Abstract
This paper proposes a fuzzy logic-based controller for a wind turbine system to provide frequency support for a smart grid. The designed controller is aimed to provide an appropriate dynamic droop rate depending on the local measurements of each wind turbine of a wind farm such as the maximum power available and the amount of power reserve. The designed fuzzy controller depends on the rate of change of frequency (ROCOF) at the point of common coupling (PCC). The main advantage of the proposed fuzzy controller is to provide frequency support by the wind turbine system connected to a smart grid. The dynamic rate of the controller is defined by the fuzzy sets considering the change in the grid’s frequency and the available reserve power. First, the response of static droop curves is investigated for different scenarios of wind turbines connected to a smart grid. Then, the proposed fuzzy logic-based droop controller is integrated into the system, and its performance and response are evaluated, and the results are compared with static-droop based controller. The proposed controller is tested using Matlab\Simulink.
1. Introduction
Conventional synchronous generators store kinetic energy in their rotor shaft and provide inertia to the system. The frequency of the power system is directly coupled to the rotational speed of the generator. Therefore, more rotational inertia may lead to a stable power system. Recently, the installation of renewable resources in the power system has increased. These resources are integrated into the power system using power converters, but they do not provide rotating inertia to the power system. High penetration of distributed energy resources (DER) might create instability if not properly controlled. Therefore, ancillary functions had to be added and must be achieved by the controllers of the DER. Renewable resources can provide voltage regulation and frequency support if controlled properly.
For instance, the wind energy system (WES) can be adjusted to provide frequency support by controlling the injected active power as a function of frequency. To do so, WES must maintain a certain reserve of active power, and then the reserved power can be utilized during a frequency drop.
The active power control (APC) during a disturbing condition is a challenge when it is applied to a wind farm. The APC requires a fast dynamic response range in a few seconds. Active power control involves three main sub-control objectives in a power system: the inertial control, the primary frequency control (PFC), and automatic generation control (AGC) [1,2]. Each is involved in the control of active power for a certain time in sequence order due to their timely response. One main challenge is that wind availability is uncertain, causing failure in the control loop due to wind speed variation.
Participating in frequency control can be implemented by adjusting the conventional control techniques of WES systems [1,2,3,4,5,6,7,8,9,10,11,12,13,14]. Different control methods, and approaches have been implemented to adjust the frequency of a power system during frequency fluctuation [15,16]. These control strategies can be classified based on the capability and duration of participation [15,16,17,18,19]. The first approach is to use the stored kinetic energy to be implemented as inertial control. The stored energy can be released for a few seconds depending on the inertia of the turbine. The other control is to de-load the wind turbine below the maximum power point, providing a long-term power supply following the inertial response to maintain a new steady state value of frequency. This is known as a primary frequency response (PFC). There have been several studies on implementing the PFC in power systems with existing wind turbines. Some studies have focused on the wind farm level, whereas others have focused on the power system level [20,21,22,23]. Also, some studies have analyzed the equivalent damage loads for de-loaded wind turbines [24]. Other researchers have focused on the reserve methods and the response of the wind turbines to PFC [25,26,27,28].
In reference [29], the active power control strategy was performed for a WES using inertial, PFC and AGC. Different droop control approaches were proposed to support the frequency of the grid. Variable droop controller was proposed to enhance the response of WES based on doubly fed induction generator DFIG in reference [30]. The concept of droop can be implemented in the local controller of the WES, at the wind farm level, or to the coordinated distributed generator in the smart grid [31,32,33,34,35,36,37,38,39,40].
In this article, a fuzzy logic-based controller is developed for the WES to provide frequency support for a smart grid. The controller is designed to identify the participation factor of each wind turbine based on the reserved power and the ROCOF at the point of common coupling (PCC).
A power system is developed to test the response of the wind farm to the frequency drop.
2. Stability of the Power Grid
A power system is a complicated structure involving various elements with different dynamics. In the ideal world, loads of the power system are provided with consistent frequency and voltage. At normal conditions, all synchronous generators are synchronized to avoid up-normal fluctuation in the voltage and current, which may lead to disconnecting areas from the grid. The frequency deviation is a result of an imbalance between the load and power generated. The frequency of the gird is related to the rotor speed of the synchronous generators of the power system. The change of frequency of a network can be given as [41]:
where and are the equivalent inertia and damping constants of all machines of the system. The change in generated power and load power are represented by and respectively. To ensure stability, the synchronous generator should be equipped with a droop curve in the speed controller of the turbine’s torque-speed characteristic. The droop characteristic is typically set to 5% in the United States [42].
3. Frequency Support by a Wind Energy System
WES can be controlled to maintain certain reserve power and then, it can be used to provide APC by modifying the control loop to follow the required power reference. To do so, a droop control concept is implemented where the active power is related to the frequency of the grid.
The required active power to stabilize the grid frequency can be achieved by implementing the droop curve. The response of WES during frequency drop depends substantially on the de-loading method used to maintain the reserve power (i.e., rotor speed or pitch angle). Also, the response of the WES can be impacted by the initial operating points of WES just slightly before the occurrence of frequency deviation. Thus, the droop curve has to be selected cautiously to guarantee stability and reliable response of WES. For instance, very fast droop for a de-loaded WES that operates away from its maximum point may lead to controller instability [43,44].
The droop curve that implemented in the synchronous generator can be adapted to be used for WES. The variation in the active power of a WES can be expressed as [35]:
where is the maximum power available that can be generated by the WES. is the measured grid frequency; and the nominal grid frequency are represented respectively. Here, R is defined as the slope of the droop curve represented in percentage. The slope determines the rate of power change in WES. Small droop rate means a fast change in active power. Figure 1 demonstrates different droop curves as function of an active power change in percentage.
Figure 1.
The change of power for different droop rates.
The rate of the droop controller must be selected to ensure a reliable and smooth response against the deviation of the grid’s frequency. Designing the droop curve for frequency regulation depends on the initial state and the power availability of the WES. Because of the variation of wind speed, the active power produced by WES is variable. As a result, the amount of the power reserve for WES is also dynamic. Also, the ROCOF at the PCC varies depending on how much power is lost from the network. Therefore, for WES a dynamic controller is the best fit to provide adjustment to the grid’s frequency.
4. Fuzzy Logic-Based Controller
A dynamic droop controller based on fuzzy logic is designed to support the grid’s frequency of WES. The fuzzy logic controller is a set of rules are defined to perform a certain function [45]. The concept of fuzzy logic has been used in control applications of the electrical grid and power electronics [46,47,48,49,50].
Fuzzy logic is implemented to determine the slope of the droop curve depending on the available reserved power of WES and the ROCOF. For instance, when the change of frequency is high, and the power reserve is not large, the WES must support the frequency by providing active power with a slow rate. In the other hand, when the power reserve is high, WES should support the frequency by rapidly providing the required active power.
The equation that relates the grid’s frequency and active power are:
This fuzzy logic-based controller aims to give an appropriate dynamic rate (). The output of the fuzzy logic controller depends on two inputs. The inputs are the ROCOF, and the power reserved by the WES () at the time of frequency drop. The reserved power of WES varies according to the wind velocity and the de-loading method used by the central controller of a wind plant. Also, the wake-effect plays a vital role on the power availability for each individual WES. Therefore, each WES has a different power reserve to others.
Figure 2 demonstrates the implementation of fuzzy-logic with the dynamic droop controller. Normally, the wind speed, , can be measured to estimate the maximum power of the turbine, . The maximum power is decreased by to maintain a certain reserve. Every individual WES is de-loaded to maintain a certain reserve of power () to be utilized to provide APC during a drop in the grid’s frequency. When grid’s frequency drops below its set point, the controller injects a certain amount of active power into the grid. Then, this power, PFC, is added to the loop to produced power to form a reference of the required total wind power. The reference point, , of the total power is then achieved either by using a pitch angle or rotor speed controller.
Figure 2.
The implementation of fuzzy logic within the active power controller.
4.1. Fuzzification
The crisp values of the two inputs are mapped into fuzzy sets using the triangle membership function. Both inputs are defined using five fuzzy sets as shown in Figure 3 and Figure 4. The sets of the inputs are defined as: very large (VL), large (L), medium (m), small (S), and very small (VS).
Figure 3.
Membership function (changing in grid’s frequency).
Figure 4.
Membership function (power reserve).
The absolute value of the rate of change in the grid’s frequency is represented by the first membership (Figure 3), whereas the available reserved power is represented by the second membership function (Figure 4). In this paper, frequency drop less than 0.2 Hz is defined by the fuzzy sets as very small (VS) and above 0.8 Hz is defined as very large (VL).
In this article, wind energy systems rated at MW are considered. In these wind energy systems, the amount of reserve can range from 100 kW to 1 MW (i.e., to of the maximum power). For simplification, the power reserve is measured and scaled down before it enters the membership function. The dynamic rate is given by the output membership function shown in Figure 5. The output is determined by the following fuzzy sets: very fast (VF), fast (F), medium (M), slow (SL) and very slow (VSL). This output is then used to determine the rate of change in injected active power given in (3). The rules of the fuzzy logic used to define the output are discussed in the following section.
Figure 5.
Membership function (output).
4.2. Fuzzy Inference Rules
The output of the fuzzy logic is determined by defining 25 rules, indicated in Table 1. The fuzzy inference rules are based on the deviation in frequency () and the amount of reserve (). To evaluate the inference rules of the sets, the minimum conjunction operator is used.
Table 1.
Fuzzy inference rules.
Fast rate is desired if the frequency drop and the amount of reserve of WES are large. If the amount of reserved power of the WES is not large and the ROCOF is small, the low rate is preferred. The fuzzy inference rules are defined to avoid an unnecessary fast rate for very small reserves. The fuzzy inference rules are explained below:
- IF is VS AND is VS THEN is VSL
- IF is VS AND is S THEN is VSL
- IF is VS AND is M THEN is SL
- IF is VS AND is L THEN is M
- IF is VS AND is VL THEN is M
- IF is S AND is VS THEN is VSL
- IF is S AND is S THEN is SL
- IF is S AND is M THEN is M
- IF is S AND is L THEN is F
- IF is S AND is VL THEN is F
- IF is M AND is VS THEN is SL
- IF is M AND is S THEN is M
- IF is M AND is M THEN is M
- IF is M AND is L THEN is F
- IF is M AND is VL THEN is F
- IF is L AND is VS THEN is M
- IF is L AND is S THEN is M
- IF is L AND is M THEN is F
- IF is L AND is L THEN is F
- IF is L AND is VL THEN is VF
- IF is VL AND is VS THEN is M
- IF is VL AND is S THEN is M
- IF is VL AND is M THEN is VF
- IF is VL AND is L THEN is VF
- IF is VL AND is VL THEN is VF
4.3. Defuzzification
The fuzzy inference rules give linguistic variables that need to be transformed into crisp values. Therefore, the defuzzification process is implemented to quantify the output of the fuzzy logic. To do so, there are different methods of defuzzification. In this article, the weighted average method is implemented. The defuzzified slope rate (i.e., ) is defined as:
where represents the center of the defined function, and is the value of the membership that corresponds to . Then, the output () of the fuzzy-logic controller is used to gives the rate of the droop in Equation (3).
5. Simulation Results
To study the performance of the proposed controller, the small power system is considered as shown in Figure 6. The model of the wind turbine considered in this paper is defined as type-4, where the WT is connected to the grid through a full rated back-to-back converter. The machine used in this system is based on a permanent magnet synchronous generator (PMSG). The machine side converter is controlled to extract the desired power from the wind. The active and reactive power is controlled using the grid-side inverter. The detailed model of the implemented WT system and its designed controller are presented in reference [51].
Figure 6.
Power system model with a wind farm of 4 wind turbine systems.
In the first study, one single WES was used to test the performance of the fuzzy logic-based controller. Different static droop curves were tested and compared with the proposed approach. The WES was set to regulate the frequency of the grid by providing the required power. The loads in the power system are supplied by the synchronous generator and the WES. The conventional synchronous generator of the system is rated at 15 MW. Its contribution to the total power of the grid is 90%. The rating of the WES used in the simulation is 2 MW. It represents about 10% of the total power delivered to the loads.
After that, the simulation was repeated for the same power system model using a wind farm, a conventional synchronous generator, and load. In this study, the wind farm consists of four single WESs. Here, the synchronous generator provides 80% of the load power, while the wind farm share is 20%. The wind systems are de-loaded to maintain a certain power reserve to be utilized for frequency regulation. Due to the wake effect, the produced wind power and the reserves are not similar for all wind systems. Therefore, some wind systems may have a much higher power reserve than others. Different scenarios were performed to test the response of the wind farm using several droop rates.
5.1. Frequency Support by Single WES
To study the response of wind turbines to frequency deviation, several simulation-based studies were performed. The goal was to compare the responses of different droop curves for different ROCOF. The sensitivity to different droop gains was studied and compared with different control approaches.
5.1.1. The Response of WES to Large ROCOF
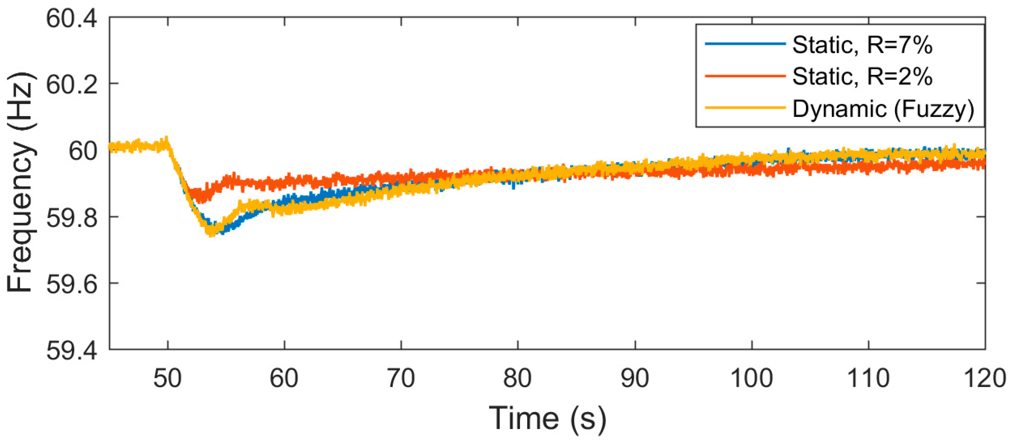
For this case study, the WES was producing its maximum power (2.0 MW). The power reserve of the WES was set to 1.0 MW (i.e., a 50% rate). First, the frequency regulation was achieved using the proposed fuzzy-logic controller. Then, the simulation was repeated using two different static droop rates (). Figure 7 demonstrates the system frequency of the baseline simulation (without WES participation in frequency regulation). Figure 8 shows the frequency of the grid for the three simulation studies (fuzzy logic, , ). The proposed fuzzy logic-based controller provides an acceptable frequency support if compared to both static droop curves.
Figure 7.
Grid frequency of the event without wind turbine participation.
Figure 8.
Grid frequency (large ROCOF).
The rate of dynamic droop starts at 10% and then decreases to about 3% at the beginning of the incident. After a few seconds, it reaches 2% (very fast), when the frequency drops to its minimum value as shown in Figure 9. For 7% static droop, the WES has a very slow response. On the other hand, the response of WES with static droop is very fast.
Figure 9.
Dynamic droop (large ROCOF).
As defined in the fuzzy logic, the dynamic droop controller should react very quickly when the power reserve and ROCOF are large. Consequently, the response of the WES with dynamic droop is quite similar to the one with the static droop curve of 2%. The active power of the WES and the rotation speed of the turbine’s shaft during the response to frequency drop are shown in Figure 10 and Figure 11.
Figure 10.
Rotor speed (large ROCOF).
Figure 11.
Wind turbine power (large ROCOF).
5.1.2. Response of WES to Small ROCOF
In this scenario, the WES was maintaining a reserve of kW. This reserve was achieved by the controller of the rotor speed (using machine side converter). For comparison, the frequency support was provided using the proposed approach (fuzzy-logic) and two constant rate droops (i.e., and ).
The measured frequency of the power system for the three droops (dynamic droop, and ) is shown in Figure 12. The plot shows the proposed droop controller supports the frequency. The rate of the proposed droop controller is shown in Figure 13. The rate starts at the minimum value, which is 10%, and changes to about 5% in the beginning of the frequency drop. After that, it oscillates and returns to 10% when a new steady state value is achieved.
Figure 12.
Grid frequency (small ROCOF).
Figure 13.
Dynamic droop (small ROCOF).
In this simulation, the response of the WES using constant droop of is reasonable. In contrast, the response with a constant curve of is quick. As can be noticed from Figure 14, the rotor speed of the WES oscillates aggressively. This high oscillation may lead to instability in the controller of the machine side converter. Also, some stresses and mechanical loading can be observed on the wind turbine. Because of the limited reserve and insignificant drop in the frequency, the droop rate of the controller has to be slow. Thus, the grid frequency can be achieved by the proposed droop controller, which in this case study is very close to the response of seven percent droop curve. The active power produced by the WES during the frequency regulation for all three studies is demonstrated in Figure 15.
Figure 14.
Rotor speed (small ROCOF).
Figure 15.
Wind turbine power (small ROCOF).
5.2. Frequency Support by Wind Farm
In this study, an electrical system shown in Figure 6 is simulated. The electrical grid consists of one conventional synchronous generator with its governor system, wind power plant, and a large load. For the simulation time constraint, single WESs are considered to represent the wind farm. The power supplied to the load is distributed between the wind farm () and the conventional generator ().
The response of every WES was observed using the proposed controller. A reserve of 2000 kW was maintained by the wind farm using a method proposed in reference [52]. The fuzzy logic-based controller was implemented to provide frequency support. Every individual WES was assigned to maintain a certain reserve that is different from others. The total power reserve was divided among all WESs as .
The frequency is measured at the point as shown in Figure 16. The proposed dynamic controller provides support to the grid’s frequency. The frequency goes to the minimum point (nadir) within 3 s and then it starts to return to new steady-state value. The rates of the dynamic controller for all WES are shown in Figure 17. The rates of wind turbines 1 and 2 are slower than the rates of wind turbines 3 and 4; because of the small amount of reserve available in 1 and 2. The power produced by the synchronous generator and the wind farm is shown in Figure 18 and Figure 19. The power produced by each WES is demonstrated in Figure 18. The power of wind turbines 3 and 4 changes rapidly compared to the power of wind turbines 1 and 2 as shown in Figure 19. Also, the rotational speed of each turbine is shown in Figure 20. In this study, the controller of the rotor speed and the pitch angle actuator are activated, and the WES is tracking the reference signal given by the fuzzy logic controller as demonstrated in Figure 21.
Figure 16.
Grid frequency (wind farm).
Figure 17.
Dynamic droop (wind farm).
Figure 18.
Power: grid, synchronous generator, and wind farm.
Figure 19.
Wind energy systems power (wind farm).
Figure 20.
Rotor speed (wind farm).
Figure 21.
Pitch angle (wind farm).
6. Conclusions
In this article, frequency regulation was provided by a wind farm using a fuzzy logic-based controller. The proposed droop controller maintained stable and proper droop rates while providing adequate frequency support. The droop controller is designed based on the available power of the WES and the rate of change in the grid’s frequency at the PCC. The fuzzy logic improved the performance of the dynamic controller. The difference between the nadir point and the nominal value of the frequency is decreased. The constant curve does not work well for WES application because of the variable nature in wind velocity. Even though the fast rate (static) provides a very sharp response against frequency drop, it could lead to instability to the machine-side controller that is responsible for rotational speed. Also, it may increase the stresses and mechanical loading for the structure of the WES. Thus, having a dynamic droop rate that changes based on the availability of wind power and the rate of change of the frequency ensures a stable and smooth response of WES during frequency deviation.
Author Contributions
The authorship is equally shared, where M.G.S. served as the doctoral adviser for A.B. in his Ph.D. program at Colorado School of Mines.
Funding
This research received no external funding.
Conflicts of Interest
The authors declare no conflict of interest.
References
- Muljadi, E.; Gevorgian, V.; Singh, M.; Santoso, S. Understanding inertial and frequency response of wind power plants. In Proceedings of the 2012 IEEE Power Electronics and Machines in Wind Applications, Denver, CO, USA, 16–18 July 2012; pp. 1–8. [Google Scholar]
- Singh, M.; Gevorgian, V.; Muljadi, E.; Ela, E. Variable-speed wind power plant operating with reserve power capability. In Proceedings of the 2013 IEEE Energy Conversion Congress and Exposition, Denver, CO, USA, 15–19 September 2013; pp. 3305–3310. [Google Scholar]
- Margaris, I.D.; Papathanassiou, S.; Hatziargyriou, N.D.; Hansen, A.D.; Sorensen, P. Frequency Control in Autonomous Power Systems with High Wind Power Penetration. IEEE Trans. Sustain. Energy 2012, 3, 189–199. [Google Scholar] [CrossRef]
- Pradhan, C.; Bhende, C. Enhancement in Primary Frequency Contribution using Dynamic Deloading of Wind Turbines. IFAC-PapersOnLine 2015, 48, 13–18. [Google Scholar] [CrossRef]
- Camblong, H.; Vechiu, I.; Etxeberria, A.; Martinez, M.I. Wind turbine mechanical stresses reduction and contribution to frequency regulation. Control Eng. Pract. 2014, 30, 140–149. [Google Scholar] [CrossRef]
- Diaz-Gonzalez, F.; Hau, M.; Sumper, A.; Gomis-Bellmunt, O. Coordinated operation of wind turbines and flywheel storage for primary frequency control support. Int. J. Electr. Power Energy Syst. 2015, 68, 313–326. [Google Scholar] [CrossRef]
- Miao, L.; Wen, J.; Xie, H.; Yue, C.; Lee, W. Coordinated Control Strategy of Wind Turbine Generator and Energy Storage Equipment for Frequency Support. IEEE Trans. Ind. Appl. 2015, 51, 2732–2742. [Google Scholar] [CrossRef]
- Van de Vyver, J.; de Kooning, J.D.M.; Meersman, B.; Vandoorn, T.L.; Vandevelde, L. Optimization of constant power control of wind turbines to provide power reserves. In Proceedings of the 2013 48th International Universities’ Power Engineering Conference (UPEC), Dublin, Ireland, 2–5 September 2013. [Google Scholar]
- El Mokadem, M.; Courtecuisse, V.; Saudemont, C.; Robyns, B.; Deuse, J. Experimental study of variable speed wind generator contribution to primary frequency control. Renew. Energy 2009, 34, 833–844. [Google Scholar] [CrossRef]
- Singarao, V.Y.; Rao, V.S. Frequency responsive services by wind generation resources in United States. Renew. Sustain. Energy Rev. 2016, 55, 1097–1108. [Google Scholar] [CrossRef]
- Moutis, P.; Papathanassiou, S.A.; Hatziargyriou, N.D. Improved load-frequency control contribution of variable speed variable pitch wind generators. Renew. Energy 2012, 48, 514–523. [Google Scholar] [CrossRef]
- Badihi, H.; Zhang, Y.; Hong, H. Active power control design for supporting grid frequency regulation in wind farms. Annu. Rev. Control 2015, 40, 70–81. [Google Scholar] [CrossRef]
- Dreidy, M.; Mokhlis, H.; Mekhilef, S. Inertia response and frequency control techniques for renewable energy sources: A review. Renew. Sustain. Energy Rev. 2017, 69, 144–155. [Google Scholar] [CrossRef]
- Žertek, A.; Member, S.; Verbi, G.; Member, S.; Pantoš, M. A Novel Strategy for Variable-Speed Wind Turbines ’ Participation in Primary Frequency Control. IEEE Trans. Sustain. Energy 2012, 3, 791–799. [Google Scholar] [CrossRef]
- Erlich, I.; Wilch, M. Primary frequency control by wind turbines. In Proceedings of the IEEE PES General Meeting, Providence, RI, USA, 25–29 July 2010. [Google Scholar]
- Camblong, H.; Nourdine, S.; Vechiu, I.; Tapia, G. Control of wind turbines for fatigue loads reduction and contribution to the grid primary frequency regulation. Energy 2012, 48, 284–291. [Google Scholar] [CrossRef]
- Satpathy, G.; Mehta, A.K.; Kumar, R.; Baredar, P. An overview of various frequency regulation strategies of grid connected and stand-alone wind energy conversion system. In Proceedings of the International Conference on Recent Advances and Innovations in Engineering (ICRAIE-2014), Jaipur, India, 9–11 May 2014. [Google Scholar]
- Motamed, B.; Chen, P.; Persson, M. Comparison of primary frequency support methods for wind turbines. In Proceedings of the 2013 IEEE Grenoble Conference, Grenoble, France, 16–20 June 2013. [Google Scholar]
- Wang, Y.; Bayem, H.; Giralt-devant, M.; Silva, V.; Guillaud, X.; Francois, B. Methods for Assessing Available Wind Primary Power Reserve. IEEE Trans. Sustain. Energy 2015, 6, 272–280. [Google Scholar] [CrossRef]
- Qian, D.; Tong, S.; Liu, H.; Liu, X. Load frequency control by neural-network-based integral sliding mode for nonlinear power systems with wind turbines. Neurocomputing 2016, 173, 875–885. [Google Scholar] [CrossRef]
- Tielens, P.; de Rijcke, S.; Srivastava, K.; Reza, M.; Marinopoulos, A.; Driesen, J. Frequency support by wind power plants in isolated grids with varying generation mix. In Proceedings of the 2012 IEEE Power and Energy Society General Meeting, San Diego, CA, USA, 22–26 July 2012. [Google Scholar]
- Díaz, G.; González-Morán, C.; Gómez-Aleixandre, J.; Diez, A. Scheduling of droop coefficients for frequency and voltage regulation in isolated microgrids. IEEE Trans. Power Syst. 2010, 25, 489–496. [Google Scholar] [CrossRef]
- Molina-Garcia, A.; Munoz-Benavente, I.; Hansen, A.D.; Gomez-Lazaro, E. Demand-Side Contribution to Primary Frequency Control With Wind Farm Auxiliary Control. IEEE Trans. Power Syst. 2014, 29, 2391–2399. [Google Scholar] [CrossRef]
- Aho, J.; Pao, L.Y.; Fleming, P.; Ela, E. Controlling Wind Turbines for Secondary Frequency Regulation: An Analysis of AGC Capabilities under New Performance Based Compensation Policy. Presented at the 13th International Workshop on Large-ScaleIntegration of Wind Power Into Power Systems as Well as onTransmission Networks for Offshore Wind Power Plants, Berlin, Germany, 11–13 November 2014. [Google Scholar]
- Aho, J.; Buckspan, A.; Laks, J.H. A tutorial of wind turbine control for supporting grid frequency through active power control. In Proceedings of the 2012 American Control Conference (ACC), Montreal, QC, Canada, 27–29 June 2012. [Google Scholar]
- Ela, E.; Tuohy, A.; Milligan, M.; Kirby, B.; Brooks, D. Alternative Approaches for Incentivizing the Frequency Responsive Reserve Ancillary Service. Electr. J. 2012, 25, 88–102. [Google Scholar] [CrossRef]
- Singhvi, V.; Brooks, D.; Member, S. Impact of Wind Active Power Control Strategies on Frequency Response of an Interconnection. In Proceedings of the 2013 IEEE Power & Energy Society General Meeting, Vancouver, BC, Canada, 21–25 July 2013. [Google Scholar]
- Miller, N.W.; Clark, K.; Shao, M. Frequency responsive wind plant controls: Impacts on grid performance. In Proceedings of the 2011 IEEE Power and Energy Society General Meeting, San Diego, CA, USA, 24–29 July 2011. [Google Scholar]
- Ela, E.; Gevorgian, V.; Fleming, P.A.; Zhang, Y.C.; Singh, M.; Muljadi, E.; Scholbrock, A.; Aho, J.; Buckspan, A.; Pao, L.Y.; et al. Active Power Controls from Wind Power: Bridging the Gaps; Technical Report, NREL/TP-5D00-60574; National Renewable Energy Laboratory: Golden, CO, USA, 2014.
- Vidyanandan, K.V.; Senroy, N. Primary Frequency Regulation by Deloaded Wind Turbines Using Variable Droop. IEEE Trans. Power Syst. 2013, 28, 837–846. [Google Scholar] [CrossRef]
- Khaledian, A.; Golkar, M.A. Analysis of droop control method in an autonomous microgrid. J. Appl. Res. Technol. 2017, 15, 371–377. [Google Scholar] [CrossRef]
- Tarnowski, G.C. Coordinated Frequency Control of Wind Turbines in Power Systems with High Wind Power Penetration; Technical University of Denmark (DTU): Lyngby, Denmark, 2012. [Google Scholar]
- Baccino, F.; Member, S.; Conte, F.; Grillo, S.; Massucco, S.; Member, S.; Silvestro, F. An Optimal Model-Based Control Technique to Improve Wind Farm Participation to Frequency Regulation. IEEE Trans. Sustain. Energy 2015, 6, 993–1003. [Google Scholar] [CrossRef]
- Buckspan, A.; Aho, J.; Fleming, P.; Jeong, Y.; Pao, L. Combining droop curve concepts with control systems for wind turbine active power control. In Proceedings of the 2012 IEEE Power Electronics and Machines in Wind Applications, Denver, CO, USA, 16–18 July 2012. [Google Scholar]
- Aho, J.; Buckspan, A.; Pao, L.Y.; Fleming, P.A. An Active Power Control System for Wind Turbines Capable of Primary and Secondary Frequency Control for Supporting Grid Reliability. In Proceedings of the 51st AIAA Aerospace Sciences Meeting including the New Horizons Forum and Aerospace Exposition, Aerospace Sciences Meetings, Grapevine, TX, USA, 7–10 January 2013. [Google Scholar]
- Delille, G.; François, B.; Malarange, G. Dynamic frequency control support by energy storage to reduce the impact of wind and solar generation on isolated power system’s inertia. IEEE Trans. Sustain. Energy 2012, 3, 931–939. [Google Scholar] [CrossRef]
- Guo, X.Q.; Lu, Z.G.; Wang, B.C.; Sun, X.F.; Wang, L.; Guerrero, J.M. Dynamic Phasors-Based Modeling and Stability Analysis of Droop-Controlled Inverters for Microgrid Applications. IEEE Trans. Smart Grid 2014, 5, 2980–2987. [Google Scholar] [CrossRef]
- Arani, M.F.M.; Mohamed, Y.A.-R.I. Dynamic Droop Control for Wind Turbines Participating in Primary Frequency Regulation in Microgrids. IEEE Trans. Smart Grid 2018, 9, 5742–5751. [Google Scholar] [CrossRef]
- Wang, Y.; Chen, Z.; Deng, F. Dynamic droop scheme considering effect of intermittent renewable energy source. In Proceedings of the 2016 IEEE 7th International Symposium on Power Electronics for Distributed Generation Systems (PEDG), Vancouver, BC, Canada, 27–30 June 2016. [Google Scholar]
- Hwang, M.; Chun, Y.; Park, J.; Kang, Y.C. Dynamic Droop-based Inertial Control of a Wind Power Plant. J. Electr. Eng. Technol. 2015, 10, 1363–1369. [Google Scholar] [CrossRef]
- Kundur, P. Power System Stability and Control; McGraw-Hill: New York, NY, USA, 1995. [Google Scholar]
- Anderson, P.M.; Fouad, A.A. Power System Control and Stability; John Wiley & Sons, Ltd.: Hoboken, NJ, USA, 1999. [Google Scholar]
- Sun, Y.; Zhang, Z.; Li, G.; Lin, J. Review on frequency control of power systems with wind power penetration. Power Syst. Technol. 2010, 1–8. [Google Scholar] [CrossRef]
- Janssens, N.A.; Member, S.; Lambin, G.; Bragard, N. Active Power Control Strategies of DFIG Wind Turbines. In Proceedings of the 2007 IEEE Lausanne Power Tech, Lausanne, Switzerland, 1–5 July 2007. [Google Scholar]
- Zadeh, L.A. Outline of a new approach to the analysis of complex systems and decision processes. Syst. Man Cybern. IEEE Trans. 1973, SMC-3, 28–44. [Google Scholar] [CrossRef]
- Muyeen, S.M.; Al-Durra, A. Modeling and control strategies of fuzzy logic controlled inverter system for grid interconnected variable speed wind generator. IEEE Syst. J. 2013, 7, 817–824. [Google Scholar] [CrossRef]
- Ahmadi, S.; Shokoohi, S.; Bevrani, H. A fuzzy logic-based droop control for simultaneous voltage and frequency regulation in an AC microgrid. Int. J. Electr. Power Energy Syst. 2015, 64, 148–155. [Google Scholar] [CrossRef]
- Putri, A.I.; Ahn, M.; Choi, J. Speed sensorless fuzzy MPPT control of grid-connected PMSG for wind power generation. In Proceedings of the 2012 International Conference on Renewable Energy Research and Applications (ICRERA), Nagasaki, Japan, 11–14 November 2012. [Google Scholar]
- Hoseinzadeh, B.; Chen, Z. Intelligent load-frequency control contribution of wind turbine in power system stability. In Proceedings of the Eurocon 2013, Zagreb, Croatia, 1–4 July 2013; pp. 1124–1128. [Google Scholar]
- Lagorse, J.; Simões, M.G.; Miraoui, A. A Multiagent Fuzzy-Logic-Based Energy Management of Hybrid Systems. IEEE Trans. Ind. Appl. 2009, 45, 2123–2129. [Google Scholar] [CrossRef]
- Bubshait, A.S.; Simões, M.G.; Mortezaei, A.; Busarello, T.D.C. Power quality achievement using grid connected converter of wind turbine system. In Proceedings of the 2015 IEEE Industry Applications Society Annual Meeting, Addison, TX, USA, 18–22 October 2015. [Google Scholar]
- Bubshait, A.; Simões, M.G. Optimal Power Reserve of a Wind Turbine System Participating in Primary Frequency Control. Appl. Sci. 2018, 8, 2022. [Google Scholar] [CrossRef]
© 2019 by the authors. Licensee MDPI, Basel, Switzerland. This article is an open access article distributed under the terms and conditions of the Creative Commons Attribution (CC BY) license (http://creativecommons.org/licenses/by/4.0/).




















