Potential Liquid-Organic Hydrogen Carrier (LOHC) Systems: A Review on Recent Progress
Abstract
1. Introduction
- It should be non-toxic and safe, with an acceptable eco-toxicology profile during transportation and usage.
- To avoid the need for solid-based fuel infrastructure and external addition of solvents, LOHC systems should have low melting points with favorable values <−30 °C.
- The boiling point of the LOHC system should be high (>300 °C) to simplify the purification of hydrogen and require low dynamic viscosity for easy pumping.
- Reasonably high volumetric (>56 kg/m3) and gravimetric storage capacities (>6 wt%) are required.
- The system should be able to liberate sufficiently pure H2 while producing very selective hydrogenated and dehydrogenated products over long-life cycles, as well as avoiding alternative decomposition pathways.
- It should be compatible with existing fuel infrastructure and have low production costs.
2. Brief History of LOHCs
3. Critical Issues in Developing LOHC Media
3.1. Hydrogenation/Dehydrogenation
3.2. Reaction Catalysts for LOHC
3.3. Features of LOHC Medium
3.3.1. Melting and Boiling Points
3.3.2. Stability of LOHC Molecules
3.3.3. Toxicity and Biodegradability
4. Classification of LOHC Media and Catalytic Systems
4.1. Homocyclic Compounds
4.1.1. MCH Dehydrogenation
4.1.2. Decalin Dehydrogenation
4.1.3. Benzyl Toluene Dehydrogenation
- faster hydrogen release of H12-BT compared to H18-DBT using Pt/Al2O3 catalyst at 270 °C
- formation of structurally less complex intermediates (H6-BT is the only observed intermediate) during hydrogenation/dehydrogenation processes [83], and
- low viscosity of H12-BT (3.94 cP for H0-BT and 6.97 cP for H12-BT) compared to H18-DBT (49 cP for H0-DBT and 389 cP for H18-DBT) at 20 °C.
4.2. Heterocyclic Compounds
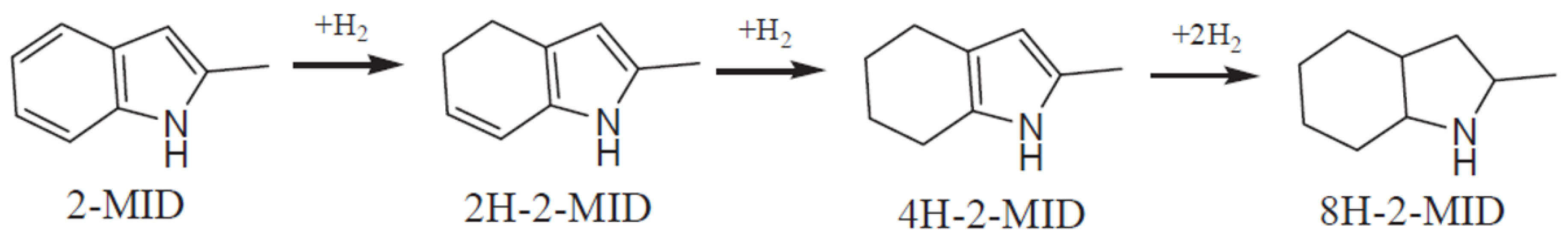
4.2.1. Hydrogenation/Dehydrogenation of Indole Derivatives
4.2.2. Hydrogenation/Dehydrogenation of Phenazine
4.2.3. Hydrogenation/Dehydrogenation of 2-(n-Methylbenzyl Pyridine)
5. Theoretical Effort for Development of LOHCs
6. Conclusions and Perspective
Author Contributions
Funding
Conflicts of Interest
References
- REN21. Renewables 2017. In Global Status Report; REN21: Montreal, QC, Canada, 2017. [Google Scholar]
- Kim, S.J.; Cho, J.-H.; Lee, K.-Y.; Cho, B.W.; Chung, K.Y.; Kim, J.-Y. MnOx–Carbon Black-embedded LiFePO4 (MnOx/C-LFP) as a Cathode Material for High-Power Li-Ion Batteries. Bull. Korean Chem. Soc. 2019, 40, 317–323. [Google Scholar] [CrossRef]
- Eberle, D.U.; von Helmolt, D.R. Sustainable transportation based on electric vehicle concepts: A brief overview. Energy Environ. Sci. 2010, 3, 689–699. [Google Scholar] [CrossRef]
- Barreto, L.; Makihira, A.; Riahi, K. The hydrogen economy in the 21st century: A sustainable development scenario. Int. J. Hydrogen Energy 2003, 28, 267–284. [Google Scholar] [CrossRef]
- Sartbaeva, A.; Kuznetsov, V.L.; Wells, S.A.; Edwards, P.P. Hydrogen nexus in a sustainable energy future. Energy Environ. Sci. 2008, 1, 79–85. [Google Scholar] [CrossRef]
- Saxena, R.C.; Seal, D.; Kumar, S.; Goyal, H.B. Thermo-chemical routes for hydrogen rich gas from biomass: A review. Renew. Sustain. Energy Rev. 2008, 12, 1909–1927. [Google Scholar] [CrossRef]
- Jones, L.W. Liquid Hydrogen as a Fuel for the Future. Science 1971, 174, 367. [Google Scholar] [CrossRef] [PubMed]
- Winsche, W.E.; Hoffman, K.C.; Salzano, F.J. Hydrogen: Its Future Role in the Nation’s Energy Economy. Science 1973, 180, 1325–1332. [Google Scholar] [CrossRef] [PubMed]
- Momirlan, M.; Veziroglu, T.N. The properties of hydrogen as fuel tomorrow in sustainable energy system for a cleaner planet. Int. J. Hydrogen Energy 2005, 30, 795–802. [Google Scholar] [CrossRef]
- Bockris, J.O.M. The hydrogen economy: Its history. Int. J. Hydrogen Energy 2013, 38, 2579–2588. [Google Scholar] [CrossRef]
- Abbas, S.A.; Ma, A.; Seo, D.; Lim, Y.J.; Jung, G.D.; Nam, K.M. Application of Spiky Nickel Nanoparticles to Hydrogen Evolution Reaction. Bull. Kor. Chem. Soc. 2020, 41, 1080–1085. [Google Scholar] [CrossRef]
- Armaroli, N.; Balzani, V. The Hydrogen Issue. ChemSusChem 2011, 4, 21–36. [Google Scholar] [CrossRef] [PubMed]
- Kim, J.H.; Kim, C.; Jeon, Y.; Kim, S. Hydrogen Production from Makgeolli Wastewater Using a Single-Chamber Microbial Electrolysis Cell. Bull. Korean Chem. Soc. 2020, 41, 150–155. [Google Scholar] [CrossRef]
- Dalebrook, A.F.; Gan, W.; Grasemann, M.; Moret, S.; Laurenczy, G. Hydrogen storage: Beyond conventional methods. Chem. Commun. 2013, 49, 8735–8751. [Google Scholar] [CrossRef] [PubMed]
- Felderhoff, M.; Weidenthaler, C.; von Helmolt, R.; Eberle, U. Hydrogen storage: The remaining scientific and technological challenges. Phys. Chem. Chem. Phys. 2007, 9, 2643–2653. [Google Scholar] [CrossRef]
- Grochala, W.; Edwards, P.P. Thermal Decomposition of the Non-Interstitial Hydrides for the Storage and Production of Hydrogen. Chem. Rev. 2004, 104, 1283–1316. [Google Scholar] [CrossRef]
- Sakintuna, B.; Lamari-Darkrim, F.; Hirscher, M. Metal hydride materials for solid hydrogen storage: A review. Int. J. Hydrogen Energy 2007, 32, 1121–1140. [Google Scholar] [CrossRef]
- Chahine, R.; Bose, T.K. Low-pressure adsorption storage of hydrogen. Int. J. Hydrogen Energy 1994, 19, 161–164. [Google Scholar] [CrossRef]
- Amankwah, K.A.G.; Noh, J.S.; Schwarz, J.A. Hydrogen storage on superactivated carbon at refrigeration temperatures. Int. J. Hydrogen Energy 1989, 14, 437–447. [Google Scholar] [CrossRef]
- Rosi, N.L.; Eckert, J.; Eddaoudi, M.; Vodak, D.T.; Kim, J.; O’Keeffe, M.; Yaghi, O.M. Hydrogen Storage in Microporous Metal-Organic Frameworks. Science 2003, 300, 1127–1129. [Google Scholar] [CrossRef]
- DOE Technical Targets for Onboard Hydrogen Storage for Light-Duty Vehicles. Available online: https://energy.gov/eere/fuelcells/doe-technicaltargets-onboard-hydrogen-storage-light-duty-vehicles (accessed on 30 March 2017).
- Modisha, P.M.; Ouma, C.N.M.; Garidzirai, R.; Wasserscheid, P.; Bessarabov, D. The Prospect of Hydrogen Storage Using Liquid Organic Hydrogen Carriers. Energy Fuels 2019, 33, 2778–2796. [Google Scholar] [CrossRef]
- Aakko-Saksa, P.T.; Cook, C.; Kiviaho, J.; Repo, T. Liquid organic hydrogen carriers for transportation and storing of renewable energy—Review and discussion. J. Power Sources 2018, 396, 803–823. [Google Scholar] [CrossRef]
- Crabtree, R.H. Nitrogen-Containing Liquid Organic Hydrogen Carriers: Progress and Prospects. ACS Sustain. Chem. Eng. 2017, 5, 4491–4498. [Google Scholar] [CrossRef]
- Wild, V.J.; Friedrich, T.; Cooper, A.; Toseland, B.; Muraro, G.; Tegrotenhuis, W.; Wang, Y.; Humble, P.; Karim, A. Liquid Organic Hydrogen Carriers (LOHC): An auspicious alternative to conventional hydrogen storage technologies. In Proceedings of the 18th World Hydrogen Energy Conference, Essen, Germany, 16–20 May 2010; Volume 78, pp. 189–197. [Google Scholar]
- Cooper, A.C.; Campbell, K.M.; Pez, G.P. An integrated hydrogen storage and delivery approach using organic liquid-phase carriers. In Proceedings of the 16th World Hydrogen Energy Conference, Lyon, France, 13–16 June 2006; pp. 1–12. [Google Scholar]
- Taube, M.; Rippin, D.W.T.; Cresswell, D.L.; Knecht, W. A system of hydrogen-powered vehicles with liquid organic hydrides. Int. J. Hydrogen Energy 1983, 8, 213–225. [Google Scholar] [CrossRef]
- Klvana, D.; Chaouki, J.; Kusohorsky, D.; Chavarie, C.; Pajonk, G.M. Catalytic storage of hydrogen: Hydrogenation of toluene over a nickel/silica aerogel catalyst in integral flow conditions. Appl. Catal. 1988, 42, 121–130. [Google Scholar] [CrossRef]
- Itoh, N.; Xu, W.C.; Hara, S.; Sakaki, K. Electrochemical coupling of benzene hydrogenation and water electrolysis. Catal. Today 2000, 56, 307–314. [Google Scholar] [CrossRef]
- Kariya, N.; Fukuoka, A.; Ichikawa, M. Efficient evolution of hydrogen from liquid cycloalkanes over Pt-containing catalysts supported on active carbons under “wet–dry multiphase conditions”. Appl. Catal. A 2002, 233, 91–102. [Google Scholar] [CrossRef]
- Pez, G.P.; Scott, A.R.; Cooper, A.C.; Cheng, H. Hydrogen Storage Reversible Hydrogenated of Pi-Conjugated Substrates. U.S. Patent 7,101,530 B2, 4 November 2005. [Google Scholar]
- Sotoodeh, F.; Smith, K.J. Kinetics of Hydrogen Uptake and Release from Heteroaromatic Compounds for Hydrogen Storage. Ind. Eng. Chem. Res. 2010, 49, 1018–1026. [Google Scholar] [CrossRef]
- Sobota, M.; Nikiforidis, I.; Amende, M.; Zanón, B.S.; Staudt, T.; Höfert, O.; Lykhach, Y.; Papp, C.; Hieringer, W.; Laurin, M.; et al. Dehydrogenation of Dodecahydro-N-ethylcarbazole on Pd/Al2O3 Model Catalysts. Chem. Eur. J. 2011, 17, 11542–11552. [Google Scholar] [CrossRef]
- Sotoodeh, F.; Huber, B.J.M.; Smith, K.J. Dehydrogenation kinetics and catalysis of organic heteroaromatics for hydrogen storage. Int. J. Hydrogen Energy 2012, 37, 2715–2722. [Google Scholar] [CrossRef]
- Campbell, P.G.; Zakharov, L.N.; Grant, D.J.; Dixon, D.A.; Liu, S.-Y. Hydrogen Storage by Boron−Nitrogen Heterocycles: A Simple Route for Spent Fuel Regeneration. J. Am. Chem. Soc. 2010, 132, 3289–3291. [Google Scholar] [CrossRef]
- Luo, W.; Zakharov, L.N.; Liu, S.-Y. 1,2-BN Cyclohexane: Synthesis, Structure, Dynamics, and Reactivity. J. Am. Chem. Soc. 2011, 133, 13006–13009. [Google Scholar] [CrossRef] [PubMed]
- Liu, S.-Y. Hydrogen Storage by Novel CBN Heterocycle Materials. Final Rep. 2015. [Google Scholar] [CrossRef]
- Crabtree, R.H. Hydrogen storage in liquid organic heterocycles. Energy Environ. Sci. 2008, 1, 134–138. [Google Scholar] [CrossRef]
- Müller, K.; Völkl, J.; Arlt, W. Thermodynamic Evaluation of Potential Organic Hydrogen Carriers. Energy Technol. 2013, 1, 20–24. [Google Scholar] [CrossRef]
- Okada, Y.; Mikuriya, T.; Yasui, T.M. Large scale hydrogen energy storage transportation technology. “SPERA” system. Kem. Enjiniyaringu 2015, 60, 187–193. [Google Scholar]
- Teichmann, D.; Stark, K.; Müller, K.; Zöttl, G.; Wasserscheid, P.; Arlt, W. Energy storage in residential and commercial buildings via Liquid Organic Hydrogen Carriers (LOHC). Energy Environ. Sci. 2012, 5, 9044–9054. [Google Scholar] [CrossRef]
- Haupt, A.; Müller, K. Integration of a LOHC storage into a heat-controlled CHP system. Energy 2017, 118, 1123–1130. [Google Scholar] [CrossRef]
- Eypasch, M.; Schimpe, M.; Kanwar, A.; Hartmann, T.; Herzog, S.; Frank, T.; Hamacher, T. Model-based techno-economic evaluation of an electricity storage system based on Liquid Organic Hydrogen Carriers. Appl. Energy 2017, 185, 320–330. [Google Scholar] [CrossRef]
- Niermann, M.; Drünert, S.; Kaltschmitt, M.; Bonhoff, K. Liquid organic hydrogen carriers (LOHCs)—Techno-economic analysis of LOHCs in a defined process chain. Energy Environ. Sci. 2019, 12, 290–307. [Google Scholar] [CrossRef]
- Preuster, P.; Papp, C.; Wasserscheid, P. Liquid Organic Hydrogen Carriers (LOHCs): Toward a Hydrogen-free Hydrogen Economy. Acc. Chem. Res. 2017, 50, 74–85. [Google Scholar] [CrossRef]
- Gianotti, E.; Taillades-Jacquin, M.; Rozière, J.; Jones, D.J. High-Purity Hydrogen Generation via Dehydrogenation of Organic Carriers: A Review on the Catalytic Process. ACS Catal. 2018, 8, 4660–4680. [Google Scholar] [CrossRef]
- Biniwale, R.B.; Rayalu, S.; Devotta, S.; Ichikawa, M. Chemical hydrides: A solution to high capacity hydrogen storage and supply. Int. J. Hydrogen Energy 2008, 33, 360–365. [Google Scholar] [CrossRef]
- Zhu, Q.-L.; Xu, Q. Liquid organic and inorganic chemical hydrides for high-capacity hydrogen storage. Energy Environ. Sci. 2015, 8, 478–512. [Google Scholar] [CrossRef]
- Clot, E.; Eisenstein, O.; Crabtree, R.H. Computational structure–activity relationships in H2 storage: How placement of N atoms affects release temperatures in organic liquid storage materials. Chem. Commun. 2007, 2231–2233. [Google Scholar] [CrossRef] [PubMed]
- Wang, Z.; Belli, J.; Jensen, C.M. Homogeneous dehydrogenation of liquid organic hydrogen carriers catalyzed by an iridium PCP complex. Faraday Discuss. 2011, 151, 297–305. [Google Scholar] [CrossRef] [PubMed]
- Yamaguchi, R.; Ikeda, C.; Takahashi, Y.; Fujita, K.-I. Homogeneous Catalytic System for Reversible Dehydrogenation−Hydrogenation Reactions of Nitrogen Heterocycles with Reversible Interconversion of Catalytic Species. J. Am. Chem. Soc. 2009, 131, 8410–8412. [Google Scholar] [CrossRef]
- Shimbayashi, T.; Fujita, K.-I. Metal-catalyzed hydrogenation and dehydrogenation reactions for efficient hydrogen storage. Tetrahedron 2020, 76, 130946. [Google Scholar] [CrossRef]
- Boufaden, N.; Akkari, R.; Pawelec, B.; Fierro, J.L.G.; Zina, M.S.; Ghorbel, A. Dehydrogenation of methylcyclohexane to toluene over partially reduced silica-supported Pt-Mo catalysts. J. Mol. Catal. A Chem. 2016, 420, 96–106. [Google Scholar] [CrossRef]
- Pande, J.V.; Shukla, A.; Biniwale, R.B. Catalytic dehydrogenation of cyclohexane over Ag-M/ACC catalysts for hydrogen supply. Int. J. Hydrogen Energy 2012, 37, 6756–6763. [Google Scholar] [CrossRef]
- Modisha, P.; Gqogqa, P.; Garidzirai, R.; Ouma, C.N.M.; Bessarabov, D. Evaluation of catalyst activity for release of hydrogen from liquid organic hydrogen carriers. Int. J. Hydrogen Energy 2019, 44, 21926–21935. [Google Scholar] [CrossRef]
- Papp, C.; Wasserscheid, P.; Libuda, J.; Steinrück, H.-P. Liquid Organic Hydrogen Carriers: Surface Science Studies of Carbazole Derivatives. Chem. Rec. 2014, 14, 879–896. [Google Scholar] [CrossRef] [PubMed]
- Cooper, A.C. Hydrogen storage and delivery by reversible hydrogenation of liquid-phase hydrogen carriers. Pap. Am. Chem. Soc. 2005, 50, 271. [Google Scholar]
- Daubert, T.E.; Danner, R.P. Physical and Thermodynamic Properties of Pure Chemicals; Taylor and Francis: London, UK, 1997. [Google Scholar]
- Amende, M.; Gleichweit, C.; Schernich, S.; Höfert, O.; Lorenz, M.P.A.; Zhao, W.; Koch, M.; Obesser, K.; Papp, C.; Wasserscheid, P.; et al. Size and Structure Effects Controlling the Stability of the Liquid Organic Hydrogen Carrier Dodecahydro-N-ethylcarbazole during Dehydrogenation over Pt Model Catalysts. J. Phys. Chem. Lett. 2014, 5, 1498–1504. [Google Scholar] [CrossRef] [PubMed]
- Fraunhofer IZM. Environmental Evaluation Methods. Toxic Potential Indicator (TPI). 2018. Available online: https://www.izm.fraunhofer.de/en/abteilungen/environmental_reliabilityengineering/key_research_areas/environmental_assessmentandecodesign/toxic-potential-indicator-tpi-.html (accessed on 19 June 2018).
- Brückner, N.; Obesser, K.; Bösmann, A.; Teichmann, D.; Arlt, W.; Dungs, J.; Wasserscheid, P. Evaluation of Industrially Applied Heat-Transfer Fluids as Liquid Organic Hydrogen Carrier Systems. ChemSusChem 2014, 7, 229–235. [Google Scholar] [CrossRef] [PubMed]
- Markiewicz, M.; Zhang, Y.-Q.; Empl, M.T.; Lykaki, M.; Thöming, J.; Steinberg, P.; Stolte, S. Hazard assessment of quinaldine-, alkylcarbazole-, benzene- and toluene-based liquid organic hydrogen carrier (LOHCs) systems. Energy Environ. Sci. 2019, 12, 366–383. [Google Scholar] [CrossRef]
- Müller, K.; Stark, K.; Emel’yanenko, V.N.; Varfolomeev, M.A.; Zaitsau, D.H.; Shoifet, E.; Schick, C.; Verevkin, S.P.; Arlt, W. Liquid Organic Hydrogen Carriers: Thermophysical and Thermochemical Studies of Benzyl- and Dibenzyl-toluene Derivatives. Ind. Eng. Chem. Res. 2015, 54, 7967–7976. [Google Scholar] [CrossRef]
- He, T.; Pei, Q.; Chen, P. Liquid organic hydrogen carriers. J. Energy Chem. 2015, 24, 587–594. [Google Scholar] [CrossRef]
- Zhou, L.; Sun, L.; Xu, L.; Wan, C.; An, Y.; Ye, M. Recent Developments of Effective Catalysts for Hydrogen Storage Technology Using N-Ethylcarbazole. Catalysts 2020, 10, 648. [Google Scholar] [CrossRef]
- Niermann, M.; Beckendorff, A.; Kaltschmitt, M.; Bonhoff, K. Liquid Organic Hydrogen Carrier (LOHC)—Assessment based on chemical and economic properties. Int. J. Hydrogen Energy 2019, 44, 6631–6654. [Google Scholar] [CrossRef]
- Schildhauer, T.; Newson, E.; Müller, S. The Equilibrium Constant for the Methylcyclohexane–Toluene System. J. Catal. 2001, 198, 355–358. [Google Scholar] [CrossRef]
- Sinfelt, J.H. Heterogeneous Catalysis: Some Recent Developments. Science 1977, 195, 641–646. [Google Scholar] [CrossRef] [PubMed]
- Sinfelt, J.H. The turnover frequency of methylcyclohexane dehydrogenation to toluene on a Pt reforming catalyst. J. Mol. Catal. A Chem. 2000, 163, 123–128. [Google Scholar] [CrossRef]
- Okada, Y.; Sasaki, E.; Watanabe, E.; Hyodo, S.; Nishijima, H. Development of dehydrogenation catalyst for hydrogen generation in organic chemical hydride method. Int. J. Hydrogen Energy 2006, 31, 1348–1356. [Google Scholar] [CrossRef]
- Al-ShaikhAli, A.H.; Jedidi, A.; Cavallo, L.; Takanabe, K. Non-precious bimetallic catalysts for selective dehydrogenation of an organic chemical hydride system. Chem. Commun. 2015, 51, 12931–12934. [Google Scholar] [CrossRef]
- Shukla, A.; Karmakar, S.; Biniwale, R.B. Hydrogen delivery through liquid organic hydrides: Considerations for a potential technology. Int. J. Hydrogen Energy 2012, 37, 3719–3726. [Google Scholar] [CrossRef]
- Yan, J.; Wang, W.; Miao, L.; Wu, K.; Chen, G.; Huang, Y.; Yang, Y. Dehydrogenation of methylcyclohexane over PtSn supported on MgAl mixed metal oxides derived from layered double hydroxides. Int. J. Hydrogen Energy 2018, 43, 9343–9352. [Google Scholar] [CrossRef]
- Kosaka, M.; Higo, T.; Ogo, S.; Seo, J.G.; Kado, S.; Imagawa, K.-i.; Sekine, Y. Low-temperature selective dehydrogenation of methylcyclohexane by surface protonics over Pt/anatase-TiO2 catalyst. Int. J. Hydrogen Energy 2020, 45, 738–743. [Google Scholar] [CrossRef]
- Ninomiya, W.; Tanabe, Y.; Uehara, Y.; Sotowa, K.-I.; Sugiyama, S. Dehydrogenation of tetralin on Pd/C and Te-Pd/C catalysts in the liquid-film state under distillation conditions. Catal. Lett. 2006, 110, 191–194. [Google Scholar] [CrossRef]
- Li, X.; Tuo, Y.; Li, P.; Duan, X.; Jiang, H.; Zhou, X. Effects of carbon support on microwave-assisted catalytic dehydrogenation of decalin. Carbon 2014, 67, 775–783. [Google Scholar] [CrossRef]
- Jiang, N.; Rao, K.S.R.; Jin, M.-J.; Park, S.-E. Effect of hydrogen spillover in decalin dehydrogenation over supported Pt catalysts. Appl. Catal. A 2012, 425–426, 62–67. [Google Scholar] [CrossRef]
- Suttisawat, Y.; Sakai, H.; Abe, M.; Rangsunvigit, P.; Horikoshi, S. Microwave effect in the dehydrogenation of tetralin and decalin with a fixed-bed reactor. Int. J. Hydrogen Energy 2012, 37, 3242–3250. [Google Scholar] [CrossRef]
- Hodoshima, S.; Takaiwa, S.; Shono, A.; Satoh, K.; Saito, Y. Hydrogen storage by decalin/naphthalene pair and hydrogen supply to fuel cells by use of superheated liquid-film-type catalysis. Appl. Catal. A 2005, 283, 235–242. [Google Scholar] [CrossRef]
- Lee, G.; Jeong, Y.; Kim, B.-G.; Han, J.S.; Jeong, H.; Na, H.B.; Jung, J.C. Hydrogen production by catalytic decalin dehydrogenation over carbon-supported platinum catalyst: Effect of catalyst preparation method. Catal. Commun. 2015, 67, 40–44. [Google Scholar] [CrossRef]
- Martynenko, E.A.; Pimerzin, A.A.; Savinov, A.A.; Verevkin, S.P.; Pimerzin, A.A. Hydrogen Release from Decalin by Catalytic Dehydrogenation over Supported Platinum Catalysts. Top. Catal. 2020, 63, 178–186. [Google Scholar] [CrossRef]
- Jorschick, H.; Geißelbrecht, M.; Eßl, M.; Preuster, P.; Bösmann, A.; Wasserscheid, P. Benzyltoluene/dibenzyltoluene-based mixtures as suitable liquid organic hydrogen carrier systems for low temperature applications. Int. J. Hydrogen Energy 2020, 45, 14897–14906. [Google Scholar] [CrossRef]
- Leinweber, A.; Müller, K. Hydrogenation of the Liquid Organic Hydrogen Carrier Compound Monobenzyl Toluene: Reaction Pathway and Kinetic Effects. Energy Technol. 2018, 6, 513–520. [Google Scholar] [CrossRef]
- Geißelbrecht, M.; Mrusek, S.; Müller, K.; Preuster, P.; Bösmann, A.; Wasserscheid, P. Highly efficient, low-temperature hydrogen release from perhydro-benzyltoluene using reactive distillation. Energy Environ. Sci. 2020, 13, 3119–3128. [Google Scholar] [CrossRef]
- Eblagon, K.M.; Tsang, S.C.E. Structure-reactivity relationship in catalytic hydrogenation of heterocyclic compounds over ruthenium black; Part B: Effect of carbon substitution by heteroatom. Appl. Catal. B 2015, 163, 599–610. [Google Scholar] [CrossRef]
- Bachmann, P.; Steinhauer, J.; Späth, F.; Düll, F.; Bauer, U.; Eschenbacher, R.; Hemauer, F.; Scheuermeyer, M.; Bösmann, A.; Büttner, M.; et al. Dehydrogenation of the liquid organic hydrogen carrier system 2-methylindole/2-methylindoline/2-methyloctahydroindole on Pt(111). J. Chem. Phys. 2019, 151, 144711. [Google Scholar] [CrossRef]
- Cui, Y.; Kwok, S.; Bucholtz, A.; Davis, B.; Whitney, R.A.; Jessop, P.G. The effect of substitution on the utility of piperidines and octahydroindoles for reversible hydrogen storage. New J. Chem. 2008, 32, 1027–1037. [Google Scholar] [CrossRef]
- Dong, Y.; Yang, M.; Yang, Z.; Ke, H.; Cheng, H. Catalytic hydrogenation and dehydrogenation of N-ethylindole as a new heteroaromatic liquid organic hydrogen carrier. Int. J. Hydrogen Energy 2015, 40, 10918–10922. [Google Scholar] [CrossRef]
- Li, L.; Yang, M.; Dong, Y.; Mei, P.; Cheng, H. Hydrogen storage and release from a new promising Liquid Organic Hydrogen Storage Carrier (LOHC): 2-methylindole. Int. J. Hydrogen Energy 2016, 41, 16129–16134. [Google Scholar] [CrossRef]
- Yang, M.; Cheng, G.; Xie, D.; Zhu, T.; Dong, Y.; Ke, H.; Cheng, H. Study of hydrogenation and dehydrogenation of 1-methylindole for reversible onboard hydrogen storage application. Int. J. Hydrogen Energy 2018, 43, 8868–8876. [Google Scholar] [CrossRef]
- Dong, Y.; Yang, M.; Li, L.; Zhu, T.; Chen, X.; Cheng, H. Study on reversible hydrogen uptake and release of 1,2-dimethylindole as a new liquid organic hydrogen carrier. Int. J. Hydrogen Energy 2019, 44, 4919–4929. [Google Scholar] [CrossRef]
- Forberg, D.; Schwob, T.; Zaheer, M.; Friedrich, M.; Miyajima, N.; Kempe, R. Single-catalyst high-weight% hydrogen storage in an N-heterocycle synthesized from lignin hydrogenolysis products and ammonia. Nat. Commun. 2016, 7, 13201. [Google Scholar] [CrossRef]
- Oh, J.; Jeong, K.; Kim, T.W.; Kwon, H.; Han, J.W.; Park, J.H.; Suh, Y.-W. 2-(N-Methylbenzyl)pyridine: A Potential Liquid Organic Hydrogen Carrier with Fast H2 Release and Stable Activity in Consecutive Cycles. ChemSusChem 2018, 11, 661–665. [Google Scholar] [CrossRef]
- Oh, J.; Kim, T.W.; Jeong, K.; Park, J.H.; Suh, Y.-W. Enhanced Activity and Stability of a Carbon-Coated Alumina-Supported Pd Catalyst in the Dehydrogenation of a Liquid Organic Hydrogen Carrier, Perhydro 2-(n-methylbenzyl)Pyridine. ChemCatChem 2018, 10, 3892–3900. [Google Scholar] [CrossRef]
- Andersson, M.P.; Bligaard, T.; Kustov, A.; Larsen, K.E.; Greeley, J.; Johannessen, T.; Christensen, C.H.; Nørskov, J.K. Toward computational screening in heterogeneous catalysis: Pareto-optimal methanation catalysts. J. Catal. 2006, 239, 501–506. [Google Scholar] [CrossRef]
- Bachmann, P.; Schwarz, M.; Steinhauer, J.; Späth, F.; Düll, F.; Bauer, U.; Nascimento Silva, T.; Mohr, S.; Hohner, C.; Scheuermeyer, M.; et al. Dehydrogenation of the Liquid Organic Hydrogen Carrier System Indole/Indoline/Octahydroindole on Pt(111). J. Phys. Chem. C 2018, 122, 4470–4479. [Google Scholar] [CrossRef]
- Kim, K.; Oh, J.; Kim, T.W.; Park, J.H.; Han, J.W.; Suh, Y.-W. Different catalytic behaviors of Pd and Pt metals in decalin dehydrogenation to naphthalene. Catal. Sci. Technol. 2017, 7, 3728–3735. [Google Scholar] [CrossRef]
- Chen, F.; Huang, Y.; Mi, C.; Wu, K.; Wang, W.; Li, W.; Yang, Y. Density functional theory study on catalytic dehydrogenation of methylcyclohexane on Pt(111). Int. J. Hydrogen Energy 2020, 45, 6727–6737. [Google Scholar] [CrossRef]
















| LOHC System | H2 Capacity (wt%) | Enthalpy (kJ/mol H2) | Melting Point (°C) | Boiling Point (°C) | Flash Point (°C) | |||
|---|---|---|---|---|---|---|---|---|
| H2-Rich | H2-Lean | H2-Rich | H2-Lean | H2-Rich | H2-Lean | |||
Methylcyclohexane → toluene![]() | 6.2 | 68.3 | −126 | −95 | 101 | 111 | −3 | 6 |
Decalin → Naphthalene![]() | 7.3 | 63.9 | −37 | 79 | 189 | 218 | 57 | 80 |
Perhydro-dibenzyltoluene → dibenzyl toluene![]() | 6.2 | 65.4 | NA | −34 | NA | 398 | NA | 190 |
Perhydro-benzyl toluene → benzyl toluene![]() | 6.2 | 63.5 | NA | −30 | 270 | 280 | NA | NA |
Dodecahydro-N-ethyl carbazole → N-ethyl carbazole![]() | 5.8 | 50.6 | −85 | 70 | NA | 166 | NA | 186 |
1-methylperhydro indole → 1-methyl indole | 5.8 | 51.9 | NA | 95 | 180 | 238 | 60 | 110 |
2-methylperhydro indole → 2-methyl indole![]() | 5.8 | NA | NA | 60 | 178 | 272 | 58 | 141 |
1,2-perhydrodimethyl indole → 1,2-dimethyl indole![]() | 5.23 | NA | <−15 | 55 | ≥260.5 | 260.5 | ≥230 | ≥230 |
Perhydro-phenazine → phenazine![]() | 7.2 | NA | NA | 174–177 | NA | 357.2 | NA | 160.3 |
Perhydro-2-(n-methylbenzyl pyridine) → 2-(n-methylbenzyl pyridine)![]() | 6.15 | 67.3 | −19.3 | −50.1 | 293 | 291 | NA | NA |
| Catalyst | H12-MBP Conversion [mol%] | Selectivity to H0-MBP [mol%] | H2 Yield [mol%] |
|---|---|---|---|
| Pd/Al2O3 | 65.3 | 63.3 | 53.3 |
| Pd/2.0CCA | 72.1 | 75.4 | 63.2 |
| Pd/3.3CCA | 80.6 | 76.4 | 71.1 |
| Pd/4.5CCA | 65.5 | 62.3 | 53.1 |
| Pd/6.0CCA | 60.1 | 29.2 | 38.8 |
| Pd/C | 59.0 | 78.2 | 52.6 |
Publisher’s Note: MDPI stays neutral with regard to jurisdictional claims in published maps and institutional affiliations. |
© 2020 by the authors. Licensee MDPI, Basel, Switzerland. This article is an open access article distributed under the terms and conditions of the Creative Commons Attribution (CC BY) license (http://creativecommons.org/licenses/by/4.0/).
Share and Cite
Rao, P.C.; Yoon, M. Potential Liquid-Organic Hydrogen Carrier (LOHC) Systems: A Review on Recent Progress. Energies 2020, 13, 6040. https://doi.org/10.3390/en13226040
Rao PC, Yoon M. Potential Liquid-Organic Hydrogen Carrier (LOHC) Systems: A Review on Recent Progress. Energies. 2020; 13(22):6040. https://doi.org/10.3390/en13226040
Chicago/Turabian StyleRao, Purna Chandra, and Minyoung Yoon. 2020. "Potential Liquid-Organic Hydrogen Carrier (LOHC) Systems: A Review on Recent Progress" Energies 13, no. 22: 6040. https://doi.org/10.3390/en13226040
APA StyleRao, P. C., & Yoon, M. (2020). Potential Liquid-Organic Hydrogen Carrier (LOHC) Systems: A Review on Recent Progress. Energies, 13(22), 6040. https://doi.org/10.3390/en13226040











