Electrochemical Mechanisms and Optimization System of Nitrate Removal from Groundwater by Polymetallic Nanoelectrodes
Abstract
:1. Introduction
2. Materials and Methods
2.1. Construction of the Electrochemical System
2.2. Analytical Methods and Calculations
- C0—initial nitrate concentration, mg/L.
- C1—final nitrate concentration after the reaction, mg/L.
2.3. Experiment of Electrochemical Workstation
3. Results and Discussion
3.1. Comparison of Electrode Removal Rate
3.2. Characterization of the Zn-Cu-TiO2 Polymetallic Nanoelectrode
3.3. Mechanism of Electrochemical Reaction
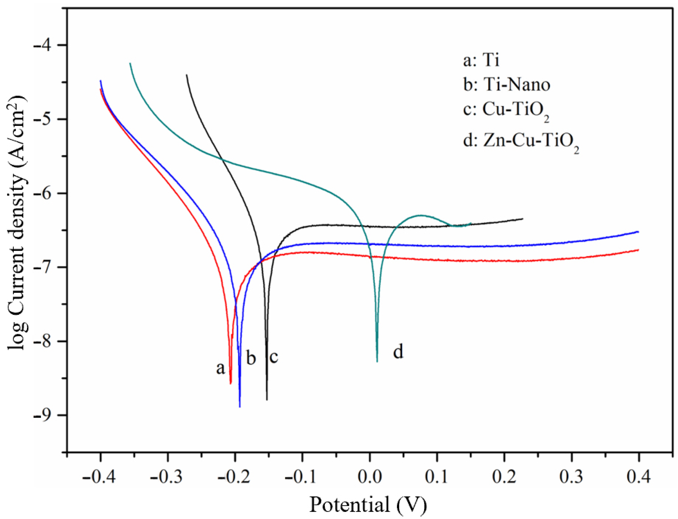
3.3.1. Measurement of Metal Corrosion Rate Using the Tafel Curve Method
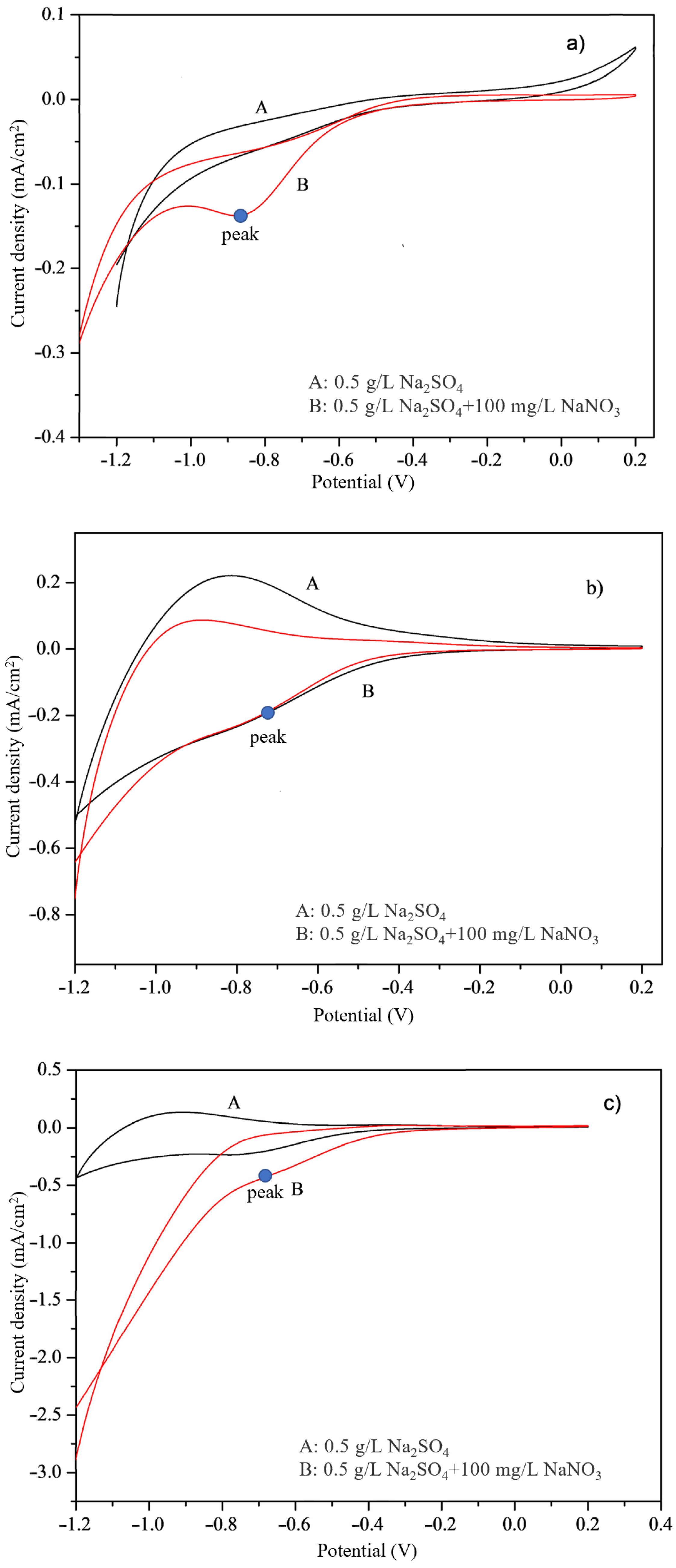
3.3.2. Cyclic Voltammetry for Measurement of Electrode Reaction Parameters
3.3.3. Measurement of the Actual Surface Area of the Electrode Using the Time Measurement Method
3.4. Optimization of Nitrate Removal Effect
3.4.1. Design of Experiments
3.4.2. Reaction Equation
(R2 = 0.9951)
(R2 = 0.976)
3.4.3. Analysis of the Response Models
3.5. Removal of Nitrate from Real Groundwater
4. Conclusions
- (1)
- Tafel curves, which are used to measure the corrosion rate of metal, indicated that the Zn-Cu-TiO2 polymetallic nanoelectrode exhibited the most positive corrosion potential, largest corrosion current, and least resistance; thus, this electrode is concluded to be the least vulnerable to corrosion.
- (2)
- Cyclic voltammetry, which was used for determining the electrode reaction parameters, revealed that the peak position for the Zn-Cu-TiO2 polymetallic nanoelectrode was the highest, and its electrochemical activity was the highest.
- (3)
- By measuring the Zn-Cu-TiO2 polymetallic nanoelectrode using chronoamperometry, it was found that the true surface area was larger than the original surface area and the electrochemical activity of the electrode was higher, which led to a greater increase in nitrate removal.
- (4)
- The removal rate of nitrates from real groundwater by the electrodes had the same effect as that of laboratory-deionized water. With increasing electrolysis duration, the difference between the nitrate removal rate in actual groundwater and the nitrate removal rate in deionized water becomes smaller and smaller. Among the tested electrodes, the Zn-Cu-TiO2 polymetallic nanoelectrode demonstrated the best removal of nitrates from real groundwater.
Author Contributions
Funding
Institutional Review Board Statement
Informed Consent Statement
Data Availability Statement
Acknowledgments
Conflicts of Interest
References
- Wang, Q.; Wang, W.; Yan, B.; Shi, W.; Cui, F.; Wang, C. Well-dispersed Cu-Pd bimetals in TiO2 nanofiber matrix with enhanced activity and selectivity for nitrate catalytic reduction. Chem. Eng. J. 2017, 326, 182–191. [Google Scholar] [CrossRef]
- Li, M.; Feng, C.; Zhang, Z.; Sugiura, N. Efficient electrochemical reduction of nitrate to nitrogen using Ti/IrO2–Pt anode and different cathodes. Electrochim. Acta 2009, 54, 4600–4606. [Google Scholar] [CrossRef]
- Liu, F.; Li, M.; Wang, H.; Lei, X.; Wang, L.; Liu, X. Fabrication and Characterization of a Cu-Zn-TiO2 Nanotube Array Polymetallic Nanoelectrode for Electrochemically Removing Nitrate from Groundwater. J. Electrochem. Soc. 2016, 163, 421–427. [Google Scholar] [CrossRef]
- Lima, A.S.; Salles, M.O.; Ferreira, T.L.; Paixão, T.R.; Bertotti, M. Scanning electrochemical microscopy investigation of nitrate reduction at activated coppercathodes in acidic medium. Electrochim. Acta 2012, 78, 446–451. [Google Scholar] [CrossRef]
- Liu, F.; Li, M.; Wang, H.; Lei, X.; Liu, X.; Wang, L.L. Fabrication and Characterization of Cu/Ti Bilayer Nanoelectrode for Electrochemical Denitrification. J. Electrochem. Soc. 2016, 11, 8308–8322. [Google Scholar] [CrossRef]
- Hasnat, M.A.; Aoun, S.B.; Rahman, M.M.; Asiri, A.M.; Mohamed, N. Lean Cu-immobilized Pt and Pd films/-H+ conducting membrane assemblies: Relative electrocatalytic nitrate reduction activities. J. Ind. Eng. Chem. 2015, 28, 131–137. [Google Scholar] [CrossRef]
- Ma, X.J.; Li, M.; Feng, C.; Hu, W.; Wang, L.; Liu, X. Development and reaction mechanism of efficient nano titanium electrode: Reconstructed nanostructure and enhanced nitrate removal efficiency. J. Electroanal. Chem. 2016, 782, 270–277. [Google Scholar] [CrossRef]
- Liu, F.; Li, M.; Wei, A.; Liu, H.; Wang, K.; Ma, X.; Wang, L.; Liu, X. Fabrication and Characterization of Pd-TNPs Bimetallic Nanoelectrode for Electrochemical Denitrification from Groundwater. J. Electrochem. Soc. 2018, 165, E381–E387. [Google Scholar] [CrossRef]
- Zhang, Z.; Xu, Y.; Shi, W.; Wang, W.; Zhang, R.; Bao, X.; Zhang, B.; Li, L.; Cui, F. Electrochemical-catalytic reduction of nitrate over Pd–Cu/cAl2O3 catalyst in cathode chamber: Enhanced removal efficiency and N2 selectivity. Chem. Eng. J. 2016, 290, 201–208. [Google Scholar] [CrossRef]
- Li, M.; Feng, C.; Zhang, Z.; Shen, Z.; Sugiura, N. Electrochemical reduction of nitrate using various anodes and a Cu/Zn cathode. Electrochem. Commun. 2009, 11, 1853–1856. [Google Scholar] [CrossRef]
- Cirmi, D.; Aydın, R.; Koleli, F. The electrochemical reduction of nitrate ion on polypyrrole coated copper electrode. J. Electroanal. Chem. 2015, 736, 101–106. [Google Scholar] [CrossRef]
- Kato, M.; Okui, M.; Taguchi, S.; Yagi, I. Electrocatalytic nitrate reduction on well-defined surfaces of tin-modified platinum, palladium and platinum-palladium single crystalline electrodes in acidic and neutral media. J. Electroanal. Chem. 2017, 800, 46–53. [Google Scholar] [CrossRef]
- Reyter, D.; Belanger, D.; Roue, L. Optimization of the cathode material for nitrate removal by a paired electrolysis process. J. Hazard. Mater. 2011, 192, 507–513. [Google Scholar] [CrossRef] [PubMed]
- Chen, W.; Niu, X.; Li, X.; Li, X.; Li, G.; He, B.; Li, Q.; Sun, W. Investigation on direct electrochemical and electrocatalytic behavior of hemoglobin on palladium-graphene modified electrode. Mat. Sci. Eng. C 2017, 80, 135–140. [Google Scholar] [CrossRef] [PubMed]
- Kan, M.; Yue, D.; Jia, J.; Zhao, Y. Photoelectrochemical reduction of nitrates with visible light by nanoporous Si photoelectrode. Electrochim. Acta 2015, 177, 366–369. [Google Scholar] [CrossRef]
- U.S. Environmental Protection Agency. Drinking Water Standards and Health Advisories; U.S. Environmental Protection Agency, Office of Water: Washington, DC, USA, 2011; p. 820-R-11-002.
- Elmidaoui, A.; Elhannouni, F.; Sahli, M.M.; Chay, L.; Elabbassi, H.; Hafsi, M.; Largeteau, D. Pollution of nitrate in Moroccan ground water: Removal by electrodialysis. Desalination 2001, 136, 325–332. [Google Scholar] [CrossRef]
- Spalding, R.F.; Exner, M.E. Occurrence of nitrate in groundwater—A review. J. Environ. Qual. 1993, 22, 392–402. [Google Scholar] [CrossRef]
- Hiscock, K.M.; Lloyd, J.W.; Lerner, L.N. Review of natural and artificial denitrification of ground water. Water Res. 1991, 25, 1099–1111. [Google Scholar] [CrossRef]
- Costa, J.L.; Massone, H.; Martınez, D.; Suero, E.E.; Vidal, C.M.; Bedmar, F. Nitrate contamination of aquifer and accumulation in the unsaturated zone. Agric. Water Manag. 2002, 57, 33–47. [Google Scholar] [CrossRef]
- Van Maanen, J.M.; van Dijk, A.; Mulder, K.; de Baets, M.H.; Menheere, P.C.; van der Heide, D.; Mertens, P.L.; Kleinjans, J.C. Consumption of drinking water with high Nitrate levels causes hypertrophy of the thyroid. Toxicol. Lett. 1994, 72, 365–374. [Google Scholar] [CrossRef]
- Su, L.; Li, K.; Zhang, H.; Fan, M.; Ying, D.; Sun, T.; Wang, Y.; Jia, J. Electrochemical nitrate reduction by using a novel Co3O4/Ti cathode. Water Res. 2017, 120, 111. [Google Scholar] [CrossRef] [PubMed]
- Ding, J.; Li, W.; Zhao, Q.L.; Wang, K.; Zheng, Z.; Gao, Y.-Z. Electroreduction of nitrate in water: Role of cathode and cell configuration. Chem. Eng. J. 2015, 271, 252–259. [Google Scholar] [CrossRef]
- Casella, G.; Contursi, M. Highly dispersed rhodium particles on multi-walled carbonnanotubes for the electrochemical reduction of nitrate andnitrite ions in acid mediumInnocenzo. Electrochim. Acta 2014, 138, 447–453. [Google Scholar] [CrossRef]
- Roy, C.; Deschamps, J.; Martin, M.H.; Bertin, E.; Reyter, D.; Garbarino, S.; Roué, L.; Guay, D. Identification of Cu surface active sites for a completenitrate-to-nitrite conversion with nanostructured catalysts C. Appl. Catal. B Environ. 2016, 187, 399–407. [Google Scholar] [CrossRef]
- Lacasa, E.; Cañizares, P.; Llanos, J.; Rodrigo, M.A. Effect of the cathode material on the removal of nitrates by electrolysis in non-chloride media. J. Hazard. Mater. 2012, 213–214, 478–484. [Google Scholar] [CrossRef] [PubMed]
- Ning, Y.F.; Chen, Y.P.; Shen, Y.; Tang, Y.; Guo, J.S.; Fang, F.; Liu, S.Y. Directly Determining Nitrate under Wide pH Range Condition Using a Cu-Deposited Ti Electrode. J. Electrochem Soc. 2013, 160, H715–H719. [Google Scholar] [CrossRef]












| Electrode | Corrosion Voltage (V) | Corrosion Current (A) | Tafel Curve Resistance (Ω) |
|---|---|---|---|
| Ti | −0.207 | 1.479 × 10−7 | 236,347.8 |
| Ti-Nano | −0.193 | 1.975 × 10−7 | 192,950.7 |
| Cu-TiO2 | −0.153 | 3.131 × 10−7 | 74,590.2 |
| Zn-Cu-TiO2 | 0.011 | 9.629 × 10−7 | 67,327.2 |
| Run | Factor 1 | Factor 2 | Factor 3 | Response 1 | Response 2 |
|---|---|---|---|---|---|
| A: Current Density | B: Time | C: NaCl | Nitrate Removal Rate | Ammonia Production | |
| mA/cm2 | Min | g/L | % | g/L | |
| 1 | 30 | 75 | 0.25 | 87.64 | 0.017 |
| 2 | 30 | 75 | 0.25 | 88.05 | 0.001 |
| 3 | 10 | 120 | 0.25 | 75.03 | 0.235 |
| 4 | 30 | 120 | 0.5 | 100.00 | 0.023 |
| 5 | 10 | 30 | 0.25 | 24.35 | 0.15 |
| 6 | 30 | 75 | 0.25 | 82.29 | 0 |
| 7 | 50 | 75 | 0.5 | 92.90 | 0.021 |
| 8 | 50 | 120 | 0.25 | 100.00 | 0.001 |
| 9 | 30 | 75 | 0.25 | 82.47 | 0 |
| 10 | 30 | 30 | 0.5 | 43.14 | 0.012 |
| 11 | 50 | 30 | 0.25 | 60.71 | 0.06 |
| 12 | 30 | 30 | 0 | 43.84 | 0.868 |
| 13 | 10 | 75 | 0.5 | 65.65 | 0.112 |
| 14 | 30 | 120 | 0 | 97.50 | 1.536 |
| 15 | 50 | 75 | 0 | 99.70 | 1.304 |
| 16 | 30 | 75 | 0.25 | 84.76 | 0 |
| 17 | 10 | 75 | 0 | 57.01 | 1.118 |
| Source | Sum of Squares | df | Mean Square | F Value | p-Value Prob > F | |
|---|---|---|---|---|---|---|
| Model | 33.86 | 9 | 3.76 | 157.71 | <0.0001 | significant |
| A-Current Density | 8.33 | 1 | 8.33 | 349.31 | <0.0001 | |
| B-Time | 19.91 | 1 | 19.91 | 834.44 | <0.0001 | |
| C-NaCl | 9.62 × 10−3 | 1 | 9.62 × 10−3 | 0.4 | 0.5456 | |
| AB | 0.58 | 1 | 0.58 | 24.18 | 0.0017 | |
| AC | 0.2 | 1 | 0.2 | 8.46 | 0.0227 | |
| BC | 8.05×10−3 | 1 | 8.05 × 10−3 | 0.34 | 0.5795 | |
| A2 | 0.71 | 1 | 0.71 | 29.72 | 0.001 | |
| B2 | 3.91 | 1 | 3.91 | 163.82 | <0.0001 | |
| C2 | 2.92 × 10−4 | 1 | 2.92 × 10−4 | 0.012 | 0.915 | |
| Residual | 0.17 | 7 | 0.024 | |||
| Lack of Fit | 0.079 | 3 | 0.026 | 1.19 | 0.42 | not significant |
| Pure Error | 0.088 | 4 | 0.022 | |||
| Cor Total | 34.03 | 16 | ||||
| Source | Sum of Squares | df | Mean Square | F Value | p-Value Prob > F | |
|---|---|---|---|---|---|---|
| Model | 2.83 | 9 | 0.31 | 31.58 | <0.0001 | significant |
| A-Current Density | 0.061 | 1 | 0.061 | 6.17 | 0.042 | |
| B-Time | 4.65 × 10−3 | 1 | 4.65 × 10−3 | 0.47 | 0.5161 | |
| C-NaCl | 1.61 | 1 | 1.61 | 161.8 | <0.0001 | |
| AB | 0.024 | 1 | 0.024 | 2.43 | 0.1632 | |
| AC | 0.019 | 1 | 0.019 | 1.89 | 0.2115 | |
| BC | 0.013 | 1 | 0.013 | 1.27 | 0.2974 | |
| A2 | 0.099 | 1 | 0.099 | 9.95 | 0.0161 | |
| B2 | 0.028 | 1 | 0.028 | 2.81 | 0.1378 | |
| C2 | 0.91 | 1 | 0.91 | 91.11 | <0.0001 | |
| Residual | 0.07 | 7 | 9.95 × 10−3 | |||
| Lack of Fit | 0.055 | 3 | 0.018 | 5.17 | 0.0731 | not significant |
| Pure Error | 0.014 | 4 | 3.57 × 10−3 | |||
| Cor Total | 2.9 | 16 |
Disclaimer/Publisher’s Note: The statements, opinions and data contained in all publications are solely those of the individual author(s) and contributor(s) and not of MDPI and/or the editor(s). MDPI and/or the editor(s) disclaim responsibility for any injury to people or property resulting from any ideas, methods, instructions or products referred to in the content. |
© 2023 by the authors. Licensee MDPI, Basel, Switzerland. This article is an open access article distributed under the terms and conditions of the Creative Commons Attribution (CC BY) license (https://creativecommons.org/licenses/by/4.0/).
Share and Cite
Liu, F.; Zhang, Z.; Xu, J. Electrochemical Mechanisms and Optimization System of Nitrate Removal from Groundwater by Polymetallic Nanoelectrodes. Int. J. Environ. Res. Public Health 2023, 20, 1923. https://doi.org/10.3390/ijerph20031923
Liu F, Zhang Z, Xu J. Electrochemical Mechanisms and Optimization System of Nitrate Removal from Groundwater by Polymetallic Nanoelectrodes. International Journal of Environmental Research and Public Health. 2023; 20(3):1923. https://doi.org/10.3390/ijerph20031923
Chicago/Turabian StyleLiu, Fang, Zhili Zhang, and Jindun Xu. 2023. "Electrochemical Mechanisms and Optimization System of Nitrate Removal from Groundwater by Polymetallic Nanoelectrodes" International Journal of Environmental Research and Public Health 20, no. 3: 1923. https://doi.org/10.3390/ijerph20031923
APA StyleLiu, F., Zhang, Z., & Xu, J. (2023). Electrochemical Mechanisms and Optimization System of Nitrate Removal from Groundwater by Polymetallic Nanoelectrodes. International Journal of Environmental Research and Public Health, 20(3), 1923. https://doi.org/10.3390/ijerph20031923

