Abstract
With the further development and wide application of wireless technology in 6G, people are increasingly inseparable from wireless devices, from the ground to the air. The power consumption and service life of devices have become an urgent problem to be solved. In this paper, the energy harvesting relaying system based on the power splitting method with unidirectional DF half-duplex and full-duplex relay is proposed. The relay node is powered by itself through energy harvesting. Specifically, we analyze the system capacity, and the formula of system outage probability is also obtained. Simulation results show the performance of the half-duplex and full-duplex system. With a smaller power splitting factor, more energy is harvested, the outage probability is lower, and the capacity is higher.
1. Introduction
With the upcoming 6G [1], more and more wireless devices are widely used in various environments, such as V2V devices [2] and UAV devices [3,4]. When a large number of devices are used in wireless networks, the problem of energy limitation becomes more and more serious. A large number of equipment have produced energy pollution, and the green communication of wireless communication systems has been put forward, which has become a research problem [5,6,7]. In order to prolong the service life of the equipment in wireless systems, especially in systems with a poor environment or that are unable to replace batteries in time, energy harvesting (EH) technology in wireless communication systems has been widely studied. Traditional EH technology can harvest energy from natural resources such as solar and wind energy [8,9]. However, due to the great impact of the environment on natural resources, it is unable to satisfy the energy requirements of wireless communication systems. Therefore, energy harvesting in the wireless environment has attracted more and more attention. RF resources are not only rich and widely exist in wireless systems, RF signals can also carry information with energy simultaneously. Varshney in [10] first proposed the idea of simultaneous wireless information and power transfer (SWIPT) and studied the performance of SWIPT systems through a capacity energy function. Because of the circuit limitation, the received information cannot be decoded simultaneously with energy. Reference [11] proposed the energy harvesting and information receiving architecture of the MIMO system; when harvesting energy and processing information are carried out independently, the maximum rate and energy transmission of the system can be balanced by optimizing the transmission strategy; when harvesting energy and processing information are synchronized, this is realized by power splitting (PS) and time switching (TS).
1.1. Related Work
In recent years, the energy-limited relaying network [12] has attracted much attention. The relay node based on EH can transmit information through amplify-and-forward (AF) or decode-and-forward (DF) mode. The work in [13] studied the wireless EH network in DF mode; the relay decodes and forwards information to the target node by only using the energy harvested based on the TS and PS methods; through numerical analysis, the throughput, TS, and PS factors were analyzed. In [14], the EH relay network was proposed, and the throughput and capacity were analyzed through the PS and TS methods. Reference [15] proposes an EH system to prolong the service time of an energy-limited DF relay network. TS-based EH was used considering the end-to-end reachable rate maximization problem. The optimal TS factor and power allocation were divided into two convex optimization problems, and the optimal value was obtained by bisection search. Reference [16] analyzed the performance of AF and DF multi-hop networks based on energy harvesting through the PS and TS methods. Through a comparison, it was found that, using the TS method, the performance was better. In DF mode, more hops are supported. In [17], a new hybrid network was proposed to optimize the PS and TS factors considering throughput maximization in AF and DF modes. It adjusts the PS and TS factors dynamically and obtains three best protocols, namely PS, TS, and hybrid protocols. Energy efficiency was studied in [18,19]. In order to increase energy and spectral efficiency, the compressed sensing strategy was proposed in [18]. Reference [19] proposed an intelligentreflecting-surface (IRS)-based Internet of Things (IoT) network. The devices harvest energy from a suitable nearby power station through direct links and IRS links, and the energy is used for information transfer between devices and access points. The sum throughput maximization was formulated considering the phase shift matrices and TS factor, and the alternating optimization algorithm was used to optimize the phase shift matrices, while the TS factor was derived by fixing the phase shift matrices.
At present, most research is focused on half-duplex mode. Half-duplex relay cooperation systems need two time slots to forward the signal to the target node, and the spectral efficiency loss is 50%. The full-duplex relay system reduces this to one time slot and significantly improves the spectral efficiency. Therefore, the full-duplex network has become a research hotspot. However, due to the signal leakage of the full-duplex relay, the full-duplex system has self-interference (SI) or loop-back interference. Although the SI cancellation (SIC) mechanism can be used to suppress the interference [20,21,22], there is still residual interference. Reference [23] studied the full-duplex relay SWIPT system based on the AF protocol using the PS method. The ergodic capacity expression was derived, and the change of capacity with the PS factor and residual interference was shown by simulation. Reference [24] analyzed the performance under a full-duplex EH relay DF system in the Nakagami-m fading channel. The relay has multiple antennas. Through the analysis, the formulae for accurate outage probability and symbol error probability were obtained. Reference [25] analyzed the performance of the EH relay system in the indoor channel based on the lognormal fading channel. By using the DF and AF protocols, the formula of the outage probability was deduced to evaluate the system performance, and the analysis of the outage probability was given through simulation. In [26], the full-duplex DF relay system in the general fading channel was studied, the ergodic outage probability was analyzed.
1.2. Motivation and Contributions
The relay system based on the DF protocol is a low-cost technology, which expands the coverage and resists channel fading in the current and future environment. Channel models are important for wireless communication to evaluate system performance in 6G [27,28]. Reference [27] gave the channel model for an IRS-assisted MIMO system. Reference [28] studied the channel models of 6G and analyzed their characteristics. The MIMO system can effectively improve spectrum efficiency and energy efficiency. The Rayleigh channel model can also provide power distribution information. In this paper, based on the related work on EH, the EH relay system both in half-duplex and full-duplex mode in the Rayleigh fading channel is established, and we analyze the performance considering the outage probability and system capacity. The main contributions are as follows:
- The EH relay system in the Rayleigh fading channel is given. We assume the relay works in the DF protocol. Specifically, the energy of the relay node is only obtained from energy harvesting. The power splitting method is used to harvest energy at the relay side, the information received at the relay is used for transmitting and harvesting energy by adjusting the PS factor. In half-duplex mode, it uses two time slots. The relay processes information and harvests energy in one time slot and sends information to the receiver in the other time slot. In full-duplex mode, the relay finishes the information processing and energy harvesting synchronously.
- According to the channel characteristics of the Rayleigh fading channel, we obtain the outage probability and capacity expressions under the half-duplex and full-duplex EH relay system with the DF protocol.
- We analyze the performance of the full-duplex relay scheme and half-duplex relay scheme be simulation examples, and better system performance is achieved in the full-duplex relay scheme.
1.3. Organization
The rest of this paper is organized as follows: In Section 2, we present the detailed architecture of the half-duplex and full-duplex system models. In Section 3, the outage probability and system capacity based on the PS method in DF mode are derived. Section 4 provides the materials and methods used in our simulation. The simulation results are given in Section 5. The discussion is presented in Section 6. Section 7 gives the conclusions. In Appendix A and Appendix B, we give the proof of the outage probability formulas in the half-duplex and full-duplex models.
2. System Model
Considering a wireless relay system, a relay node is between the source and the destination. The source and the destination are not linked directly. The relay node operates according to the DF protocol over the Rayleigh fading channel. and are the channel gain from the source to the relay and from the relay to the destination. The relay node obtains energy totally by energy harvesting from the signal received. In addition, assuming that the source node sends information with power , is the SNR threshold. is the signal from the source. Let us assume , and is the additive noise at the relay side, while is the additive noise introduced during information processing. is the additive noise at the destination node. The signal received at the relay node is divided into two parts for information and energy. is the proportion. is for information transmission, and is for energy harvesting, where . is the conversion coefficient of energy, .
2.1. Half-Duplex Model
In the half-duplex EH relay system, as shown in Figure 1, the source transmit power is . The relay R fully decodes the signal received and harvests energy for its power, then transmits to the target node with power in the second time slot.
Figure 1.
Half-duplex EH system.
2.2. Full-Duplex Model
As shown in Figure 2, in the full-duplex EH relay system, the source transmit power is . The relay R can fully forward the received signal while energy harvesting with power to the target node. denotes the residual interference. The loopback interference is suppressed by self-interference cancellation at relay R.
Figure 2.
Full-duplex EH system.
3. Outage Probability and Capacity
3.1. Outage Probability and Capacity of Half-Duplex Relay
As shown in Figure 3, T represents the length of two time slots, and we set . At relay R, the signals received in the first time slot are split into and . The energy harvested is totally used for information forwarding with power in the second time slot .
Figure 3.
Half-duplex EH relaying.
The information received from the source at relay R is
Using the power splitting method, is divided into two parts, and . is used to harvest energy as follows:
By replacing in (2), is
is used for the information transmission.
By replacing in (2) and setting , . can be written as
According to , the energy harvested at relay R is
Based on energy harvesting, relay R uses its power supply to transmit information, and the transmit power is
Here, we assumed that relay R can successfully decode and encode the signal without errors, and is the signal forwarded by the relay node R. The signal received at destination D can be expressed as
Replacing , is rewritten as
Thus, the SNR at relay node R is
The SNR at destination D is
In DF mode, the half-duplex capacity of the system is
where and are the capacity at the relay R and the destination node D.
Through equivalent transformation, the capacity of the system can be expressed as
Due to being the SNR interruption threshold, so the interruption capacity is
The outage probability of the half-duplex DF system is
Through equivalent transformation, we can obtain that
We set , , so the outage probability is
we set , , .
Lemma 1.
The outage probability of half-duplex can be obtained as
The proof is given in Appendix A.
3.2. Outage Probability and Capacity of Full-Duplex Relay
The full-duplex relay is depicted in Figure 4. The source transmit power is represented by , and the signal is sent to relay R. The relay R receives signals from source S and itself. is the residual interference channel gain by suppressing self-interference. Relay R has to harvest energy as its power supply. It obtains energy using the power splitting method. denotes the transmit power of relay R. The relay R decodes the signal while harvesting energy and forwards it to the destination with power at the same time slot.
Figure 4.
Full-duplex EH relaying.
represents the signal received at the relay node. It is divided into two parts by PS factor . is the signal for the information part, and is used for energy harvesting.
The signal for the information part is
The signal for the energy harvesting part is
According to , the energy harvested at the relay node is
Therefore, the transmit power of relay node is
is the transmit signal of the relay node. The signal received at the destination can be written as
Substituting (24) in (25), is
Thus, the SNR at the relay node is
The SNR at the destination node is
The capacity of the relay node is
The capacity of the destination node is
The interruption capacity is
In full-duplex mode, the capacity of the system is
Through equivalent transformation, we obtain
In full-duplex mode, the outage probability is
We set . .
, .
Lemma 2.
The full-duplex outage probability can be expressed as:
The proof is given in Appendix B.
4. Materials and Methods
Our system works with the DF protocol in the Rayleigh fading channel with one relay between the source and destination nodes. The relay receives signals from the source node, harvests energy, and sends information to the destination in half-duplex with two time slots. In full-duplex, the relay receives signals from the source node and itself because of self-interference, harvests energy, and sends the information processed to the destination simultaneously. We obtain the formula of the outage probability and capacity. The capacity and outage probability are compared in half-duplex with different PS factors and source transmit SNRs. In full-duplex, we compared the capacity with the PS factor and residual interference. The capacity in half-duplex and full-duplex is compared with different PS factors. The capacity and the outage probability curves are plotted as the variables change. We analyzed the performance of the EH relay system through simulation.
In our simulation, the SNR of the source changed from 5 db to 25 db, and the energy efficiency was 90%, while the SNR threshold was 5 db. The detailed parameters are shown in Table 1. is variable, and it is in (0, 1); we chose the value of from 0.001 to 0.8. The remaining interference changes from −85 db to −15 db. The change of outage probability and capacity with parameters and and the transmit SNR was analyzed.
Table 1.
Parameters used in simulation.
5. Results
As shown in Figure 5, we first obtained the capacity of the half-duplex relay system under different PS factors and different transmit SNRs. Through the comparison, it was found that, under different PS factors and different transmit SNRs, the capacity curve changed gently. With the same PS factor, the larger the transmit SNR is, the larger the capacity is. With the same transmit SNR, the smaller the PS factor is, the larger the capacity is. With the increase of the transmit SNR, the capacity increased significantly, but with the increase of the PS factor, the capacity of the system decreased. When the PS factor is small, the signal is mainly used for energy harvesting.
Figure 5.
Capacity comparison of half-duplex with different SNRs.
Then, we compared the capacity changes in the half-duplex system under different PS factors. As shown in Figure 6, obviously, when the transmit SNR increases, more capacity is achieved. When is small, such as 0.001 or 0.01, the capacity is greater and more energy is harvested.
Figure 6.
Capacitycomparison of half-duplex with different PS factors.
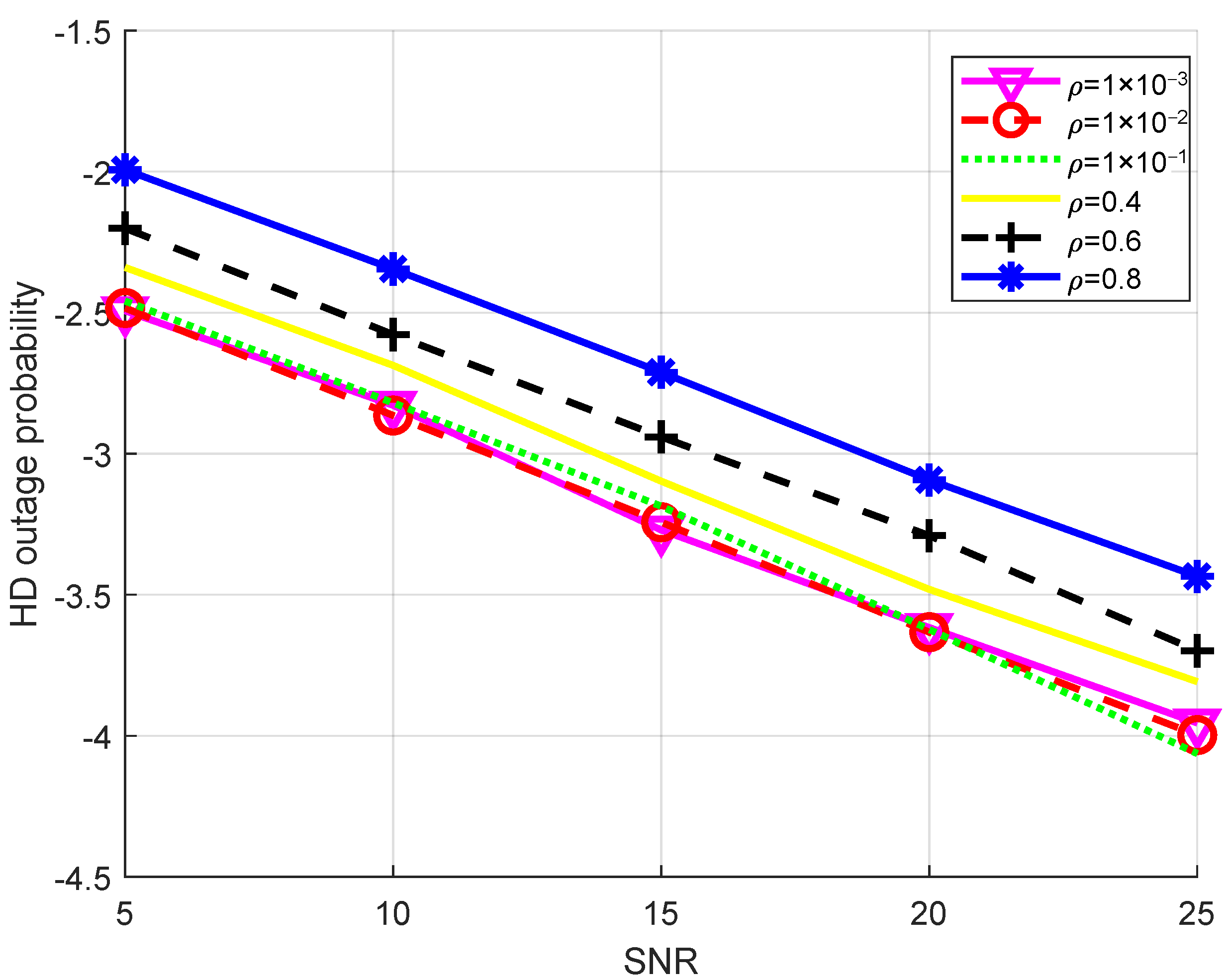
The comparison of the outage probability in the half-duplex system is presented in Figure 7. When the PS factor is 0.001 to 0.1, the outage probability curves are close. With the increase of the SNR, the outage probability decreases, because when the transmit SNR increases, more capacity is obtained.
Figure 7.
Half -duplex outage probability comparison.
At the same time, we assumed that the distance between the source node and destination node was 1. We compared the capacity of the half-duplex system when the direct distance d between the relay node and source node changes, as we can see in Figure 8. We found that the smaller the PS factor, the closer the relay node to destination node, and the higher the capacity achieved.
Figure 8.
Capacity comparison of half-duplex with different distances.
In Figure 9, in half-duplex DF mode, the relay node is closer to the destination, and a lower outage probability is achieved. When the PS factor is smaller, more energy is harvested and the capacity is greater, so a lower outage probability is achieved.
Figure 9.
Half-duplex outage probability comparison with different distances.
Then, the remaining interference changes from −85 db to −15 db, and the source transmit power is 1 db. We obtain the capacity in the full-duplex system. As shown in Figure 10, we found that is smaller than db, and the capacity stays the same. When increases, the capacity monotonically decreases. The interference affects the SNR of the system, and the system performance degrades. When the PS factor is small, more energy is harvested and more capacity is achieved.
Figure 10.
Capacity comparison of full-duplex with PS factor.
As shown in Figure 11, we found that in the full-duplex DF system, the outage probability decreases with the increase of the PS factor and residual interference. This is consistent with the change of the system capacity curve.
Figure 11.
Full-duplex outage probability comparison with PS factor.
As shown in Figure 12, we compared the capacity in the half-duplex and full-duplex DF systems. With the same parameter and transmit SNR, the capacity in the full-duplex system is greater than in the half-duplex system. Obviously, the performance of the fullduplex system is better than the half-duplex system. Though a residual interference exists, the full-duplex relay reduces the time slot and improves the spectral efficiency.
Figure 12.
Half-duplex and full-duplex capacity comparison.
6. Discussion
Through the simulations, we found that in the half-duplex relay system, the outage probability decreased with the decrease of the PS factor and the increase of the source transmit SNR. This means that with a small PS factor and high transmit SNR, more energy is harvested, which improves the SNR at the relay side and the destination node, so more capacity is achieved. When the relay node is close to the destination node, the capacity increases. In the full-duplex system, when the residual interference and PS factor decrease, the system capacity increases. When the residual interference is smaller, the influence of self-interference on the system is smaller, and more energy is harvested with a smaller PS factor, which improves the performance of the system. When the residual interference increases, the interference of self-interference in the system also increases, the PS factor used for information processing also increases, and the energy harvested decreases. Therefore, with the increase of the interference, the performance decays fast with a smaller PS factor. When the residual interference is less than db, the capacity of the system changes gently; when the residual interference is more than db, the capacity monotonically decreases. We found that more capacity was obtained in the full-duplex system than in the half-duplex system due to only one time slot being used.
7. Conclusions
In this paper, we investigated EH relaying designs using the PS method in unidirectional DF half-duplex and full-duplex relay systems. The relay was considered as the EH relay to harvest energy from the signal as its power supply. Specifically, we obtained a formula for the outage probability and capacity of the EH relay systems. Simulation results showed the system performance. Both in the half-duplex and full-duplex DF relay systems, when the PS factor was small, the relay harvested more energy. When the source transmit SNR was higher, more capacity was achieved. The performance of the full-duplex system was better. Though residual interference existed, the full-duplex relay reduced the time slot and improved the performance. As 6G is to achieve higher and more comprehensive performance, cluster-based EH relaying in the 6G channel model will be the research interests.
Author Contributions
Conceptualization, H.S.; methodology, H.S. and F.H.; software, H.S.; validation, F.H.; formal analysis, H.S. and F.H.; investigation, H.S.; resources, H.S.; data curation, F.H.; writing—original draft preparation, H.S.; writing—review and editing, F.H.; visualization, F.H.; supervision, S.Z. and H.D. All authors have read and agreed to the published version of the manuscript.
Funding
This work was supported in part by the National Key Research and Development Project under Grant 2019YFB2102300, in part by the National Natural Science Foundation of China under Grant 61936014, in part by Shanghai Municipal Science and Technology Major Project No. 2021SHZDZX0100, in part by Natural Science Foundation of Shanghai under Grant 22ZR1463400, in part by Shanghai Sailing Program under Grant 21YF1450100 and in part by Fundamental Research Funds for the Central Universities.
Institutional Review Board Statement
Not applicable.
Informed Consent Statement
Not applicable.
Data Availability Statement
Data were randomly generated when we ran the program.
Acknowledgments
Thanks to editors and reviewers for giving us many comments and suggestions, which helped us improve the quality and presentation of our manuscript.
Conflicts of Interest
The authors declare no conflict of interest.
Abbreviations
The following abbreviations are used in this manuscript:
| V2V | Vehicle-to-vehicle |
| UAV | Unmanned aerial vehicle |
| EH | Energy harvesting |
| SWIPT | Simultaneous wireless information and power transfer |
| MIMO | Multiple-input multiple-output |
| SNR | Signal-to-noise ratio |
| DF | Decode-and-forward |
| AF | Amplify-and-forward |
| PS | Power splitting |
| TS | Time switching |
| CSI | Channel state information |
| IRS | Intelligent reflecting surface |
| IoT | Internet of Things |
Appendix A
We assumed the system works in the Rayleigh fading channel. We set , . Obviously, W and Z are independent. The square of the channel gain is a power exponential distribution, and the cumulative distribution function of W is
The probability density function of W is
The cumulative distribution function of Z is
The probability density function of W is
Proof of Lemma 1.
The outage probability of the half-duplex DF system is
Through equivalent transformation, we obtain:
We set , :
We set , so
We set ; we can obtain
and set , so
Furthermore, we set , , and we can deduce that
Therefore, the outage probability of half-duplex can be obtained as
□
Appendix B
Proof of Lemma 2.
, .
We can obtain that
This can be written as
Finally, the outage probability is
□
References
- Lee, Y.L.; Qin, D.; Wang, L.-C.; Sim, G.H. 6G massive radio access networks: Key applications, requirements and challenges. IEEE Open J. Veh. Technol. 2021, 2, 54–66. [Google Scholar] [CrossRef]
- Jiang, H.; Xiong, B.; Zhang, Z.; Zhang, J.; Zhang, H.; Dang, J.; Wu, L. Novel statistical wideband mimo v2v channel modeling using unitary matrix transformation algorithm. IEEE Trans. Wirel. Commun. 2021, 20, 4947–4961. [Google Scholar] [CrossRef]
- Zhang, H.; Hanzo, L. Federated learning assisted multi-uav networks. IEEE Trans. Veh. Technol. 2020, 69, 14104–14109. [Google Scholar] [CrossRef]
- Jiang, H.; Zhang, Z.; Wang, C.X.; Zhang, J.; Zhang, H. A novel 3d uav channel model for a2g communication environments using aod and aoa estimation algorithms. IEEE Trans. Commun. 2020, 68, 7232–7246. [Google Scholar] [CrossRef]
- Chih-Lin, I.; Han, S.; Bian, S. Energy-efficient 5g for a greener future. Nat. Electron. 2020, 3, 182–184. [Google Scholar]
- Buzzi, S.; Chih-Lin, I.; Klein, T.E.; Poor, H.V.; Yang, C.; Zappone, A. A survey of energy-efficient techniques for 5g networks and challenges ahead. IEEE J. Sel. Areas Commun. 2016, 34, 697–709. [Google Scholar] [CrossRef] [Green Version]
- Mao, B.; Tang, F.; Kawamoto, Y.; Kato, N. Ai models for green communications towards 6G. IEEE Commun. Surv. Tutor. 2021, 24, 210–247. [Google Scholar] [CrossRef]
- Beeby, S.P.; Torah, R.N.; Tudor, M.J.; Glynnejones, P.; O’Donnell, T.; Saha, C.R.; Roy, S. A micro electromagnetic generator for vibration energy harvesting. J. Micromech. Microeng. 2007, 17, 1257–1265. [Google Scholar] [CrossRef]
- Bhatt, K.; Kumar, S.; Wason, A.; Tripathi, C.C. Energy harvesting technologies: In the horizon of solar energy. In Proceedings of the International Conference on ’Efficient Solar Power Generation and Energy Harvesting, Noida, India, 12–14 February 2019. [Google Scholar]
- Varshney, L.R. Transporting information and energy simultaneously. In Proceedings of the 2008 IEEE International Symposium on Information Theory, Toronto, ON, Canada, 6–11 July 2008; pp. 1612–1616. [Google Scholar]
- Zhang, R.; Ho, C.K. Mimo broadcasting for simultaneous wireless information and power transfer. IEEE Trans. Wirel. Commun. 2013, 12, 1989–2001. [Google Scholar] [CrossRef] [Green Version]
- Nasir, A.A.; Zhou, X.; Durrani, S.; Kennedy, R.A. Relaying protocols for wireless energy harvesting and information processing. IEEE Trans. Wirel. Commun. 2013, 12, 3622–3636. [Google Scholar] [CrossRef] [Green Version]
- Ding, Z.; Perlaza, S.M.; Esnaola, I.; Poor, H.V. Power allocation strategies in energy harvesting wireless cooperative networks. IEEE Trans. Wirel. Commun. 2014, 13, 846–860. [Google Scholar] [CrossRef] [Green Version]
- Nasir, A.A.; Zhou, X.; Durrani, S.; Kennedy, R.A. Throughput and ergodic capacity of wireless energy harvesting based df relaying network. In Proceedings of the IEEE International Conference on Communications, Sydney, Australia, 10–14 June 2014. [Google Scholar]
- Huang, G.; Zhang, Q.; Qin, J. Joint time switching and power allocation for multicarrier decode-and-forward relay networks with swipt. IEEE Signal Process. Lett. 2015, 22, 2284–2288. [Google Scholar] [CrossRef]
- Mao, M.; Cao, N.; Chen, Y.; Zhou, Y. Multi-hop relaying using energy harvesting. IEEE Wirel. Commun. Lett. 2015, 4, 565–568. [Google Scholar] [CrossRef] [Green Version]
- Atapattu, S.; Evans, J. Optimal energy harvesting protocols for wireless relay networks. IEEE Trans. Wirel. Commun. 2016, 15, 5789–5803. [Google Scholar] [CrossRef]
- Zhang, H.; Yang, L.L.; Hanzo, L. Compressed sensing improves the performance of subcarrier index-modulation-assisted ofdm. IEEE Access 2016, 4, 7859–7873. [Google Scholar] [CrossRef]
- Li, X.; Xie, Z.; Chu, Z.; Menon, V.G.; Mumtaz, S.; Zhang, J. Exploiting benefits of irs in wireless powered noma networks. IEEE Trans. Green Commun. Netw. 2022, 6, 175–186. [Google Scholar] [CrossRef]
- Duarte, M.; Sabharwal, A. Full-duplex wireless communications using off-the-shelf radios: Feasibility and first results. In Proceedings of the 2010 Conference Record of the Forty Fourth Asilomar Conference on Signals, Systems and Computers, Pacific Grove, CA, USA, 7–10 November 2010. [Google Scholar]
- Li, S.; Murch, R.D. An investigation into baseband techniques for single-channel full-duplex wireless communication systems. IEEE Trans. Wirel. Commun. 2014, 13, 4794–4806. [Google Scholar] [CrossRef]
- Duarte, M.; Dick, C.; Sabharwal, A. Experiment-driven characterization of full-duplex wireless systems. IEEE Trans. Wirel. Commun. 2012, 11, 4296–4307. [Google Scholar] [CrossRef] [Green Version]
- Wang, D.; Zhang, R.; Cheng, X.; Yang, L. Capacity-enhancing full-duplex relay networks based on power-splitting (ps-)swipt. IEEE Trans. Veh. Technol. 2017, 66, 5445–5450. [Google Scholar] [CrossRef]
- Sharma, P.K.; Garg, P. Performance analysis of full-duplex decode-and-forward cooperative relaying over nakagami-m fading channels. Eur. Trans. Telecommun. 2014, 25, 905–913. [Google Scholar]
- Rabie, K.M.; Adebisi, B.; Surname, M.S. Half-duplex and full-duplex af and df relaying with energy-harvesting in log-normal fading. IEEE Trans. Green Commun. Netw. 2017, 1, 468–480. [Google Scholar] [CrossRef] [Green Version]
- Rabie, K.; Adebisi, B.; Nauryzbayev, G.; Badarneh, O.S.; Li, X.; Alouini, M.S. Full-duplex energy-harvesting enabled relay networks in generalized fading channels. IEEE Wirel. Commun. Lett. 2018, 8, 384–387. [Google Scholar] [CrossRef] [Green Version]
- Jiang, H.; Ruan, C.; Zhang, Z.; Dang, J.; Wu, L.; Mukherjee, M.; da Costa, D.B. A general wideband non-stationary stochastic channel model for intelligent reflecting surface-assisted mimo communications. IEEE Trans. Wirel. Commun. 2021, 20, 5314–5328. [Google Scholar] [CrossRef]
- Jiang, H.; Mukherjee, M.; Zhou, J.; Lloret, J. Channel modeling and characteristics for 6G wireless communications. IEEE Netw. 2021, 35, 296–303. [Google Scholar] [CrossRef]
Publisher’s Note: MDPI stays neutral with regard to jurisdictional claims in published maps and institutional affiliations. |
© 2022 by the authors. Licensee MDPI, Basel, Switzerland. This article is an open access article distributed under the terms and conditions of the Creative Commons Attribution (CC BY) license (https://creativecommons.org/licenses/by/4.0/).











