Abstract
In this research, we studied the impact of temperature dependent viscosity and thermal radiation on Eyring Powell fluid with porous channels. The dimensionless equations were solved using the perturbation technique using the Weissenberg number (ε ≪ 1) to obtain clear formulas for the velocity field. All of the solutions for the physical parameters of the Reynolds number (Re), magnetic parameter (M), Darcy parameter (Da) and Prandtl number (Pr) were discussed through their different values. As shown in the plots the two-dimensional and three-dimensional graphical results of the velocity profile against various pertinent parameters have been illustrated with physical reasons. The results revealed that the temperature distribution increases for higher Prandtl and thermal radiation values. Such findings are beneficial in the field of engineering sciences.
1. Introduction
In recent years, the mathematical and numerical simulation of non-Newtonian fluids has received particular attention from the research community. The analysis of such fluids has been intensively researched over the past decades due to their wide range of industrial applications in field such as petroleum engineering, energy engineering and food technology, etc. The most important non-Newtonian fluids include Eyring Powell fluid, nano fluid, Walters B fluid, and micropolar fluid, etc. [1,2]. Among the non-Newtonian fluids, Eyring Powell fluid has special rheological characteristics that make it preferable over other non-Newtonian fluids. High and low shear Eyring Powell fluid behaves similarly to Newtonian fluid. The Eyring Powell rights [3] are derived from the kinetic theory of gases, but not from the empirical relationship of the power law model. Extensive research on Eyring Powell fluid has been conducted due to its wide range of applications in businesses and industries. For example, Hina et al. [4] examined the thermophoric diffusion of Powell-Eyring fluid to a curved channel. In view of this, Longo et al. [5] studied non-Newtonian flow with gravity effects of the power law in an axially symmetric permeable medium. Similarly, Jalil, M., S. Asghar, and S. M. Imran [6] investigated the similarity solutions for Eyring Powell fluid flow passing through a moving plate. These researchers used a scaling group to transform the main equations into ordinary coupled differential equations, and Kellerbox techniques were used to solve the equations. Hayat et al. [7] discussed the behavior of Eyring Powell fluid in the presence of the parameters such as Dufour, Soret, Joule and thermal radiation.
It is worth discussing some investigations related to Eyring-Powell fluid here such as the study conducted by S. Nadeem and S. Sleem [8], who examined the unstable boundary layer flow of an Eyring Powell fluid with the combined effects of heat and mass transfer on a rotating cone. They used a series of homotopy solutions to obtain the solution for the mathematical model. Tanveer and Malik [9] studied the effect of slip and porous parameters in peristaltic flow under the influence of MHD. In the investigations of Hayat et al. [10], a moving surface with convective boundary conditions in a constant flow of Eyring Powell liquids was considered. In this study, an analytical method was applied to find the solution for the Blasius flow of Eyring Powell fluids with non-zero surface velocity conditions. A few more relevant investigations can be found in the references [11,12,13,14,15].
The applications of electrically conductive fluid currents encircled in the field of nanocomposite and metallurgy are introduced in this paragraph. Metallurgical requirements consist of continuous cooling belts or filaments such as hardening, disperse and sketching processes for copper wires. In all of these circumstances, the substances of the final product depend widely on the rate of cooling system. Therefore, to control the cooling and stretching rates, the magnetic field must be used intelligently. In recent decades, the problem of magneto hydro dynamic (MHD) flow in a rotating environment have received considerable interest due to their geographical, astrographs importance, and their uses in fluid technology. Various important problems have been discussed intensively, such as the preservations and worldly variations of the earth’s magnetic field due to themovement in the fluid in the center of the earth, the internal rotational speed of the sun, the structure of revolving magnetic stars, the global and solar doer problems, Ekman MHD pumps, turbomachines, rotary hydraulic generators and two-phase MHD rotary drum separators. The generator current in a closed circuit, is controlled by the action of magnetic forces. It has been observed that the effects of the Coriolis force are larger than those of viscosity and inertia forces in the hydro-magnetic equations of motion in a rotating environment. Several researchers have investigated the MHD with various kinds of fluid and geometries. Studies such as the one conducted by Abbas et.at [11] discussed the MHD peristaltic blood flow of nanofluid. They concluded that the magnetic field plays an important role in the blood pressure and temperature profile. The same authors [12] further studied that the entropy generation of MHD blood flow with the geometry of a peristaltic wave in complaint walls. They determined that magnetics field plays an important role in the velocity of blood particularly regarding its role in controlling bleeding during surgery. Bhatti et.al [13] examined the MHD and partial slip of Ree Ryring fluid with wall properties. They solved the simplified equation using an analytical method and concluded that the velocity distribution increases for larger slip parameter values while its opposite behavior was observed for various Hartmann parameter values. Wissam et.al [14] studied the impact of MHD on Jeffrey fluid with a porous channel saturated with temperature-dependent viscosity (TDV). Wissam et.al [15,16] studied the effect of heat transfer on MHD for Williamson fluid with a constant viscosity and variable viscosity through a porous medium. Other interesting investigations that are related MHD can be viewed in the references section of this paper [17,18,19].
Keeping the above discussions in view, much more attention is needed in the area of Eyring Powell fluid in the presence of MHD. Researchers, such as Dawar and Abdullah, et al. [17] have conducted a few investigations on Eyring Powell fluid through an oscillatory stretching sheet and focused on the comparison of analytical and numerical solutions. However, Eyring Powell fluid with temperature dependent properties is needed in industrial engineering because the Erying Powell fluid model is one of the non-Newtonian fluids and such fluid is widely used in ethylene glycol, kerosene, and water, which have demonstrated limited heat transport characteristics.
In the present study, a mathematical formulation of the problem in terms of continuity equation, momentum equations, and temperature equation has been developed. Further, dimensionless variables are introduced to simplify the governing equations and we obtained a nonlinear partial differential equation with boundary conditions. The solution of the nonlinear partial differential equation can be obtained by using the perturbation method, while the graphical interpretations of the velocity and temperature in two and three dimensions are discussed with physical reasons. The conclusions of the present analysis are discussed in the last section.
2. Mathematical Formulation
Consider the incompressible unstable flow for the magnetohydrodynamics of Jeffrey fluid with TDV in a saturated permeable channel with variable viscosity and at height , as shown in Figure 1. It can be seen from the figure that we chose the Cartesian coordinates system as the velocity vector, in which is the (-component) of velocity, and is perpendicular to the (-axis). A uniform attractive field B0 is forced along the y-axis.
Figure 1.
Construction of the Problem.
The fundamental equation for Eyring-Powell fluid is given by:
where the parameters , , denote the pressure, unit tensor, extra stress tensor and variable shear rate viscosity while the parameter is the velocity gradient.
The velocity field and the heat field of the present problem are:
The continuity equation is given by:
The momentum equations are as follows:
In the -direction:
In the -direction:
Temperature equation:
With associated boundary conditions
The radioactive heat flux is given by:
where is the radiation absorption.
We can write the component of the extra stress tensor as follows:
Dimensionless Formulation of the Mathematical Model
The non-dimensional conditions are as follows:
Using Equations (9)–(11) in Equations (4)–(8), we can creat the following non-dimensional equations:
With the boundary conditions
After acquiring the simplifications, the resulting equation from placing Equation (16) into Equation (13), allow us to obtain the following equation:
3. Solution to the Problem
The exact solution of Equation (15) can be obtained as:
- Solution of the Heat Equations
To solve the temperature Equation (15), assume
Substituting Equation (19) into Equation (15), we obtained:
The exact solution of Equations (19) and (20) is given by:
where . Therefore:
- ii.
- Solution for Motion Equation
To solve the motion Equation (13) we assum,
where denotes the real constant and the frequency of the oscillation.
The temperature in terms of Reynolds number and variation of viscosity are defined as
By applying the Maclaurin series, we obtain:
At this stage, the viscosity is fixed at by putting Equations (22) and (24) into Equation (17), we acquire:
Assuming the small value of Equation (25) is a non-linear differential equation, so trying to find the exact solution is a complex task. To manage this situation, the perturbation method was used to find the problem’s solution, which was achieved as follows:
We exchanging Equation (26) into Equation (25), which is subject to the boundary conditions, and then by comparing the similar powers of , we have:
- Zeros-order system ()
The associated boundary conditions are:
- ii.
- First-order system ()
The associated boundary conditions are:
Through the expansion of the terms of , we are able to derive Equations (28) and (29). We are able to interpret some of the natural explanations to this problem, which can be achieved by taking small values of and taking a perturbation series with the parameters of . We substitute for (for ) by expansion
We can then equate and compare the coefficients of similar power in , and the following set of equations can then be obtained.
3.1. Approximation of Solution for
By substituting Equation (30) into Equation (28), we obtain
By equating the coefficients in the same way that we equated the powers of , we obtain:
- Zeros-Order System ()
The associated boundary conditions are:
- ii.
- First-Order System ()
The associated boundary conditions are:
The perturbation solutions of Equations (31) and (32) and their boundary conditions are given:
3.2. Approximate Solution for
By substituting given by the substituting Equation (30) into Equation (29), we obtain:
Equating the coefficients in the same way as the powers in , were equated, we obtain:
- Zero-Order System ()
- ii.
- First-Order System ()
The required solution of the perturbation of Equations (33) and (34), which are subject to the boundary conditions is as follows:
Finally, the solution up to second term for is provided by:
4. Results and Discussion
In this section, the magneto hydrodynamic oscillatory flow of Eyring Powell fluid with time-dependent viscosity in a permeable channel will be discussed. The perturbation method was employed to solve the governing equation, Equation (13), and the temperature equation, Equation (15). The solutions for the velocity profile and temperature distribution were performed using (Mathematical ver.11,) with the set of values .
As shown in Figure 2, the temperature profile increases for various cumulative oscillation frequencies during the canal decrease, is also clarified. The variations of on are shown in Figure 3. From this figure, it is revealed that the fluid temperature is linearly dispersed in the channel. Conversely, the fluid temperature in the channel increases with the increase of the injection on the heated bowl. The linearity inspected at provides an approach to concave circulation. By increasing , the concavity is an important factor due to the pathway of the flow of temperature which is absorbed from the animated superficial to the cold superficial each time. Figure 4 displays that increases with the increase in the value of because the temperature is communicated from the animated wall near the fluid.
Figure 2.
Impact of ω on temperature field.
Figure 3.
Impact of on temperature field.
Figure 4.
Impact of on temperature field.
Figure 5 shows that velocity distribution increases with increasing of the parameter . Figure 6 illustrates the effect of on the velocity field. It demonstrates that after increasing , the velocity field increases. This phenomenon occurs when buoyancy forces are high in association with viscous forces. The effects of the parameter on velocity profile can be seen from Figure 7. By increasing , velocity distribution increases. While Figure 8 shows the influence on the velocity field function . By increasing the velocity distribution is decreased. It should be noted that the change in velocity distribution is associated with external magnetic field and the increase in velocity is accredited with increase in Lorentz force.
Figure 5.
Impact of on velocity distribution.
Figure 6.
Impact of on velocity distribution.
Figure 7.
Impact of on velocity distribution.
Figure 8.
Impact of on velocity distribution.
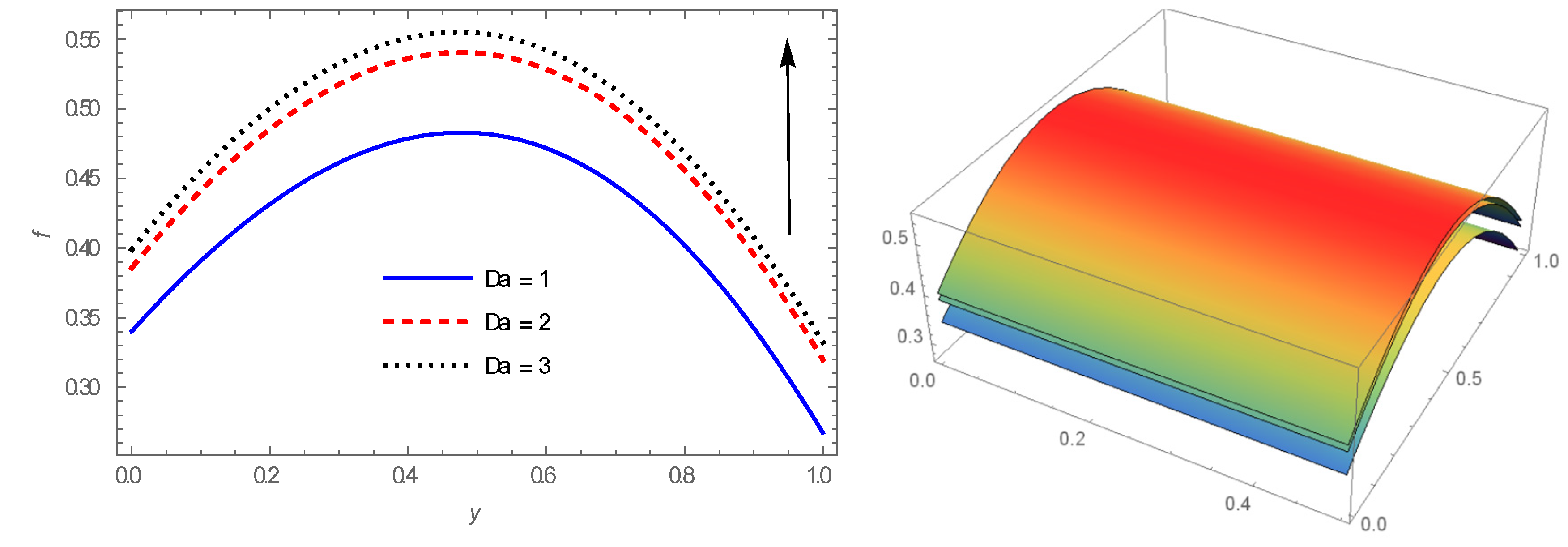
Figure 9 illustrates that by increasing , the velocity distribution increases. The reason behind this behavior is that the fluid becomes thinner due to higher values in the radiation parameter. Figure 10 displays that increasing leads to an increase in the velocity distribution . For larger Prandtl number values the, diffusivity rise and the heat diffuses very quickly. Therefore, velocity is affected and increase. Figure 11 illustrates the fact that the velocity distribution is decreases when increases. The solution obtained from Equation (13) clearly shows that is inversely proportional to the velocity profile due to velocity decreasing with . Figure 12 shows that increasing results in an increase in the velocity field. Figure 13 shows that velocity decreases when increases. All of the graphs depicting the velocity profile have been plotted in 3D to achieve a clear visibility and better interpretations and analysis.
Figure 9.
Impact of on velocity distribution.
Figure 10.
Impact of on velocity distribution.
Figure 11.
Impact of on velocity distribution.
Figure 12.
Impact of on velocity distribution.
Figure 13.
Impact of on velocity distribution.
5. Conclusions
The oscillatory magneto hydrodynamic flow problem of Eyring Powell fluid with temperature-dependent viscosity (TDV) in a saturated porous channel has been comprehensively discussed in this paper. The solutions of the velocity profile and temperature distribution were satisfactorily obtained using the perturbation method. Different sets of values have been employed to find the solution of the mathematical model. Finally, it was observed that:
- Increasing the radiation parameter and Prandtl number increases the velocity profile.
- Increase in and lead to a decreasing pattern in the velocity field due to the existence of the Lorentz force in the flow, thereby generating resistance.
- Higher radiation parameter and injection parameter values cause increases in the temperature profile.
- Temperature decreases when the increases.
Author Contributions
Conceptualization, M.A.A.; methodology, W.S.K.; software, M.Y.; validation, W.S.K., M.A.A.; formal analysis, W.S.K.; investigation, M.Y.; resources, M.Y.; data curation, M.A.A.; writing—original draft preparation, M.A.A.; writing—review and editing, W.S.K.; visualization, M.Y.; supervision, M.A.A.; project administration, M.Y.; funding acquisition, M.Y. All authors have read and agreed to the published version of the manuscript.
Funding
This research was funded by China National Post-doctoral Program for Innovative Talents (BX20190242), and the National Key Research and Development Program of China (2017YFE0100900 & 2018YFC0309700).
Conflicts of Interest
The authors declare no conflict of interest.
Nomenclature
| () | Prandtl number |
| () | Density |
| () | Pressure |
| () | Temperature |
| () | Electrical conductivity |
| () | Magnetic field |
| ) | Specific heat |
| (K) | Thermal conductivity |
| () | Ambient temperature |
| () | Radiation heat flux |
| () | Expression of velocity in horizontal and vertical directions, respectively |
| () | Nanoparticles, thermal conductivity |
| () | Fluid viscosity |
| () | Dimensionless temperature of the model |
| () | Radiation absorption |
| () | viscosity of the nanofluid effective dynamic |
| () | Darcray number |
| () | Constant horizontal velocity |
| () | Base fluid thermal expansion coefficient |
| () | Dimensionless magnetic parameter |
| () | Stagnation speed |
| () | Darcy number |
| (N) | Radiation parameter |
| () | Frequency of oscillation |
| () | The ratio of relaxation to retardation time |
| () | The real parameter |
| (A) | Dimensionless Eyring Powell fluid parameter |
| (We) | Weissenberg number |
| (Re) | Reynolds number |
| (S) | Suction/Injection parameter |
| (t) | Time |
| () | Aviation of viscosity with temperature |
| Convergence parameter | |
| () | Temperature at initial stage |
References
- Rahimi, J.; Ganji, D.; Khaki, M.; Hosseinzadeh, K. Solution of the boundary layer flow of an Eyring-Powell non-Newtonian fluid over a linear stretching sheet by collocation method. Alex. Eng. J. 2017, 56, 621–627. [Google Scholar] [CrossRef] [Green Version]
- Ghadikolaei, S.; Hosseinzadeh, K.; Ganji, D. Analysis of unsteady MHD Eyring-Powell squeezing flow in stretching channel with considering thermal radiation and Joule heating effect using AGM. Case Stud. Therm. Eng. 2017, 10, 579–594. [Google Scholar] [CrossRef]
- Powell, R.E.; Eyring, H. Mechanisms for the relaxation theory of viscosity. Nature 1944, 154, 427–428. [Google Scholar] [CrossRef]
- Hina, S.; Mustafa, M.; Hayat, T.; Alsaedi, A. Peristaltic transport of Powell Eyriny fluid in a curved channel with heat/mass transfer and wall properties. Int. J. Heat Mass Transf. 2016, 110, 156–165. [Google Scholar] [CrossRef]
- Longo, S.; Di Federico, V.; Chiapponi, L.; Archetti, R. Experimental verification of power-law non-Newtonian axisymmetric porous gravity currents. J. Fluid Mech. 2013, 731, R2. [Google Scholar] [CrossRef] [Green Version]
- Jalil, M.; Asghar, S.; Imran, S. Self-similar solutions for the flow and heat transfer of Powell-Eyring fluid over a moving surface in a parallel free stream. Int. J. Heat Mass Transf. 2013, 65, 73–79. [Google Scholar] [CrossRef]
- Hayat, T.; Ali, S.; Alsaedi, A.; Alsulami, H.H. Influence of thermal radiation and Joule heating in the Eyring-Powell fluid flow with the Soret and Dufour effects. J. Appl. Mech. Tech. Phys. 2016, 57, 1051–1060. [Google Scholar] [CrossRef]
- Nadeem, S.; Saleem, S. Mixed convection flow of Eyring-Powell fluid along a rotating cone. Results Phys. 2014, 4, 54–62. [Google Scholar] [CrossRef] [Green Version]
- Tanveer, A.; Malik, M. Slip and porosity effects on peristalsis of MHD Ree-Eyring nanofluid in curved geometry. Ain Shams Eng. J. 2021, 12, 955–968. [Google Scholar] [CrossRef]
- Hayat, T.; Iqbal, Z.; Qasim, M.; Obaidat, S. Steady flow of an Eyring Powell fluid over a moving surface with convective boundary conditions. Int. J. Heat Mass Transf. 2012, 55, 1817–1822. [Google Scholar] [CrossRef]
- Al-Mdallal, Q.M.; Renuka, A.; Muthtamilselvan, M.; Abdalla, B. Ree-Eyring fluid flow of Cu-water nanofluid between infinite spinning disks with an effect of thermal radiation. Ain Shams Eng. J. 2021, 12, 2947–2956. [Google Scholar] [CrossRef]
- Xia, W.F.; Haq, F.; Saleem, M.; Khan, M.I.; Khan, S.U.; Chu, Y.M. Irreversibility analysis in natural bio-convective flow of Eyring-Powell nanofluid subject to activation energy and gyrotactic microorganisms. Ain Shams Eng. J. 2021. [Google Scholar] [CrossRef]
- Ara, A.; Khan, N.A.; Khan, H.; Sultan, F. Radiation effect on boundary layer flow of an Eyring-Powell fluid over an exponentially shrinking sheet. Ain Shams Eng. J. 2014, 5, 1337–1342. [Google Scholar] [CrossRef] [Green Version]
- Abbas, M.A.; Bai, Y.Q.; Rashidi, M.M.; Bhatti, M.M. Application of drug delivery in magnetohydrodynamics peristaltic blood flow of nanofluid in a non-uniform channel. J. Mech. Med. Biol. 2016, 16, 1650052. [Google Scholar] [CrossRef]
- Bbas, M.A.; Bai, Y.; Rashidi, M.M.; Bhatti, M.M. Analysis of entropy generation in the flow of peristaltic nanofluids in channels with compliant walls. Entropy 2016, 18, 90. [Google Scholar]
- Bhatti, M.M.; Abbas, M.A.; Rashidi, M.M. Combine effects of Magnetohydrodynamics (MHD) and partial slip on peristaltic Blood flow of Ree–Eyring fluid with wall properties. Eng. Sci. Technol. Int. J. 2016, 19, 1497–1502. [Google Scholar] [CrossRef] [Green Version]
- Wissam, S.K.; Hasan, H.D.; Hayder, K.M. Oscillatory Flow MHD of Jeffrey Fluid with Temperature-Dependent Viscosity (TDV) in a Saturated Porous Channel. Iraqi J. Sci. 2021, 27–34. [Google Scholar] [CrossRef]
- Wissam, S.K.; Dheia, G.S. Influence of Heat Transfer on MHD Oscillatory Flow for Williamson Fluid with Variable Viscosity through a Porous Medium. Int. J. Fluid Mec. Therm. Sci. 2018, 4, 11–17. [Google Scholar]
- Dawar, A.; Shah, Z.; Idrees, M.; Khan, W.; Islam, S.; Gul, T. Impact of thermal radiation and heat source/sink on Eyring-Powell fluid flow over an unsteady oscillatory porous stretching surface. Math. Comput. Appl. 2018, 23, 20. [Google Scholar] [CrossRef] [Green Version]
Publisher’s Note: MDPI stays neutral with regard to jurisdictional claims in published maps and institutional affiliations. |
© 2021 by the authors. Licensee MDPI, Basel, Switzerland. This article is an open access article distributed under the terms and conditions of the Creative Commons Attribution (CC BY) license (https://creativecommons.org/licenses/by/4.0/).












