Research on New Drilling Downlink Communication Based on Anisotropic Magnetoresistive Technology
Abstract
:1. Introduction
2. Downlink Communication and Modeling of Information While Drilling Based on Anisotropic Magnetoresistance Detection
- Drill string belongs to the metal conductor, its conduction current is much greater than the displacement current, the displacement current can be ignored
- The conductivity of electrode and drill string is much higher than that of rock soil and drilling fluid. The surface is approximately equal potential, which conforms to the boundary conditions of the electrostatic field
- The medium in the rock, and soil layer remains unchanged
- The magnetoresistance sensor is close to the drill string
- Because the drill string is usually several thousand meters long, the drill string is approximately regarded as a thin line
- The carrier signal with the communication frequency not higher than 30 kHz can be regarded as the direct current (DC) power supply.
2.1. Mathematical Model of Downhole Drill String Current Distribution
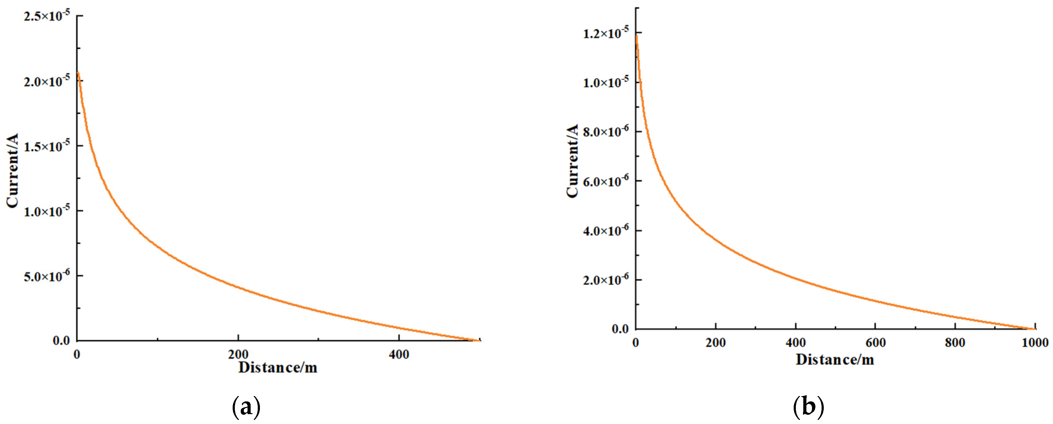
2.2. Mathematical Model of Magnetic Field Distribution around Downhole Drill String
3. Experimental Work
3.1. Design of Information Downlink Communication System While Drilling Based on Anisotropic Magnetoresistance Detection
3.2. Construction of Experimental Platform
3.3. Experimental Design
4. Experimental Test and Analysis
4.1. Overall Test and Analysis of the System
4.2. Test and Analysis of the Factors Affecting the Quality of Download
4.2.1. Test under Different Transmitting Voltage
4.2.2. Measurement under Different Distances(d) between Electrodes
4.2.3. Test at Different Temperatures
5. Conclusions
- In order to study the structure of the underground wireless communication system, the system structure model is established; at the same time, the current distribution model and magnetic field distribution model of different positions of downhole power drill string are established based on the anisotropic magnetoresistance detection principle and downhole electric current field theory. The design of the laboratory prototype of the downlink communication system based on anisotropic magnetoresistance is realized
- To verify the feasibility of the proposed information downlink communication technology while drilling, a ground experimental platform simulating the downhole communication state is built, and the principle prototype is tested. The test results show that when the communication distance is 9 cm and the data transmission rate is 1 kbps, the maximum BER of the simulation system based on anisotropic magnetoresistance detection is
- For the purpose of further analyzing the influence factors of downlink communication quality, the emission voltage, the distance between electrodes, and the working temperature are tested and analyzed. The experimental data show that the transmission voltage and the temperature of the test environment have great impacts on the experimental BER, which provides a reference for further reducing the BER and ideas for optimizing the technology of downlink information communication while drilling
- Although the system has completed the theoretical research and realized the small-scale model verification, it is still in the laboratory application stage and has certain limitations, such as: no study on the effect of rock properties. In the future work, the in-situ verification experiment of complex downhole conditions will be carried out to further enhance its application value.
Author Contributions
Funding
Institutional Review Board Statement
Informed Consent Statement
Data Availability Statement
Conflicts of Interest
References
- Maciej, M. Energy Security in Danger? A Comparative Analysis of Oil and Copper Supply. Energies 2022, 15, 560. [Google Scholar]
- Kostarev, S.N.; Sereda, T.G. Development of software and hardware models of monitoring, control, and data transfer to improve safety of downhole motor during drilling. In Proceedings of the International Conference on Innovations and Prospects of Development of Mining Machinery and Electrical Engineering (IPDME), Saint Petersburg, Russia, 23–25 March 2017. [Google Scholar]
- Dang, R.R.; Yin, G.; Gao, G.W.; Lu, L. Development of downlink communication system for steerable drilling application. Procedia Eng. 2011, 24, 319–323. [Google Scholar]
- Vodrazka, J. Potential of communication cables in industry for gigabit transmission rates. In Proceedings of the International Conference on Information and Digital Technologies, Zilina, Slovakia, 7–9 July 2015. [Google Scholar]
- Du, C.; Zhang, F.; Ma, S.; Tang, Y.X.; Li, H.; Wang, H.M.; Li, S.Y. Secure transmission for downlink NOMA visible light communication networks. IEEE Access 2019, 7, 65332–65341. [Google Scholar] [CrossRef]
- Hu, Z.; Xie, X.H.; Ge, L.; Xu, H.; Gu, S.C. The research on the establishment and simulation of intelligent drill string cables based on nonuniform transmission line theory. J. Residuals Sci. Technol. 2017, 14, 31–40. [Google Scholar]
- Su, Y.; Qi, X.; Liu, Y.; Zhang, J.G. Electromagnetic measurement while drilling technology based on the carrier communication principle. Pet. Explor. Dev. 2013, 40, 242–248. [Google Scholar] [CrossRef]
- Gao, L.; Gardner, W.; Robbins, C. Limits on data communication along the drill string using acoustic waves. SPE Reserv. Eval. Eng. 2008, 11, 141–146. [Google Scholar] [CrossRef]
- Zhao, J.B.; Chen, R.M.; Li, X.J. Research on Bottom Hole Data Transmission Technology. Digit. Technol. Appl. 2015, 2, 33–34. [Google Scholar]
- Berro, M.J.; Reic, M. Laboratory investigations of a hybrid mud pulse telemetry (HMPT)–A new approach for speeding up the transmitting of MWD/LWD data in deep boreholes. J. Pet. Sci. Eng. 2019, 183, 106374. [Google Scholar] [CrossRef]
- Xue, M.Q.; Rong, L.L. Analysis on the application status and prospect of LWD data transmission technology. Chem. Enterp. Manag. 2019, 24, 87–88. [Google Scholar]
- Yue, S.; Yinao, S.; Gensheng, L.; Lin, L.; Shouceng, T. Transmission characteristics of DPSK mud pressure signals in a straight well. Pet. Sci. Technol. 2011, 12, 1249–1256. [Google Scholar] [CrossRef]
- Liu, Q.Y.; Zhang, A.Q.; Li, W. Application and development of RFID technology in downhole tools. Oil Field Mach. 2015, 44, 61–66. [Google Scholar]
- Ma, D.; Shi, Y.B.; Zhang, W.; Liu, G.Z. Performance analysis of V-OFDM for acoustic communication along drill strings. IET Commun. 2017, 11, 576–583. [Google Scholar] [CrossRef]
- Ge, L.; He, Y.; Tian, G.Y.; Wei, G.H.; Ahmed, J.; Deng, H.X.; Huang, Q. Measurement of annular flow for drilling engineering by electromagnetic flowmeter based on double-frequency excitation. J. Sens. 2019, 2019, 4090632. [Google Scholar] [CrossRef] [Green Version]
- Salem, S.I.; Schultz, C.W.; Rabbani, B.A.; Tsutsui, R.T. Splitting of the 4d3/2 and 4d5/2 levels in rare-earth elements. Phys. Revie Lett. 1971, 27, 477–478. [Google Scholar] [CrossRef]
- Kim, C.W.; Lee, E.; Syed, N.A.A. Channel characterization for underwater electric conduction communications systems. In Proceedings of the OCEANS 2010 MTS/IEEE SEATTLE, Seattle, WA, USA, 20–23 September 2010; pp. 1–6. [Google Scholar] [CrossRef]
- Xiang, X.; Luo, Y.; Yi, K.C.; Zhang, Z.L.; Tian, H.X.; Wang, J.K. Communication channel analysis of penetrating underground current Field in rock formation. Coal Field Geol. Explor. 2005, 33, 77–79. [Google Scholar]
- Yang, T.H.; Yi, K.C.; Tia, H.X. Weak signal acquisition algorithm for ground-through wireless communication. Signal Process. 2017, 33, 978–984. [Google Scholar]
- Ge, L.; Chen, J.X.; Tian, G.Y.; Zeng, W.; Huang, Q.; Hu, Z. Study on a new electromagnetic flow measurement technology based on differential correlation detection. Sensors 2020, 20, 2489. [Google Scholar] [CrossRef]
- Nibir, S.J.; Parkhideh, B. Magnetoresistor with planar magnetic concentrator as wideband contactless current sensor for power electronics applications. IEEE Trans. Ind. Electron. 2018, 65, 2766–2774. [Google Scholar] [CrossRef]
- Quynh, L.K.; Tu, B.D.; Anh, C.V.; Duc, N.H.; Phung, A.T.; Dung, T.T.; Giang, D.H. Design optimization of an anisotropic magnetoresistance sensor for detection of magnetic nanoparticles. J. Electron. Mater. 2019, 48, 997–1004. [Google Scholar] [CrossRef]
- Mlejnek, P.; Vopalensky, M.; Ripka, P. AMR current measurement device. Sens. Actuators A Phys. 2008, 141, 649–653. [Google Scholar] [CrossRef]
- Díaz-Michelena, M.; Cobos, P.; Aroca, C. Lock-in amplifiers for AMR sensors. Sens. Actuators A Phys. 2015, 222, 149–159. [Google Scholar] [CrossRef] [Green Version]
- Ge, L.; Deng, H.X.; Wang, Q.; Hu, Z.; Li, J.L. Study of the influence of temperature on the measurement accuracy of transit-time ultrasonic flowmeters. Sens. Rev. 2019, 39, 269–276. [Google Scholar] [CrossRef]
- Grcev, L.; Popov, M. On high-frequency circuit equivalents of a vertical ground rod. IEEE Trans. Power Deliv. 2005, 20, 1598–1603. [Google Scholar] [CrossRef] [Green Version]
- Bataller, V.; Muñoz, A.; Gaudó, P.M.; Mediano, A.J.; Cuchí, A.; Villarroel, J.L. Earth impedance model for through-the-earth communication applications with electrodes. Radio Sci. 2010, 45, RS6015. [Google Scholar] [CrossRef]
- Ralchenko, M.; Roper, M.; Samson, C.; Svilans, M. Near-field VLF electromagnetic signal propagation in multistory buildings. IEEE Trans. Antennas Propag. 2017, 66, 848–856. [Google Scholar] [CrossRef]
- Dias, C.A. Developments in a model describe low-frequency electrical polarization of rocks. Geophysics 2000, 65, 437–451. [Google Scholar] [CrossRef]














Publisher’s Note: MDPI stays neutral with regard to jurisdictional claims in published maps and institutional affiliations. |
© 2022 by the authors. Licensee MDPI, Basel, Switzerland. This article is an open access article distributed under the terms and conditions of the Creative Commons Attribution (CC BY) license (https://creativecommons.org/licenses/by/4.0/).
Share and Cite
Ge, L.; Zhang, L.; Li, H.; Xiao, X.; He, Y.; Yang, C. Research on New Drilling Downlink Communication Based on Anisotropic Magnetoresistive Technology. Energies 2022, 15, 4358. https://doi.org/10.3390/en15124358
Ge L, Zhang L, Li H, Xiao X, He Y, Yang C. Research on New Drilling Downlink Communication Based on Anisotropic Magnetoresistive Technology. Energies. 2022; 15(12):4358. https://doi.org/10.3390/en15124358
Chicago/Turabian StyleGe, Liang, Le Zhang, Hao Li, Xiaoting Xiao, Yang He, and Caixia Yang. 2022. "Research on New Drilling Downlink Communication Based on Anisotropic Magnetoresistive Technology" Energies 15, no. 12: 4358. https://doi.org/10.3390/en15124358
APA StyleGe, L., Zhang, L., Li, H., Xiao, X., He, Y., & Yang, C. (2022). Research on New Drilling Downlink Communication Based on Anisotropic Magnetoresistive Technology. Energies, 15(12), 4358. https://doi.org/10.3390/en15124358

