Diagnostic for Volatility and Local Influence Analysis for the Vasicek Model
Abstract
1. Introduction
2. The Vasicek Model
3. Likelihood Inference
3.1. Maximum Likelihood Estimation
3.2. Diagnostic for Constant Volatility
4. Influence Diagnostics for Parameter Estimates
4.1. Description of the Local Influence Method
4.2. Calculation of the Influence Measures
4.2.1. Perturbation of the Variance
4.2.2. Perturbation of the Interest Rate
5. Applications and Simulation Study
5.1. Historical USD to CHF Exchange Rate
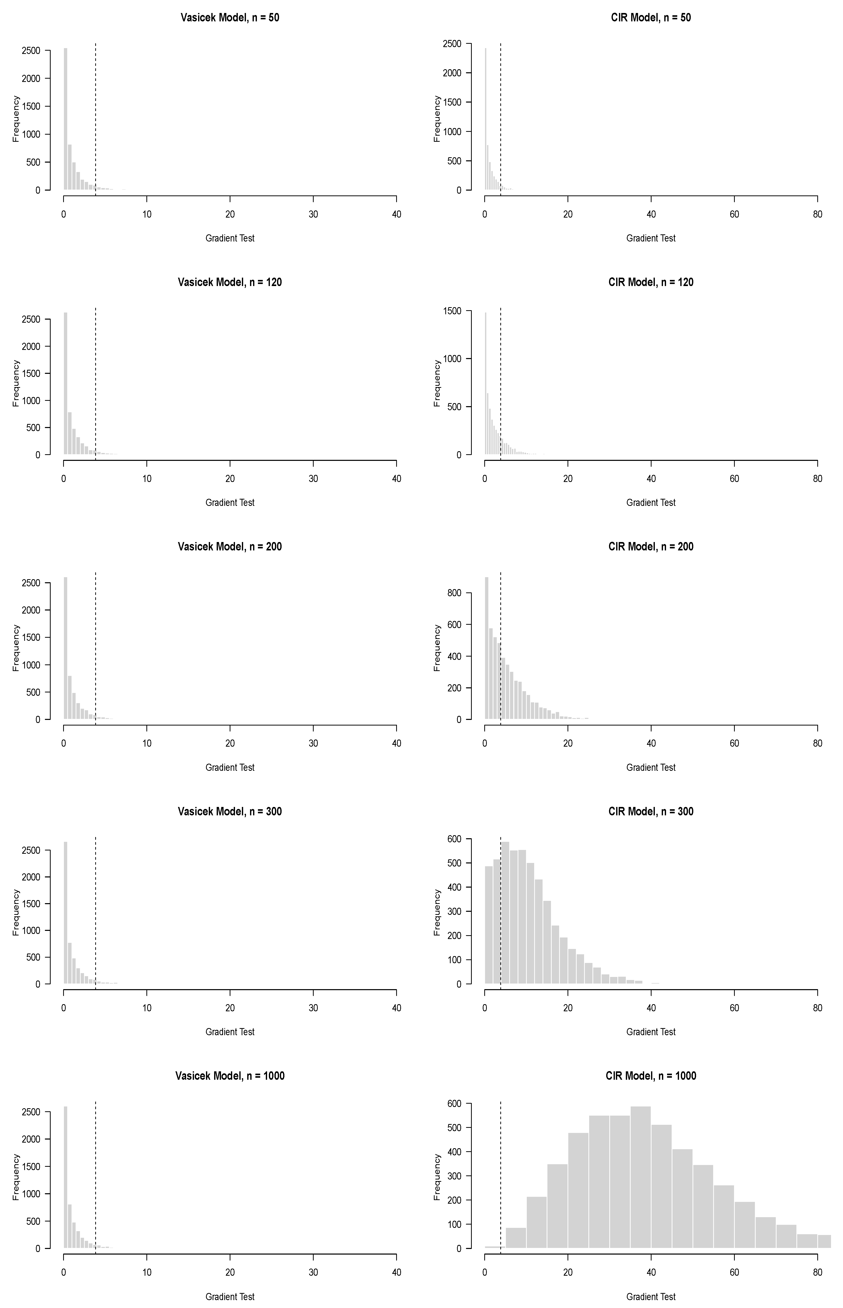
5.2. Simulation Study
6. Conclusions
Author Contributions
Funding
Institutional Review Board Statement
Informed Consent Statement
Data Availability Statement
Conflicts of Interest
Appendix A. Interest Rate Model Symbols and Their Interpretation
| Symbol | Interpretation |
|---|---|
| Response variable (e.g., interest) at time i | |
| Mean speed of the interest rate reversion | |
| Mean interest rate level | |
| Volatility of the short-term rate | |
| Proportional volatility exponent | |
| Intercept of the relation between and | |
| Slope of the relation between and | |
| Variance of the error term of the relation between and |
Appendix B. The Stochastic Integral
Appendix C. The Observed Information Matrix
Appendix D. Invariant of Cd and Bd
Appendix E. Determination of gij (ω) for the Variance Perturbation Scheme
References
- Black, F., & Scholes, M. (1973). The pricing of options and corporate liabilities. Journal of Political Economy, 81, 637–659. [Google Scholar] [CrossRef]
- Brigo, D., & Mercurio, F. (2006). Interest rate models—Theory and practice, with smile, inflation and credit (2nd ed.). Springer. [Google Scholar]
- Cambanis, S., Huang, S., & Simons, G. (1981). On the theory of elliptical contoured distributions. Journal of Multivariate Analysis, 11, 368–385. [Google Scholar] [CrossRef]
- Chan, K. C., Karolyi, G. A., Longstaff, F. A., & Sanders, A. B. (1992). An empirical comparison of alternative models of the short-term interest rate. Journal of Finance, 47, 1209–1227. [Google Scholar]
- Chatterjee, S., & Hadi, A. S. (1988). Sensitivity analysis in linear regression. John Wiley. [Google Scholar]
- Cook, R. D. (1986). Assessment of local influence. Journal of the Royal Statistical Society, B, 48, 133–169. [Google Scholar] [CrossRef]
- Cook, R. D., & Weisberg, S. (1982). Residuals and influence in regression. Chapman and Hall. [Google Scholar]
- Cook, R. D., & Weisberg, S. (1983). Diagnostics for heteroscedasticity in regression. Biometrika, 70(1), 1–10. [Google Scholar] [CrossRef]
- Cox, D. R., & Reid, N. (1987). Parameter orthogonality and approximate conditional inference. Journal of the Royal Statistical Society, B, 49, 1–39. [Google Scholar] [CrossRef]
- Cox, J. C., Ingersoll, J. E., & Ross, S. A. (1985). A theory of the term structure of interest rates. Econometrica, 53, 385–407. [Google Scholar] [CrossRef]
- Duan, J. C. (1994). Maximum likelihood estimation using price data of the derivative contract. Mathematical Finance, 4, 155–167. [Google Scholar] [CrossRef]
- Escobar, E., & Meeker, W. (1992). Assessing influence in regression analysis with censored data. Biometrics, 48, 507–528. [Google Scholar] [CrossRef] [PubMed]
- Fergusson, K., & Platen, E. (2015). Application of maximum likelihood estimation to stochastic short rate models. Annals of Financial Economics, 10, 1–26. [Google Scholar] [CrossRef]
- Filipović, D. (2009). Term-structure models. A graduate course. Springer. [Google Scholar]
- Galea, M., Díaz-García, J. A., & Vilca, F. (2008). Influence diagnostics in the capital asset pricing model under elliptical distributions. Journal of Applied Statistics, 35(2), 179–192. [Google Scholar] [CrossRef]
- Galea, M., & Giménez, P. (2019). Local influence diagnostics for the test of mean-variance efficiency and systematic risks in the capital asset pricing model. Statistical Papers, 60, 293–312. [Google Scholar] [CrossRef]
- Hassler, U. (2016). Stochastic processes and calculus: An elementary introduction with applications. Springer International Publishing. [Google Scholar]
- Kelker, D. (1970). Distribution theory of spherical distributions and location-scale parameter generalization. Sankhya, 32, 419–430. [Google Scholar]
- Lemonte, A. (2016). The Gradient test: Another likelihood-based test. Academic Press. [Google Scholar]
- Lo, A. (1986). Statistical tests of contingent-claims asset-pricing models: A new methodology. Journal of Financial Economics, 17, 143–173. [Google Scholar] [CrossRef]
- Mazzoni, T. (2018). A first course in quantitative finance. Cambridge University Press. [Google Scholar]
- McDonald, R. L. (2013). Derivatives markets (3rd ed.). Pearson. [Google Scholar]
- Merton, R. C. (1973). Theory of rational option pricing. Bell Journal of Economics and Management Science, 4, 141–183. [Google Scholar] [CrossRef]
- Mostafa, H., & Mohammed, H. (2016). Modeling of Exchange Rate Risk. American Journal of Mathematics and Statistics, 6, 233–237. [Google Scholar]
- Nowman, K. B. (1997). Gaussian estimation of single-factor continuous time models of the term structure of interest rates. Journal of Finance, 52, 1695–1706. [Google Scholar]
- Nowman, K. B. (1998). Continuous time short rate interest rate models. Applied Financial Economics, 8, 401–407. [Google Scholar] [CrossRef]
- Poon, W., & Poon, Y. S. (1999). Conformal normal curvature and assessment of local influence. Journal of the Royal Statistical Society, B, 61, 51–61. [Google Scholar] [CrossRef]
- Rémillard, B. (2013). Statistical methods for financial engineering. CRC Press. [Google Scholar]
- Schwarzmann, B. (1991). A connection between local-influence analysis and residual diagnostics. Technometrics, 33, 103–104. [Google Scholar] [CrossRef]
- Serafin, T., Michalak, A., Bielak, L., & Wylomanska, A. (2020). Averaged-calibration-length prediction for currency exchange rates by a time-dependent vasicek model. Theoretical Economics Letters, 10, 579–599. [Google Scholar] [CrossRef]
- Sikora, G., Michalak, A., Bielak, L., Mista, P., & Wylomanska, A. (2019). Stochastic modeling of currency exchange rates with novel validation techniques. Physica A, 523, 1202–1215. [Google Scholar] [CrossRef]
- Swiss National Bank. (2011, September 6). Swiss National Bank sets minimum exchange rate at CHF 1.20 per euro. Available online: https://www.snb.ch/en/publications/communication/press-releases/2011/pre_20110906 (accessed on 19 December 2024).
- Terrell, G. (2002). The gradient statistic. Computing Science and Statistics, 34, 206–215. [Google Scholar]
- Valdivieso, L., Schoutens, W., & Tuerlinckx, F. (2009). Maximum likelihood estimation in processes of Ornstein-Uhlenbeck type. Statistical Inference for Stochastic Processes, 12, 1–19. [Google Scholar] [CrossRef]
- van der Hart, J., Slagter, E., & van Dijk, D. (2003). Stock selection strategies in emerging markets. Journal of Empirical Finance, 10, 105–132. [Google Scholar] [CrossRef]
- Vasicek, O. A. (1977). An equilibrium characterization of the term structure. Journal of Financial Economics, 5, 177–188. [Google Scholar] [CrossRef]
- Zhu, H. T., Ibrahim, J. G., Lee, S., & Zhang, H. (2007). Perturbation selection and influence measures in local influence analysis. The Annals of Statistics, 35, 2565–2588. [Google Scholar] [CrossRef]
- Zhu, H. T., & Lee, S. Y. (2001). Local influence for incomplete-data models. Journal of the Royal Statistical Society, B, 63, 111–126. [Google Scholar] [CrossRef]






| n | Min | Median | Mean | Max | SD | Skewness | Kurtosis |
|---|---|---|---|---|---|---|---|
| 287 | 0.779 | 0.989 | 1.080 | 1.784 | 0.214 | 1.448 | 4.479 |
| Parameter | ML Estimate | Standard Error |
|---|---|---|
| 0.19833 | (0.08095) | |
| 0.92120 | (0.10793) | |
| 0.00702 | (0.00059) |
| n | (Vasicek Model) | (CIR Model) |
|---|---|---|
| 50 | 0.0554 | 0.0692 |
| 120 | 0.0488 | 0.2170 |
| 200 | 0.0480 | 0.5210 |
| 300 | 0.0514 | 0.8074 |
| 1000 | 0.0542 | 0.9988 |
Disclaimer/Publisher’s Note: The statements, opinions and data contained in all publications are solely those of the individual author(s) and contributor(s) and not of MDPI and/or the editor(s). MDPI and/or the editor(s) disclaim responsibility for any injury to people or property resulting from any ideas, methods, instructions or products referred to in the content. |
© 2025 by the authors. Licensee MDPI, Basel, Switzerland. This article is an open access article distributed under the terms and conditions of the Creative Commons Attribution (CC BY) license (https://creativecommons.org/licenses/by/4.0/).
Share and Cite
Galea, M.; Molina, A.; Beaudry, I.S. Diagnostic for Volatility and Local Influence Analysis for the Vasicek Model. J. Risk Financial Manag. 2025, 18, 63. https://doi.org/10.3390/jrfm18020063
Galea M, Molina A, Beaudry IS. Diagnostic for Volatility and Local Influence Analysis for the Vasicek Model. Journal of Risk and Financial Management. 2025; 18(2):63. https://doi.org/10.3390/jrfm18020063
Chicago/Turabian StyleGalea, Manuel, Alonso Molina, and Isabelle S. Beaudry. 2025. "Diagnostic for Volatility and Local Influence Analysis for the Vasicek Model" Journal of Risk and Financial Management 18, no. 2: 63. https://doi.org/10.3390/jrfm18020063
APA StyleGalea, M., Molina, A., & Beaudry, I. S. (2025). Diagnostic for Volatility and Local Influence Analysis for the Vasicek Model. Journal of Risk and Financial Management, 18(2), 63. https://doi.org/10.3390/jrfm18020063

