Abstract
We introduce a new identification strategy for uncertainty shocks to explain macroeconomic volatility in financial markets. The Chicago Board Options Exchange Volatility Index (VIX) measures the market expectations of future volatility, but traditional methods based on second-moment shocks and the time-varying volatility of the VIX often do not effectively to capture the non-Gaussian, heavy-tailed nature of asset returns. To address this, we constructed a revised VIX by fitting a double-subordinated Normal Inverse Gaussian Lévy process to S&P 500 log returns, to provide a more comprehensive measure of volatility that captures the extreme movements and heavy tails observed in financial data. Using an axiomatic framework, we developed a family of risk–reward ratios that, when computed with our revised VIX and fitted to a long-memory time series model, provide a more precise identification of uncertainty shocks in financial markets.
1. Introduction
Uncertainty shocks, as introduced by Bloom (2009), are pivotal in understanding the relationship between the stock market volatility and economic outcomes. Bloom (2009) emphasizes the importance of second-moment shocks—uncertainty shocks—in influencing the economy, primarily analyzed through realized and implied option price data. Using the CBOE Volatility Index (VIX) as a proxy for the market expectations of volatility, he quantifies the anticipated fluctuation in the S&P 500 over a 30-day horizon. However, this traditional measure assumes that asset returns follow a symmetric, normal distribution, a limitation that significantly underestimates the impact of extreme market movements.
Empirical evidence from S&P 500 returns reveals that option prices exhibit non-normal distributions with heavy tails, as highlighted by Cont (2000). These heavy tails reflect the disproportionate likelihood of extreme negative or positive market events, challenging the adequacy of the standard deviation as a measure of market uncertainty. Measuring volatility solely through second moments fails to capture these tail risks, leading to incomplete assessments of market stress and underestimating the effects of large shocks. As Kozeniauskas et al. (2018) demonstrates, the heavy tails in financial data amplify uncertainty through disaster risk, magnifying the impact of rare but significant events that deviate from the assumptions of thin-tailed distributions.
The non-Gaussian nature of financial returns requires alternative dispersion measures that incorporate both skewness and kurtosis. By incorporating both the skewness and heavy tails observed in financial markets, it is possible to develop a more comprehensive understanding of the magnitude and persistence of uncertainty shocks, particularly during periods of heightened volatility. Moreover, relying solely on standard measures of volatility, such as the second-moment of VIX, neglects these critical tail risks, rendering traditional uncertainty metrics incomplete.
As an alternative, risk–reward (R/R) ratios provide a more comprehensive framework for assessing uncertainty by explicitly incorporating the asymmetry between potential gains and losses. These ratios evaluate both the right tails (potential gains) and left tails (potential losses), making them particularly valuable in understanding how uncertainty is amplified through extreme market movements. R/R ratios provide a robust framework for managing financial risks by mitigating maximum drawdowns and offering strategic guidance for navigating periods of heightened uncertainty.
To capture these dynamics, we constructed a revised volatility index, the Volatility of VIX (VVIX), derived from a double-subordinated Normal Inverse Gaussian (NDIG) Lévy process. This approach addresses the limitations of the standard VIX by incorporating the stochastic volatility and heavy-tailedness observed in financial data. The NDIG process models the skewness and tail risks in the distributions of option prices, providing a more comprehensive and arbitrage-free measure of implied volatility. The VVIX captures both the persistence and magnitude of uncertainty shocks more comprehensively. For instance, during the March 2020 market crash, the VVIX demonstrated a greater sensitivity to volatility clustering, providing a more detailed and accurate depiction of the risk compared to the traditional VIX. By combining the VVIX with R/R ratios, we propose a novel measure of uncertainty shocks that accounts for variations caused by extreme market movements. This measure integrates the directional aspects of tail risks, extending the understanding of how uncertainty evolves in response to large financial disruptions.
The VVIX captures the shifts in risk-neutral densities caused by geopolitical risks, such as the Russia–Ukraine conflict or potential armed escalations in other regions. These events alter agents’ risk aversion and precautionary savings behaviors, translating as changes in their utility functions. The VVIX also accounts for the rare disaster risks observed during the COVID-19 pandemic, providing a comprehensive measure of market volatility that incorporates all relevant market information. Additionally, the revised index highlights the sectoral or firm-specific dynamics, such as the significant tech-sector sell-offs in early 2022 due to weak earning reports, demonstrating its applicability across various contexts in financial markets.
The remainder of this paper is organized as follows: Section 2 reviews the relevant literature, highlighting the gaps addressed by this study. Section 3 outlines the method used to construct the VVIX and derives performance ratios as novel measures for uncertainty shocks. Section 4 presents the empirical results and discusses their implications for economic and financial systems. Section 5 concludes the paper with a summary of its findings and with directions for future research.
2. Literature Review
This paper contributes to the literature by presenting a robust framework for capturing uncertainty shocks through the integration of heavy-tailed dynamics, skewness, and volatility clustering into the revised VIX (VVIX). Bloom (2014) argues that investors demand compensation for higher risk, with greater uncertainty leading to increased risk premia, thereby raising the cost of finance. Consequently, the rise in risk premia can be attributed to stochastic volatility and fat tails, which explain the magnitude of extreme events or uncertainty. Similarly, Kelly and Jiang (2014) suggest that heavy-tailed shocks to economic fundamentals help rationalize asset pricing behaviors that are otherwise inconsistent with traditional macrofinance theories.
Rietz (1988) was among the first to emphasize the role of fat tails within the context of the rare disaster hypothesis. Building on this idea, Bansal and Yaron (2004) developed a long-run risk model incorporating fat-tailed endowment shocks. Duffie et al. (2000) further elucidated the mechanics of modeling extreme events by employing jump–diffusion processes to account for heavy-tailed distributions. Extending this framework, Shirvani et al. (2021) expanded Mehra and Prescott (2003)’s model to incorporate consumption and dividend growth rates following a fat-tailed distribution. By assuming that the log-growth rates of consumption and dividends adhere to a Normal Inverse Gaussian (NIG) distribution, they demonstrated that the constant relative risk aversion (CRRA) estimates derived from the NIG model were significantly lower than those obtained using a log-normal distribution.
The role of tail risk in amplifying uncertainty has been emphasized by Orlik and Veldkamp (2014), who investigated the fluctuations in macroeconomic uncertainty measures. Similarly, Kozlowski et al. (2020) highlight that agents, while non-parametrically estimating the distribution of shocks from observed data, are influenced by transitory extreme events that induce persistent changes in beliefs and macroeconomic outcomes. The non-normality of the VIX has also been established in several studies. Moghaddam et al. (2019) show that the ratio of implied to realized variance is best captured by heavy-tailed distributions, such as lognormal and power-law distributions, depending on the time frame of the realized variance. Additionally, Ma and Serota (2014) find that the VIX is well-modeled by a generalized inverse gamma distribution, further confirming it is heavy-tailed and non-normal.
While these studies effectively explain the extreme events channel of uncertainty, the role of stochastic volatility in modeling heavy tails remains underexplored. The present paper pioneers an approach that uses stochastic volatility and the heavy tails of asset returns to model the dynamics of financial markets. Additionally, it introduces risk–reward ratios as a novel tool for estimating uncertainty shocks and their implications for macroeconomic volatility in financial markets.
3. Method
3.1. Data
This study employs option prices derived from the daily log returns of the S&P 500 from 2 January 2014 to 28 July 2023. The choice of this extended period ensures that the analysis captures a broad spectrum of market conditions, including episodes of heightened volatility and systemic stress, as well as periods of market stability. A daily frequency has been selected to maintain a sufficient level of granularity, allowing the underlying stochastic processes and time-varying parameters to be estimated with greater precision.
A key feature of the empirical design is the application of a rolling window estimation approach. Specifically, we use a four-year moving window, corresponding to approximately 1008 daily observations (given roughly 252 trading days per year), to re-estimate the parameters governing our NDIG-based volatility model at each step. This rolling window is re-centered periodically to incorporate the most recent observations while excluding the older observations. Econometrically, the rolling window method mitigate challenges arising from structural breaks, model misspecification, and parameter instability over time. By continuously updating the estimation sample, the model can adapt to evolving market conditions, and it more effectively reflects shifts in volatility regimes and the distributional features of returns. Moreover, this approach ensures that parameter estimates and the resulting uncertainty measures remain aligned with prevailing market conditions rather than relying on a fixed historical sample that may no longer be representative.
While the data starts with January 2014, the figures and empirical results presented in the subsequent sections start with January 2018. This is due to the initial four-year rolling window period (2014–2017) serving as the estimation sample required to obtain the first set of rolling window parameters. Consequently, the reported empirical outcomes cover the six-year period from 2018 to July 2023, reflecting the parameters and uncertainty measures that have incorporated evolving market conditions for a full four-year span prior to each reported estimate. The use of a rolling window estimation approach is particularly advantageous in the context of financial markets characterized by structural breaks and time-varying dynamics. By employing a four-year rolling window, the model parameters are continuously re-estimated, ensuring that the resulting measures are robust to regime changes and reflective of evolving market conditions. This is crucial for constructing measures like the Volatility of VIX (also referred to as the revised VIX), which depend on accurate and timely estimates of the volatility dynamics.
3.2. Modeling the S&P500 Options via Double Subordination
To capture the complex dynamics of S&P500 option prices, we consider a double-subordinated framework. A Lévy subordinator is a non-decreasing Lévy process with . Following P. Carr et al. (2003) and Shirvani et al. (2024), we adopt a double-subordination approach for modeling the S&P500 option price process. The fundamental premise is that incorporating multiple Lévy subordinators into the asset price dynamics allows us to better capture the non-normality and heavy tails observed in empirical returns.
To begin with, we consider a baseline Black–Scholes–Merton (BSM) setting, where the price process for has the form
with
where represents standard Brownian motion. Although the BSM model is foundational, it is well known that option prices on the S&P500 deviate from normality, exhibiting heavy-tailed behavior. In line with the pioneering ideas of Mandelbolt and Taylor (1967) and Clark (1973), a natural extension is to incorporate a single Lévy subordinator into the time dimension of the Brownian motion. This yields the following subordinated log-price process:
with
where is a Lévy subordinator. Incorporating a single subordinator can capture deviations from normality, but may still be insufficient in fully modeling the observed higher-order moments (skewness and kurtosis).
As shown by Shirvani et al. (2021), multiple subordinations can generate processes with even heavier tails and more flexible distributional characteristics. Introducing a second Lévy subordinator provides a richer framework for modeling the dynamics of returns. In this double-subordination setting, the price process is given by
with
where , , and are mutually independent processes. Here, and are Lévy subordinators, and is a standard Brownian motion. The process denotes the double subordination; therefore, the resulting Equation (6) is a double-subordinated log-price process.
This construction preserves the bivariate semi-martingale structure and supports the notion of time-changed volatility dynamics and heavy-tailed returns under a risk-neutral measure, adhering to the fundamental asset pricing framework. To model the subordinators, let both and be Inverse Gaussian (IG) Lévy processes to ensure they are drawn from a heavy-tailed distribution. Suppose
where the probability density function of is
By analogy, shares a similar form with parameters . As a result, the log-price process in Equation (6) follows a Normal Double Inverse Gaussian (NDIG) distribution. The characteristic function (c.f.) of is given by
Expanding the expectation and substituting the probability density function of and in Equation (8), we arrive at
The moment generating function (MGF) is then for . The NDIG model in Equation (6), along with its c.f. in Equation (8), introduces eight parameters . Estimating all these parameters directly can be challenging. Following the method of Shirvani et al. (2024), six parameters are estimated while the remaining two are determined by taking expectations, thereby reducing the complexity of the estimation procedure.
Figure 1 and Figure 2 present the last price and daily returns of the S&P 500 index, respectively, providing a critical understanding of the dynamics of market behavior. The last price series highlights a general upward trend punctuated by significant jumps and diffusions, particularly during periods of market stress, such as the crash in March 2020. These abrupt and extreme changes reflect the presence of tail risks—rare but impactful events that traditional Gaussian-based models fail to capture adequately. The daily returns, on the other hand, reveal volatility clustering, a phenomenon where periods of high volatility tend to cluster together and are followed by more high-volatility periods, while periods of low volatility exhibit prolonged calm. Furthermore, the pronounced spikes in returns during extreme events illustrate the heavy-tailed nature of the return distribution, a characteristic that standard thin-tailed, symmetric distribution models cannot account for. These observations justify the need for a more sophisticated modeling framework that incorporates both stochastic volatility and heavy tails.
Figure 1.
S&P500 daily returns.
Figure 2.
Last price (S&P500).
3.3. NDIG Model for European Call Option Pricing
In the setting of complete markets, where agents can trade a risky asset and a risk-free bond continuously, the pricing of a European call option depends on the choice of an Equivalent Martingale Measure . Given that the S&P500 options are the underlying of the risky asset , we assume that the discounted price process , with a non-negative risk-free rate , maintains a martingale structure. Following Shirvani et al. (2024), we adopt a minimal conditional martingale measure, ensuring that the no-arbitrage condition is satisfied when pricing European options under this measure.
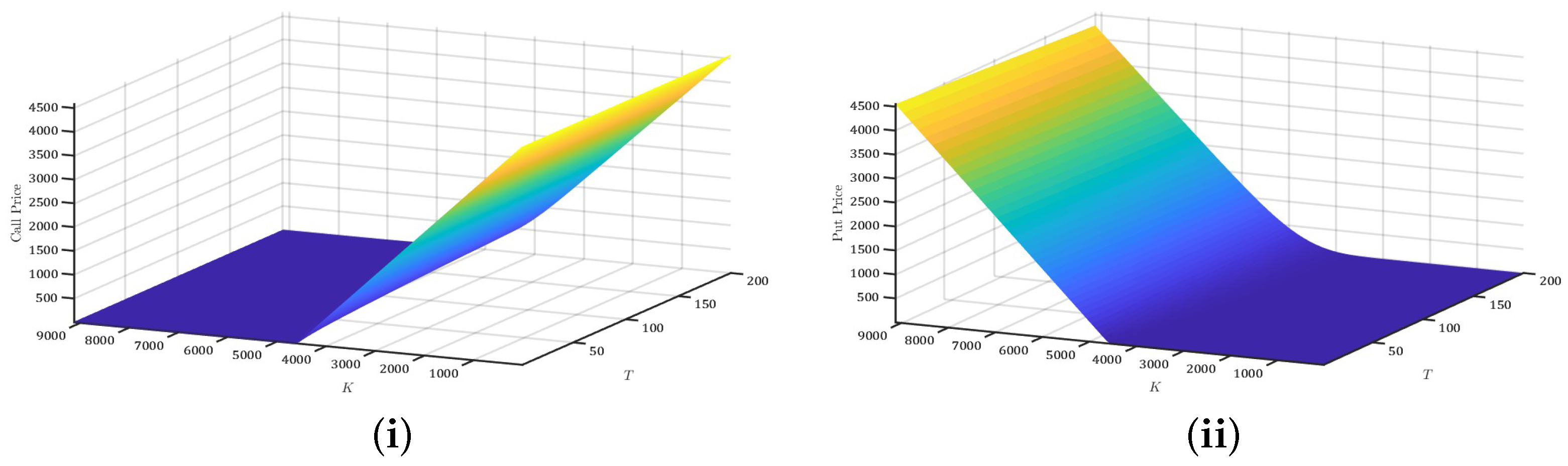
Figure 3 presents the implied volatility surface obtained from the proposed model, comparing both call and put options. These surfaces demonstrate that the NDIG model can capture the skew and smile effects commonly observed in real market data, providing a comprehensive representation of the volatility structure compared to standard local volatility models.
Figure 3.
Implied volatility surface. (i) Call price and (ii) put price.
Given that the c.f. of is known from Equation (8), we use the Fast Fourier Transform (FFT) approach of P. P. Carr and Madan (2001) to price options. The FFT method is suitable when the characteristic function of the log-price is analytically defined. The integral transform for the call price is
where is the c.f. of the log-price under the chosen equivalent martingale measure, and a is a damping parameter used to ensure integrability.
P. P. Carr and Madan (2001) presented a method of selecting the parameter a, noting that there is an ‘optimum value’ that balances numerical stability and accuracy. Truncating the integral over a finite domain introduces a manageable approximation error. To further refine the choice of a, we examine the upper bound derived from the parameters of the NDIG model as follows:
Figure 4 shows the evolution of over time, including a period spanning the highly volatile events of March 2020. Notably, during times of elevated market stress, experiences pronounced shifts. Imposing the constraint ensures stability in the implied volatility surface obtained from the NDIG model. Finally, the FFT-based pricing framework is applied over multiple strikes K and maturities T. By appropriately selecting a, we achieve stable and economically plausible option prices that reflect the complex distributional properties of S&P500 returns.
Figure 4.
Values for the upper bound computed over the time period from 2 January 2014 to 28 July 2023.
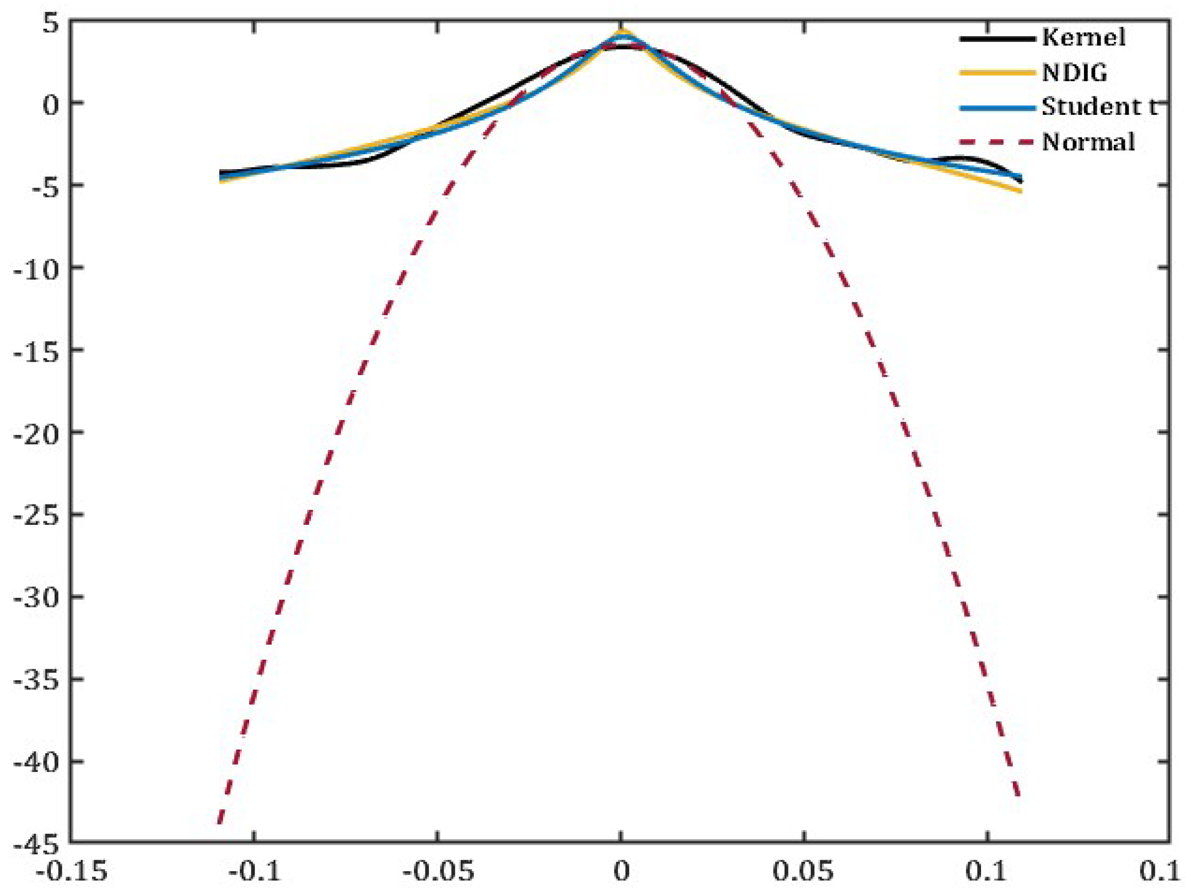
In Figure 5 and Figure 6, we present kernel density estimates of the S&P500 log returns under the NDIG model and compare them to fits of both the normal density and Student’s t. The empirical distribution of S&P500 log returns exhibits pronounced tail thickness which a normal distribution fails to capture. While Student’s t-distribution offers an improvement over normality by introducing heavier tails, it still does not fully replicate the heaviness observed in the data. In contrast, the NDIG model, by incorporating two Lévy subordinators, provides a superior fit to the tail regions, capturing both kurtosis and skewness more accurately. These results lend strong empirical support to the premise that a double-subordinated process, such as NDIG, is better suited for modeling the heavy-tailed and skewed distributions of S&P500 option prices.
Figure 5.
Density fit.
Figure 6.
Log-scaled density fit.
3.4. Parameter Estimation
We estimate the parameters of the double-subordinated log-price process by fitting the NDIG model defined in Equations (5)–(9) to the S&P500 log returns in the sample period. The parameter vector is
In this specification, the subordinators and capture the skewness, heavy tails (kurtosis), and stochastic volatility dynamics in the asset returns, aligning with the theoretical considerations outlined earlier.
Following the method employed by Shirvani et al. (2024) for Bitcoin returns, we estimate the first four moments and fit the c.f. of the NDIG model to the empirical distribution of returns. Specifically, the parameter estimates minimize the objective function
The constraints are based on the deviations of the model-implied moments from the empirical moments of the observed return series . These include the first four standardized moments and the c.f. fit. The moment-based constraints are given by . The constraint for the second moment is ∼. The constraint for the third moment is ∼. The constraint for the fourth moment is ∼. measures the discrepancy between the model-implied and empirical c.f.s as follows:
where are the observed returns, and is the NDIG c.f. Moreover, depends on the one-to-one correspondence between the cdf and the c.f. as noted in Shirvani et al. (2024). By following Yu (2003) for integrating the c.f., we obtain the parameter estimates shown in Table 1.
Table 1.
NDIG parameter estimates for S&P500 log returns.
To further assess the temporal stability and robustness of the NDIG model, we re-estimate its parameters over a rolling four-year window and examine their evolution over time. As shown in Figure 7, while the parameters governing the subordinators ( and ) remain relatively stable, others exhibit notable fluctuations. In particular, the drift term (), the volatility parameter (), the parameters controlling the heaviness of the tails (), and the variance of the subordinators chosen from the inverse Gaussian distribution (, and ) vary significantly as market conditions change. This variability underscores the model’s capacity to adapt to evolving economic environments and to capture the dynamic nature of volatility, skewness, and heavy tails in the S&P500 options market.
Figure 7.
Parameter estimates in a 4-year rolling window: (i) , (ii) , (iii) & , and (iv) .
In addition, Figure 8 compares the theoretical moments derived from the NDIG model with their empirical counterparts under the same rolling window specification. The close alignment between the theoretical and empirical moments attests to the model’s good fit to log returns. Taken together, these results highlight the suitability and flexibility of the double-subordination approach for modeling the complex distributional features observed in S&P500 option price data.
Figure 8.
Comparison of the four moments: theoretical vs. empirical ∼ (i) , (ii) , (iii) , and (iv) . ‘Th’: theoretical moments estimated using the fitted parameters. ‘Emp’: empirical moments computed from the S&P500 log returns.
3.5. Revised VIX (Volatility of VIX (VVIX))
The CBOE Volatility Index (VIX) is widely referred to as the “fear gauge” of the market. It measures the market’s expectation of volatility over the next 30 days, as implied by S&P500 option prices. Much of the existing literature on uncertainty shocks relies on capturing volatility through the standard deviation of the VIX or by modeling time-varying volatility clustering as shocks in macroeconomic settings. However, two issues arise. First, using the standard deviation as a measure of volatility implicitly assumes a symmetric distribution. As stated in Section 2 (see Ma & Serota, 2014; Moghaddam et al., 2019), the VIX distribution is non-normal, and relying on a symmetric approximation can understate the uncertainty. Second, a popular approach in the literature is to study the time-varying volatility clustering using models such as GARCH and FIGARCH. These models capture the persistent nature of volatility and can help identify periods of heightened uncertainty. However, they do not fully take into account the heavy tails and asymmetries present in asset return distributions.
Local volatility models, which assume that volatility is a deterministic function of the current asset price and time, are often employed to derive volatility surfaces, and while convenient, these models conflict with fundamental asset pricing principles. They do not accommodate stochastic volatility driven by historical information nor do they maintain a semi-martingale structure. This can lead to theoretical inconsistencies, such as the inability to construct a valid equivalent martingale measure. As a result, local volatility models are not only limited in their descriptive accuracy but also fail to ensure no-arbitrage conditions in the framework of complete markets.
Consider an investor who continuously trades a risky asset and a risk-free bond in a frictionless, complete market. If the return process has two sources of uncertainty—time-varying volatility and fat-tailed distributions—local volatility models fail to provide a proper hedge, forcing the investor to bear risks that cannot be hedged. Moreover, since local volatility is deterministic, it is typically not a semi-martingale. The lack of a semi-martingale structure undermines the fundamental theorem of asset pricing (see Delbaen & Schachermayer, 1994; Duffie, 2001), preventing the construction of a valid equivalent martingale measure that ensures there are no opportunities for arbitrage.
In contrast, multiple subordinated models, such as the NDIG process used in this paper, capture both the stochastic volatility and the heavy tails of the return distributions. Multiple subordinated processes generally preserve the semi-martingale property, allowing them to be reconciled with no-arbitrage asset pricing principles. Shirvani et al. (2021) stresses the importance of stochastic volatility models for reflecting the heavy-tailed phenomena in the returns. Their work shows that the VIX alone does not fully capture the stochastic dimension and fails to represent the tail behavior critical for an accurate measurement of the uncertainty.
Therefore, as an application of the NDIG-based pricing framework, we construct a revised volatility measure, which will be referred to as the Volatility of VIX (VVIX). The VVIX is derived using a double-subordinated Normal Inverse Gaussian (NDIG) Lévy process to model S&P 500 option returns. This framework differs from the traditional VIX by incorporating two Lévy subordinators mentioned in Section 3.2 and Section 3.3. The VIX is formally defined as
where and are weights corresponding to near- and next-term expirations, normalized such that . Similarly, refers to near-term volatility and refers to the next-term volatility. While the formula for the VIX aligns with the standard VIX formula specified by the CBOE, the key distinction lies in the computation of the underlying volatility surfaces. Unlike the CBOE’s method, which relies on local volatility models, our approach follows Shirvani et al. (2024) by using the NDIG process to estimate these volatilities.
We linearly scale the NDIG-implied volatility estimates to match the scale of the historical VIX, facilitating a direct comparison. Figure 9 presents the normalized revised VIX (VVIX), which incorporates stochastic volatility and accounts for heavy tails. The historical volatility, labeled “STD”, is empirically measured, while the red line represents the theoretical moment of volatility derived from the NDIG model, corresponding to the revised VIX (VVIX). The computation of the VIX (green line) is performed according to Equation (12).
Figure 9.
Normalized volatility to match NDIG estimates: revised VIX {Volatility of VIX (VVIX)}.
3.6. Risk–Reward Ratios as a Measure of Uncertainty
Risk–reward (R/R) ratios provide a framework for evaluating the balance between potential gains and losses in markets with volatility and non-normal distributions of returns. By capturing the asymmetry inherent in financial returns, these ratios highlight the importance of controlling for large downside risks rather than relying solely on symmetric measures of dispersion. An axiomatic approach to performance measurement specifies that every R/R ratio should satisfy several key properties as follows: (i) monotonicity, implying that higher returns are always preferred; (ii) quasi-concavity, ensuring that diversification is rewarded; (iii) scale invariance, ensuring that scaling the underlying returns does not change the ratio; and (iv) distribution-based dependence, ensuring that the ratio depends solely on the distribution of the returns.
Let be a convex set of random variables defined on a probability space , and let each denote a financial return observed over a time horizon . Consider an R/R ratio of the form
where measures the reward and measures the risk. Here, and . The ratio should satisfy the following conditions:
- (M) Monotonicity: for all such that .
- (Q) Quasi-concavity: for all and ,thus rewarding diversification and avoiding the concentration of risk.
As noted by Cheridito and Kromer (2013), monotonicity is a minimal requirement for any performance indicator, ensuring that improved returns are always preferred. Quasi-concavity further ensures that diversification is beneficial. If either property is not satisfied, risk may concentrate, as shown in Artzner et al. (1999) for the value-at-risk setting.
In addition, risk–reward ratios can also be interpreted as measures of uncertainty. While volatility alone captures only the dispersion of the returns, risk–reward ratios incorporate both the potential gains and losses relative to their underlying distributions. By doing so, these ratios reflect not just the magnitude of market fluctuations, but also how investors perceive and respond to the asymmetric nature of the outcomes. By accounting for skewness and kurtosis, risk–reward ratios offer a more comprehensive and economically meaningful perspective on uncertainty. However, a key empirical challenge arises when estimating R/R ratios for the revised VIX, while performance ratios over a convex set of random variables assume an independent and identically distributed (i.i.d) framework, financial returns generally exhibit dependence and persistence, particularly in volatility.
To address this, we fit a long-memory time series model to the normalized VVIX, thereby incorporating persistence in both the mean and variance processes. Baillie et al. (1996) introduced the FIGARCH (Fractionally Integrated GARCH) model, demonstrating that standard GARCH models are ill-suited to capturing persistent memory in volatility. Similarly, Hyung and Franses (2002) show that Autoregressive Fractionally Integrated Moving Average or ARFIMA-FIGARCH models outperform traditional ARMA-GARCH models in capturing long memory dynamics in both the mean and the variance, reflecting the persistent influence of past shocks.
Figure 10 compares the residuals obtained from the ARFIMA(1, , 1)-FIGARCH(1, , 1) model with those from a standard ARMA(1,1)-GARCH(1,1) model, both fitted to the normalized VVIX. The ARFIMA-FIGARCH model demonstrates a clear advantage in capturing the persistent effects and long memory in volatility, which are critical characteristics of financial time series. The fractional differencing terms in the ARFIMA-FIGARCH framework allow for a more gradual decay in autocorrelations, ensuring that the extracted innovations reflect the clustering and persistence commonly observed in market volatility. This is in contrast to the ARMA-GARCH model, which has difficulty in capturing such long-range dependence and often fails to fully capture the dynamic structure of financial market data. These findings underscore the importance of long-memory time series models in financial analysis, particularly for applications requiring the modeling of heavy tails, volatility clustering, and time-varying risk dynamics. The ARFIMA-FIGARCH framework, therefore, provides a more robust and accurate tool for understanding and forecasting uncertainty in the market.
Figure 10.
Residuals of the fitted time series models.
Long memory in the mean (captured by ARFIMA) implies that historical values continue to influence future returns over extended horizons. Similarly, long memory in volatility (captured by FIGARCH) implies that periods of heightened turbulence persist for prolonged durations. To incorporate these features, we model the normalized VVIX as follows:
where is the normalized VVIX, is the mean fractional differencing parameter, and is a white noise innovation.
For the volatility, we use
with capturing the long memory in the volatility.
To evaluate whether the revised VIX and its associated R/R ratios reveal any predictable patterns, we simulate 10,000 NIG scenarios based on the ARFIMA-FIGARCH normal innovations derived from the normalized VVIX. Using these simulated scenarios, we calculate performance measures, including the Rachev ratio and the Stable Tail Adjusted Return (STAR) ratio. Figure 11 demonstrates that these R/R ratios exhibit no discernible or systematic patterns, suggesting the absence of predictable signals within the volatility noise. This finding aligns with the efficient market hypothesis, indicating that the revised VIX does not introduce exploitable predictability in volatility, thereby preserving the efficiency of the markets.
Figure 11.
Signal/Noise ratios detected using performance ratios over S scenarios.
4. Results
To identify i.i.d. shocks, we begin by extracting normal innovations from the ARFIMA(1, , 1)-FIGARCH(1, , 1) model defined in Equations (14) and (15). Using these innovations, we then compute the risk–reward (R/R) ratios to isolate uncertainty shocks. Specifically, we consider the following two performance ratios: the Rachev ratio and the Stable Tail Adjusted Return Ratio (STAR ratio). These serve as benchmark metrics for quantifying uncertainty shocks—interpreted here as signals extracted from volatility noise—with the defined data-generating process.
- Rachev Ratio (RR):where denotes the Average Value-at-Risk. More formally,Here, X denotes the normal innovations obtained from the revised VIX, and and are confidence levels for the right and left tails, respectively. Although the Rachev ratio satisfies monotonicity (M), scale invariance (S), and distribution-based (D) properties, it fails to meet the quasi-concavity (Q) property due to its non-concave numerator.
- Stable Tail Adjusted Return Ratio (STAR Ratio):whereThe STAR ratio fully satisfies all four axioms (M, Q, S, D), rendering it axiomatically sound and robust.
Equations (16) and (17) define the benchmark performance ratios used to quantify uncertainty shocks in the ARFIMA-FIGARCH framework. Figure 12 presents these ratios computed over the normal innovations, treating them as an i.i.d. series representing uncertainty shocks. Since the ARFIMA-FIGARCH innovations are not serially correlated, they support the standard macroeconomic assumption that uncertainty shocks are both unexpected and independent over time. In other words, there are no predictable signals in the volatility noise, consistent with the notion that uncertainty should not be forecastable.
Figure 12.
Novel Uncertainty Shocks. (i) Rachev Ratios (ii) STAR Ratios.
Figure 12 presents the Rachev and STAR ratios derived from the ARFIMA-FIGARCH and ARMA-GARCH models, respectively, highlighting their effectiveness in capturing uncertainty shocks. Notably, the ARFIMA-FIGARCH model exhibits pronounced spikes during key market events, such as the COVID-19-induced market crash in March 2020 and the monetary policy tightening in early 2022. These spikes correspond to significant tail risks and volatility clustering in financial markets, as expected under a double-subordinated NDIG framework.
The upward spikes in the Rachev ratio reflect heightened tail risk on the left side of the distribution (extreme negative outcomes), while the downward spikes in the STAR ratio correspond to the deterioration in the return-to-risk trade-offs due to the amplified volatility. This contrast arises because the Rachev ratio emphasizes adverse tail events, magnifying the impact of extreme losses, whereas the STAR ratio focuses on the average risk-adjusted returns, which decline sharply under heightened volatility. In contrast, the ARMA-GARCH model produces muted signals, failing to capture the persistence and magnitude of the uncertainty reflected in the data. This comparison underscores the comprehensiveness of our long-memory time series approach in identifying large market disruptions and subtler shifts in investor sentiment and risk aversion.
The pronounced movements or “jumps”, identified as uncertainty shocks, could be interpreted as meaningful signals. Both ratios serve as proxies for the intensity and persistence of uncertainty shocks over time. The ARFIMA-FIGARCH model, capturing long-memory behavior, exhibits pronounced spikes and sharp declines that coincide with major market disruptions (notably in March 2020 and early 2022). In contrast, the ARMA-GARCH-based ratios remain relatively muted, reflecting a less sensitive and more short-term oriented view of uncertainty. These comparisons highlight the capacity of the ARFIMA-FIGARCH approach—combined with the NDIG-based volatility measure—to more accurately detect and quantify the severity and persistence of uncertainty shocks.
Compared to the traditional VIX, our proposed method offers a more comprehensive perspective on market turbulence, while the VIX can effectively detect pronounced episodes of stress—such as the market turmoil triggered by the COVID-19 pandemic in March 2020 or the uncertainty that intensified in early 2022—it relies on modeling assumptions extensively discussed in Section 3.5. In particular, the VIX’s underlying framework, which basically treats returns as if they followed a Normal Inverse Gaussian (NIG) distribution, can limit its ability to discern more intricate patterns of volatility and tail risk.
In contrast, our NDIG-based volatility measure enables the model to incorporate both the timing and magnitude of shocks in a way that better reflects the observed market phenomena. As a result, while the VIX may identify periods of heightened volatility, it can underestimate the true severity of these events or overlook more subtle, yet economically significant, manifestations of uncertainty. For instance, the extreme market turmoil of March 2020 and the subsequent policy uncertainty in early 2022 are clearly reflected in our model’s outcomes. In early 2022, factors such as inflationary pressures, the Federal Reserve’s aggressive policy guidance, the Russia–Ukraine conflict, and precipitous declines in technology stocks fueled an environment of heightened uncertainty. Although the VIX recognized heightened volatility, it did not fully take into account the heavy-tailed, persistent features of the underlying return process. In contrast, our NDIG-based approach, supported by the ARFIMA-FIGARCH model, elucidates not only the well-documented macroeconomic events but also previously overlooked properties in the distributional structure of returns.
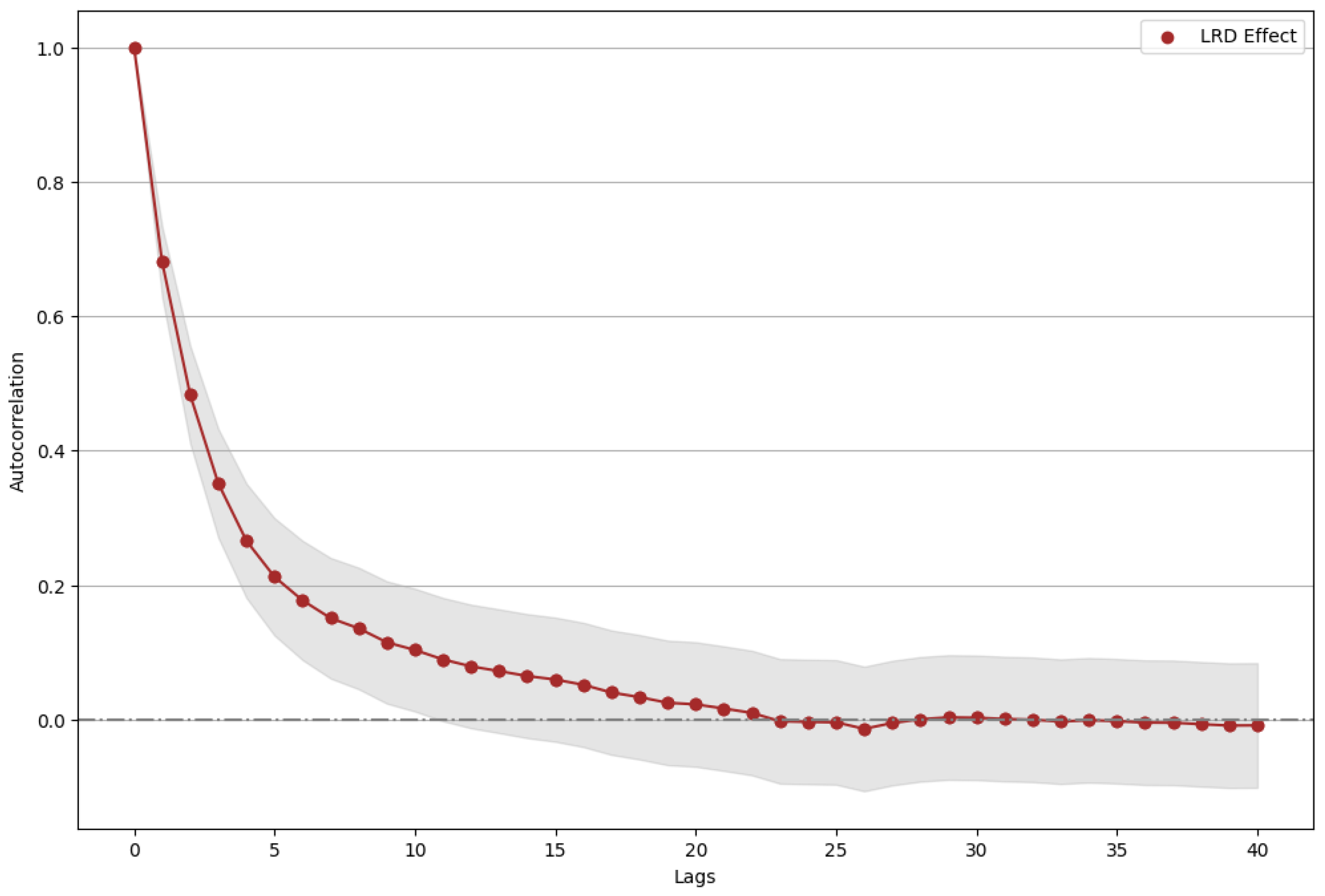
Figure 13 presents the autocorrelation function (ACF) of the volatility series, highlighting the presence of long-range dependence (LRD) or long memory in the data. The slow, hyperbolic decay of the ACF over the lags demonstrates the long memory processes, as opposed to the exponential decay observed in short memory models like the standard ARMA-GARCH frameworks. This persistence indicates that shocks to volatility have a significant influence over an extended time horizon, consistent with the properties of ARFIMA-FIGARCH. The confidence bands further emphasize that the autocorrelation remains statistically significant over a substantial number of lags. By identifying long-memory, this approach takes into account the enduring nature of volatility clustering and provides a more accurate representation of the dynamics of the market.
Figure 13.
Long-range dependences: decay of the autocorrelation.
Figure 14 presents the Rachev and STAR ratios computed from the normal innovations of the traditional VIX and the revised VIX (VVIX), modeled using the ARFIMA(1, , 1)-FIGARCH(1, , 1) framework. The new measure of uncertainty shocks, denoted as ARFIMA-FIGARCH: revised VIX, captures the more pronounced signals of financial market volatility compared to those extracted from the traditional VIX. The results clearly indicate that the revised method better captures the long-memory effects inherent in financial markets, while these effects remain muted under the traditional VIX approach.
Figure 14.
Traditional VIX vs. revised VIX; (i) Rachev ratios, (ii) STAR ratios.
Hence, our framework reveals a more comprehensive portrayal of uncertainty shocks than the traditional VIX. While the VIX remains useful as a volatility gauge, it lacks the flexibility and distributional adaptability of our NDIG-based method. By utilizing R/R ratios, we advance beyond standard volatility measures in financial markets. The findings are more aligned with the fundamental asset pricing principles and offer a deeper understanding of how uncertainty, driven by complex macroeconomic, geopolitical, and sector-specific factors, resonates throughout financial markets.
5. Conclusions
This paper contributes to the study of uncertainty shocks in financial markets by introducing a novel method that integrates heavy-tailed distributions and stochastic volatility in asset returns. Using a double-subordinated Normal Inverse Gaussian (NIG) Lévy process to model the log returns of the S&P 500, we developed the Volatility of VIX (VVIX) as a revised volatility index. This new measure captures the complex distributional characteristics of market dynamics more accurately than traditional approaches. By accounting for skewness, kurtosis, and volatility clustering—key features of periods marked by heightened uncertainty—the VVIX provides a more comprehensive understanding of market behavior beyond conventional second-moment measures of volatility.
Our framework further refines the identification of uncertainty shocks by deploying a general family of risk–reward (R/R) ratios on a long-memory time series of the VVIX. These ratios elucidate the relation between risk and return in environments characterized by extreme events and tail risks. In doing so, this approach extends the conventional methods, enabling the more precise modeling of macro-financial linkages, informing risk management strategies, and ultimately improving the understanding of how uncertainty shapes economic outcomes. The VVIX-based method uncovers subtler yet economically meaningful sources of uncertainty, particularly during tumultuous periods. Future research could apply this approach to a broader range of asset classes, investigate its implications for portfolio construction and hedging strategies, and further explore the macroeconomic consequences of uncertainty shocks. Ultimately, this line of inquiry has the potential to yield a deeper understanding of the intricate interplay between uncertainty, asset prices, and economic activity.
Author Contributions
A.J.:data curation, formal analysis, investigation, methodology, resources, software, validation, visualization, writing (original draft), and writing (review and editing); A.S.: formal analysis, methodology, supervision, validation, and writing (review); S.T.R.: formal analysis, investigation, methodology, supervision, validation, resources; F.J.F.: supervision, validation, writing (review and editing). All authors have read and agreed to the published version of the manuscript.
Funding
This research received no external funding.
Institutional Review Board Statement
Not applicable.
Informed Consent Statement
Not applicable.
Data Availability Statement
Data is available upon request.
Conflicts of Interest
The authors declare no conflicts of interest.
References
- Artzner, P., Delbaen, F., Eber, J. M., & Heath, D. (1999). Coherent measures of risk. Mathematical Finance, 9, 203–228. [Google Scholar] [CrossRef]
- Baillie, R., Bollerslev, T., & Mikkelsen, H. (1996). Fractionally integrated generalized autoregressive conditional heteroskedasticity. Journal of Econometrics, 74, 3–30. [Google Scholar] [CrossRef]
- Bansal, R., & Yaron, A. (2004). Risks for the long run: A potential resolution of asset pricing puzzles. The Journal of Finance, 59, 1481–1509. [Google Scholar] [CrossRef]
- Bloom, N. (2009). The impact of uncertainty shocks. Econometrica, 77, 623–685. [Google Scholar]
- Bloom, N. (2014). Fluctuations in uncertainty. Journal of Economic Perspectives, 28, 153–176. [Google Scholar] [CrossRef]
- Carr, P., Geman, H., Madan, D. B., & Yor, M. (2003). Stochastic volatility for levy processes. Mathematical Finance, 13, 345–382. [Google Scholar] [CrossRef]
- Carr, P. P., & Madan, D. (2001). Option valuation using the fast fourier transform. Journal of Computational Finance, 2, 61–73. [Google Scholar] [CrossRef]
- Cheridito, P., & Kromer, E. (2013). Reward–risk ratios. Journal of Investment Strategies, 3, 1–16. [Google Scholar] [CrossRef]
- Clark, P. (1973). A subordinated stochastic process model with fixed variance for speculative prices. Econometrica, 41, 135–156. [Google Scholar] [CrossRef]
- Cont, R. (2000). Empirical properties of asset returns: Stylized facts and statistical issues. Quantitative Finance, 1, 223–236. [Google Scholar] [CrossRef]
- Delbaen, F., & Schachermayer, W. (1994). A general version of the fundamental theorem of asset pricing. Mathematische Annalen, 300, 463–520. [Google Scholar] [CrossRef]
- Duffie, D. (2001). Dynamic asset pricing theory (3rd ed.). Princeton University Press. [Google Scholar]
- Duffie, D., Pan, J., & Singleton, K. (2000). Transform analysis and asset pricing for affine jump-diffusions. Econometrica, 68, 1343–1376. [Google Scholar] [CrossRef]
- Hyung, N., & Franses, P. (2002). Modeling seasonality and long memory in time series. Journal of Econometrics, 109, 241–263. [Google Scholar]
- Kelly, B., & Jiang, H. (2014). Tail risk and asset prices. The Review of Financial Studies, 27, 2841–2871. [Google Scholar] [CrossRef]
- Kozeniauskas, N., Orlik, A., & Veldkamp, L. (2018). What are Uncertainty Shocks? Journal of Monetary Economics, 100, 1–15. [Google Scholar] [CrossRef]
- Kozlowski, J., Veldkamp, L., & Venkateswaran, V. (2020). The Tail That Wags the Economy: Beliefs and Persistent Stagnation. Journal of Political Economy, 128, 2839–3284. [Google Scholar] [CrossRef]
- Ma, T., & Serota, R. (2014). A model for stock returns and volatility. Physica A: Statistical Mechanics and Its Applications, 138, 89–115. [Google Scholar] [CrossRef][Green Version]
- Mandelbolt, B., & Taylor, H. (1967). On the distribution of stock price differences. Journal of Operations Research, 15, 1057–1062. [Google Scholar] [CrossRef]
- Mehra, R., & Prescott, E. C. (2003). Chapter 14: The equity premium in retrospect. In Handbook of the Economics of Finance (Vol. 1B, pp. 889–938). Elsevier. [Google Scholar]
- Moghaddam, M. D., Liu, Z., & Serota, R. A. (2019). Distribution of historic market data—Implied and realized volatility. Applied Economics and Finance, 6, 104–130. [Google Scholar] [CrossRef]
- Orlik, A., & Veldkamp, L. (2014). Understanding uncertainty shocks and the role of black swans. (Technical Report 20445). National Bureau of Economic Research. [Google Scholar]
- Rietz, T. A. (1988). The equity risk premium: A solution. Journal of Monetary Economics, 22, 117–131. [Google Scholar] [CrossRef]
- Shirvani, A., Mittnik, S., Lindquist, W. B., & Rachev, S. T. (2024). Bitcoin volatility and intrinsic time using double-subordinated lévy processes. Risks, 12, 82. [Google Scholar] [CrossRef]
- Shirvani, A., Rachev, S., & Fabozzi, F. (2021). Multiple subordinated modeling of asset returns: Implications for option pricing. Econometric Reviews, 40(3), 290–319. [Google Scholar] [CrossRef]
- Shirvani, A., Stoyanov, S., Fabozzi, F., & Rachev, S. (2021). Equity premium puzzle or faulty economic modeling? Review of Quantitative Finance and Accounting, 56, 1329–1342. [Google Scholar] [CrossRef]
- Yu, J. (2003). Empirical characteristic function estimation and its applications. Econometric Reviews, 23, 93–123. [Google Scholar] [CrossRef]
Disclaimer/Publisher’s Note: The statements, opinions and data contained in all publications are solely those of the individual author(s) and contributor(s) and not of MDPI and/or the editor(s). MDPI and/or the editor(s) disclaim responsibility for any injury to people or property resulting from any ideas, methods, instructions or products referred to in the content. |
© 2024 by the authors. Licensee MDPI, Basel, Switzerland. This article is an open access article distributed under the terms and conditions of the Creative Commons Attribution (CC BY) license (https://creativecommons.org/licenses/by/4.0/).













