Next Article in Journal
Intensification of Short Chain Fatty Acid Production during the Alkaline Pretreatment of Fine-Sieving Fractions
Previous Article in Journal
Validating CFD Predictions of Flow over an Escarpment Using Ground-Based and Airborne Measurement Devices
 
 
Font Type:
Arial Georgia Verdana
Font Size:
Aa Aa Aa
Line Spacing:
Column Width:
Background:
Article

Modeling of an Integrated Thermoelectric Generation–Cooling System for Thermoelectric Cooler Waste Heat Recovery

College of Aerospace and Civil Engineering, Harbin Engineering University, Harbin 150001, China
*
Author to whom correspondence should be addressed.
Energies 2020, 13(18), 4691; https://doi.org/10.3390/en13184691
Submission received: 25 July 2020 / Revised: 1 September 2020 / Accepted: 3 September 2020 / Published: 9 September 2020
(This article belongs to the Section J: Thermal Management)

Abstract

This paper focuses on the problem of thermoelectric cooler waste heat recovery and utilization, and proposes taking the waste heat together with the original heat source as the input heat source of the integrated thermoelectric generation–cooling system. By establishing an analytic model of this integrated thermoelectric generation–cooling system, the steady-state and transient thermal effects of this system are analyzed. The steady-state analysis results show that the thermoelectric generator’s actual heat source is about 20% larger than the intrinsic heat source. The transient analysis results prove that the current of thermoelectric power generation and the cold end temperature of the system show a nonlinear change rate with time. The cold end temperature of the system has a maximum value. Under different intrinsic heat sources, this maximum value can be reached between 1 s and 2.5 s.

1. Introduction

In recent years, thermoelectric modules (TEMs) have attracted much attention because of their stability, direct energy conversion, and having no moving parts in terms of energy management, temperature control, etc. [1,2,3]. Thermoelectric devices are divided into thermoelectric generators (TEGs), thermoelectric coolers (TECs), etc. TEGs use the Seebeck effect to convert thermal energy into electric energy, and use the Peltier effect to realize the function of a heat pump [4,5,6].
To date, many scholars have done theoretical and applied research on thermoelectric modules. Lam et al. [7] obtained the analytical solutions of transient temperature distributions within semiconductor elements by solving the governing heat conduction equation using the superposition technique with the aid of a special transformation function. The performance of a thermoelectric cooler (TEC) under the influence of the Thomson effect, Joule heating, and combined radiation and convection cooling is investigated in this study. In addition, Rahman et al. [8] presented a comprehensive analysis of a dual, micro-gap thermionic–thermoelectric hybrid energy converter by using a self-consistent iterative algorithm considering the energy balance condition. The maximum conversion efficiency of the TEG reached 9.52% by optimizing the system. Shen et al. [9] presented a three-dimensional finite element analysis that couples the high-temperature proton exchange membrane fuel cell (HT-PEMFC) and thermoelectric generator into a single model. Through the analysis and optimization of this model, it was found that a TEG with only two pairs of thermocouples can improve its conversion efficiency by 1.2%. Gong et al. [10] optimized the TEC’s input current, leg geometry, and contact layer by taking into account the material’s temperature characteristics, the Thomson effect, and contact layer resistance to achieve maximum cooling performance and high operational reliability. Cuce et al. [11] investigated the impacts of nanofluid use in TECs on cooling power and the main performance parameters through a comprehensive experimental methodology. Their results indicated that the best enhancement in indoor temperature difference compared to water cooling is obtained for 1% Al2O3 at 30 °C ambient temperature with 26% for without load conditions.
In general, the output power of a TEG is enough to drive a TEC in refrigeration, and more and more research is being conducted on thermoelectric generation–cooling systems [12,13,14]. Kwan et al. [15] significantly improved the TEGTEC control technique by including components that ensure the TEG’s output power can truly be returned to the original power source. In addition, steady-state analysis of the TEGTEC model with input waste heat parameter scanning shows that the TEG mode can only function in a certain range. Lin et al. [16] proposed a new design of combined TECTEG systems, where two single-stage TEGs are employed to separately power the hot stage and cold stage of the TEC. The analysis results of the system show that the cooling capacity of the new design is enhanced by 75% and the maximum temperature drop is elevated by 76.8% compared with the original design.
Analysis of the thermoelectric modules has found that the TEC’s cooling process will release much more heat than its cooling load. Scholars have put forward some solutions for the recovery and utilization of this part of the heat. Teffah et al. [17] proposed a new TEGTEC system, in which the TEG plays the role of a partial heatsink for the TEC by transferring this waste heat to the total system heatsink and converting an amount of this heat into electricity by a phenomenon called the Seebeck effect, for this thermoelectric module. The analysis results of this system show that the TEG can effectively convert this portion of heat into electrical energy. However, in this case, the output power of the TEG is very small, and since the TEG and TEC have the same hot-end temperature, the overall temperature of the TEC increases and the cooling capacity decreases.
In view of this situation, this paper proposes to collect the thermoelectric cooler’s waste heat and to use it together with the inherent heat source of the integrated thermoelectric generation–cooling system as its input heat source for the purpose of energy recycling. By establishing an analytic model of this integrated thermoelectric generation–cooling system, the steady-state and transient thermal effects of the system are analyzed. As the heat released by the thermoelectric cooler presents a nonlinear change, the heat absorption of the thermoelectric generator will present a nonlinear change, which will have a great impact on the transient performance of the system. Therefore, it is necessary to conduct transient response analysis on the integrated thermoelectric generation–cooling system.

2. Theory and Simulation

2.1. Theoretical Model

A schematic diagram of the integrated thermoelectric generation–cooling system is shown in Figure 1. The output electric energy of the TEG is taken as the input electric energy of the TEC. At the same time, the heat loss of the TEC is collected and used together with the intrinsic heat source Qs as the heat source of the TEG. In this way, not only can the TEC waste heat be recovered and utilized, but also the output power of TEG is improved. The hot end of the TEG, Qs, and the “heat accumulation” are direct thermal connections.
The governing equation of the integrated thermoelectric generation–cooling system is [18,19]:
ρ C P T t = ( κ T ) + J 2 σ β J T
where ρ, Cp, κ, J , σ, and β are the density, heat capacity, thermal conductivity, current density, electrical conductivity, and Thomson coefficient, respectively. It should be noted that the thermal conductivity, electrical conductivity, and Thomson coefficient of thermoelectric materials are functions of the temperature.
The energy transfer equation in the thermoelectric leg is [20]:
Q = α I T ± κ A T
where α and A are, respectively, the Seebeck coefficient and the cross-sectional area. The energy transmission direction is shown in Figure 1.
According to Equation (2), the heat absorption Ql,C of the TEC and the heat absorption expressions of the TEG can be obtained as:
Q l , C = α l , C I T l , C κ l , C T l , C
Q h , G = α h , G I T h , G + κ h , G T h , G .
In addition, the heat source of the TEG is the sum of the heat loss of the TEC and the intrinsic heat source Qs; so, the total heat source of the TEG can be obtained as:
Q h , G = Q s + Q h , C = Q s + α h , C I T h , C κ h , C A T h , C .
Since both the TEG and TEC have the same voltage and internal current, the internal current of the integrated thermoelectric generation–cooling system is:
I = ( α h , G T h , G α l , G T l , G ) ( α h , C T h , C α l , C T l , C ) R G + R C .
It can be seen from Equations (3)–(6) that the TEG and TEC have a strong coupling relationship in terms of heat and current. The temperature distribution of the TEC is determined by the current and heat absorption of the TEC. In addition, the temperature distribution of the TEC can change the current in the system by changing the heat absorption of the TEG. The complex coupling relationship between thermoelectric power generation and thermoelectric refrigeration results in the complex nonlinear variation trend of the heat absorption Qh,G, current I, and cold end temperature Tl,C of the system.
If the time term in Formula (1) is 0, the steady state heat absorption can be obtained as follows:
Q h , G = α h , G I T h , G 1 2 I 2 R G + K G ( T h , G T l , G )
Q l , C = α l , C I T l , C 1 2 I 2 R C K C ( T h , C T l , C )
where R G and R C are the resistance of the TEG and TEC, respectively; and K G and K C are the thermal conductivity of the TEG and TEC, respectively.
The relationship between the TEC’s hot-end temperature Th,C, the TEG’s cold-end temperature Tl,G, the ambient temperature T, and the equivalent convective heat transfer coefficient heff is:
Q h , C = h e f f ( T h , C T ) Q l , G = h e f f ( T l , G T ) .

2.2. Numerical Simulation Model

In the numerical simulation, the logarithm of the p–n junction for the TEG and TEC is 18 pairs, the thermoelectric leg size is 1 × 1 × 1 mm3, and the leg spacing is 1 mm.
In the numerical analysis of the integrated thermoelectric generation–cooling system, the following assumptions are made:
(1)
one can assume that all of the other surfaces in the model have thermal insulation except for the cold and hot ends [21];
(2)
one can ignore the contact resistance and thermal resistance at the interface;
(3)
one can assume that there is no heat loss in the heat transfer process.
The boundary conditions are as follows:
Q s = 9.68   W Q l , C = 2.42   W .
The hot end of the TEC and the cold end of the TEG are in the same environment [22]:
T = 300   K h e f f = 7712   W / ( m 2 K ) .
In addition, the thermoelectric material selected for the thermoelectric leg is Bi2Te3, and its performance parameters are shown in Table 1 [23].
The electrode material is copper, its thermal conductivity is k = 400   W / ( m K ) , the conductivity is σ = 5.88 × 10 8   S / m , and the thermal conductivity of the Al 2 O 3 ceramic plates is k = 35.3   W / ( m K ) .
All numerical simulations were performed in COMSOL Multiphysics 5.5.
Figure 2 shows the difference in temperature variation between the numerical predictions here and the experimental results reported in a previous study [24]. It can be seen from Figure 2 that the numerical results obtained by the proposed numerical model closely agree with the experimental data. The maximum temperature difference of Th and Tc between the numerical predictions and the measurement data is less than 2 K at t = 75 s and 1.5 K at t = 50 s, respectively. Hence, the validity of the proposed numerical model can be ensured.

3. Results and Analysis

3.1. Steady State Result Analysis

Under the above-described dimensions and boundary conditions, the cold-end temperature Tl,C is 294.58 K and the current I is 1.4 A, indicating that the integrated thermoelectric generation–cooling system can realize the refrigeration function. Based on the proposed model, a change in the intrinsic heat source Qs will change Tl,C, I, and Qh,G, as shown in Figure 3.
As can be seen from Figure 3, Tl,C decreased with the increase of Qs, from the maximum value of 303 K to 282.97 K. In addition, the current I increased with the increase of Qs, from 1.1 A to 1.87 A. Qh,G increased with the increase of Qs, from 8.8 W to 22 W.
In this system, the actual heat absorption Qh,G of the TEG’s hot end is the sum of Qs and Qh,C, as shown in formula (5). The increase in Qh,G is a matter of course. By comparing the difference between Qh,G and Qs in Figure 3, it can be found that the difference also increases with the increase of Qs, from 2.8 W to 3.8 W. This difference is greater than the TEC’s cooling load Ql,C, which is 2.42 W. This suggests that the TEC produces a lot of waste heat, which can be collected for the TEG’s power generation to boost its output.
As Qh,G increases, it can be seen from formula (4) that the current I in the system also increases. It can be seen from formula (8) that Ql,C is a quadratic function of current I, and there is an optimal current to get the minimum value of Tl,C. When current I is less than the optimal value, Tl,C decreases with the increase of I [25]. In Figure 3, the maximum value of current I is 1.87 A, which is far from the optimal current value. Therefore, Tl,C decreases with the increase of I, and Tl,C decreases with the increase of Qs.

3.2. Transient Analysis

It can be seen from the steady-state analysis results that the integrated thermoelectric generation–cooling system has a good refrigeration capacity. Since the TEC’s dissipated heat is also the TEG’s heat source, the actual heat source of the TEG (Qh,G) is about 20% larger than the intrinsic heat source (Qs).
The transient performance of the system was analyzed to see whether extremely high or extremely low temperatures would occur during the process of the system reaching a stable state. Transient analysis was conducted on the integrated thermoelectric generation–cooling system, and the variation trend of Tl,C, I, and Th,G over time was obtained as shown in Figure 4.
It can be seen that in Figure 4, Tl,C, I, and Th,G all show a nonlinear change trend over time under the condition that the intrinsic heat source Qs is 9.68 W. Among them, the TEC’s cold-end temperature Ql,C has a maximum value of 309.02 K, which is obtained at 1.7 s, 14.54 K higher than the steady-state value of 294.48 K. The current I of the integrated thermoelectric generation–cooling system and the hot-end temperature Qh,G of the TEG showed a trend of gradual increase, reaching a stable state at 8 s and 14 s, respectively.
It should be noted that the boundary condition of the TEG in this system is the heat flow boundary condition; the temperature Th,G at the hot end of the TEG increases gradually under the action of heat Qh,G, as shown in Figure 4. It can be seen from formula (6) that the current I of the system is determined by the temperature difference between the TEG and TEC. At the beginning of the system’s operation, the temperature difference between hot and cold ends of TEC is very small, and the current I is mainly determined by the temperature difference between hot and cold ends of TEG. The temperature difference of the TEG increases with the increase of Th,G, so the current I and Th,G have the same change trends, both of which are gradually increasing. In the TEC, the Peltier effect is the main effect of refrigeration. With the Seebeck coefficient of thermoelectric materials unchanged, the Peltier heat increases with the increase of current I. The first term on the right side of formula (3) is Peltier heat. When the Peltier heat is less than Ql,C, only a negative value of the second term to the right of Equation (3) can make the equation true. In this case, the temperature at the cold end of the TEG is higher than that at the hot end. In Figure 4, the increase of Tl,C before 1.7 s corresponds to the situation where the current is small and the Peltier heat is less than Ql,C. When the current increases to the size of the Peltier heat greater than Ql,C, the cold-end temperature Tl,C of the TEC begins to drop until it reaches a stable state.
By observing the time when Tl,C, I, and Th,G reach the stable state in Figure 4, it can be found that current I reaches the stable state earlier than Tl,C and Th,G. According to Formula (6), the current I is jointly determined by the temperature of the TEG and TEC. The current I reaches a stable state at about 8 s. At this time, the equilibrium state is the dynamic equilibrium state caused by the synchronous increase of the temperature difference between hot and cold ends of TEG and TEC. That is, the increase of the TEG open-circuit voltage caused by the increase of the TEG temperature difference is the same as the increase of the TEC reverse potential difference caused by the increase of the TEC temperature difference. Thus, the molecular value in formula (6) remains unchanged and the current I reaches a stable value. It should be noted that even after current I reaches a stable value, the temperature change of the TEC caused by current I will continue for a certain time. This is because the thermal change in Joules caused by the current change cannot be completed immediately on the cold and hot end face of the TEC. As a result, I reaches a stable state earlier than Tl,C. Combined with formula (2) and formula (5), it can be seen that in the process of TEC temperature change, the heat dissipated by its hot end Qh,C changes along with it, which leads to the changes of Qh,G and Th,G. That is, I reaches a stable state earlier than Th,G.

3.3. Transient Analysis of Different Qs

The results of the steady-state analysis show that the size of Qs has a great influence on the cold-end temperature Tl,C and current I of the integrated thermoelectric generation–cooling system. In the transient analysis and theoretical analysis of the system, current I is the direct factor affecting the Tl,C. Therefore, the variation of Tl,C and I was analyzed under different Qs.
Transient analysis was carried out of the integrated thermoelectric generation–cooling system with Qs of 6.05 W, 9.68 W, and 14.52 W, and the variation trend of Tl,C and I over time under different intrinsic heat sources Qs was obtained, as shown in Figure 5.
It can be seen that in Figure 5, under a different intrinsic heat source Qs, the variation trend of each parameter is the same. The current I tends to gradually increase to a stable state, which is caused by the gradual increase of the TEG temperature difference. The cold-end temperature Tl,C of the TEC increased first and then decreased before reaching a stable state. This is caused by the fact that the Peltier heat under a small current is smaller than the cooling load Ql,C, while the Peltier heat under a large current is larger than the cooling load Ql,C.
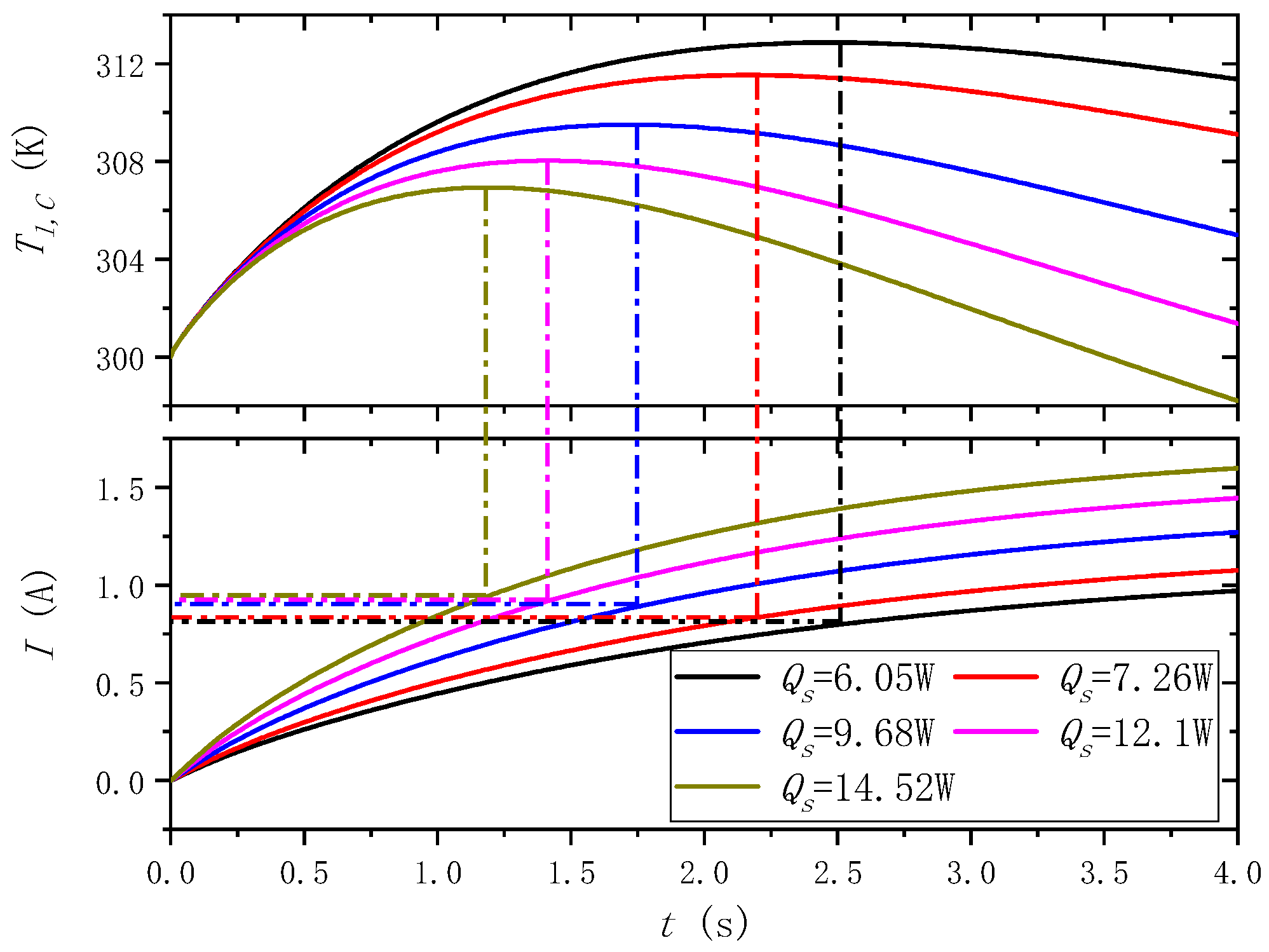
Although the change of Qs does not change the trend of Tl,C and I, it does change the maximum value and corresponding time of Tl,C. As shown in Figure 5, when Qs was 6.05 W, 9.68 W, and 14.52 W, the maximum value of Tl,C was 312.48 K, 309.02 K, and 306.51 K, respectively. In addition, the time corresponding to the maximum of Tl,C was 2.6 s, 1.7 s, and 1.1 s, respectively. In other words, with the increase of Qs, Tl,C can reach its maximum value in a shorter time. In order to further analyze this result, transient results under different Qs conditions were processed. The curve of the maximum value of the Tl,C and its corresponding time change with Qs were obtained as shown in Figure 6.
In Figure 6, Tlmax represents the maximum value of Tl,C and tm represents its corresponding time.
As can be seen from Figure 6, the maximum value of the cold-end temperature Tlmax and the corresponding time tm decrease with the increase of Qs.
According to formula (3), Tl,C is determined by the magnitude of Peltier heat and Fourier heat. In the case of constant Ql,C, the current I directly determines the change of the TEC’s temperature. Figure 7 shows the variation curves of Tl,C and I within 0–4 s under different Qs.
It can be seen from Figure 7 that, although the maximum value and corresponding time of Tl,C are different under different Qs, the corresponding current is between 0.79 A and 0.94 A. Combined with the previous analysis of the Tl,C variation trend, the current I directly determines the change of Tl,C. Therefore, the increasing rate of current I determines the magnitude of tm. It can be seen from formula (6) that the current I and the temperature difference between TEGs have the same change trend. Obviously, the rate of increase of the temperature difference between TEGs increases as Qs increases. Correspondingly, I with the same variation trend as the temperature difference between TEGs can reach a specific value in a shorter time, which makes Tl,C reach its maximum value.

4. Conclusions

In this paper, the waste heat of a TEC is collected as part of the input heat source of an integrated thermoelectric generation–cooling system for the purpose of waste heat recovery and utilization. In addition, steady-state and transient analyses are carried out for the system. The content of this paper can be summarized as follows:
(1)
A theoretical model of the integrated thermoelectric generation–cooling system is established. In this model, the heat source of a TEG presents a nonlinear changing trend, resulting in the nonlinear changing trend of the current and cold-end temperature.
(2)
Under the steady-state condition, the actual heat source of the thermoelectric generator is about 20% larger than the intrinsic heat source. At the maximum value of the intrinsic heat source, the cold-end temperature of the thermoelectric cooler reaches the minimum value of 282.97 K.
(3)
The transient analysis of integrated thermoelectric generation–cooling system shows that the cold-end temperature in the system has a maximum value. Under different intrinsic heat sources, this maximum value can be reached between 1 s and 2.5 s.

Author Contributions

Formal analysis, Q.Z.; Funding acquisition, H.W.; Investigation, H.Z.; Methodology, J.Y.; Software, L.K.; Writing—review and editing, Q.Z. All authors have read and agreed to the published version of the manuscript.

Funding

This research was funded by the National Natural Science Foundation of China, grant number 51672054.

Acknowledgments

We gratefully acknowledge the financial support of this study from the National Natural Science Foundation of China (Project No. 51672054).

Conflicts of Interest

The authors declare that there are no actual or potential conflicts of interest including any financial, personal, or other relationships with other people or organizations that could inappropriately influence, or be perceived to influence, the present work entitled “Modeling of an integrated thermoelectric generation-cooling system for thermoelectric cooler waste heat recovery”.

References

  1. Cramer, C.L.; Wang, H.; Ma, K. Performance of Functionally Graded Thermoelectric Materials and Devices: A Review. J. Electron. Mater. 2018, 47, 5122–5132. [Google Scholar] [CrossRef]
  2. He, W.; Zhang, G.; Zhang, X.; Ji, J.; Li, G.; Zhao, X. Recent Development and Application of Thermoelectric Generator and Cooler. Appl. Energy 2015, 143, 1–25. [Google Scholar] [CrossRef]
  3. Sajid, M.; Hassan, I.; Rahman, A. An Overview of Cooling of Thermoelectric Devices. Renew. Sustain. Energy Rev. 2017, 78, 15–22. [Google Scholar] [CrossRef]
  4. Siddique, A.R.M.; Mahmud, S.; Van Heyst, B. A Review of the State of the Science on Wearable Thermoelectric Power Generators (TEGs) and Their Existing Challenges. Renew. Sustain. Energy Rev. 2017, 73, 730–744. [Google Scholar] [CrossRef]
  5. Twaha, S.; Zhu, J.; Yan, Y.; Li, B. A Comprehensive Review of Thermoelectric Technology: Materials, Applications, Modelling and Performance Improvement. Renew. Sustain. Energy Rev. 2016, 65, 698–726. [Google Scholar] [CrossRef]
  6. Lv, S.; Qian, Z.; Hu, D.; Li, X.; He, W. A Comprehensive Review of Strategies and Approaches for Enhancing the Performance of Thermoelectric Module. Energies 2020, 13, 3142. [Google Scholar] [CrossRef]
  7. Lam, T.T.; Yuan, S.W.; Fong, E.; Fischer, W.D. Analytical Study of Transient Performance of Thermoelectric Coolers Considering the Thomson Effect. Int. J. Therm. Sci. 2018, 130, 435–448. [Google Scholar] [CrossRef]
  8. Rahman, E.; Nojeh, A. Harvesting Solar Thermal Energy with a Micro-Gap Thermionic-Thermoelectric Hybrid Energy Converter: Model Development, Energy Exchange Analysis, and Performance Optimization. Energy 2020, 204, 117947. [Google Scholar] [CrossRef]
  9. Shen, Y.; Kwan, T.H.; Kwan, T.H. Performance Numerical Analysis of Thermoelectric Generator Sizing for Integration into a High Temperature Proton Exchange Membrane Fuel Cell. Appl. Therm. Eng. 2020, 178, 115486. [Google Scholar] [CrossRef]
  10. Gong, T.; Gao, L.; Wu, Y.; Zhang, L.; Yin, S.; Li, J.; Ming, T. Numerical Simulation on a Compact Thermoelectric Cooler for the Optimized Design. Appl. Therm. Eng. 2019, 146, 815–825. [Google Scholar] [CrossRef]
  11. Cuce, E.; Guclu, T.; Cuce, P.M. Improving Thermal Performance of Thermoelectric Coolers (TECs) Through a Nanofluid Driven Water to Air Heat Exchanger Design: An Experimental Research. Energy Convers. Manag. 2020, 214, 112893. [Google Scholar] [CrossRef]
  12. Chen, W.-H.; Wang, C.-C.; Hung, C.-I. Geometric Effect on Cooling Power and Performance of an Integrated Thermoelectric Generation-Cooling System. Energy Convers. Manag. 2014, 87, 566–575. [Google Scholar] [CrossRef]
  13. Meng, F.; Chen, L.; Sun, F. Performance Analysis for Two-Stage TEC System Driven by Two-Stage TEG Obeying Newton’s Heat Transfer Law. Math. Comput. Model. 2010, 52, 586–595. [Google Scholar] [CrossRef]
  14. Kwan, T.H.; Wu, X.; Kwan, T.H. Integrated TEG-TEC and Variable Coolant Flow Rate Controller for Temperature Control and Energy Harvesting. Energy 2018, 159, 448–456. [Google Scholar] [CrossRef]
  15. Kwan, T.H.; Wu, X.; Kwan, T.H. Complete Implementation of the Combined TEG-TEC Temperature Control and Energy Harvesting System. Control. Eng. Pr. 2020, 95, 104224. [Google Scholar] [CrossRef]
  16. Lin, L.; Zhang, Y.-F.; Liu, H.-B.; Meng, J.-H.; Chen, W.-H.; Wang, X.-D. A New Configuration Design of Thermoelectric Cooler Driven by Thermoelectric Generator. Appl. Therm. Eng. 2019, 160, 114087. [Google Scholar] [CrossRef]
  17. Teffah, K.; Zhang, Y.; Mou, X.-L. Modeling and Experimentation of New Thermoelectric Cooler–Thermoelectric Generator Module. Energies 2018, 11, 576. [Google Scholar] [CrossRef]
  18. Lv, H.; Wang, X.-D.; Wang, T.-H.; Meng, J.-H. Optimal Pulse Current Shape for Transient Supercooling of Thermoelectric Cooler. Energy 2015, 83, 788–796. [Google Scholar] [CrossRef]
  19. Ming, T.; Wu, Y.; Peng, C.; Tao, Y. Thermal Analysis on a Segmented Thermoelectric Generator. Energy 2015, 80, 388–399. [Google Scholar] [CrossRef]
  20. Chakraborty, A.; Saha, B.; Koyama, S.; Ng, K.C. Thermodynamic Modelling of a Solid State Thermoelectric Cooling Device: Temperature–Entropy Analysis. Int. J. Heat Mass Transf. 2006, 49, 3547–3554. [Google Scholar] [CrossRef]
  21. Lv, H.; Wang, X.-D.; Meng, J.-H.; Wang, T.-H.; Yan, W.-M. Enhancement of Maximum Temperature Drop across Thermoelectric Cooler through Two-Stage Design and Transient Supercooling Effect. Appl. Energy 2016, 175, 285–292. [Google Scholar] [CrossRef]
  22. Meng, J.-H.; Wang, X.-D.; Zhang, X. Transient Modeling and Dynamic Characteristics of Thermoelectric Cooler. Appl. Energy 2013, 108, 340–348. [Google Scholar] [CrossRef]
  23. Wang, X.-D.; Huang, Y.-X.; Cheng, C.-H.; Lin, D.T.W.; Kang, C.-H. A Three-Dimensional Numerical Modeling of Thermoelectric Device with Consideration of Coupling of Temperature Field and Electric Potential Field. Energy 2012, 47, 488–497. [Google Scholar] [CrossRef]
  24. Cheng, C.-H.; Huang, S.-Y. Development of a Non-Uniform-Current Model for Predicting Transient Thermal Behavior of Thermoelectric Coolers. Appl. Energy 2012, 100, 326–335. [Google Scholar] [CrossRef]
  25. Ma, M.; Yu, J. A Numerical Study on the Temperature Overshoot Characteristic of a Realistic Thermoelectric Module under a Current Pulse Operation. Int. J. Heat Mass Transf. 2014, 72, 234–241. [Google Scholar] [CrossRef]
Figure 1. Schematic diagram of the integrated thermoelectric generation–cooling system.
Figure 1. Schematic diagram of the integrated thermoelectric generation–cooling system.
Energies 13 04691 g001
Figure 2. Comparison between the proposed numerical model and experimental data.
Figure 2. Comparison between the proposed numerical model and experimental data.
Energies 13 04691 g002
Figure 3. The variation curves of current I and TEC’s cold end temperature Tl,C with intrinsic heat source Qs.
Figure 3. The variation curves of current I and TEC’s cold end temperature Tl,C with intrinsic heat source Qs.
Energies 13 04691 g003
Figure 4. The variation trend of Tl,C, I, and Th,G over time.
Figure 4. The variation trend of Tl,C, I, and Th,G over time.
Energies 13 04691 g004
Figure 5. The variation trend of Tl,C and I over time.
Figure 5. The variation trend of Tl,C and I over time.
Energies 13 04691 g005
Figure 6. The change curves of Tlmax and tm with Qs.
Figure 6. The change curves of Tlmax and tm with Qs.
Energies 13 04691 g006
Figure 7. The variation trend of Tl,C and I over time within 0–4 s under different Qs.
Figure 7. The variation trend of Tl,C and I over time within 0–4 s under different Qs.
Energies 13 04691 g007
Table 1. Material properties of Bi2Te3 [23].
Table 1. Material properties of Bi2Te3 [23].
Material Properties
P-type κ = 1.472 × [ 1 1.29 ( T 300 ) × 10 3 + 1.35 ( T 300 ) 2 × 10 5 ]   W / ( m K )
α = 2.207 × [ 1 + 1.55 ( T 300 ) × 10 3 3.15 ( T 300 ) 2 × 10 6 ] × 10 4   V / K
1 / σ = 8.826 × [ 1 + 5.88 ( T 300 ) × 10 3 + 8.93 ( T 300 ) 2 × 10 6 ] × 10 6   Ω m
N-type κ = 1.643 × [ 1 9.8 ( T 300 ) × 10 4 + 1.56 ( T 300 ) 2 × 10 5 ]   W / ( m K )
α = - 2.23 × [ 1 + 5.62 ( T 300 ) × 10 4 4.56 ( T 300 ) 2 × 10 6 ] × 10 4   V / K
1 / σ = 8.239 × [ 1 + 4.7 ( T 300 ) × 10 3 + 2.67 ( T 300 ) 2 × 10 6 ] × 10 6   Ω m

Share and Cite

MDPI and ACS Style

Yu, J.; Zhu, Q.; Kong, L.; Wang, H.; Zhu, H. Modeling of an Integrated Thermoelectric Generation–Cooling System for Thermoelectric Cooler Waste Heat Recovery. Energies 2020, 13, 4691. https://doi.org/10.3390/en13184691

AMA Style

Yu J, Zhu Q, Kong L, Wang H, Zhu H. Modeling of an Integrated Thermoelectric Generation–Cooling System for Thermoelectric Cooler Waste Heat Recovery. Energies. 2020; 13(18):4691. https://doi.org/10.3390/en13184691

Chicago/Turabian Style

Yu, Jia, Qingshan Zhu, Li Kong, Haoqing Wang, and Hongji Zhu. 2020. "Modeling of an Integrated Thermoelectric Generation–Cooling System for Thermoelectric Cooler Waste Heat Recovery" Energies 13, no. 18: 4691. https://doi.org/10.3390/en13184691

APA Style

Yu, J., Zhu, Q., Kong, L., Wang, H., & Zhu, H. (2020). Modeling of an Integrated Thermoelectric Generation–Cooling System for Thermoelectric Cooler Waste Heat Recovery. Energies, 13(18), 4691. https://doi.org/10.3390/en13184691

Note that from the first issue of 2016, this journal uses article numbers instead of page numbers. See further details here.

Article Metrics

Back to TopTop