing wastewater was treated by the Fenton process [48]. Effects of H2O2 dosage, FeSO4·7H2O dosage, reaction time, and pH were examined and optimized for maximum degradation. A temperature of 25 °C; pH 3.0, 0.2 mL of 1% H2O2; 8.3 mL of 0.01% FeSO4·7H2O concentration, and a reaction time of 80 min were found to be optimum for the degradation of a 4 mg/L HMX concentration. The efficiency of Fenton and photo-Fenton processes for HMX and other explosive degradation was evaluated by Liou et al. [42]; enhanced HMX degradation was achieved when a higher concentration of Fe (II) was used.
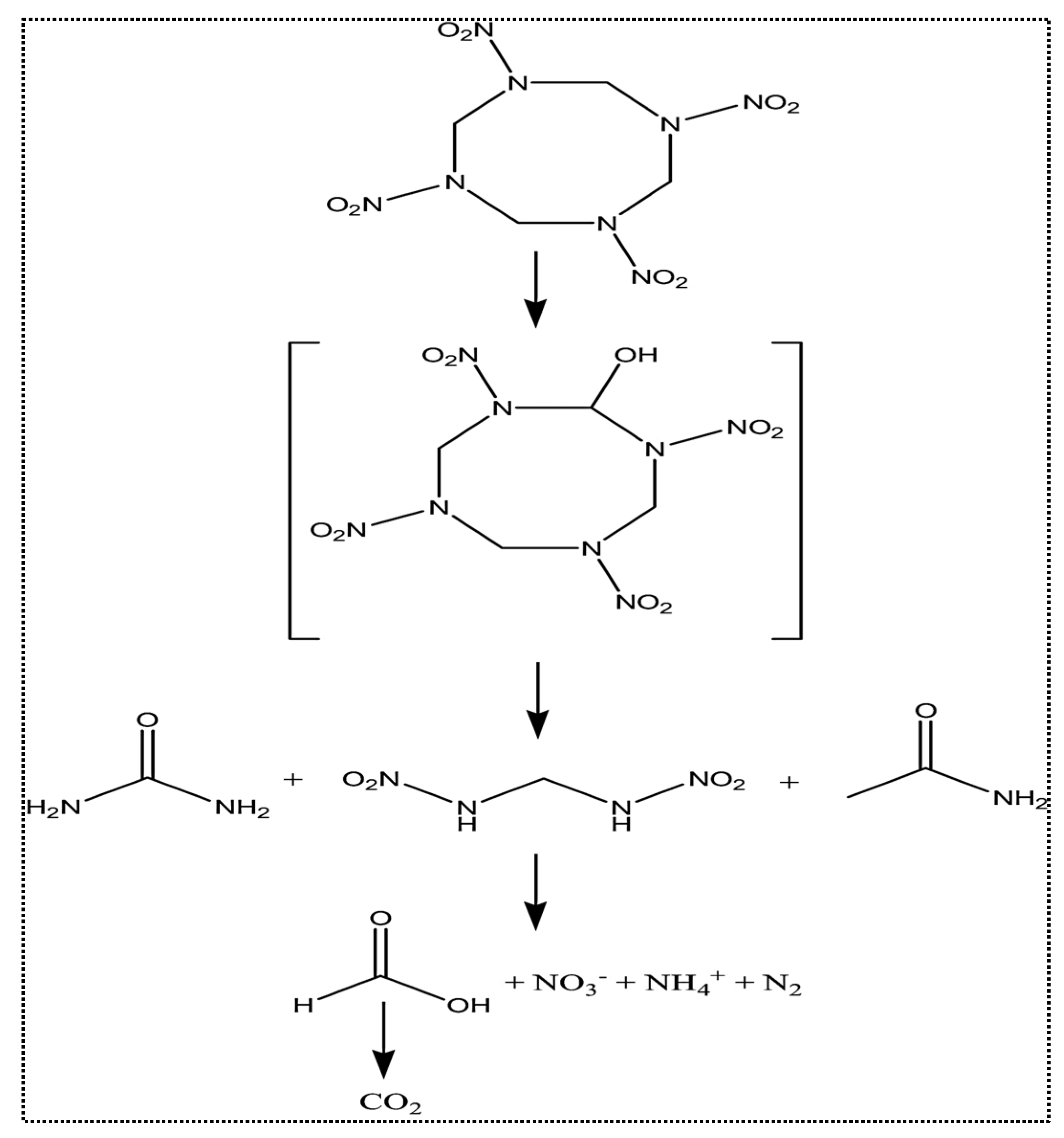
Furthermore, the electro-assisted Fenton process was utilized for HMX degradation from actual wastewater [25]. The electro-assisted Fenton process resulted in a higher degradation in comparison to Fenton and photo-Fenton processes. In the electro-assisted Fenton process, hydroxyl(•OH) radicals generate on the anode surface. It was stated that the biodegradability of effluents was enhanced after Fenton treatments which makes the further treatment of effluent by a biological approach more feasible. Formic acid and three amino derivatives were identified as intermediate byproducts and after complete mineralization, NO3−, NH4+ CO2, and water were detected in treated samples. The HMX degradation mechanism is presented in Figure 4 [25]. In HMX degradation, at the initial step, the carbon atoms of the heterocyclic ring are hydroxylated and the opening of the heterocyclic nitramines ring results in the generation of formic acid, methylene dinitramine, urea, and acetamide.
Figure 4.
The HMX degradation mechanism in electro-assisted Fenton treatment. Adapted from Ref. [25] with permission from Elsevier.
2.1.4. Other Physiochemical Approaches
Several other approaches such as incineration, alkaline hydrolysis, and utilization of subcritical water for HMX degradation have been explored by many researchers [1,20,69,70]. The incineration technique has been widely used in past for the abatement of explosive-contaminated soil, but this approach is affiliated with NOx emissions which is the main downside of this technique [69,71]. Recently, rotary kiln incineration has been reported, which demands less space than conventional incineration where hot gas is used to break down explosive waste. However, similar challenges such as NOx emissions remain intact. For the treatment of explosive waste, fluidized beds perform better than rotary kilns [69,70].
Alkaline hydrolysis is an economically feasible approach for HMX-contaminated water. The HMX degradation mechanism in alkaline hydrolysis was examined in [1]. In this study, HMX was hydrolyzed in an aqueous solution (pH 10–12.3) and the information on the generated byproducts and degradation pathways was presented. In another study, 57% elimination of HMX was reported for alkaline hydrolysis [21]. In addition, Heilmann et al. investigated the alkaline hydrolysis of HMX [72]. For HMX hydrolysis kinetics, the temperature varied from 50 to 80 °C while the pH range was selected in the alkaline range from 10–12.
A pilot-scale study for the treatment of different explosives in soil was conducted using subcritical (hot/liquid) water [20]. For this study, soil samples were gathered from defense sites. Significant degradation of HMX was obtained at 125 °C using subcritical water. It was reported that HMX degradation generates byproducts that eventually degraded to a 99.9% destruction and ca. 98% destruction of HMX. A toxicity assessment test of processed wastewater or soil leachates using Vibrio fischeri in Microtox” acute toxicity tests demonstrated no sign of toxicity.
2.2. Bioremediation
Another widely employed remediation approach for HMX treatment in soil, groundwater, and wastewater is bioremediation, which includes aerobic/anaerobic biological treatment, phytoremediation, soil mud reactor treatment and composting, etc. [8,34,73,74,75,76,77,78]. Biological treatment has been recommended as a potential approach for the treatment of HMX contaminants as an environmentally sustainable alternative [23,79,80]. In this section, we have reviewed microbial remediation and phytoremediation approaches.
Two bioremediation methods, viz., soil slurry reactor and land farming technique were assessed for explosives-contaminated soil remediation [23]. The selected soil was contaminated with varied explosives (TNT, RDX, and HMX) and the concentration of HMX in the contaminated soil was approximately 900 mg/kg of pH 6.5 soil. Although the chosen methodology was effective in reducing HMX concentrations in soil, the removal efficiency was slightly lower in contrast to other explosives (TNT and RDX). HMX biodegradation has been explored across both aerobic and anaerobic conditions in several studies [4,9]. In numerous research investigations, various microbial species have been explored for HMX remediation (Table 3).
Table 3.
Bioremediation approaches for HMX removal.
The HMX degradation in aerobic conditions was investigated by using Planomicrobium flavidum strain S5-TSA-19, which was extracted from explosive-contaminated soil [4]. Approximately 70% of HMX was degraded in 20 days and methylenedintramine (M.wt.−136 Da) and N-methyl-N,N′-dinitromethanediamine (M.wt.−149 Da) were produced from HMX degradation. It was reported that the first-order kinetics fitted well with the HMX degradation kinetic data. Furthermore, HMX aerobic biodegradation from groundwater was studied. It was demonstrated that microbial consortia decreased the HMX concentration from 6 to 1 mg/L within 5.2 days [84]; five metabolites were identified from HMX biodegradation.
In another study, Phanerochaete chrysosporium was used for the aerobic biodegradability of HMX [83]. It was reported that 600 nmol of HMX can be degraded in 25 days of incubation time when the 7 days old static P. chrysosporium liquid cultures were used for biodegradation [83]. HMX reduction was proposed via the formation of its mono-nitroso derivative (1-NO-HMX). Two possible routes for HMX degradation were suggested. The first possible route involved N-denitration followed by hydrolytic ring cleavage, while R-hydroxylation followed by ring cleavage was reported as the second route. 4-nitro-2,4-diazabutanal (NDAB), HCHO, NO2−, and N2O, were obtained from 1-NO-HMX degradation. Two different soil samples contaminated with HMX were tested and considerable mineralization was achieved in the presence of fungus. The present findings demonstrate the utility of the fungus P. chrysosporium for HMX remediation.
Wastewater generated from HMX production was treated using the aerobic granules in an aerobic granular reactor and it was demonstrated that aerobic granular sludge was effective in the separation of organic matter (97.57%) and nitrogen compounds (80%) within 40 days of treatment time [18]. In contrast to aerobic conditions, anaerobic treatment degrades HMX more effectively [15]. HMX degradation was investigated using mesophilic anaerobic granules [5]. Biotic and abiotic mechanisms were both attributed to the HMX degradation under mesophilic conditions. It is reported that 99.04% removal was achieved using volatile suspended solids/L acclimated while 96.42% removal was obtained when unacclimated granules were used. A considerable contribution of adsorption was observed in the abiotic process. An inhibitor of methanogenic bacteria (2-bromoethanesulfonic acid) affected the biotransformation of HMX and a slight inhibition in metabolic activity was reported. A significant impact was noted in the presence of an inhibitor of acetogenic bacteria (Vancomycin). HMX degradation in the presence of nitrate and sulfate was also investigated and it was observed that nitrate had a significant effect on HMX biotransformation by anaerobic granules while sulfate had a minimal effect.
In another study, the impact of carbon substrate, viz., CH3COOH, C2H5OH, C6H12O6, and soluble starch on HMX biodegradation was explored [27]. A batch system was used for the biodegradation of HMX using anaerobic mesophilic granular sludge. Glucose and acetate sources offered a better performance in contrast to ethanol and soluble starch. The carbon source concentration was found to be very critical in the biodegradation of HMX. Further, Liu et al. explored the effect of various co-substrates on the degradation of HMX from simulated wastewater under anaerobic conditions [74]. Enhanced biodegradation was observed in the existence of a dextrose and acetate co-substrate. Using a dextrose co-substrate, 98.5% degradation of HMX was accomplished in 7 days of treatment time while decreased HMX degradation was recorded when sodium nitrate was used as the co-substrate.
The effectiveness of Bacillus aryabhattai in the biotransformation of HMX was studied in [26]. The tolerance of Bacillus aryabhattai against HMX was found to be very high. It was demonstrated that HMX biotransformation takes place outside the bacterial cell. However, in presence of HMX, there was a metabolic imbalance in cells for lipids and lipid-like molecules. Bacillus aryabhattai inoculation led to a 90.5% removal of HMX within 24 h for 5 mg L−1 of HMX concentration. FTIR analysis showed the presence of the –OH functional group on the bacterial cell surface. HMX biotransformation in the presence of an enzyme was also explored [9]. Xanthine oxidase was utilized as a catalyst for HMX biotransformation, and it was observed that anaerobic conditions were more effective in comparison to aerobic conditions, and the biotransformation rate in anaerobic conditions was recorded to be 10.5 ± 0.9 nmol h−1 mg protein−1.
Furthermore, the biodegradation of HMX was investigated in different electron-acceptor conditions [7]. The sewage treatment plant’s based anaerobic digester was utilized for the development of culture. HMX biodegradation was tested under different conditions, viz., mixed electron-accepting conditions, methanogenic, fermenting, sulfate-reducing, and nitrate-reducing conditions. Methanol and chloroform were the end-products of HMX biodegradation when the mixed electron-acceptor conditions were used. A reductive pathway for HMX treatment using organic mulch (microorganism consortium) as an electron donor was also investigated [17]. In the column study with 8 ppb influent HMX, complete removal was recorded. Mulch and compost introduced to aquifers can establish an anaerobic environment and act as an electron donor, supporting the conversion of electrophilic contaminants via reductive pathways. Mulch is a low-cost naturally available electron donor which surpassed other viable options. When HMX-contaminated wastewater flows via in situ mulch PRB, it works like a slow-release source for soluble carbon electron donors which improves the HMX biodegradation.
Bioaugmentation is an effective approach for in situ remediations of contaminated soil. Eco-friendly carriers for the immobilization of microbes have a significant impact as they protect the microbes from undesirable pH conditions and the presence of hazardous compounds. The bioaugmentation approach was tested for the abatement of HMX-contaminated soil [8]. For this study, a mixture of coca peat and calcite was used for the immobilization of the soil bacterium “Janibacter cremeus”. Under aerobic and anoxic conditions, HMX was degraded in 35 days. Mass spectrometric (MS) analysis confirmed the presence of nitroso derivatives from the anoxic degradation of HMX. Two different pathways, viz., (a) two-electron reduction pathways [51] and (b) denitraion pathway [1], were proposed for HMX degradation.
The potential of the bacterial strain, Bacillus toyonensis on the HMX contaminated site was tested for HMX degradation in an aqueous medium [31]. Response surface methodology was chosen for the experimental design in this study. Parameters, viz., microbial inoculum size, degradation time, and HMX initial concentrations, were optimized. For 2 mg/L HMX, 87.7% degradation was recorded in 15 days. The determination of nitrite and nitrate concentrations confirms the HMX degradation. Anaerobic oligotrophic conditions for the biodegradation of HMX in cold marine sediment were also evaluated [85]. For a 1.2 mg/L HMX concentration, it took 50 days for a 50% reduction in HMX concentration. Improved HMX removal was noted with the availability of glucose as a carbon source. The potential of soil bacteria available in the contaminated site was used for the HMX removal from soil samples [15]. In presence of molasses as a co-substrate, HMX was degraded by soil bacteria via a co-metabolic process. A batch mode study showed that a 97% reduction in HMX concentration was achieved in 4 months of reaction time.
The biological nitrification of alkaline hydrosylate of HMX and RDX was also examined [86]. A denitrifying (anoxic) packed bed upflow reactor was used for the alkaline hydrosylate treatment of HMX which generated acetate, formate, formaldehyde, and nitrite. Within 3 h of retention time, 90% removal of organic compounds and nitrite from hydrosylate was ascertained. Denitrifying bacterial isolates of Pseudomonas (HPB1) and Bacillus (HPB2 and HPB3) were tested for HMX biodegradation [77]. The effluent for this study was collected from an HMX production plant. The wastewater characterization showed the presence of CH3COOH, NH4NO3, explosive residue, and other organic nitro bodies. HMX was efficiently degraded by the isolate HPB1. The HPB2 performed admirably in HMX-containing effluent when neutralized with NaHCO3, while samples neutralized with ammonia were not suitable for biotransformation and resulted in a lower degradation of HMX. However, denitrifying HPB1 was effective in the nitrate reduction for both the neutralizing agents.
The treatment of explosives-contaminated aquifer slurries was carried out using anaerobic biodegradation. For this purpose, C2H5OH and propylene glycol were selected as electron donors which ultimately support providing syntrophically produced H2 which participates in the HMX degradation anaerobically [87]. The slurries of explosives contaminated groundwater and soil and were used for the construction of anoxic microcosms. Enhanced biodegradation of HMX and other explosives was recorded when 5 mM C2H5OH and propylene glycol were used. C2H5OH depletion produces H2, CH3COOH, and CH4 in 20 days while propylene glycol produces H2, CH3COOH, and propionate as end-products after 15 days of degradation time. The presence of ethanol and propylene glycol in slurries provides H2 which enhances the biodegradation of HMX in the explosive-contaminated soil.
Further, for anaerobic HMX degradation, the performance of ruminal microorganisms from whole rumen fluid (WRF), and 23 commercially available ruminal strains was examined [88]. It was observed that in 24 h of degradation time, the concentration of HMX was reduced from 30 µM to 5 µM HMX. In HMX degradation, firstly nitroso or hydroxylamino intermediates were formed by HMX reduction followed by enzymatic ring cleavage to other byproducts. The HMX degradation ability to metabolize the bacteria of two unexploded ordnance (UXO) disposal sites (UXO-3 and UXO-5) and one reference site (midref) sediment was investigated [73]. Two different groups of bacteria (group I- Aerotolerant anaerobes and microaerophiles and group II facultative anaerobes) were confirmed in the UXO-5 sample by 16S rRNA sequencing. Anaerobic bacteria (group III and group IV) were available in UXO-3 and midref sediments samples. Bacteria species in different groups were as follows: group I- phylogenetic cluster of Clostridiales; group II- Paenibacillus; group III- Tepidibacter of Firmicutes; and group IV- Desulfovibrio of Deltaproteobacteria. It was observed that approximately 26.8% of HMX was mineralized by group IV bacteria in 308 days while other bacteria from other groups gave negligible mineralization.
Phytoremediation
Phytoremediation is environmentally friendly, economically viable, and a feasible alternative for the removal of explosives and is an acknowledged method used for environmental remediation [12,24,89]. The phytoremediation approach includes the utilization of green plants for the remediation of water and soil. Plant enzymes play a vital role in the oxidation/reduction of pollutants [89,90]. The uptake and biotransformation of pollutants in phytoremediation can be differentiated as phytoextraction, phytovolatilization, phytodegradation, rhizofiltration, and phytostabilization [91,92]. Usually, explosives are environmentally stable and resistant to remediation. HMX is less vulnerable to plant uptake in comparison to other explosives [28]. Various factors such as HMX concentration, ionization constant, pH of sample solutions, organic matter content, and plant physiology affect the phytoremediation of HMX [12]. A long remediation process time makes phytoremediation a time-consuming approach [12,91].
HMX uptake by hybrid poplar trees was demonstrated and various parameters for HMX uptake were investigated [11]. The HMX uptake in hybrid poplar trees was achieved through hydroponic solutions. It was observed that HMX uptake did not show any toxic effect on hybrid poplar cuttings. For HMX uptake confirmation, radiolabeled [U-14C] HMX was utilized. Further, in another study, Myriophyllum aquaticum and axenic hairy root cultures of Catharanthus roseus were used for HMX uptake [93]. The exposure level for HMX was set as 5 mg/L. Additionally, Methylobacterium sp. (strain BJ001) extracted from hybrid poplar tissues (Populus deltoides X nigra DN34) was applied for HMX degradation and it was reported that the Methylobacterium sp. was efficient in the transformation of 2.5 mg/L of [U-14C]HMX within 40 days [35]. Further, soil from an anti-tank firing range was utilized for growing indigenous terrestrial and some agricultural plants which were then utilized for the HMX degradation [28].
The potential of alfalfa (Medicago sativa) for explosive biodegradation was investigated and it was reported that HMX can be degraded by hydrolase secreted by alfalfa [75]. The degradation rate for HMX by alfalfa was 18.4% under hydroponic conditions. It has been reported that Methylobacterium populum sp. nov., strain BJ001 can degrade HMX and other explosives compounds efficiently [76]. Because autotroph plants lack enzymatic mechanisms to effectively metabolize organic contaminants, the phytoremediation approach is typically slow and incomplete [12]. In genetically modified plant species (transgenic plants), the potential of bacterial genes to degrade organic pollutants is integrated with the plants’ phytoremediation advantages. In recent years, the biodegradation of explosives using transgenic plants has sparked great attention due to their higher efficiency and tolerance towards explosives [89]. The introduction of bacterial genes, for example, nitroreductase and cytochrome P450, into plants can enhance the tolerance level of plants and degradation performance [12]. Phytoremediation could be a promising approach in the treatment of explosive-contaminated wastewater/soil and more exploration is needed for further development in transgenic plants.
3. Byproducts/End-Products of HMX Degradation Via Different Treatment Approaches
It is clear from the discussion of physicochemical and bioremediation approaches that the degradation pathway is highly dependent on the treatment approach and process parameters [94,95,96,97]. The intermediate/end-products of HMX degradation in various remediation methods are shown in Table 4. It is clear from this table that NO3−, NO2−, and NH4+ are found in the majority of the investigations, raising the possibility that secondary treatment may be required to avoid releasing these species into the environment.
Table 4.
Byproducts/end-products of HMX degradation via different treatment approaches.
4. Advantages and Disadvantages of HMX Remediation Approaches
Owing to their ever-increasing demand and a continual increase in production, HMX and other energetic materials have led to environmental pollution [3,73,75]. Due to environmental legislation and the toxicity of these contaminants, there is a growing need for the development of a sustainable approach for their removal from contaminated soil and wastewater/groundwater [6,30]. HMX has been effectively removed from the contaminated soil and wastewater by various approaches. However, these approaches have some advantages as well as disadvantages that need to be taken into consideration during the selection of any treatment tool for the remediation of HMX-contaminated soil or wastewater (Table 5).
Table 5.
Advantages and disadvantages of HMX treatment approaches.
The advantages of physicochemical methods include their fast treatment speed and wide applicability on the wider range of HMX concentrations in soil/groundwater/wastewater, and, so far, they have become the preferable methods for the remediation of HMX. Incineration is a very effective treatment approach, but it is associated with high energy consumption. Additionally, incineration can cause NOx emissions and affect soil fertility. Furthermore, incineration is an expensive treatment method for HMX abatement [20]. Adsorption is an effective approach for HMX removal; however, it results in the separation of pollutants rather than their destruction. Chemical reduction and advanced oxidation processes (AOPs) are effective in terms of degradation, but during treatment, the generation of toxic byproducts usually requires secondary treatment [102]. Some conventional treatment approaches are energy-intensive and not economically viable and are associated with the generation of toxic end-products [2,27,30].
The biological method for the removal of hazardous pollutants such as explosive wastes has been increasing in demand resulting in the exploitation of the potential of various microorganisms and plant species [74]. Owing to the low-cost and environmentally friendly processes, the biological treatment approach is very promising for the remediation of HMX-contaminated soil and water [26]. In the biological approach, microorganisms utilize explosives as their nitrogen source, but it is time-consuming [74]. In some cases, microbial consortiums are not very tolerant to explosives and can be inactivated by toxic pollutants.
Phytoremediation is another environmentally friendly approach and has many advantages over other technologies [74]. Explosives can be mineralized using phytoremediation. It was reported that the cost for phytoremediation of explosive contaminants is half that compared to any other treatment approach. The cost for soil remediation using phytoremediation was estimated at $25–$100/ton while the cost estimated for the treatment of wastewater has been reported as $0.60–$6.00/1000 gallons of wastewater [91]. However, phytoremediation requires a longer time for growing plants [26]. As plant species and plant growth are very much dependent on the climate and geological conditions, it is very much limited for a particular site. Further, HMX and byproducts of HMX may accumulate in the plant and may thus persist in the environment.
5. Challenges
The role of Octahydro-1, 3, 5, 7-tetranitro-1, 3, 5, 7-tetrazocine (HMX) in different fields is well recognized. Due to the extensive applications of HMX, different concentrations of HMX are found in soil, groundwater, and wastewater. Because of its recalcitrant nature, HMX can sustain itself in the environment for a long period. Diverse approaches to HMX mineralization, such as AOPs or bioremediation, typically produce nitrate, nitrite, and ammonium. There is a serious environmental issue associated with these end-products which demand removal, typically via biological treatment processes. Such combinations of processes should be studied together. On the other hand, after AOPs, there is a risk of the formation of disparate nitro-products due to reactive nitrogen species, and the possibility of a reaction of nitrogen species with other byproducts or residual parent products; thus, undesired toxic end-products can be formed. Therefore, meticulous monitoring of these end-products is critical, and appropriate abatement should be considered for secondary treatment to avoid the discharge of nitro-products. The degradation pathway and intermediates of explosive contaminants need to be thoroughly understood. In terms of AOPs, several very effective approaches were still not applied for HMX degradation. This relates to cavitation-based AOPs which proved synergism in the case of the removal of many groups of organic compounds [103]. A comparable research gap exists concerning sulfate radical-based AOPs (SR-AOPs) which have already been proven to be effective and sustainable oxidants [96,97]. On the other hand, HMX bioremediation approaches such as aerobic/anaerobic degradation and phytoremediation are environmentally friendly, but these treatments require a long time. Additionally, microbial species/plant species are sensitive and need careful assessment.
6. Conclusions
The application of HMX in different fields is unavoidable, hence its proper treatment is the only solution for a safe environment. There is a growing concern about developing new, cutting-edge, and sophisticated technologies for HMX remediation. Technologies such as advanced oxidation processes (AOPs), reduction, incineration, adsorption, etc. have been investigated by many scientific researchers and found to be effective in HMX treatment. However, most of the technologies are associated with a high-cost factor and additional environmental problems. Further, the development of sustainable materials for HMX abatement is complicated. Owing to the pH-dependent surface charge of photo-catalysts/adsorbents, the selection of efficient photo-catalysts/adsorbents is challenging.
Although sulfate radical-based advanced oxidation processes have turned out to be remarkably efficient in the mineralization of a variety of organic pollutants, their appropriateness for HMX treatment has not been adequately scrutinized. Bioremediation for HMX treatment has gained momentum in the past few years; however, the uptake mechanism and effect of reaction intermediates/byproducts on microbial species/plant species still need better understanding. In recent years, researchers have explored the possibilities of transgenic plants for the abatement of HMX which can enhance the treatment time and mineralization issues. However, there are many hurdles related to the transgenic plant-based remediation approach that needs to be explored. Finally, from an industrial point of view, more initiatives are required to explore simplified, reliable, and cost-effective strategies for HMX abatement in a safer manner. The integration of different techniques in a series as a pre-or post-treatment can facilitate the high removal and full mineralization of HMX. Despite the remarkable developments in recent years, some obstacles remaining in HMX treatment technologies must be resolved to make the HMX treatment approach safer, more effective, and sustainable.
Author Contributions
V.S.: Funding acquisition, Conceptualization, Writing—Original draft preparation. G.B., Writing—Reviewing and Editing. U.L.: Resources, Supervision, Writing—Reviewing and Editing. All authors have read and agreed to the published version of the manuscript.
Funding
The authors acknowledge the funding from the Academy of Finland (decision number 346537).
Institutional Review Board Statement
Not applicable.
Informed Consent Statement
Not applicable.
Data Availability Statement
Not applicable.
Conflicts of Interest
The authors declare no conflict of interest.
References
- Balakrishnan, V.K.; Halasz, A.; Hawari, J. Alkaline Hydrolysis of the Cyclic Nitramine Explosives RDX, HMX, and CL-20: New Insights into Degradation Pathways Obtained by the Observation of Novel Intermediates. Environ. Sci. Technol. 2003, 37, 1838–1843. [Google Scholar] [CrossRef]
- Chatterjee, S.; Deb, U.; Datta, S.; Walther, C.; Gupta, D.K. Common Explosives (TNT, RDX, HMX) and Their Fate in the Environment: Emphasizing Bioremediation. Chemosphere 2017, 184, 438–451. [Google Scholar] [CrossRef]
- Fawcett-Hirst, W.; Temple, T.J.; Ladyman, M.K.; Coulon, F. A Review of Treatment Methods for Insensitive High Explosive Contaminated Wastewater. Heliyon 2021, 7, e07438. [Google Scholar] [CrossRef]
- Nagar, S.; Shaw, A.K.; Anand, S.; Celin, S.M.; Rai, P.K. Aerobic Biodegradation of HMX by Planomicrobium Flavidum. 3 Biotech 2018, 8, 455. [Google Scholar] [CrossRef]
- An, C.; He, Y.; Huang, G.; Liu, Y. Performance of Mesophilic Anaerobic Granules for Removal of Octahydro-1,3,5,7-Tetranitro-1,3,5,7-Tetrazocine (HMX) from Aqueous Solution. J. Hazard. Mater. 2010, 179, 526–532. [Google Scholar] [CrossRef]
- Bhanot, P.; Celin, S.M.; Kalsi, A.; Singh, S.K.; Sahai, S.K.; Sharma, P. Treatment of High Explosive HMX (Octahydro-1, 3, 5, 7-Tetranitro-1, 3, 5, 7-Tetrazocine) Production Effluent by Advanced Oxidation Processes. Int. J. Environ. Sci. Technol. 2021. [Google Scholar] [CrossRef]
- Boopathy, R. Enhanced Biodegradation of Cyclotetramethylenetetranitramine (HMX) under Mixed Electron-Acceptor Condition. Bioresour. Technol. 2001, 76, 241–244. [Google Scholar] [CrossRef] [PubMed]
- Kalsi, A.; Celin, S.M.; Sharma, S.; Sahai, S.; Sharma, J.G. Bioaugmentation for Remediation of Octahydro-1,3,5,7-Tetranitro-1,3,5,7-Tetrazocine (HMX) Contaminated Soil Using a Clay Based Bioformulation. J. Hazard. Mater. 2021, 420, 126575. [Google Scholar] [CrossRef]
- Bhushan, B.; Paquet, L.; Halasz, A.; Spain, J.C.; Hawari, J. Mechanism of Xanthine Oxidase Catalyzed Biotransformation of HMX under Anaerobic Conditions. Biochem. Biophys. Res. Commun. 2003, 306, 509–515. [Google Scholar] [CrossRef] [PubMed][Green Version]
- Tauqeer, H.M.; Karczewska, A.; Lewińska, K.; Fatima, M.; Khan, S.A.; Farhad, M.; Turan, V.; Ramzani, P.M.A.; Iqbal, M. Chapter 36—Environmental Concerns Associated with Explosives (HMX, TNT, and RDX), Heavy Metals and Metalloids from Shooting Range Soils: Prevailing Issues, Leading Management Practices, and Future Perspectives. In Handbook of Bioremediation; Hasanuzzaman, M., Prasad, M.N.V., Eds.; Academic Press: Cambridge, MA, USA, 2021; pp. 569–590. ISBN 978-0-12-819382-2. [Google Scholar]
- Yoon, J.M.; Oh, B.-T.; Just, C.L.; Schnoor, J.L. Uptake and Leaching of Octahydro-1,3,5,7-Tetranitro-1,3,5,7-Tetrazocine by Hybrid Poplar Trees. Environ. Sci. Technol. 2002, 36, 4649–4655. [Google Scholar] [CrossRef] [PubMed]
- Panz, K.; Miksch, K. Phytoremediation of Explosives (TNT, RDX, HMX) by Wild-Type and Transgenic Plants. J. Environ. Manag. 2012, 113, 85–92. [Google Scholar] [CrossRef] [PubMed]
- Zhu, W.; Xiao, J.; Ji, G.; Zhao, F.; Xiao, H. First-Principles Study of the Four Polymorphs of Crystalline Octahydro-1,3,5,7-Tetranitro-1,3,5,7-Tetrazocine. J. Phys. Chem. B 2007, 111, 12715–12722. [Google Scholar] [CrossRef] [PubMed]
- Nagar, S.; Anand, S.; Chatterjee, S.; Rawat, C.D.; Lamba, J.; Rai, P.K. A Review of Toxicity and Biodegradation of Octahydro-1,3,5,7-Tetranitro-1,3,5,7-Tetrazocine (HMX) in the Environment. Environ. Technol. Innov. 2021, 23, 101750. [Google Scholar] [CrossRef]
- Boopathy, R. Bioremediation of HMX-Contaminated Soil Using Soil Slurry Reactors. Soil Sediment Contam. Int. J. 2001, 10, 269–283. [Google Scholar] [CrossRef]
- Douglas, T.A.; Walsh, M.E.; Weiss, C.A.; McGrath, C.J.; Trainor, T.P. Desorption and Transformation of Nitroaromatic (TNT) and Nitramine (RDX and HMX) Explosive Residues on Detonated Pure Mineral Phases. Water Air Soil Pollut. 2012, 223, 2189–2200. [Google Scholar] [CrossRef]
- Ahmad, F.; Schnitker, S.P.; Newell, C.J. Remediation of RDX- and HMX-Contaminated Groundwater Using Organic Mulch Permeable Reactive Barriers. J. Contam. Hydrol. 2007, 90, 1–20. [Google Scholar] [CrossRef]
- Zhang, J.-H.; Wang, M.-H.; Zhu, X.-M. Treatment of HMX-Production Wastewater in an Aerobic Granular Reactor. Water Environ. Res. Res. Publ. Water Environ. Fed. 2013, 85, 301–307. [Google Scholar] [CrossRef]
- Parette, R.; Cannon, F.S.; Weeks, K. Removing Low Ppb Level Perchlorate, RDX, and HMX from Groundwater with Cetyltrimethylammonium Chloride (CTAC) Pre-Loaded Activated Carbon. Water Res. 2005, 39, 4683–4692. [Google Scholar] [CrossRef]
- Hawthorne, S.B.; Lagadec, A.J.M.; Kalderis, D.; Lilke, A.V.; Miller, D.J. Pilot-Scale Destruction of TNT, RDX, and HMX on Contaminated Soils Using Subcritical Water. Environ. Sci. Technol. 2000, 34, 3224–3228. [Google Scholar] [CrossRef]
- Davis, J.L.; Brooks, M.C.; Larson, S.L.; Nestler, C.C.; Felt, D.R. Lime Treatment of Explosives-Contaminated Soil from Munitions Plants and Firing Ranges. Soil Sediment Contam. Int. J. 2006, 15, 565–580. [Google Scholar] [CrossRef]
- Park, J.; Comfort, S.D.; Shea, P.J.; Kim, J.S. Increasing Fe0-Mediated HMX Destruction in Highly Contaminated Soil with Didecyldimethylammonium Bromide Surfactant. Environ. Sci. Technol. 2005, 39, 9683–9688. [Google Scholar] [CrossRef] [PubMed]
- Clark, B.; Boopathy, R. Evaluation of Bioremediation Methods for the Treatment of Soil Contaminated with Explosives in Louisiana Army Ammunition Plant, Minden, Louisiana. J. Hazard. Mater. 2007, 143, 643–648. [Google Scholar] [CrossRef] [PubMed]
- Panja, S.; Sarkar, D.; Datta, R. Vetiver Grass (Chrysopogon zizanioides) Is Capable of Removing Insensitive High Explosives from Munition Industry Wastewater. Chemosphere 2018, 209, 920–927. [Google Scholar] [CrossRef] [PubMed]
- Anotai, J.; Tanvanit, P.; Garcia-Segura, S.; Lu, M.-C. Electro-Assisted Fenton Treatment of Ammunition Wastewater Containing Nitramine Explosives. Process Saf. Environ. Prot. 2017, 109, 429–436. [Google Scholar] [CrossRef]
- Yang, X.; Lai, J.; Li, J.; Zhang, Y.; Luo, X.; Han, M.; Zhu, Y.; Zhao, S. Biodegradation and Physiological Response Mechanism of Bacillus Aryabhattai to Cyclotetramethylenete-Tranitramine (HMX) Contamination. J. Environ. Manag. 2021, 288, 112247. [Google Scholar] [CrossRef]
- An, C.; Shi, Y.; He, Y.; Huang, G.; Liang, J.; Liu, Z. Effect of Different Carbon Substrates on the Removal of Hexahydro-1,3,5-Trinitro-1,3,5-Triazine (RDX) and Octahydro-1,3,5,7-Tetranitro-1,3,5,7-Tetrazocine (HMX) by Anaerobic Mesophilic Granular Sludge. Water Air Soil Pollut. 2014, 225, 2174. [Google Scholar] [CrossRef]
- Groom, C.A.; Halasz, A.; Paquet, L.; Morris, N.; Olivier, L.; Dubois, C.; Hawari, J. Accumulation of HMX (Octahydro-1,3,5,7-Tetranitro-1,3,5,7-Tetrazocine) in Indigenous and Agricultural Plants Grown in HMX-Contaminated Anti-Tank Firing-Range Soil. Environ. Sci. Technol. 2002, 36, 112–118. [Google Scholar] [CrossRef]
- Monteil-Rivera, F.; Paquet, L.; Halasz, A.; Montgomery, M.T.; Hawari, J. Reduction of Octahydro-1,3,5,7-Tetranitro-1,3,5,7-Tetrazocine by Zerovalent Iron: Product Distribution. Environ. Sci. Technol. 2005, 39, 9725–9731. [Google Scholar] [CrossRef]
- Zoh, K.-D.; Stenstrom, M.K. Fenton Oxidation of Hexahydro-1,3,5-Trinitro-1,3,5-Triazine (RDX) and Octahydro-1,3,5,7-Tetranitro-1,3,5,7-Tetrazocine (HMX). Water Res. 2002, 36, 1331–1341. [Google Scholar] [CrossRef]
- Meda, A.; Sangwan, P.; Bala, K. Optimization of Process Parameters for Degradation of HMX with Bacillus Toyonensis Using Response Surface Methodology. Int. J. Environ. Sci. Technol. 2020, 17, 4601–4610. [Google Scholar] [CrossRef]
- Mdlovu, N.V.; Lin, K.-S.; Hsien, M.-J.; Chang, C.-J.; Kunene, S.C. Synthesis, Characterization, and Application of Zero-Valent Iron Nanoparticles for TNT, RDX, and HMX Explosives Decontamination in Wastewater. J. Taiwan Inst. Chem. Eng. 2020, 114, 186–198. [Google Scholar] [CrossRef]
- Rocheleau, S.; Lachance, B.; Kuperman, R.G.; Hawari, J.; Thiboutot, S.; Ampleman, G.; Sunahara, G.I. Toxicity and Uptake of Cyclic Nitramine Explosives in Ryegrass Lolium Perenne. Environ. Pollut. 2008, 156, 199–206. [Google Scholar] [CrossRef] [PubMed]
- An, C.; Shi, Y.; He, Y.; Huang, G.; Liu, Y.; Yang, S. Biotransformation of RDX and HMX by Anaerobic Granular Sludge with Enriched Sulfate and Nitrate. Water Environ. Res. Res. Publ. Water Environ. Fed. 2017, 89, 472–479. [Google Scholar] [CrossRef] [PubMed]
- Van Aken, B.; Yoon, J.M.; Schnoor, J.L. Biodegradation of Nitro-Substituted Explosives 2,4,6-Trinitrotoluene, Hexahydro-1,3,5-Trinitro-1,3,5-Triazine, and Octahydro-1,3,5,7-Tetranitro-1,3,5-Tetrazocine by a Phytosymbiotic Methylobacterium Sp. Associated with Poplar Tissues (Populus Deltoides X. Appl. Environ. Microbiol. 2004, 70, 508–517. [Google Scholar] [CrossRef]
- Morley, M.; Henke., J.; Speitel., G. Adsorption of RDX and HMX in Rapid Small-Scale Column Tests: Implications for Full-Scale Adsorbers. J. Environ. Eng. 2005, 131, 29–37. [Google Scholar] [CrossRef]
- Khurana, I.; Shaw, A.K.; Bharti; Khurana, J.M.; Rai, P.K. Comparative Study for Removal of Nitro-Heterocyclic Explosives Using Magnetic Graphene Nanocomposites. Fuller. Nanotub. Carbon Nanostruct. 2020, 28, 671–679. [Google Scholar] [CrossRef]
- Choi, J.-K.; Son, H.-S.; Kim, T.-S.; Stenstrom, M.K.; Zoh, K.-D. Degradation Kinetics and Mechanism of RDX and HMX in TiO2 Photocatalysis. Environ. Technol. 2006, 27, 219–232. [Google Scholar] [CrossRef]
- Koutsospyros, A.; Pavlov, J.; Fawcett, J.; Strickland, D.; Smolinski, B.; Braida, W. Degradation of High Energetic and Insensitive Munitions Compounds by Fe/Cu Bimetal Reduction. J. Hazard. Mater. 2012, 219–220, 75–81. [Google Scholar] [CrossRef]
- Lin, K.-S.; Dehvari, K.; Hsien, M.-J.; Hsu, P.-J.; Kuo, H. Degradation of TNT, RDX, and HMX Explosive Wastewaters Using Zero-Valent Iron Nanoparticles. Propellants Explos. Pyrotech. 2013, 38, 786–790. [Google Scholar] [CrossRef]
- Perchet, G.; Merlina, G.; Revel, J.-C.; Hafidi, M.; Richard, C.; Pinelli, E. Evaluation of a TiO2 Photocatalysis Treatment on Nitrophenols and Nitramines Contaminated Plant Wastewaters by Solid-Phase Extraction Coupled with ESI HPLC–MS. J. Hazard. Mater. 2009, 166, 284–290. [Google Scholar] [CrossRef]
- Liou, M.-J.; Lu, M.-C.; Chen, J.-N. Oxidation of Explosives by Fenton and Photo-Fenton Processes. Water Res. 2003, 37, 3172–3179. [Google Scholar] [CrossRef] [PubMed]
- Lee, S.-J.; Son, H.-S.; Lee, H.-K.; Zoh, K.-D. Photocatalytic Degradation of Explosives Contaminated Water. Water Sci. Technol. 2002, 46, 139–145. [Google Scholar] [CrossRef] [PubMed]
- Srivastava, V. Grand Challenges in Chemical Treatment of Hazardous Pollutants. Front. Environ. Chem. 2021, 2, 23. [Google Scholar] [CrossRef]
- Kang, Z.; Jia, X.; Zhang, Y.; Kang, X.; Ge, M.; Liu, D.; Wang, C.; He, Z. A Review on Application of Biochar in the Removal of Pharmaceutical Pollutants through Adsorption and Persulfate-Based AOPs. Sustainability 2022, 14, 10128. [Google Scholar] [CrossRef]
- Bessaies, H.; Iftekhar, S.; Doshi, B.; Kheriji, J.; Ncibi, M.C.; Srivastava, V.; Sillanpää, M.; Hamrouni, B. Synthesis of Novel Adsorbent by Intercalation of Biopolymer in LDH for the Removal of Arsenic from Synthetic and Natural Water. J. Environ. Sci. (China) 2020, 91, 246–261. [Google Scholar] [CrossRef]
- Gusain, D.; Srivastava, V.; Sillanpää, M.; Sharma, Y.C. Kinetics and Isotherm Study on Adsorption of Chromium on Nano Crystalline Iron Oxide/Hydroxide: Linear and Nonlinear Analysis of Isotherm and Kinetic Parameters. Res. Chem. Intermed. 2016, 42, 7133–7151. [Google Scholar] [CrossRef]
- Cao, T.; Li, J. Experimental Study on the Treatment of HMX Explosive Wastewater by Fenton Process. IOP Conf. Ser. Earth Environ. Sci. 2018, 170, 32115. [Google Scholar] [CrossRef]
- Alnaizy, R.; Akgerman, A. Oxidative Treatment of High Explosives Contaminated Wastewater. Water Res. 1999, 33, 2021–2030. [Google Scholar] [CrossRef]
- Yang, R.; Gao, D.; Huang, H.; Huang, B.; Cai, H. Mesoporous Silicas Prepared by Ammonium Perchlorate Oxidation and Theirs Application in the Selective Adsorption of High Explosives. Microporous Mesoporous Mater. 2013, 168, 46–50. [Google Scholar] [CrossRef]
- Monteil-Rivera, F.; Groom, C.; Hawari, J. Sorption and Degradation of Octahydro-1,3,5,7-Tetranitro-1,3,5,7-Tetrazocine in Soil. Environ. Sci. Technol. 2003, 37, 3878–3884. [Google Scholar] [CrossRef]
- Boddu, V.M.; Naismith, N.K.; Patel, H.R. Environmentally Responsive Poly(N-Isopropylacrylamide)-Co-Poly(Acrylic Acid) Hydrogels for Separation of Toxic Metals and Organic Explosive Compounds from Water. J. Polym. Environ. 2019, 27, 571–580. [Google Scholar] [CrossRef]
- Hokkanen, S.; Bhatnagar, A.; Srivastava, V.; Suorsa, V.; Sillanpää, M. Removal of Cd2+, Ni2+ and PO43− from Aqueous Solution by Hydroxyapatite-Bentonite Clay-Nanocellulose Composite. Int. J. Biol. Macromol. 2018, 118, 903–912. [Google Scholar] [CrossRef]
- Srivastava, V.; Kohout, T.; Sillanpää, M. Potential of Cobalt Ferrite Nanoparticles (CoFe2O4) for Remediation of Hexavalent Chromium from Synthetic and Printing Press Wastewater. J. Environ. Chem. Eng. 2016, 4, 2922–2932. [Google Scholar] [CrossRef]
- Iakovleva, E.; Sillanpää, M.; Mangwandi, C.; Albadarin, A.B.; Maydannik, P.; Khan, S.; Srivastava, V.; Kamwilaisak, K.; Wang, S. Application of Al2O3 Modified Sulfate Tailings (CaFe-Cake and SuFe) for Efficient Removal of Cyanide Ions from Mine Process Water. Miner. Eng. 2018, 118, 24–32. [Google Scholar] [CrossRef]
- Srivastav, A.L.; Singh, P.K.; Srivastava, V.; Sharma, Y.C. Application of a New Adsorbent for Fluoride Removal from Aqueous Solutions. J. Hazard. Mater. 2013, 263, 342–352. [Google Scholar] [CrossRef] [PubMed]
- Srivastava, V.; Maydannik, P.; Sillanpää, M. Synthesis and Characterization of PPy@NiO Nano-Particles and Their Use as Adsorbent for the Removal of Sr(II) from Aqueous Solutions. J. Mol. Liq. 2016, 223, 395–406. [Google Scholar] [CrossRef]
- Melliti, A.; Srivastava, V.; Kheriji, J.; Sillanpää, M.; Hamrouni, B. Date Palm Fiber as a Novel Precursor for Porous Activated Carbon: Optimization, Characterization and Its Application as Tylosin Antibiotic Scavenger from Aqueous Solution. Surf. Interfaces 2021, 24, 101047. [Google Scholar] [CrossRef]
- Morley, M.C.; Speitel, G.E.J. Biodegradation of High Explosives on Granular Activated Carbon [GAC]: Enhanced Desorption of High Explosives from GAC—Batch Studies; U.S. Department of Energy Office of Scientific and Technical Information: Oak Ridge, TN, USA, 1999.
- Charmas, B.; Zięzio, M.; Tomaszewski, W.; Kucio, K. Smart Preparation of Microporous Carbons from Spent Coffee Grounds. Comprehensive Characterization and Application in Explosives Removal from Water Samples. Colloids Surf. A Physicochem. Eng. Asp. 2022, 645, 128889. [Google Scholar] [CrossRef]
- Fuller, M.E.; Farquharson, E.M.; Hedman, P.C.; Chiu, P. Removal of Munition Constituents in Stormwater Runoff: Screening of Native and Cationized Cellulosic Sorbents for Removal of Insensitive Munition Constituents NTO, DNAN, and NQ, and Legacy Munition Constituents HMX, RDX, TNT, and Perchlorate. J. Hazard. Mater. 2022, 424, 127335. [Google Scholar] [CrossRef]
- Do Minh, T.; Ncibi, M.C.; Srivastava, V.; Thangaraj, S.K.; Jänis, J.; Sillanpää, M. Gingerbread Ingredient-Derived Carbons-Assembled CNT Foam for the Efficient Peroxymonosulfate-Mediated Degradation of Emerging Pharmaceutical Contaminants. Appl. Catal. B Environ. 2019, 244, 367–384. [Google Scholar] [CrossRef]
- Gao, B.; Safaei, Z.; Babu, I.; Iftekhar, S.; Iakovleva, E.; Srivastava, V.; Doshi, B.; Ben Hammouda, S.; Kalliola, S.; Sillanpää, M. Modification of ZnIn2S4 by Anthraquinone-2-Sulfonate Doped Polypyrrole as Acceptor-Donor System for Enhanced Photocatalytic Degradation of Tetracycline. J. Photochem. Photobiol. A Chem. 2017, 348, 150–160. [Google Scholar] [CrossRef]
- Wang, Z.; Srivastava, V.; Iftekhar, S.; Ambat, I.; Sillanpää, M. Fabrication of Sb2O3/PbO Photocatalyst for the UV/PMS Assisted Degradation of Carbamazepine from Synthetic Wastewater. Chem. Eng. J. 2018, 354, 663–671. [Google Scholar] [CrossRef]
- Cheshme Khavar, A.H.; Moussavi, G.; Mahjoub, A.; Yaghmaeian, K.; Srivastava, V.; Sillanpää, M.; Satari, M. Novel Magnetic Fe3O4@rGO@ZnO Onion-like Microspheres Decorated with Ag Nanoparticles for the Efficient Photocatalytic Oxidation of Metformin: Toxicity Evaluation and Insights into the Mechanisms. Catal. Sci. Technol. 2019, 9, 5819–5837. [Google Scholar] [CrossRef]
- Gągol, M.; Przyjazny, A.; Boczkaj, G. Wastewater Treatment by Means of Advanced Oxidation Processes Based on Cavitation—A Review. Chem. Eng. J. 2018, 338, 599–627. [Google Scholar] [CrossRef]
- Ivanets, A.; Prozorovich, V.; Roshchina, M.; Grigoraviciute-Puroniene, I.; Zarkov, A.; Kareiva, A.; Wang, Z.; Srivastava, V.; Sillanpaa, M. Heterogeneous Fenton Oxidation Using Magnesium Ferrite Nanoparticles for Ibuprofen Removal from Wastewater: Optimization and Kinetics Studies. J. Nanomater. 2020, 2020, 8159628. [Google Scholar] [CrossRef]
- Mudhoo, A.; Bhatnagar, A.; Rantalankila, M.; Srivastava, V.; Sillanpää, M. Endosulfan Removal through Bioremediation, Photocatalytic Degradation, Adsorption and Membrane Separation Processes: A Review. Chem. Eng. J. 2019, 360, 912–928. [Google Scholar] [CrossRef]
- Cho, S.; Park, C.; Lee, J.; Lyu, B.; Moon, I. Finding the Best Operating Condition in a Novel Process for Explosive Waste Incineration Using Fluidized Bed Reactors. Comput. Chem. Eng. 2020, 142, 107054. [Google Scholar] [CrossRef]
- Tavoulareas, E.S. Fluidized-Bed Combustion Technology. Annu. Rev. Energy Environ. 1991, 16, 25–57. [Google Scholar] [CrossRef]
- Maleki, N. Treatment and Biodegradation of High Explosives: A Literature Review. 1994. Available online: http://www.seas.ucla.edu/stenstro/t/t12 (accessed on 24 December 2021).
- Heilmann, H.M.; Wiesmann, U.; Stenstrom, M.K. Kinetics of the Alkaline Hydrolysis of High Explosives RDX and HMX in Aqueous Solution and Adsorbed to Activated Carbon. Environ. Sci. Technol. 1996, 30, 1485–1492. [Google Scholar] [CrossRef]
- Zhao, J.-S.; Manno, D.; Hawari, J. Abundance and Diversity of Octahydro-1,3,5,7-Tetranitro-1,3,5,7-Tetrazocine (HMX)-Metabolizing Bacteria in UXO-Contaminated Marine Sediments. FEMS Microbiol. Ecol. 2007, 59, 706–717. [Google Scholar] [CrossRef][Green Version]
- Liu, Z.; Zhang, L.; Liu, Y.; He, Y. Anaerobic Biodegradation of RDX and HMX with Different Co-Substrates. Chin. J. Chem. Eng. 2015, 23, 704–709. [Google Scholar] [CrossRef]
- Yang, X.; Zhang, Y.; Lai, J.; Luo, X.; Han, M.; Zhao, S.; Zhu, Y. Analysis of the Biodegradation and Phytotoxicity Mechanism of TNT, RDX, HMX in Alfalfa (Medicago sativa). Chemosphere 2021, 281, 130842. [Google Scholar] [CrossRef] [PubMed]
- Newman, L.A.; Reynolds, C.M. Bacteria and Phytoremediation: New Uses for Endophytic Bacteria in Plants. Trends Biotechnol. 2005, 23, 6–8. [Google Scholar] [CrossRef] [PubMed]
- Singh, R.; Soni, P.; Kumar, P.; Purohit, S.; Singh, A. Biodegradation of High Explosive Production Effluent Containing RDX and HMX by Denitrifying Bacteria. World J. Microbiol. Biotechnol. 2009, 25, 269–275. [Google Scholar] [CrossRef]
- Zoh, K.-D.; Stenstrom, M.K. Biological Denitrification of High Explosives Processing Wastewaters. Water Sci. Technol. 1997, 36, 47–54. [Google Scholar] [CrossRef]
- Bhatt, M.; Zhao, J.-S.; Halasz, A.; Hawari, J. Biodegradation of Hexahydro-1,3,5-Trinitro-1,3,5-Triazine by Novel Fungi Isolated from Unexploded Ordnance Contaminated Marine Sediment. J. Ind. Microbiol. Biotechnol. 2006, 33, 850. [Google Scholar] [CrossRef]
- Fournier, D.; Halasz, A.; Spain, J.; Spanggord, R.J.; Bottaro, J.C.; Hawari, J. Biodegradation of the Hexahydro-1,3,5-Trinitro-1,3,5-Triazine Ring Cleavage Product 4-Nitro-2,4-Diazabutanal by Phanerochaete Chrysosporium. Appl. Environ. Microbiol. 2004, 70, 1123–1128. [Google Scholar] [CrossRef]
- Bhushan, B.; Halasz, A.; Thiboutot, S.; Ampleman, G.; Hawari, J. Chemotaxis-Mediated Biodegradation of Cyclic Nitramine Explosives RDX, HMX, and CL-20 by Clostridium Sp. EDB2. Biochem. Biophys. Res. Commun. 2004, 316, 816–821. [Google Scholar] [CrossRef]
- Nagar, S.; Shaw, A.K.; Anand, S.; Celin, S.M.; Rai, P.K. Biodegradation of Octogen and Hexogen by Pelomonas Aquatica Strain WS2-R2A-65 under Aerobic Condition. Environ. Technol. 2022, 43, 1003–1012. [Google Scholar] [CrossRef]
- Fournier, D.; Halasz, A.; Thiboutot, S.; Ampleman, G.; Manno, D.; Hawari, J. Biodegradation of Octahydro-1,3,5,7- Tetranitro-1,3,5,7-Tetrazocine (HMX) by Phanerochaete Chrysosporium: New Insight into the Degradation Pathway. Environ. Sci. Technol. 2004, 38, 4130–4133. [Google Scholar] [CrossRef]
- Harkins, V.R.; Mollhagen, T.; Heintz, C.; Rainwater, K. Aerobic Biodegradation of High Explosives, Phase I - HMX. Bioremediat. J. 1999, 3, 285–290. [Google Scholar] [CrossRef]
- Zhao, J.-S.; Greer, C.W.; Thiboutot, S.; Ampleman, G.; Hawari, J. Biodegradation of the Nitramine Explosives Hexahydro-1,3,5-Trinitro-1,3,5-Triazine and Octahydro-1,3,5,7-Tetranitro-1,3,5,7-Tetrazocine in Cold Marine Sediment under Anaerobic and Oligotrophic Conditions. Can. J. Microbiol. 2004, 50, 91–96. [Google Scholar] [CrossRef] [PubMed]
- Zoh, K.-D.; Daniels, J.I.; Knezovich, J.P.; Stenstrom, M.K. Treatment of Hydrolysates of the High Explosives Hexahydro-1,3,5-Trinitro-1,3,5-Triazine and Octahydro-1,3,5,7-Tetranitro-1,3,5,7-Tetrazocine Using Biological Denitrification. Water Environ. Res. 1999, 71, 148–155. [Google Scholar] [CrossRef]
- Adrian, N.R.; Arnett, C.M. Anaerobic Biotransformation of Explosives in Aquifer Slurries Amended with Ethanol and Propylene Glycol. Chemosphere 2007, 66, 1849–1856. [Google Scholar] [CrossRef] [PubMed]
- Eaton, H.L.; Murty, L.D.; Duringer, J.M.; Craig, A.M. Ruminal Bioremediation of the High Energy Melting Explosive (HMX) by Sheep Microorganisms. FEMS Microbiol. Lett. 2014, 350, 34–41. [Google Scholar] [CrossRef]
- Chandra, J.; Xalxo, R.; Pandey, N.; Keshavkant, S. Chapter 42 - Biodegradation of Explosives by Transgenic Plants. In Handbook of Bioremediation; Hasanuzzaman, M., Prasad, M.N.V., Eds.; Academic Press: Cambridge, MA, USA, 2021; pp. 657–675. ISBN 978-0-12-819382-2. [Google Scholar]
- Abraham, E.-N.; Antonio, C.; Ramos, J.L. Biological Degradation of 2,4,6-Trinitrotoluene. Microbiol. Mol. Biol. Rev. 2001, 65, 335–352. [Google Scholar] [CrossRef]
- Macek, T.; Macková, M.; Káš, J. Exploitation of Plants for the Removal of Organics in Environmental Remediation. Biotechnol. Adv. 2000, 18, 23–34. [Google Scholar] [CrossRef]
- Salt, D.E.; Smith, R.D.; Raskin, I. PHYTOREMEDIATION. Annu. Rev. Plant Physiol. Plant Mol. Biol. 1998, 49, 643–668. [Google Scholar] [CrossRef]
- Bhadra, R.; Wayment, D.G.; Williams, R.K.; Barman, S.N.; Stone, M.B.; Hughes, J.B.; Shanks, J. V Studies on Plant-Mediated Fate of the Explosives RDX and HMX. Chemosphere 2001, 44, 1259–1264. [Google Scholar] [CrossRef]
- Zare, E.N.; Iftekhar, S.; Park, Y.; Joseph, J.; Srivastava, V.; Khan, M.A.; Makvandi, P.; Sillanpaa, M.; Varma, R.S. An Overview on Non-Spherical Semiconductors for Heterogeneous Photocatalytic Degradation of Organic Water Contaminants. Chemosphere 2021, 280, 130907. [Google Scholar] [CrossRef]
- Fakhri, H.; Farzadkia, M.; Srivastava, V.; Sillanpää, M. Designed Synthesis of Perylene Diimide-Based Supramolecular Heterojunction with g-C3N4@MIL-125(Ti): Insight into Photocatalytic Performance and Mechanism. J. Mater. Sci. Mater. Electron. 2021, 32, 19–32. [Google Scholar] [CrossRef]
- Honarmandrad, Z.; Sun, X.; Wang, Z.; Naushad, M.; Boczkaj, G. Activated Persulfate and Peroxymonosulfate Based Advanced Oxidation Processes (AOPs) for Antibiotics Degradation—A Review. Water Resour. Ind. 2022, 100194. [Google Scholar] [CrossRef]
- Lin, D.; Fu, Y.; Li, X.; Wang, L.; Hou, M.; Hu, D.; Li, Q.; Zhang, Z.; Xu, C.; Qiu, S.; et al. Application of Persulfate-Based Oxidation Processes to Address Diverse Sustainability Challenges: A Critical Review. J. Hazard. Mater. 2022, 440, 129722. [Google Scholar] [CrossRef]
- Crini, G.; Lichtfouse, E. Advantages and Disadvantages of Techniques Used for Wastewater Treatment. Environ. Chem. Lett. 2019, 17, 145–155. [Google Scholar] [CrossRef]
- Wang, C.; Huang, R.; Sun, R.; Yang, J.; Sillanpää, M. A Review on Persulfates Activation by Functional Biochar for Organic Contaminants Removal: Synthesis, Characterizations, Radical Determination, and Mechanism. J. Environ. Chem. Eng. 2021, 9, 106267. [Google Scholar] [CrossRef]
- Wang, L.; Luo, D.; Yang, J.; Wang, C. Metal-Organic Frameworks-Derived Catalysts for Contaminant Degradation in Persulfate-Based Advanced Oxidation Processes. J. Clean. Prod. 2022, 375, 134118. [Google Scholar] [CrossRef]
- Joseph, J.; Iftekhar, S.; Srivastava, V.; Fallah, Z.; Zare, E.N.; Sillanpää, M. Iron-Based Metal-Organic Framework: Synthesis, Structure and Current Technologies for Water Reclamation with Deep Insight into Framework Integrity. Chemosphere 2021, 284, 131171. [Google Scholar] [CrossRef]
- Rayaroth, M.P.; Aravindakumar, C.T.; Shah, N.S.; Boczkaj, G. Advanced Oxidation Processes (AOPs) Based Wastewater Treatment—Unexpected Nitration Side Reactions—A Serious Environmental Issue: A Review. Chem. Eng. J. 2021, 430, 133002. [Google Scholar] [CrossRef]
- Fedorov, K.; Dinesh, K.; Sun, X.; Darvishi Cheshmeh Soltani, R.; Wang, Z.; Sonawane, S.; Boczkaj, G. Synergistic Effects of Hybrid Advanced Oxidation Processes (AOPs) Based on Hydrodynamic Cavitation Phenomenon—A Review. Chem. Eng. J. 2022, 432, 134191. [Google Scholar] [CrossRef]
Publisher’s Note: MDPI stays neutral with regard to jurisdictional claims in published maps and institutional affiliations. |
© 2022 by the authors. Licensee MDPI, Basel, Switzerland. This article is an open access article distributed under the terms and conditions of the Creative Commons Attribution (CC BY) license (https://creativecommons.org/licenses/by/4.0/).



