Abstract
A high performance lithium anode is a key component for high energy density lithium batteries. Silicon based lithium anode materials are attractive for the lithium anode due to their high theoretical capacity. However, a severe problem is the huge volume change that occurs during cycling, resulting in a poor capacity retention. We have developed a silicon based anode that disperses silicon particles on a carbon paper made from Manila hemp. The composite silicon electrode materials showed a high initial coulombic efficiency of 83%. The initial capacity of 566 mAh g−1 based on the total weight of the electrode was retained at 491 mAh g−1 after 70 cycles at the charge and discharge rate of 100 mA g−1 and at room temperature.
1. Introduction
Recently, the demand for high energy density batteries as the energy source in electric vehicles (EV) has significantly increased, with an aim to reduce the CO2 emission from vehicles. The driving range of EVs with lithium-ion batteries, which have the highest specific energy density at present, is too short compared to conventional vehicles with internal conversion (IC) engines. This is because the specific energy density of the lithium-ion battery with carbon anodes and lithiated cathodes used for recent EVs (around 100 Wh/kg) is approximately one seventh to that of a conventional IC engine (around 700 Wh/kg) [1,2]. Many types of battery systems beyond lithium-ion batteries have been proposed. Among them, lithium-air and lithium-sulfur systems [3] are expected to develop batteries with high specific energy density that is comparable to IC engines. Lithium-air and lithium-sulfur batteries should be used in lithium metal or lithium content anodes such as LixSi.
A lithium metal anode is the best candidate for a battery with respect to the specific energy density due to its high specific capacity (3860 mAh/g) and low electrode potential (−3.04 V versus normal hydrogen electrode NHE). Rechargeable batteries with the lithium anodes were proposed 40 years ago [4], and there has been intensive research and development effort since. In 1987, a rechargeable non-aqueous battery with a lithium anode and a MoS2 cathode was commercialized by Moly in Canada and used for the battery in cellular phones by NTT, Japan. However, these batteries had serious problems due to lithium dendrite short-circuit. Sony, Japan, then commercialized a lithium-ion battery with a carbon anode and a lithiated cathode of LiCoO2. The lithium dendrite formation was drastically improved by the use of a carbon anode. The specific capacity of the carbon anode is 372 mAh g−1. Silicon anode materials are one of the other promising candidates for next generation high specific energy density batteries due to their substantially high theoretical capacity (3578 mAh g−1 for Li14Si5) and the fact that their lithium extraction potential is lower than 0.5 V, compared to that of Li+/Li [5,6,7,8]. However, a severe problem related to their high gravimetric capacity is the large volume change that occurs during cycling (300% expansion), which leads to high mechanical stress and breakdown of the conductive network of the composite electrode [9]. Much research has been conducted on silicon anodes aimed at addressing these limitations. The approaches include carbon containing nano-dispersed silicon [10,11,12], the development of a Si/C composite [13], the distribution of the silicon particles in a matrix of carbon [14,15,16], and the use of electrolyte additives such as fluoroethylene carbonate [17]. Some of them drastically improved the cycling performance of the silicon anode, but they used expensive materials such as nano-size silicon [18] and mesoporous silicon nanotube [19]. Dimov et al. [20] and Karulkar et al. [21] reported the cyclic performance of a simple mixture of a conventional silicon powder and graphite. A 30 wt % Si/graphite composite results in a theoretical capacity of 1330 mAh g−1. When the capacity was restricted to 500 mAh g−1, these composites operated reliably up to 90 cycles. In the previous paper [15], we have proposed a new Si/C composite using a carbon paper (CP) as a three dimensional conductive substrate. The three-dimensional structure can incorporate the active material into a current collecting network, in particular, by the improvement of adhesion between the carbon fiber of the paper and the carbon coated Si (Si/C) composite, wherein the carbon paper was prepared from a mixture of Manila hemp and poly(acrylonitrile) fiber at 2600 °C. An initial capacity of 1720 mAh g−1 of silicon and an initial Coulombic efficiency of 90% at 0.12 mA cm−2 wereobserved, and the reversible capacity of 1200 mA g−1 of silicon was retained even after 100 cycles. However, the volume density of the silicon dispersed in carbon paper anode is as low as 0.35 g cm−3, and the specific capacity based on the total weight of the electrode materials was as low as 300 mAh g−1. In this study, we have examined a new silicon anode material, with a high specific capacity dispersed over a carbon paper, using less expensive starting materials and preparation processes. The cast performance of the batteries in EVs is one of the most important requirements [22].
2. Experimental
The silicon dispersed carbon paper with artificial flake graphite (Si/G/CP) was prepared according to the following procedure. Manila hemp (2.5 g, Industrial technology Center, Gifu, Japan), artificial flake graphite (0.5 g, average particle size of around 15 and 150 μm, Ito Graphite Ltd., Kuwana, Japan), polyvinyl alcohol binder (0.125 g, Nacalai Tesque, Kyoto, Japan), and silicon powder (0.25 g, average particle size of 5 μm and 1 μm, Kinsei Matec, Osaka, Japan) were homogenously dispersed in water. A paper was made from the slurry by using a homemade machine. The handmade paper with graphite (G) and Si was pressed at 120 °C for 15 min. The dried paper was heated at 600 °C for 1 h and then at 700~1100 °C for 2 h under nitrogen gas flow. The thickness of the Si/G/CP was around 150 μm.
Coin-type cells (2032 type) were used for the electrochemical measurement of the Si/G/CP composite electrode. The cell consisted of Si/G/CP and lithium counter electrode in 1 M LiClO4 in an ethylene carbonate (EC) and diethyl carbonate (DEC) mixture (1:1 volume ratio). Microporous polyethylene separator (Toray, Japan) was used between the Si/G/CP electrode and the lithium electrode. After electrochemical measurements, the cells were carefully disassembled, and the composite electrodes were rinsed in dimethyl carbonate (DMC) to remove residual electrolyte and then dried at room temperature to reveal the surface and cross section for observation. The charge-discharge cyclic performances of the coin-type cells were measured at room temperature between 0.005 and 1.500 V versus Li+/Li at a constant current density of 100 mA g−1 (0.53~0.88 mA cm−2), with a rest time of 30 min. after every charging and discharging, using Nagano BTS 2004H, Japan. The current density was calculated based on the total weight of the Si/G/CP electrode materials. The amounts of the electrode materials were 6~10 mg, and the surface area of the electrode was 1.13 cm2. The morphology of the electrodes was observed using scanning electron microscopy (Hitachi SEM 5-4800, The Central Microscopy Research Facility, Iowa City, IA, USA). The coin type full cell consisted of an Si/G/CP anode, LiFePO4 cathode (Hosen, Yokohama, Japan), and ethylene carbonate (EC), fluoroethylene carbonate (FEC), and DMC (2:2:6 volume ratio) electrolyte of around 200 μL. The cathode consisted of a mixture of carbon coated LiFePO4 vapor growth carbon fiber (Showa Denko, Tokyo, Japan, 0.15 μm diameter and 20 μm long), and polyvinylidene difluorite (PVDF) (90:4:6 weight ratio). The thicknesses of the cathode and anode were around 70 μm. The resistance of the composite electrode was measured by a conventional four point probe method using a Mitsubishi Analytech MCP-PD51 (Yamato, Kanagawa, Japan). The X-ray diffraction (XRD) analysis was carried out using a Rigaku RINT2500. Diffractometer (Rigaku, Tokyo, Japan) with CuKα radiation. The X-ray CT scan image was obtained using a SKY1272 (RJL Lid. Japan).
3. Results and Discussion
Figure 1 shows SEM and X-ray CT scan images of the Si/G/CP composite electrode materials, where the particle size of Si was 5 μm, the contents of Si and G were 16 and 32 wt %, respectively, and the pyrolysis temperature was 900 °C. The energy dispersive X-ray (EDX) analysis suggested that the Si particles were dispersed homogenously over the carbon paper matrix. The average diameter of the carbon fiber was around 5.5 μm; the thickness of the composite electrode materials was around 150 μm; and the density was 0.43 g cm−3. The density is 20% higher than that of the Si dispersed over carbon paper reported previously [15]. The specific electrical resistance was estimated to be 100 mΩ cm for the composite with 15 μm particle size G and 282 mΩ cm for that with 150 μm particle size G at 25 °C. The densities of the composites with 15 and 150 μm G were 0.43 and 0.26 g cm−3, respectively. The XRD pattern of the Si/G/CP electrode with 16 wt % and 5 μm Si heated at 900 °C showed that no diffraction peak of SiC was observed and that the carbon fiber was amorphous. The Si/C/CP heated at 1200 °C showed a trace diffraction peak due to SiC. The composite electrode was flexural.

Figure 1.
Scanning electron microscopy (SEM) and X-ray CT scan images of Si/G/CP with 16 wt % and 5 μm Si; (a) surface; (b) cross section; and (c) X-ray CT scan image.
Figure 2 shows the cyclic performance of the Si/G/CP electrode with 16 wt % and 5 μm Si, where 15 and 150 μm G were used. The effect of the particle size of the artificial flake graphite was examined. The addition of the small size graphite was effective to decrease the electrode resistance and to increase the density of the electrode. An initial discharge (lithium insertion into Si) capacity of 468 mAh g−1 and an initial coulombic efficiency of 76% for the Si/G/CP with 15 wt % Si and 15 μm G were observed. The composite electrode with a large particle size G showed a high initial discharge capacity of 540 mAh g−1 but a low initial charge (lithium extraction from LixSi) and discharge efficiency of 70%. The capacity retention rate was slightly lower than that of the electrode with 15 μm G. The specific capacities of 382 and 364 mAh g−1 at the seventieth cycle were observed for the composite electrodes with 15 and 150 μm G, respectively. The reversible capacity of the Si/G/CP electrode is comparable to that of the carbon anode of conventional lithium-ion batteries. The Si/G/CP electrode with 5 μm Si showed an expansion of the electrode by cycling, as shown in Figure 3. The thickness of the Si/G/CP electrode expanded from 153 to 209 μm after 100 cycles. The degradation of the reversible capacity by cycling may be due to the expansion of the composite electrode [23]. The initial reversible capacities of the CP and G/CP electrode without Si were 240 and 270 mAh g−1, respectively, and these decreased with cycling. Therefore, some lithium may be intercalated into CP and G, but the main part of the lithium may be intercalated into Si.
Figure 2.
Cyclic performances of the Si/G/CP electrode with 16 wt % and 5 μm Si at 100 mA g−1 and 25 °C.
Figure 3.
SEM images of the Si/G/CP composite electrode with 16 wt % and 5 μm Si. (a) Initial and (b) after 100 cycles.
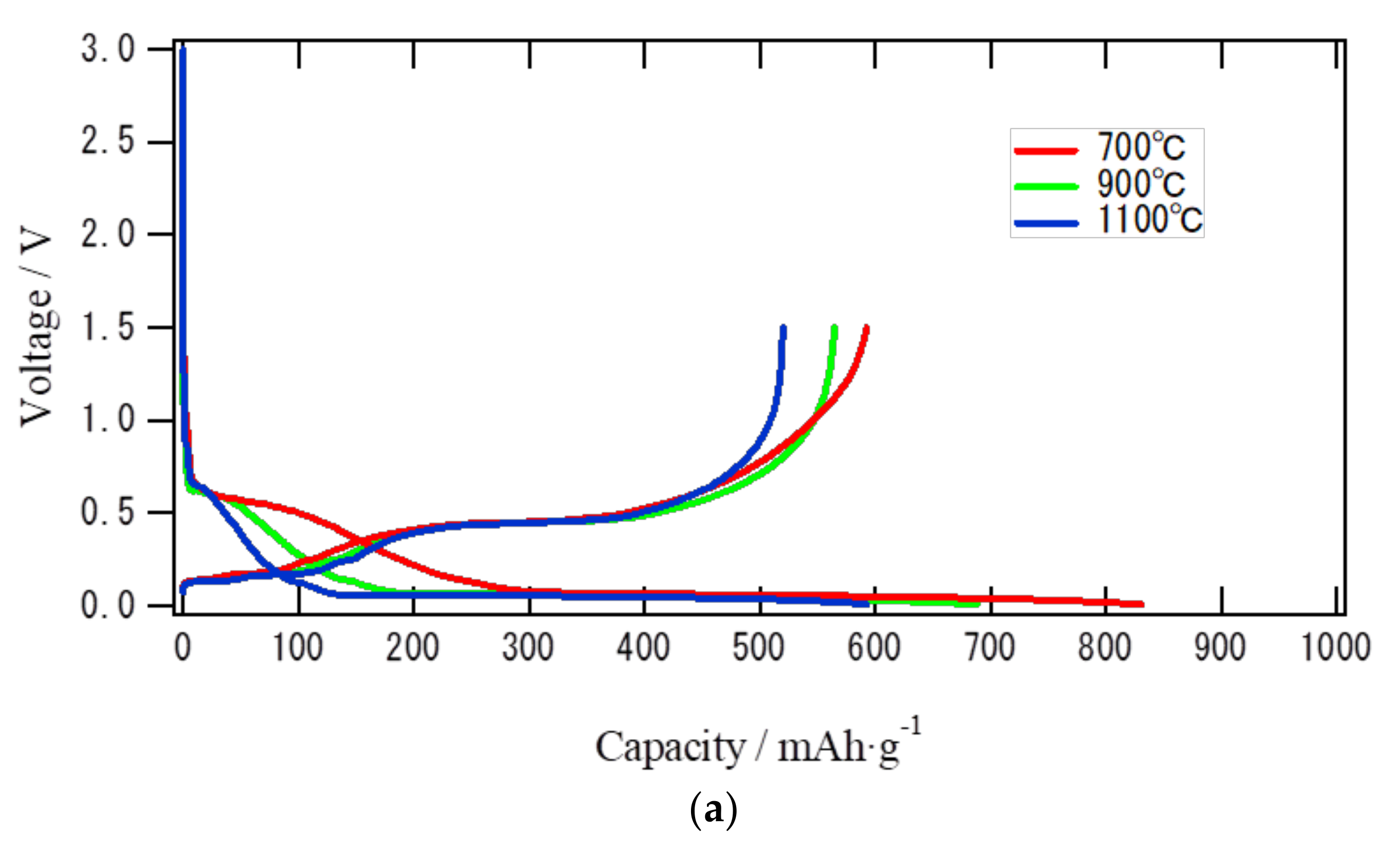
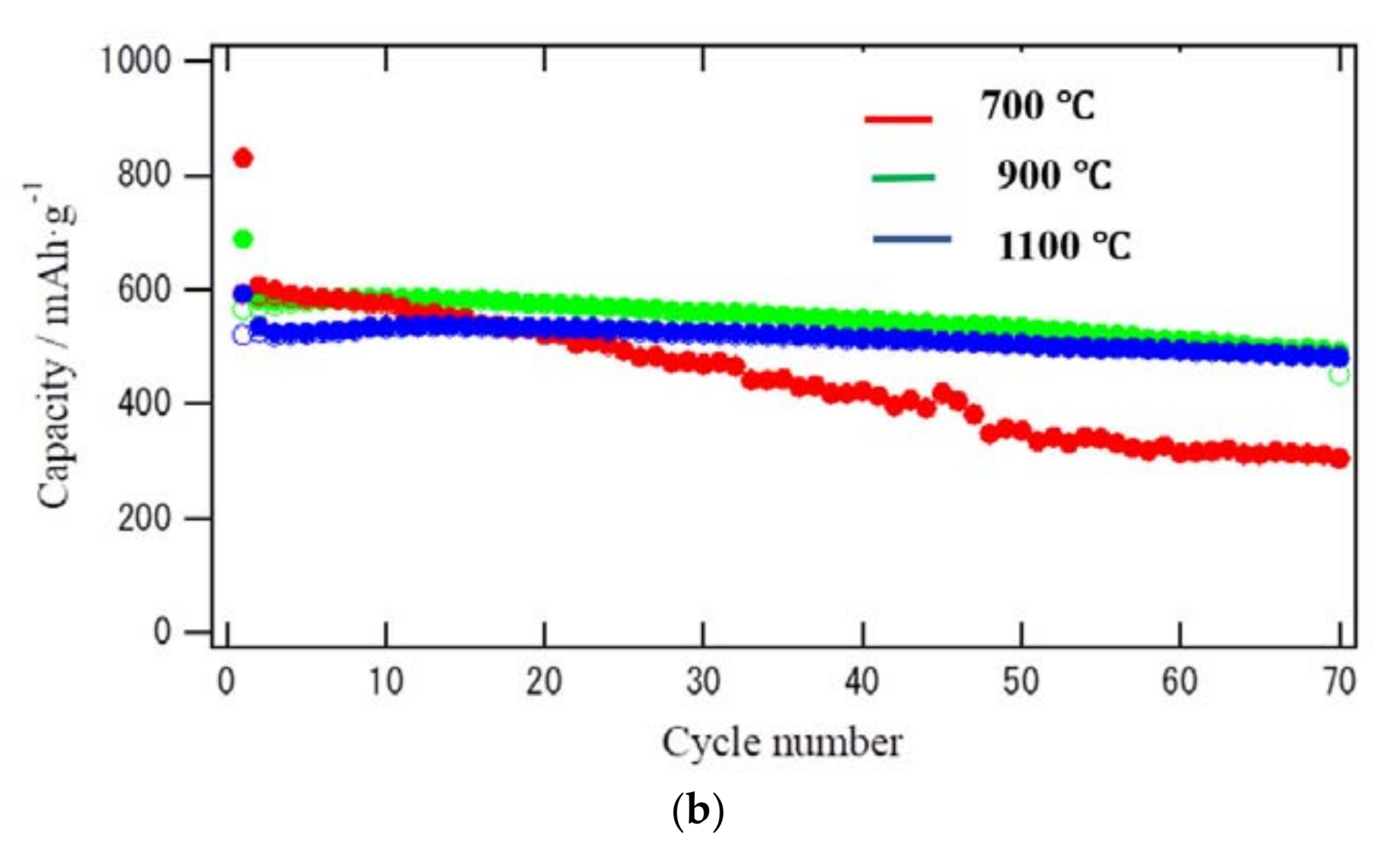
The Si/G/CP composite electrode with 5 μm Si was observed to have some cracking by cycling because of the expansion and shrinkage by lithium insertion and extraction. To improve the volume change by cycling, a fine silicon powder with an average diameter of 1.0 μm was used for the composite electrode. The volume density of the Si/G/CP composite electrode with the 1.0 μm Si was slightly increased from 0.43 g cm−3 for that with 5.0 μm Si to 0.44 g cm−3. The density is lower than that of a nono-size Si, carbon black, and PVDF mixture (4:4:2 weight ratio) of 0.625 g cm−3 [18]. Figure 4 shows the first cycle charge and discharge profiles and the cyclic performance of the Si/G/CP, with 1.0 μm and 16 wt % Si as a function of the pyrolysis temperature of the Manila hemp paper with Si and G. The coulombic efficiency at the first cycle was 61% for the composite electrode prepared at 700 °C, 82% for that prepared at 900 °C, and 88% for that prepared at 1100 °C. Generally, a low coulombic efficiency for the first cycle of the Si anode has been reported [18]. The low coulombic efficiency for the composite electrode prepared at 700 °C may be due to the insertion of more lithium into the amorphous pyrolysis carbon of the Manila hemp. The electrode resistance of 102 mΩ cm was comparable with that of the 5.0 μm Si. The initial discharge capacity of the composite electrode prepared at 900 °C significantly increased from 466 mAh g−1 for that with 5.0 μm Si to 565 mAh g−1. The specific capacity of the composite electrode corresponds to 2200 mAh g−1 of silicon. The reversible capacity of 491 mAh g−1 was retained even after 70 cycles. The high capacity retention by the charge and discharge cycling could be explained by the small expansion of the composite electrode by cycling, as shown in Figure 5. The initial electrode thickness of 153 μm was not changed after 100 cycles at 100 mA g−1.

Figure 4.
(a) Charge and discharge profiles and (b) cyclic performance of the Si/G/CP electrode with 16 wt % and 1.0 μm Si at 100 mA g−1 and 25 °C as a function of the pyrolytic temperature.
Figure 5.
SEM images of the Si/G/CP composite electrode with 16 wt % and 1.0 μm Si. (a) Initial and (b) after 100 cycles.
To improve the specific capacity of the composite electrode, the Si content in the composite electrode was increased. Figure 6 shows the cyclic performance of the Si/G/CP with 24 wt % and 1.0 μm Si at 100 mA g−1, where the pyrolysis temperature of the composite was 900 °C. The initial reversible capacity of 750 mAh g−1 was significantly decreased to 293 mAh g−1 after 100 cycles. The low capacity retention by cycling for the Si/G/CP with a high content of Si could be explained by the large expansion of the electrode, as shown in Figure 7. The initial thickness of the composite electrode of 148 μm was expanded to 219 μm after 100 cycling. The porosities of the composite electrolytes with 16 and 24 wt % Si were estimated to be 80% using the densities of the sum of components and the apparent densities of the composite electrodes. After discharging up to 3000 mAh g−1 of Si, the porosities for the composite electrodes with 16 and 24 wt % Si were reduced to 50 and 18.5%, respectively, where the specific gravities of LixSi were calculated using the lattice parameters reported by Dahn et al. [24]. These calculations suggest that the carbon paper matrix could accommodate around a 250% volume change by lithium insertion and extraction.
Figure 6.
Cyclic performances of the Si/G/CP electrode with 24 wt % and 1.0 μm Si at 100 mA g−1 and 25 °C.
Figure 7.
SEM images of the Si/G/CP composite electrode with 24 wt % and 1.0 μm Si. (a) Initial and (b) after 100 cycles.
Figure 8 shows the charge and discharge profiles and cyclic performance for the Si/G/CP with 16 wt % and 1.0 μm Si/1M LiPF6 in EC-FEC-DMC (2:2:6 volume ratio)/LiFePO4 at 0.1 C (based on the cathode and around 0.3 mA cm−2) and 25 °C, where the anode capacity was higher than that of the cathode and an excess electrolyte was charged [25]. The initial coulombic efficiency was 96%. A steady reversible capacity of 133 mAh per g−1 of LiFePO4 was observed for 10 cycles.

Figure 8.
Charge and discharge profile and cyclic performance of the Si/G/CP with 1.0 μm and 16 wt % Si/1 M LiPF6 in EC-FEC-DMC (2:2:6 vol. ratio)/LiFePO4 cell at 0.1 C and 25 °C.
4. Conclusions
We have proposed a less expensive silicon anode material for lithium batteries, which was prepared by the pyrolysis of a paper prepared from a mixture of silicone powder, artificial flake graphite, Manila hemp, and polyvinyl alcohol at 900 °C, where the pyrolysis temperature was as low as 900 °C and no expensive starting materials were used. The less expensive anode material is quite attractive for large size batteries for EV and staminal power storage. The composite anode with 16 wt % and 1.0 μm Si powder showed a good cyclic performance, with an initial reversible capacity of 565 mAh g−1 and 249 mAh cm−3 and a capacity of 491 mAh g−1 and 216 mA cm−3 after 70 cycles were observed. No electrode expansion was observed for the composite electrode with 16 wt % Si. The specific mass capacity of the composite anode is about 1.5 times higher than that of the conventional carbon anode. However, the low specific volume capacity should be improved by further study.
Author Contributions
Q.S., Y.T. and N.I. conceived and designed the exeriments; Q.S. performed the experiments; D.M. and O.Y. analyzed the data; Q.S. contributed reagents/materials/analysis tools; Q.S., D.N. and O.Y. wrote the paper. Authorship must be limited to those who have contributed substantially to the work reported.
Conflicts of Interest
The authors declare no conflict of interest.
References
- Girskumar, G.; McCloskey, B.; Luntz, A.C.; Swanson, S.; Wilcke, W. Lithium-air battery; promise and challenges. J. Phys. Chem. Lett. 2010, 1, 2193–2203. [Google Scholar] [CrossRef]
- Armand, M.; Tarascon, J.-M. Building better batteries. Nature 2008, 451, 652–657. [Google Scholar] [CrossRef] [PubMed]
- Bruce, P.G.; Freunberger, S.A.; Hardvick, L.J.; Trascon, J.-M. Li-O2 and Li-S batteries with high energy density. Nat. Mater. 2012, 11, 19–29. [Google Scholar] [CrossRef] [PubMed]
- Whittingam, M.S. The role of ternary phase in cathode reaction. J. Electrochem. Soc. 1972, 123, 315–320. [Google Scholar] [CrossRef]
- Chan, C.K.; Ruffo, R.; Hong, S.S.; Huggins, R.A.; Cu, Y. Structural and electrochemical study of the reaction of lithium with silicon nanowire. J. Power Sources 2009, 189, 34–39. [Google Scholar] [CrossRef]
- Benedek, R.; Thackeray, M.M. Lithium reaction with intermetallic compound electrodes. J. Power Sources 2002, 110, 406–411. [Google Scholar] [CrossRef]
- Besenhard, J.O.; Yand, J.; Winter, M. Will advanced lithium-alloy anodes have a chance in lithium-ion batteries. J. Power Sources 1997, 68, 87–90. [Google Scholar] [CrossRef]
- Wen, C.J.; Huggins, R.A. Chemical diffusion in intermediate phase in the lithium-silicon system. J. Solid State Chem. 1981, 37, 271–278. [Google Scholar] [CrossRef]
- Boukamp, B.A.; Lesh, G.C.; Huggins, R.A. All solid lithium electrodes with mixed conductor matrix. J. Electrochem. Soc. 1981, 128, 726–729. [Google Scholar] [CrossRef]
- Wolf, H.; Gerdes, P.G.; Willert-Porada, M. Carbon fiber-silicon-nanocomposite for lithium-ion battery anodes by microwave chemical vapor deposition. J. Power Sources 2009, 190, 157–161. [Google Scholar] [CrossRef]
- Wilson, A.M.; Dahn, J.R. Lithium insertion in carbon containing nanodispersed silicon. J. Electrochem. Soc. 1995, 142, 326–332. [Google Scholar] [CrossRef]
- Liu, Y.; Hanai, K.; Yang, J.; Imanishi, N.; Hirano, A.; Takeda, Y. Silicon/carbon composites as anode materials for lithium-ion batteries. Electrochem. Solid-State Lett. 2004, 7, A369–A372. [Google Scholar] [CrossRef]
- Magasink, A.; Dixon, P.; Hertzberg, B.; Kvit, A.; Ayala, J.; Yushin, G. High performance lithium-ion anodes using a hierarchical bottom-up approach. Nat. Mater. 2010, 9, 353–358. [Google Scholar] [CrossRef] [PubMed]
- Zhang, R.; Du, Y.; Li, D.; Shen, D.; Yang, J.; Gou, Z.; Liu, H.K.; Elzatahry, A.A.; Zhao, D. Highly reversible and large lithium storage in mesoporous Si/C nanocomposite anode with silicon nanoparticles embedded in a carbon frame work. Adv. Mater. 2014, 26, 6749–6755. [Google Scholar] [CrossRef] [PubMed]
- Si, Q.; Matsui, M.; Horiba, T.; Yamaamoto, O.; Takeda, Y.; Seki, N.; Imanishi, N. Carbon paper substrate for silicon-carbon composite anodes in lithium-ion batteries. J. Power Sources 2013, 241, 744–750. [Google Scholar] [CrossRef]
- Ren, J.; Wu, Q.-H.; Homg, G.; Zhang, W.J.; Wu, H.; Amine, K.; Yang, J.; Lee, S.T. Silicon-graphene composite anode for high-energy density lithium batteries. Energy Technol. 2013, 1, 77–84. [Google Scholar] [CrossRef]
- Xu, C.; Linggren, F.; Philyppe, B.; Gorgoi, M.; Bjorefors, F.; Edstrom, K.; Gustafsson, T. Improvement performance of the silicon anode for lithium-ion batteries: Understanding the surface modification mechanism of fluoroethylene carbonate as and effective electrolyte additive. Chem. Mater. 2015, 27, 2591–2599. [Google Scholar] [CrossRef]
- Li, H.; Huang, K.; Chen, L.; Wu, Z.; Liang, T. A high capacity nano-Si composite anode materials for lithium rechargeable batteries. Electrochem. Solid-State Lett. 1999, 2, 547–549. [Google Scholar] [CrossRef]
- Cho, J. Porous Si anode materials for lithium rechargeable batteries. J. Mater. Chem. 2010, 20, 4009–4014. [Google Scholar] [CrossRef]
- Dimov, N.; Kugini, S.; Yoshio, M. Mixed silicon-graphite composite as anode material for lithium ion batteries Inference of preparation conditions on the properties of the materials. J. Power Sources 2004, 136, 108–114. [Google Scholar] [CrossRef]
- Karullar, M.; Bachelm, R.; Kudla, B. Automotive assessment of carbon-silicon composite anodes and methods of fabrication. J. Power Sauces 2015, 273, 1194–1201. [Google Scholar] [CrossRef]
- Li, J.; Du, Z.; Ruther, R.E.; An, S.J.; David, L.A.; Hays, K.; Wood, M.; Phillip, N.D.; Sheng, Y.; Mao, C.; et al. Toward low cost, high energy density, and high-power density lithium ion batteries. JOM 2017, 60, 1484–1496. [Google Scholar] [CrossRef]
- Si, Q.; Kawakubo, M.; Matsui, M.; Horiba, M.; Yamamoto, O.; Takeda, Y.; Seki, N.; Imanishi, N. Silicon-carbon composite dispersed in a carbon paper substrate for solid polymer lithium-ion batteries. J. Power Sources 2014, 248, 1275–1280. [Google Scholar] [CrossRef]
- Chevrierm, V.L.; Zwanziger, J.W.; Dahn, J.K. First principles study of Li-Si crystalline phases: Charge transfer, electronic structure, and lattice vibrations. J. Alloys Compd. 2010, 496, 25–36. [Google Scholar] [CrossRef]
- An, S.J.; Li, J.; Daniel, C.; Meyer, H., III; Trask, S.E.; Polzin, B.J.; Wood, D.L., III. Electrolyte volume effects on electrochemical performance and solid electrolyte interface in Si-graphite/NMC lithium-ion porch cell. ACS Appl. Mater. Interfaces 2017, 9, 18799–18808. [Google Scholar] [CrossRef] [PubMed]
© 2017 by the authors. Licensee MDPI, Basel, Switzerland. This article is an open access article distributed under the terms and conditions of the Creative Commons Attribution (CC BY) license (http://creativecommons.org/licenses/by/4.0/).










