A Fourier Interpolation Method for Numerical Solution of FBSDEs: Global Convergence, Stability, and Higher Order Discretizations †
Abstract
1. Introduction
2. The Fourier Interpolation Method
2.1. Time Discretization
2.2. Space Discretization
2.3. Implementation
| Algorithm 1 Fourier Interpolation Method on Alternative Grid |
|
2.4. Spatial Discretization Error Analysis
3. Higher Order Time Discretization for FBSDEs
3.1. Runge–Kutta Schemes
| 0 | … | 0 | 0 | 0 | … | 0 | |||
| … | 0 | 0 | … | 0 | |||||
| ⋮ | ⋮ | ⋮ | ⋱ | ⋮ | ⋮ | ⋮ | ⋮ | ⋱ | ⋮ |
| … | 0 | … | |||||||
| … | … |
| 0 | 0 | 0 | 0 |
| 1 | 0 | 1 | 1 |
| 0 | 0 | 0 | 0 |
| 1 | 1 |
| 0 | 0 | 0 | 0 |
| 1 | 1 | 0 | 1 |
| 0 | 0 | 0 | 0 | 0 | 0 |
| 0 | 0 | 0 | |||
| 1 | 0 |
3.2. Further Simplification
- 1.
- The forward SDE is discretized with the piecewise constant process such that for we have pathwise.
- 2.
- The forward SDE time discretization with global error is of order , i.e.,
- 3.
- The forward SDE time discretization admits the conditional characteristic functionsandfor and with .
- 4.
- There are positive constants , , , and such that, hence the discrete version of the forward process has conditional exponential moments. In addition,
3.3. Fourier Representation
3.3.1. Half-Order Itô-Taylor Schemes
3.3.2. First-Order Itô-Taylor Schemes
| Algorithm 2 Fourier Interpolation Method on Alternative Grid for q-stage Runge–Kutta schemes |
|
3.4. Spatial Discretization Error Analysis
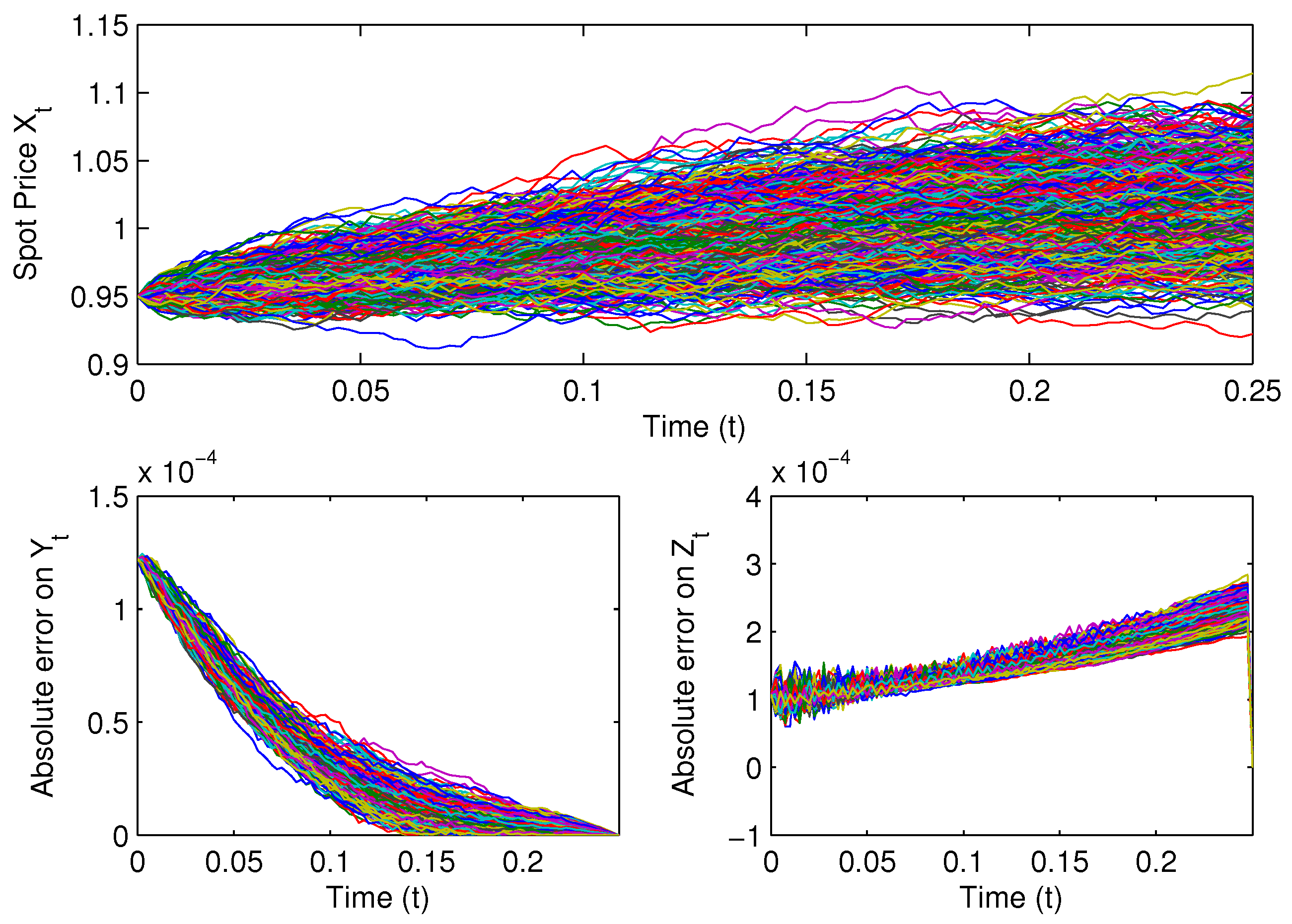
4. Numerical Results
| 0 | 0 | 0 | 0 | 0 | 0 |
| 0 | 0 | 0 | |||
| 1 | 0 | 1 | 0 |
5. Conclusions
Author Contributions
Funding
Data Availability Statement
Acknowledgments
Conflicts of Interest
| 1 | This approach was suggested by an anonymous referee of an earlier version of this paper. |
| 2 | The minimum sampling rate to avoid aliasing. |
| 3 | The real value can be considered as the production cost (per unit) of the commodity. |
| 4 | See Equation (144). |
References
- Bally, Vlad, and Gilles Pagès. 2003. A quantization algorithm for solving multidimensional discrete-time optimal stopping problems. Bernoulli 9: 1003–49. [Google Scholar] [CrossRef]
- Bally, Vlad, Gilles Pagès, and Jacques Printems. 2005. A quantization tree method for pricing and hedging multidimensional American options. Mathematical Finance 15: 119–68. [Google Scholar] [CrossRef]
- Beck, Christian, Weinan E, and Arnulf Jentzen. 2019. Machine learning approximation algorithms for high-dimensional fully nonlinear partial differential equations and second-order backward stochastic differential equations. Journal of Nonlinear Science 29: 1563–19. [Google Scholar] [CrossRef]
- Bender, Christian, and Jianfeng Zhang. 2008. Time discretization and Markovian iteration for coupled FBSDEs. The Annals of Applied Probability 18: 143–77. [Google Scholar] [CrossRef]
- Bender, Christian, and Robert Denk. 2007. A forward scheme for backward SDEs. Stochastic Processes and Their Applications 117: 1793–812. [Google Scholar] [CrossRef]
- Bouchard, Bruno, and Nizar Touzi. 2004. Discrete-time approximation and Monte-Carlo simulation of backward stochastic differential equations. Stochastic Processes and Their Applications 111: 175–206. [Google Scholar] [CrossRef]
- Briand, Philippe, Bernard Delyon, and Jean Mémin. 2001. Donsker-type theorem for BSDEs. Electronic Communications in Probability 6: 1–14. [Google Scholar] [CrossRef]
- Chassagneux, Jean-François, and Dan Crisan. 2014. Runge-Kutta schemes for BSDEs. The Annals of Applied Probability 24: 679–720. [Google Scholar]
- Chevance, David. 1997. Numerical methods for backward stochastic differential equations. In Numerical Methods in Finance. Edited by Leonard Christopher Gordon Rogers and Denis Talay. Publications of the Newton Institute. Cambridge: Cambridge University Press, pp. 232–44. [Google Scholar]
- Crisan, Dan, and Konstantinos Manolarakis. 2012. Solving backward stochastic differential equations using the cubature method: Application to nonlinear pricing. SIAM Journal on Financial Mathematics 3: 534–71. [Google Scholar] [CrossRef]
- Crisan, Dan, and Konstantinos Manolarakis. 2014. Second order discretization of backward SDEs and simulation with the cubature method. The Annals of Applied Probability 24: 652–78. [Google Scholar] [CrossRef]
- Crisan, Dan, Konstantinos Manolarakis, and Nizar Touzi. 2010. On the Monte Carlo simulation of BSDEs: An improvement on the Malliavin weights. Stochastic Processes and Their Applications 120: 1133–58. [Google Scholar] [CrossRef]
- Delarue, François, and Stéphane Menozzi. 2006. A forward-backward stochastic algorithm for quasi-linear PDEs. The Annals of Applied Probability 16: 140–84. [Google Scholar] [CrossRef][Green Version]
- Douglas, Jim, Jr., Jin Ma, and Philip Protter. 1996. Numerical methods for forward-backward stochastic differential equations. The Annals of Applied Probability 6: 940–68. [Google Scholar] [CrossRef]
- Duffie, Darrell, and Larry G. Epstein. 1992. Stochastic differential utility. Econometrica 60: 353–94. [Google Scholar] [CrossRef]
- E, Weinan, Jiequn Han, and Arnulf Jentzen. 2017. Deep learning-based numerical methods for high-dimensional parabolic partial differential equations and backward stochastic differential equations. Communications in Mathematics and Statistics 5: 349–80. [Google Scholar] [CrossRef]
- E, Weinan, Jiequn Han, and Arnulf Jentzen. 2022. Algorithms for solving high dimensional PDEs: From nonlinear Monte Carlo to machine learning. Nonlinearity 35: 278–310. [Google Scholar] [CrossRef]
- E, Weinan, Martin Hutzenthaler, Arnulf Jentzen, and Thomas Kruse. 2019. On multilevel Picard numerical approximations for high-dimensional nonlinear parabolic partial differential equations and high-dimensional nonlinear backward stochastic differential equations. Journal of Scientific Computing 79: 1534–71. [Google Scholar] [CrossRef]
- El Karoui, Nicole, Étienne Pardoux, and Marie-Claire Quenez. 1997. Reflected backward SDEs and American options. In Numerical Methods in Finance. Edited by Leonard Christopher Gordon Rogers and Denis Talay. Publications of the Newton Institute. Cambridge: Cambridge University Press, pp. 215–31. [Google Scholar]
- El Karoui, Nicole, Shige Peng, and Marie-Claire Quenez. 1997. Backward stochastic differential equations in finance. Mathematical Finance 7: 1–71. [Google Scholar] [CrossRef]
- Gobet, Emmanuel, Jean-Phillipe Lemor, and Xavier Warin. 2005. A regression-based Monte Carlo method to solve backward stochastic differential equations. The Annals of Applied Probability 15: 2172–202. [Google Scholar] [CrossRef]
- Han, Jiequn, and Jihao Long. 2020. Convergence of the deep BSDE method for coupled FBSDEs. Probability, Uncertainty and Quantitative Risk 5: 5. [Google Scholar] [CrossRef]
- Huijskens, Thomas P., Marjon J. Ruijter, and Cornelis W. Oosterlee. 2016. Efficient numerical Fourier methods for coupled forward-backward SDEs. Journal of Computational and Applied Mathematics 296: 593–612. [Google Scholar] [CrossRef]
- Hyndman, Cody Blaine, and Polynice Oyono Ngou. 2017. A convolution method for numerical solution of backward stochastic differential equations. Methodology and Computing in Applied Probability 19: 1–29. [Google Scholar] [CrossRef]
- Kloeden, Peter E., and Eckhard Platen. 1992. Numerical Solution of Stochastic Differential Equations. Applications of Mathematics (New York). Berlin: Springer, vol. 23. [Google Scholar]
- Lucia, Julio J., and Eduardo S. Schwartz. 2002. Electricity prices and power derivatives: Evidence from the Nordic power exchange. Review of Derivatives Research 5: 5–50. [Google Scholar] [CrossRef]
- Ma, Jin, Jie Shen, and Yanhong Zhao. 2008. On numerical approximations of forward-backward stochastic differential equations. SIAM Journal on Numerical Analysis 46: 2636–61. [Google Scholar] [CrossRef]
- Ma, Jin, Philip Protter, Jaime San Martín, and Soledad Torres. 2002. Numerical method for backward stochastic differential equations. The Annals of Applied Probability 12: 302–16. [Google Scholar]
- Oyono Ngou, Polynice. 2014. Fourier Methods for Numerical Solution of FBSDEs with Applications in Mathematical Finance. Ph.D. thesis, Concordia University, Montréal, QC, Canada, January. [Google Scholar]
- Pardoux, Étienne, and Shige Peng. 1992. Backward stochastic differential equations and quasilinear parabolic partial differential equations. In Stochastic Partial Differential Equations and Their Applications (Charlotte, NC, 1991). Lecture Notes in Control and Information Sciences. Berlin: Springer, vol. 176, pp. 200–17. [Google Scholar]
- Peng, Shige, and Mingyu Xu. 2011. Numerical algorithms for backward stochastic differential equations with 1-d Brownian motion: Convergence and simulations. ESAIM: Mathematical Modelling and Numerical Analysis 45: 335–60. [Google Scholar] [CrossRef][Green Version]
- Ruijter, Marjon J., and Cornelis W. Oosterlee. 2015. A Fourier-cosine method for an efficient computation of solutions to BSDEs. SIAM Journal on Scientific Computing 37: A859–89. [Google Scholar] [CrossRef][Green Version]
- Ruijter, Marjon J., and Cornelis W. Oosterlee. 2016. Numerical Fourier method and second-order Taylor scheme for backward SDEs in finance. Applied Numerical Mathematics 103: 1–26. [Google Scholar] [CrossRef][Green Version]
- Turkedjiev, Plamen. 2015. Two algorithms for the discrete time approximation of Markovian backward stochastic differential equations under local conditions. Electronic Journal of Probability 20: 1–49. [Google Scholar] [CrossRef]
- Vašíček, Oldřich. 1977. An equilibrium characterization of the term structure. Journal of Financial Economics 5: 177–88. [Google Scholar] [CrossRef]
- Zhang, Jianfeng. 2004. A numerical scheme for BSDEs. The Annals of Applied Probability 14: 459–88. [Google Scholar] [CrossRef]








Publisher’s Note: MDPI stays neutral with regard to jurisdictional claims in published maps and institutional affiliations. |
© 2022 by the authors. Licensee MDPI, Basel, Switzerland. This article is an open access article distributed under the terms and conditions of the Creative Commons Attribution (CC BY) license (https://creativecommons.org/licenses/by/4.0/).
Share and Cite
Oyono Ngou, P.; Hyndman, C. A Fourier Interpolation Method for Numerical Solution of FBSDEs: Global Convergence, Stability, and Higher Order Discretizations. J. Risk Financial Manag. 2022, 15, 388. https://doi.org/10.3390/jrfm15090388
Oyono Ngou P, Hyndman C. A Fourier Interpolation Method for Numerical Solution of FBSDEs: Global Convergence, Stability, and Higher Order Discretizations. Journal of Risk and Financial Management. 2022; 15(9):388. https://doi.org/10.3390/jrfm15090388
Chicago/Turabian StyleOyono Ngou, Polynice, and Cody Hyndman. 2022. "A Fourier Interpolation Method for Numerical Solution of FBSDEs: Global Convergence, Stability, and Higher Order Discretizations" Journal of Risk and Financial Management 15, no. 9: 388. https://doi.org/10.3390/jrfm15090388
APA StyleOyono Ngou, P., & Hyndman, C. (2022). A Fourier Interpolation Method for Numerical Solution of FBSDEs: Global Convergence, Stability, and Higher Order Discretizations. Journal of Risk and Financial Management, 15(9), 388. https://doi.org/10.3390/jrfm15090388

