Next Article in Journal
Carbon Capture Utilisation and Storage Technology Development in a Region with High CO2 Emissions and Low Storage Potential—A Case Study of Upper Silesia in Poland
Next Article in Special Issue
Seasonal Performance Evaluation of Air-Based Solar Photovoltaic/Thermal Hybrid System
Previous Article in Journal
Energy Assessment of the Thermal Bridging Effects on Different Structural Envelope Types Using Mixed-Equivalent-Wall Method
Previous Article in Special Issue
Low and Ultra-Low Temperature District Heating Equipped by Heat Pumps—An Analysis of the Best Operative Conditions for a Swiss Case Study
 
 
Font Type:
Arial Georgia Verdana
Font Size:
Aa Aa Aa
Line Spacing:
Column Width:
Background:
Review

Global Research Trends on Building Indoor Environmental Quality Modelling and Indexing Systems—A Scientometric Review

1
School of Engineering and Built Environment, Griffith University, Southport, QLD 4222, Australia
2
Cities Research Institute, Griffith University, Southport, QLD 4222, Australia
*
Author to whom correspondence should be addressed.
Energies 2022, 15(12), 4494; https://doi.org/10.3390/en15124494
Submission received: 25 May 2022 / Revised: 15 June 2022 / Accepted: 16 June 2022 / Published: 20 June 2022
(This article belongs to the Special Issue Energy Performance, Management and Recovery in Buildings)

Abstract

:
The purpose of this study is to provide a holistic review of two decades of research advancement in the indoor environmental quality modelling and indexing field (IEQMI) using bibliometric analysis methods. The explicit objectives of the present study are: (1) identifying researchers, institutions, countries (territories), and journals with the most influence in the IEQMI topic; (2) investigating the hot topics in the IEQMI field; and (3) thematically analysing the keyword evolution in the IEQMI field. A scientometric review was conducted using the bibliometric data of 456 IEQMI research articles published in the past two decades. VOSviewer software was employed for bibliometric analysis, and the SciMAT tool was used to investigate the keywords’ thematic evolution in three sub-periods (2004–2009; 2010–2015; 2016–2021). Results show that there is a continuous increment in the number of published papers in the field of IEQMI, and 60 out of 193 countries in the world have been involved in IEQMI studies. The IEQMI research mainly focuses on: (a) thermal comfort and energy efficiency; (b) occupant satisfaction and comfort; (c) IAQ and health issues; (d) methods and procedures. This field has undergone significant evolution. While ‘indoor environmental quality was initially the only theme in the first period’, ‘occupant satisfaction’, ‘buildings’, ‘impact’, ‘building information modelling’, and ‘health’ were added as the main thematic areas in the second period; ‘occupant behaviour’ and ‘energy’ were novel themes in IEQMI studies receiving much attention in the third period.

Graphical Abstract

1. Introduction

Although most human lives are spent indoors [1], the concept of indoor environmental quality (IEQ) is relatively new. IEQ concerns the performance of buildings from the occupants’ perspective and includes but is not limited to thermal comfort, indoor air quality (IAQ), lighting, and acoustics [2]. Previous studies have revealed that improving the indoor environment comes with financial benefits, including productivity improvement [3] and lower energy consumption [4]. A massive amount of current business expenses is related to employees’ salaries. Based on the Property Council of Australia report, a 1% increase in office productivity is equal to the entire building’s energy cost [4].
Assessing buildings’ IEQ performance demands a summative index, generally a numerical score or rating, that combines the building performance in various IEQ aspects and provides a numerical gauging summary of the discrete IEQ factor performance data [5]. This is commonly called the ‘IEQ model’. The research that defines an IEQ model can be traced back to the 1990s. As of 2000, a comprehensive IEQ assessment started with the energy performance, indoor air quality, and retrofit (EPIQR) project in Europe with long-term measurement [6] and surveys [7].
Given the vital role IEQ plays in influencing occupant health, comfort, and productivity, the IEQ research area has been gaining popularity in recent decades. Multiple literature review papers have been published to synthesise current knowledge. The focus of some review papers was the influence of the indoor environment on occupants’ health and well-being [8,9], productivity [10], or comfort [11,12].
Different research groups around the world are researching on IEQ issues [13,14]. In the past two decades, IEQ factors were mostly reviewed separately. Thermal comfort [15,16,17,18] and IAQ [19,20,21,22] received more attention than visual comfort [23,24,25] and acoustic comfort [26,27,28].
Reviewing recent building control and thermal comfort studies, Park and Nagy [15] mentioned that building control systems concentrate mainly on saving energy rather than incorporating thermal comfort requirements. Enescu [16] discussed thermal comfort models developed to select strategies for controlling indoor environments. The parameters and characteristics of thermal comfort models were reviewed based on fuzzy controllers, auto-regressive variants, artificial neural networks, and hybrid models.
Sundell et al.’s [21] literature review denoted low ventilation rate in buildings as one of the causes of building-related sicknesses. Sick building syndrome (SBS) symptoms are reduced in offices with higher ventilation rates up to about 25 L/s per occupant. Tham [19] found that airborne infection, indoor chemistry, and their impacts on occupant performance were emerging topics in IAQ. The study by Todorovic and Kim [24] examined the performance prediction and validation of healthy building daylighting dynamic control. They introduced control of windows’ transmittance based on the solar radiation wavelength as a solution for optimising daylight and energy efficiency in buildings. Aries et al. [23] found a statistically significant relationship between sunlight and health consequences. On the other hand, Reinten [28] mentioned that it is essential to distinguish between the effects of sound on occupant performance and the effects of space acoustics on the sound environment. If the distinction is not made, the role of room acoustics will be overestimated.
While these critical reviews have advanced knowledge in the IEQ sector, they mainly focused on specific aspects of IEQ and lacked a holistic view or a ‘big picture’ of IEQ research. They were also mainly based on individual authors’ or research groups’ judgment [29], therefore one could not examine the network between scholars, regions, keywords, and articles [30].
One of the main reasons for the lack of a holistic literature review of IEQ modelling and indexing (IEQMI) is the rapid research growth in this topic. Fast-paced development in this field has outstripped the opportunity to include multiple facets of IEQMI in one manual review paper. A scientometric analysis can address the previous reviews’ fundamental limitations. Statistical analysis and interpretation of the relationships among scientific papers on a particular topic are the basis of a scientometric review. Statistical indexes could reveal emerging trends and research patterns. Analysing the literature quantitatively and comprehensively can generate beneficial information and provide a wide-ranging view on a specific topic and its current status. Moreover, scientometric analysis can identify the current research interests and emerging topics for future development [31]. Specifically, scientometric analysis can identify the time periods in which a specific research theme occurred, the themes that were heavily studied, and the evolvement of various themes.
To the best of the authors’ knowledge, no scientometric review paper in the IEQMI field has been published until now. Therefore, the current paper can fill this gap by delivering an all-inclusive overview of research advances in the field of IEQMI. The main research objectives are to: (1) identify the researchers, institutes, journals, and countries that are most influential in this topic; (2) identify the primary research themes in the IEQMI field; and (3) evaluate the thematic evolution of IEQMI topics.
The structure of this research can be divided into five sections. Section 2 presents the method applied for database development and the software used in the study. Section 3 analyses the retrieved research papers based on scientometric analysis to demonstrate the literature’s themes, keywords, contributing countries, and institutions. Section 4 represents the discussion of major topics found in the IEQMI field and Section 5 delivers the conclusion and future development paths.

2. Methodology

It is challenging to manually review all the studies relevant to the IEQ modelling and indexing field. We benefited from bibliographical data (keywords, authors, citations) using VOSviewer text-mining software to create bibliometric maps [30,32]. Then, SciMAT software is applied to explore the development of keywords in three evolution stages.

2.1. Data Collection

The selected database significantly affects the results in scientometric reviews [32]. Some well-known bibliometric resources are available for data retrieval, namely Web of Science (WoS), Scopus, ScienceDirect, and Google Scholar [33]. The WoS is one of the most frequently used resources for performing scientometric analysis and covers more than 34,000 journals [33]. Therefore, the bibliographic database of WoS was selected for collecting the relevant papers. Figure 1 illustrates the steps to develop the database used in this study. Keywords were inserted into the WoS search engine applying the TITLE-ABS-KEY as follows: (IEQ OR ‘indoor environmental quality’) AND (weighting OR index* OR model*). Related words (like indexing or modelling) were included in the search results by adding ‘*’ sign at the end of individual words.
This search returned 869 documents, including 707 articles, 155 proceeding conferences, 47 review articles, 11 early access, 3 editorial materials, 2 book chapters and 1 data paper. Four filters were applied to eliminate publications unrelated to the scope of this review.
(1) Publications from the past two decades were considered to investigate improving methods used for indexing IEQ in buildings.
(2) Subject area was restricted to engineering, environmental science, energy, decision-making, and computer science. Fields like business and medicine were excluded from the study.
(3) Non-English publications were removed as they could not be reviewed.
(4) Source type was limited to journal articles and peer-reviewed conference papers.
As a result, 484 documents have been recovered after initial filtration. Afterwards, the abstracts of recovered papers were screened to check that only publications meeting the scope of this review were extracted for scientometric analyses. As a result, 456 articles remained for analysis.

2.2. Data Analysis Using VOSviewer

Over the past 20 years, more than 10 software types have been developed to ease scientific mapping and analysis [34,35]. Although there were some minor differences, the mutual goal of these tools was to unwrap the complex relationships existing among inputs in research disciplines (e.g., keywords, documents, journals, authors, countries, references) and illustrate interlinked associations in a simple style [34].
As previously stated, the main objective of this study is to identify authors, journals and countries with the utmost influence in the IEQMI field. To this end, the information of filtered publications (title, abstract, publication year, author, citation) was collected and inserted into VOSviewer for processing.
As a commonly employed software program to study and visualise bibliometric networks, VOSviewer software (v.1.6.16) has been used in this research. VOSviewer stands for Visualisation of Similarity Viewer, and it was first developed by Van Eck and Waltman [36]. VOSviewer has four main functions: (1) adding the paper information, (2) determining terms co-occurrence, (3) discovering the citation links among papers, and (4) visualising the terms by clustering them based on co-occurrences.
The selection of VOSviewer is suitable for scientometric review due to its potential to conduct co-occurrence analysis. Thus, main topics and critical research clusters related to the IEQMI field can be discovered.
Two analysis methods were employed to generate the results. A keyword analysis was used to study the historical progress and latest trends. Citation analysis was also considered to investigate the research interaction in the body of knowledge in the IEQMI field. Both methods are briefly described in the following section.

2.2.1. Keyword Analysis Using VOSviewer

A keyword analysis can be used to investigate articles indexing in databases and reveal the research publications’ theme. Therefore, mapping all used keywords in publications can provide the study domain’s holistic and rational knowledge map. The keywords included in the title and abstract of selected papers were collected to achieve a scientific landscape. Only the most engaging keywords were extracted by filtering keywords with at least 10 occurrences. Most related keywords were selected using VOSviewer’s text-mining function [36].
Subsequently, repetitive words (in singular or plural formats, an abbreviation or full name) were combined with a pre-defined thesaurus file. VOSviewer created a co-occurrence map based on the filtered keywords and clustered mentioned keywords considering the co-occurrences. Based on the keywords observed, the clusters were labelled to compare further. Subsequently, the scientific landscape of IEQMI is generated. In clustering mapping, the colour and size of a unique circle represent the cluster type and occurrence frequency of a single keyword, respectively. The distance between them shows the relative co-occurrence of the two keywords.

2.2.2. Citation Analysis Applying VOSviewer

All publications’ citations were analysed to find the interaction in IEQMI research. The mentioned analysis demonstrates quantitative interactions of publications. VOSviewer extracted the citation information to visualise the relationship network.
Based on the bibliographic data of VOSviewer, the trends of research in IEQMI studies have been evaluated in this section. The evaluation includes active countries and regions, prominent journals covering the research, major involved universities and institutions, contribution of authors, citation of critical papers, and high-frequency keywords.

2.3. SciMAT

Thematic evolution analysis investigates the changes and advancement of a research field in different periods. This approach results in a comprehensive understanding of progression trends in a particular area [35]. A research team at the University of Granada, Spain developed the SciMAT software in 2012 as an open-source scientific mapping tool.
SciMAT unites the advantages of different scientific mapping tools by conducting data pre-processing, construction of a knowledge matrix network, record clustering, and mapping production.
Four kinds of maps can be obtained by SciMAT: strategic diagrams, cluster network maps, evolution maps, and overlapping-items graphs. Two later maps were included in this study to investigate the keyword evolution in the IEQMI field.

2.3.1. Overlay Graph

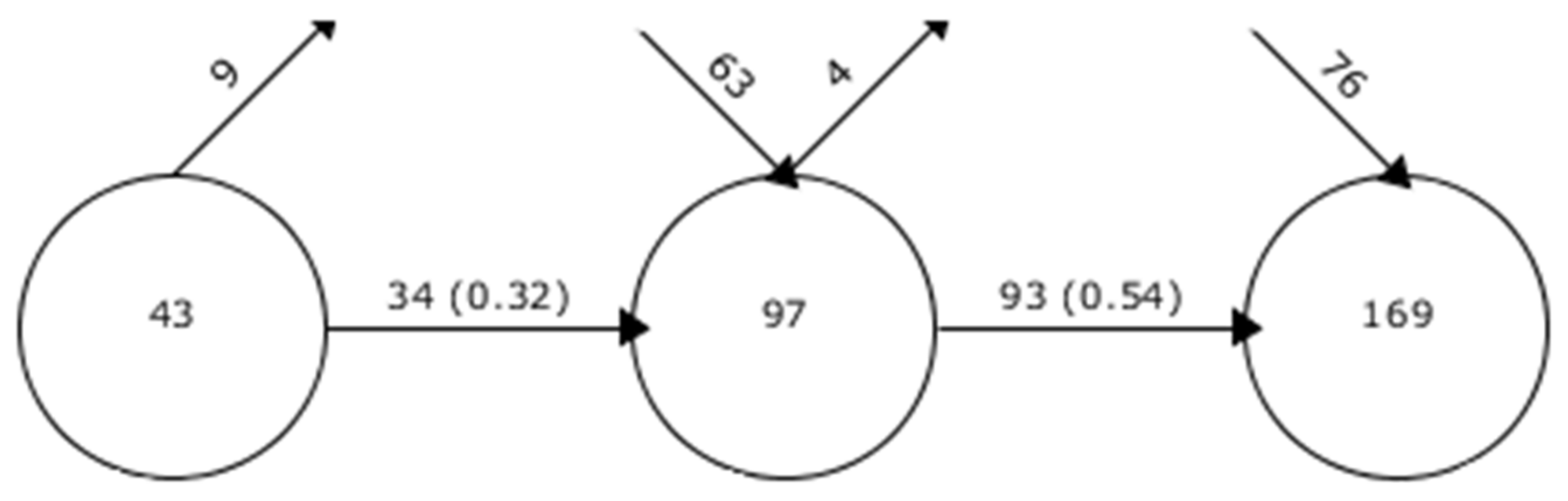
The overlay graph can evaluate the level of stability between two sequent periods (see Figure 2). The numbers printed inside the circles specify the numbers of keywords included in the subject during the study period. The number over the horizontal arrow represents the shared keywords between periods. The ‘stability index’ is demonstrated in the parentheses. Moreover, the exit arrow illustrates the number of keywords existing in the first period that were not considered in the next one. The entry arrow shows the quantity of newly occurred keywords that are purely present in the later period.

2.3.2. Evolution Map

The primary use of an evolution map is to demonstrate the thematic development of a subject over different periods [33]. Evolving from theme 1, themes 1′ and 1′′ were developed over two sequential periods (Figure 3). The development that happened on the theme of theme 2′ from theme 2 is shown in Figure 3. Moreover, theme 3 development was terminated in the first period, and theme 4 began evolving in the second period. The sizes of nodes in each stage are denoted by the number of documents within each theme. The thickness of the lines indicates the robustness associated with the two clusters. Additionally, connecting line thickness determines the similarity of keywords shared between themes over time. Finally, the solid lines show that themes have important analysis units, while the dashed line demonstrates otherwise.

3. Results

Applying the method presented in Section 2.1, we extracted 456 papers in the IEQMI field and analysed them bibliometrically. VOSviewer software was used to investigate publication trends in IEQMI (bibliographic coupling, co-citation analysis, and co-occurrence analysis). Afterwards, the results of the evolutionary analysis of the IEQMI concept using SciMAT software were reported in Section 3.8.

3.1. Publication Trends

Figure 4 illustrates the original and review papers published between 2004 and 2021. Overall, a constant annual increase in the publication is apparent. Publication growth has been more considerable in recent years, as the published papers after 2019 equal 53.4% of all published studies in this area.
While researchers have continuously published their IEQMI-related research outcomes in the past two decades, there was no paper reviewing the IEQMI field before 2013. The studied period in this research is divided into three periods. The first one is between 2004 and 2009. In this period, a few research papers were published, and the concept of IEQMI was propounded [37,38]. The second period started in 2010, in which a few advanced models were developed for modelling IEQ [39,40]. The last period from 2016–2021 witnessed more complex methods developed for IEQMI [41,42].

3.2. Analysis of High-Frequency Keywords

Keywords demonstrate the subjects of a paper and help clarify the primary research scope. Therefore, keywords included in the database were also analysed by VOSviewer to determine the frequent keywords and their relationships. The frequency threshold of keywords was 10, and 55 out of 2244 keywords remained after the filtration and were used for the keyword analysis (see Figure 5).
The core keywords of the IEQMI field are ‘Productivity’, ‘Thermal comfort’ and ‘IEQ’. Several important research topics attracting extensive attention are indicated in Figure 5. They can be clustered into four major themes, namely (a) thermal comfort and energy efficiency, (b) occupant satisfaction and comfort, (c) IAQ and health issues, (d) methods and procedures.
The relationships among high-frequency keywords are illustrated in Figure 6. Studying this trend helps one to understand the popular topics in the IEQMI field, and possible gaps can be determined. The circle colours in Figure 6 show the time slots in which the keyword was used in papers. Darker circles show high-frequency keywords in early periods. The three dashed brown lines indicate the trend of frequent keywords in the study period. For instance, the SBS’s circle (in the right of Figure 6) has a dark colour. By checking the legend, it is understood that this keyword mostly appeared around 2016, implying that this topic was more popular 5–6 years ago.
On the other hand, some keywords with lighter circles, such as occupant behaviour and built environment, have been used more by scholars in recent years. With the advancement of smartphones and wireless systems, researchers developed occupant voting systems to collect continuous and real-time feedback on occupant’s behaviour and perception [43]. Collecting and analysing occupants’ behaviour and response during building use is essential for understanding how to increase occupants’ satisfaction and improve buildings’ energy efficiency [44,45].

3.3. Prominent Journals

The IEQMI field mainly fits the scope of building- and energy-related journals. In total, 166 publication sources (journals and conferences) were detected and classified by VOSviewer in the IEQMI field.
Some journals were more popular than others in the past two decades. The top 10 sources have published nearly 53% of all the papers in this field; the other 156 journals are responsible for less than 47%. Figure 7 shows the consecutive progress of the highest 10 publication sources. It is observed that some journals have had a stable and continuous number of publications. While Building and Environment and Energy and Buildings published a significant portion of the papers in this field, other journals such as Sustainability and Journal of Building Engineering had notable recent growth.
Significant correlations were discovered between the ‘number of publications’, ‘total citation’, ‘links’ and ‘total link strength’. Therefore, each factor could be helpful for the comparative measurement of different journals’ contributions and productivity (see Table 1). Calculating the Pearson’s correlation coefficient (r) between the ‘number of publications’ and ‘total citation’ resulted in a strong positive correlation (r = 0.97, p < 0.001) among mentioned indices. There is a significant correlation between the total ‘number of publications’ and ‘total link strength’ (r = 0.96, p < 0.001). Yet, there is no significant correlation between ‘average citations’ and the ‘number of publications’ (r = 0.406, p = 0.068). A significant correlation between ‘total link strength’ and ‘total citations’ (r = 0.90, p < 0.001) is reported; however, no significant correlation was found between ‘average citation’ and other indices.
Figure 8 illustrates the relationship between various sources in this field. Only journals with at least four publications were selected to eliminate less involved journal and conference papers. The VOSviewer resulted in 21 publication sources, as demonstrated in Figure 8. It is clear that the sources that have extensively contributed to the IEQMI research topic include Building and Environment (110 papers), Energy and Buildings (59 papers), Sustainability (25 papers), and Journal of Building Engineering (20 papers). Figure 8 illustrates the following patterns and trends.
(1) Node and font size represent the keyword frequency occurrence; therefore, larger font or node specifies a more significant number of the published document in a specific journal.
(2) More node connections mean a greater significance to the publication. Considering a connection as a citation between two different journals, it is understandable that nodes with more connections are considerably important.
(3) The node location in visualisation is precisely selected by the occurrence frequency, the number of citations, and the connections with the rest of the nodes. Therefore, the journals located in the centre of the network have fundamental importance to the network.
(4) Clusters with different colours and connections illustrate the closeness among journals considering mutual citations.
Moreover, the active journals in the IEQMI research area can be categorised into four general clusters, as illustrated in Figure 8.
The primary publication sources in the energy in buildings cluster are Building and Environment, Energy and Buildings, and Buildings. It includes the most significant number of journals. The distance between nodes is relatively short, implying the journals’ unified research subject or field. A more detailed investigation of the mentioned cluster reveals that the majority of the published papers studied the relationship between IEQ, energy consumption, and the building environment. The journals, including Indoor Air, Science and Technology for The Built Environment, and Building Research and Information, form the cluster of building technologies. A significant portion of the published papers in this cluster focus on the technologies used to improve the indoor environment in buildings. The cluster of sustainability and architecture includes journals such as Sustainability, Journal of Building Physics, and Energy Research and Social Science. The main subjects explored in this cluster were the effect of novel architecture designs and materials in the building sustainability field.
The building environment and policy cluster covers journals such as Energy Policy and International Journal of Ventilation. These journals concentrate more on policies established or needed regarding the indoor environment. It is noteworthy to mention that there are some partial overlaps between the two clusters. For example, the relationship between the two journals in energy in building cluster (Building and Environment and Energy and Buildings) and the Sustainability journal in sustainability and architecture cluster is strong, mainly due to the journals’ multidisciplinary scope.

3.4. Prominent Publications

Most cited papers (with a minimum of 100 citations) in IEQMI are presented in Table 2. The key parameters in this table are total citations and annual average citations. Links between two papers cited by the same document are demonstrated in Table 2. Mui and Wong have contributed notably to the IEQMI field (2 out of 10 most cited papers). The other scholar with 2 out of 10 highly cited papers was S. Schiavon from the University of California, Berkeley.
As presented in Table 2, the paper with the highest number of citations is ‘Quantitative relationships between occupant satisfaction and satisfaction aspects of indoor environmental quality and building design’ authored by M. Frontczak, S. Schiavon, J. Goins, E. Arens, H. Zhang, and P. Wargocki, with 238 citations and the highest annual citations of 23.8 [46]. Analysing 52,980 survey responses from 351 offices, Frontczak et al. [46] examined the impact of subjectively evaluated building features and IEQ factors on satisfaction of office buildings occupants. They found that noise level, the amount of space, and visual privacy are the most critical parameters and suggested that building designers and architects focus on the mentioned parameters to improve overall workspace satisfaction.
The second most-cited paper was ‘Occupant productivity and office indoor environment quality: A review of the literature’, published in Building and Environment in 2016, with 180 citations and the highest annual citations of 30 [10]. By reviewing over 300 published papers and books, this research paper identified eight critical factors influencing the IEQ, occupant productivity, and comfort in green office buildings. A wide range of literature indicated a significant correlation between identified factors and occupant productivity. There are some correlations and interactions among specified IEQ parameters. Figure 9 illustrates the heat map of prominent publications in the IEQMI field based on citation weights. The colours in a heat map range between red and blue. The more citations a paper has, the colour surrounding it will be closer to red. In contrast, the fewer the citations, the closer it is to blue. Those papers which are strongly related and have been cited by similar papers are close to each other, whereas those weakly related are located at a distance. It can be inferred from Figure 9 that many papers that cited Wong et al. [38] also cited Lai et al. [47] and Huang et al. [48]. A rough conclusion could be that the cooperation of organisations in the Eastern Asian region was much stronger compared with that in Europe (Frontczak et al. [46]) and the Middle East (Al Horr et al. [10]).
Table 2. Highly cited papers in the field of IEQMI.
Table 2. Highly cited papers in the field of IEQMI.
ArticleTitleYearCitationsAverage per Year CitationsLinks
Frontczak et al. [46]Quantitative relationships between occupant satisfaction and satisfaction aspects of indoor environmental quality and building design201223823.88
Al Horr et al. [10]Occupant productivity and office indoor environment quality: A review of the literature2016180303
Paul and Taylor [49]A comparison of occupant comfort and satisfaction between a green building and a conventional building200817512.53
Wong et al. [38]A multivariate-logistic model for acceptance of indoor environmental quality (IEQ) in offices200814910.646
Lai et al. [47]An evaluation model for indoor environmental quality (IEQ) acceptance in residential buildings200913210.157
Kim and de Dear [39]Non-linear relationships between individual IEQ factors and overall workspace satisfaction201212712.76
Huang et al. [48]A study on the effects of thermal, luminous and acoustic environments on indoor environmental comfort in offices201211911.92
Kolokotsa et al. [50]Predictive control techniques for energy and indoor environmental quality management in buildings20091128.621
Seppanen and Fisk [51]Some quantitative relations between indoor environmental quality and work performance or health20061076.692
Heinzerling et al. [14]Indoor environmental quality assessment models: A literature review and a proposed weighting and classification scheme201310611.785

3.5. Active Countries in IEQMI Research

Although researchers in the field of IEQMI come from different countries around the world, research intensity varies by regions. Figure 10 illustrates the distribution of active countries and territories for IEQMI research by investigating published papers worldwide.
Thirty-one per cent of all countries (60 out of 193) have engaged with IEQMI research. Figure 10 shows that the United States (US) and China are the two most active countries in this field. Researchers from the US and China contributed 108 and 77 papers, respectively. Combined, their involvement accounts for 40.57% of total publications in this field. The US scientists’ involvement in IEQMI studies (e.g., [14,52,53,54,55]) was somewhat expected, given the considerable efforts of the US Government to improve the indoor environment for occupants by establishing the LEED certificate [56].
Additionally, 220 papers were published in Europe. They also contributed to some multinational projects (e.g., the ALDREN project [57]) in which the case study buildings were in various countries). Another interesting fact is that while many research papers have been published in the US, the recent development of IEQMI occurred in countries such as Poland, Brazil, and Portugal.

3.6. Prominent Institutions in IEQMI Research

Table 3 demonstrates 12 institutions publishing most in the IEQMI studies. Among them, Hong Kong Polytechnic University had the highest rank with 25 relevant studies. On the other hand, the University of California Berkeley received the highest citations (1173 cites) from 13 papers. Berkeley’s Center for Built Environment has the most comprehensive database of post-occupancy evaluation surveys, making it a perfect source for statistical analysis [58,59,60].
Additionally, 14 publications from the Technical University of Denmark (e.g., [57,61,62]), 13 papers from Delft University of Technology (e.g., [63,64]), 12 documents from Polytechnic of Turin (e.g., [65,66]), 12 papers from Yonsei University (e.g., [67,68]), 10 documents from Tsinghua University (e.g., [3,69]), and 8 publications from University of Malaya (e.g., [70]) were published in IEQMI scope.
The University of Sydney (e.g., [39,58,71]), Lawrence Berkeley National Laboratory (e.g., [51,72]), University Paris-Est (e.g., [57,73]), Instytut Techniki Budowlanej (e.g., [74,75]), and University Technology of Malaysia (e.g., [76]) owned seven publications in the field of IEQMI. The analysis proves that most universities and institutes publishing IEQMI studies are from China, the US, and Europe. This fact is closely related to the concerns of these countries to provide a better indoor environment, improve performance, and reduce energy consumption. As mentioned in Section 4.1, the US has the greatest impact on IEQ studies, and Table 3 confirms that with the highest citations. On the other hand, countries such as Malaysia and Australia started their research in the last decade, and their progress is significant.
The contribution of the Technical University of Denmark has increased after conducting joint projects with other universities around Europe. ALDREN was one of the critical projects aiming to resolve market barriers and encourage deep building renovation focusing on office and hotel buildings. Its main goal was to describe IEQ as a part of energy performance [57].

3.7. Analysis of Author Involvement

In this section, a detailed study of the retrieved papers demonstrates valuable information to understand the most influential authors in the IEQMI field.

3.7.1. Productive Authors Analysis

The author’s number of publications can illustrate the efforts devoted to exploring innovative concepts in a specific topic. The most active authors were identified by analysing the scholars who published the 456 IEQMI papers. The minimum publication of an author was set at four for this analysis. Overall, 17 authors met the criteria. The author with the highest number of publications was K. W. Mui, with 11 IEQMI papers; followed by I. T. Wong and T. Hong, with 10 papers; and M. Piasecki and Jimin Kim, with 9 papers.
As illustrated in Figure 11, all 17 authors could be categorised into four clusters named by their colour. Cluster blue includes the highest number of citations, and cluster red has the most authors publishing together. On the other hand, clusters yellow and green contain the most recent contributions in the field of IEQMI. Building occupants’ behaviour in an indoor environment (e.g., window-opening, setting temperature) was primarily evaluated in cluster green. On the other hand, practical implementation of the IEQ models and indicators in green buildings were discussed in cluster yellow. In contrast with Figure 8, there is no overlap between clusters in Figure 11, demonstrating the distinction between IEQMI research teams.

3.7.2. Contribution Analysis

We follow Howard et al.’s method to quantitatively compare and analyse the contributions of authors in IEQMI research [77]. The mentioned technique has been previously used to evaluate author contribution in different fields (e.g., [78,79]). The score calculation was conducted using Equation (1).
S = 1.5 n i i = 1 n 1.5 n i
S in Equation (1) represents each author’s contribution score in a publication. Moreover, n and i signify the number of authors and their order, respectively. The total score of a single publication is considered one unit in Equation (1). For instance, if six authors contributed to a paper, then the contribution score of the first author is 0.37, the second one is 0.25, the third author is 0.16, the fourth is 0.10, the fifth is 0.07, and the last is 0.05. Table 4 shows the most possible and common author contribution score.
The twenty-one most productive and highly cited authors are presented in Table 5. Each scholar has published at least four papers in the IEQMI scope and has been cited more than 20 times by other researchers. The presented analysis calculated four main quantifiers (published papers, number of citations, contribution score, and average citations) to demonstrate the performance of these academics.
While the criteria of ‘published papers’ and ‘contribution score’ have a close correlation, the ‘total citation’ and ‘average citation’ do not have a meaningful relationship with the number of ‘published papers’. Correlation analysis demonstrates that the ‘published papers’ significantly correlate with the ‘contribution score’ (r = 0.7, p < 0.001). Therefore, the ‘contribution score’ of an author to the IEQMI field has a linear relation with the ‘total number of publications’. Nevertheless, no significant correlation is identified between ‘total publication’ and ‘total citation’ (r = 0.41, p = 0.063) or between ‘total publication’ and ‘average citation’ (r = 0.12, p = 0.878).
Mui and Wong were two leading scholars in the IEQMI field. They both received the highest number of citations. Among all the scholars, Y. Zhu has the highest average citation (73.6), indicating that she was influential in the IEQMI research topic. Other authors with considerable contributions to the IEQMI field include M. Piasecki, Jimin Kim, P. Bluyssen, V. Fabi, R. de Dear, and Jungsoo Kim since they have received a contribution score of more than 2.

3.8. Keyword Changes Analysis

In the next step, the overall trend of keywords in IEQMI publications is examined in three time periods (2004–2009, 2010–2015, and 2016–2021), as demonstrated in Figure 4. An overlay graph is beneficial in understanding changes happening to the keywords during each study period and identifying the number of mutual keywords between consecutive time steps.
As mentioned in Section 2.3.1, the numbers printed inside the circles denote the keywords included in the subject during the study period. The number over the horizontal arrow represents the mutual keywords between the two periods. The stability index is presented by numbers inside the parentheses. Moreover, the exit arrow illustrates the number of keywords existing in the first period that were not present in the next one. The entry arrow shows the quantity of new occurring keywords that are purely present in the later period.
From 2004 to 2009, few papers were published in the IEQMI field (3.3 papers per year). The number of papers accelerated in the second stage, 2010–2015, in which 16.8 papers were published annually. The third stage demonstrated the greatest number of publications, and 369 papers were published by international researchers between 2016 and 2021. As illustrated in Figure 12, the quantity of keywords has increased almost four times between the first and last periods denoting that the field of IEQMI has undergone a considerable development by including new areas.
Additionally, the number of sustained keywords during the study periods has notably risen from 34 to 93, representing that the IEQMI topic has gained some stability in used keywords. Moreover, the rise in the stability index indicates that the IEQMI has achieved more maturity in the last stage. The quantity of disappeared keywords from the IEQMI topic is low, meaning that most IEQMI research topics have been inherited by later research stages. Alternatively, the number of new keywords inserted into the IEQMI research topic was high in each period, indicating the continuous evolution of the field.
The evolutionary map (see Figure 13) shows that the IEQMI field is multi-layered and is categorised by an impulsive evolutionary process. Only keywords with more than six repetitions have been included in a thematic evolution map. This map illustrates that the IEQMI field has continued to expand from the first to the last period. Each node size represented the number of documents within the relevant theme. Clearly, ‘IEQ’ had been repeated the most in the published papers. As shown in Figure 13, some keywords appeared in the second stage. For example, ‘occupant satisfaction’ and ‘building information modelling’ appeared between 2010 and 2015 without a direct relationship with ‘IEQ’ publications in the previous period. Larsen et al. [80] designed a tool to evaluate the holistic IEQ performance using 16 parameters without considering occupants. The ‘impact’ focused on the inter-relationships between IEQ factors and/or the effects of IEQ factors on building occupants, and researchers have been studying this area since 2010 [81,82,83].
Another noteworthy new keyword after 2016 is ‘occupant behaviour’, which indicates the increasing research interest in the effect of occupants’ behaviours on IEQ [84,85,86]. For example, topics such as the impact of occupant behaviour on ventilation [87], window-opening [88], and lights [84] were evaluated in the last studied period. Moreover, in this period, ‘energy’ was derived from the ‘building information modelling’ theme, and many scholars have conducted more holistic investigations of building energy use [4,89,90,91].
Due to the high instability of the IEQMI field, it is predictable that the mentioned research topic will continually develop in the future.

4. Discussion

The keywords included in the title and abstract of each publication reflect the main contents of the research article. Holistic analysis of the keywords can reveal the IEQMI field’s research trends. The keyword analysis in Section 3.2 has identified four main research themes in the IEQMI field. These categories are: (a) thermal comfort and energy efficiency, (b) occupant perception and satisfaction, (c) IAQ and health issues, (d) methods and procedures. In this section, we will further discuss the scope and representative research articles in these four research themes.

4.1. Thermal Comfort and Energy Efficiency

Many studies tried to investigate and uncover the relationships between various indoor thermal environments, occupants’ thermal comfort, and building energy efficiency. Earlier thermal comfort studies in office buildings mostly adopted the PMV-PPD model for comfort evaluation. After the inclusion of the adaptive thermal comfort model in the ASHRAE 55 [92], comfort studies based on the adaptive model have significantly increased [93].
According to Carlucci et al. [94], the applicability of the adaptive thermal comfort model in hybrid buildings with mixed-mode ventilation is still under discussion. Kim et al. [95] investigated the impact of different operation modes (natural ventilation and mixed-mode ventilation) on indoor thermal environment and occupants’ comfort. The outcomes demonstrated that the ventilation mode significantly influenced occupants’ thermal comfort. The mixed-mode building’s occupants showed more tolerance for the indoor thermal conditions during natural ventilation mode compared to the air-conditioning mode. It was stated that ‘Participants more actively thermoregulated their clothing insulation than predicted by the ASHRAE Standard 55′s dynamic clothing model’. The finding of this research supports the adoption of the adaptive thermal comfort model in mixed-mode buildings.
Energy efficiency and sustainable design have been popular research topics for many years. The green building initiative (design, material, standards, etc.) is one of the research clusters in this research theme. Green buildings’ energy efficiency and indoor environment have been widely examined in many countries [65,96,97]. Chokor et al. [98] evaluated LEED-certified buildings by collecting electricity data for cooling and heating with IEQ satisfaction (furniture, thermal comfort, space, layout, water efficiency, acoustic quality, IAQ, cleanliness, lighting level, and facility maintenance). The results demonstrated that LEED-certified buildings had less energy consumption than their conventional counterparts in the region and provided more occupant satisfaction than their US counterparts.

4.2. Occupant Perception and Satisfaction

Numerous studies have examined how indoor environmental quality factors affect people’s perception and satisfaction. There is substantial research on the effects of different environmental factors on humans, including IAQ [19], visual [25], thermal [16,17], and acoustic comfort [27,99].
Occupant perceptions are a function of different physiological parameters that change with the ambient environment. Sun et al. [100] conducted human subject experiments in a controlled climate chamber. They measured human perception, heart rate, diastolic blood pressure, systolic blood pressure, and skin temperatures at the forehead and wrist in different combinations of illuminance, sound level, and temperature to find the relationship between physiological parameters and environmental factors. The outcomes demonstrated that physiological parameters correlated with occupants’ comfort votes.
To determine the combined acoustic, thermal, and illumination effects on human perception and performance, Wu et al. [101] collected and reviewed literature published between 2000 and 2020. By comparing the relationships between different IEQ factors and occupants’ perception, it was revealed that human perception of a particular IEQ factor may be affected by other IEQ factors, e.g., thermal comfort may be affected by the sound level [101].

4.3. IAQ and Health Issues

This category includes topics related to the IAQ and health symptoms resulting from indoor pollutants and lack of proper ventilation in buildings. Researchers tried to improve the IEQ by enhancing IAQ and finding the relationship between air pollutants and occupants’ acceptance of indoor air quality.
While different IEQ assessment methods have been introduced, these IEQ indexes did not incorporate the health impacts exerted by the indoor environment. Eye dryness [102,103], lethargy [2,104], dry throat [105,106,107], headache [108,109], nausea [110,111], skin dryness [112,113], blocked nose [107,114,115], and chest tightness [106,116] were common symptoms caused by insufficient ventilation and poor air quality. Some health symptoms are not related to a specific indoor environment parameter. For example, symptoms such as headache and lethargy may result from many indoor environmental quality factors, and there can be interactions between these factors [105]. Consequently, it is difficult to determine which IEQ factor has a dominating effect in causing a specific health symptom.
An IEQ model developed based on Weber/Fechner’s law and the predicted mean vote (PMV) was validated by a survey conducted in 91 office buildings in Guangzhou, China [105]. PM10 was found to be the parameter having the most significant impact on causing skin dryness, nausea, and headache symptoms. An adverse thermal environment was significantly associated with chest tightness, dry throat, and eye dryness. High CO2 concentration was correlated with chest tightness and dry throat as well. On the other hand, HCHO had the most significant impact on eye dryness. Moreover, noise could have a negligible effect on chest tightness and dry throat, but a considerable impact on skin dryness, nausea, and headache [105].
Stress level is another potential health issue associated with an unfavourable indoor environment. According to Rawati et al. [117], the occupant’s stress level will be lowered when they have connection with nature. Personality archetypes can potentially significantly mediate their stress levels and indoor environment acceptance. Individuals with extroverted personality are more prone to be stressed by inadequate IEQ. Moreover, they are more sensitive to environmental parameters under stressful situations than introverted individuals [118].

4.4. Methods and Procedures

This research theme focuses on establishing summative IEQ indexes or models to benchmark and evaluate buildings’ overall IEQ performance. An IEQ model can be developed using either objective measurements of IEQ parameter values and/or subjective surveys of occupants’ perception of and satisfaction with IEQ. Statistics, complicated calculation procedures, and extensive data collection are usually adopted when developing an objective IEQ model. By comparison, a subjective IEQ model mostly relies on building experts’ or occupants’ input via questionnaires/interviews to determine criteria weights of different IEQ factors.
Linear regression is the most widely used weighting technique. IEQ weighting studies were first carried out by Mui and Chen using linear regression [37]. Using CO2 concentration, sound pressure level, and operative temperature, the developed model calculated the IEQ dissatisfaction ratio.
In 2008 and 2009, Cao et al. monitored the indoor environment in public buildings in Shanghai and Beijing [40]. They measured different IEQ factors (e.g., mean radiant temperature, air speed, relative humidity, indoor temperature, sound pressure levels, illumination, and CO2 concentration). Moreover, they collected occupants’ satisfaction responses with each IEQ factor. Using the least-squares method, Cao et al. [40] determined the relationship between individual IEQ factor and occupant satisfaction. Then, occupants’ overall satisfaction and satisfaction with individual IEQ factor were determined using multivariate linear regression.
Ncube and Riffat [119] presented an IEQ evaluation model for mechanically ventilated buildings in the United Kingdom. They adopted surveys and measurements for developing the IEQ model. The authors emphasised that the model correctly predicted the overall occupants’ satisfaction (R2 = 0.94) (Table 6).
Heinzerling et al. [14] evaluated IEQ models developed for office buildings and suggested new assessment classes and weighting schemes for IEQ factors based on 52,980 occupant satisfaction survey results. Xu et al. [120] investigated the effects of available building space, visual comfort, and thermal comfort on overall indoor satisfaction, reporting that occupants’ satisfaction with the space had a significant impact on occupants’ overall satisfaction.
Many previous studies used non-linear regression analysis. The most common methods include arithmetic mean, geometric mean, and logistic regression (Table 6). In an empirical study conducted on 293 office occupants, Wong et al. [38] proposed an empirical model for estimating the overall IEQ acceptance (Table 6) by a logistic regression including four IEQ factors (IAQ, acoustic comfort, visual comfort, and thermal comfort). Using the IEQ model, Wong et al. [38] benchmarked air-conditioned offices in Hong Kong according to the predicted overall IEQ acceptance. Tang et al. [42] also established a non-linear IEQ model (Table 6). A 14% reduction in residual standard error proved that the geometric mean model could predict more accurately than the linear regression one.

5. Conclusions

The scientometric analysis carried out in this study evaluated the publication trend, influential countries, institutions, research outlets, publications, and researchers, along with the main research topics and their evolution in the IEQMI field.
There has been a steady increase in the number of IEQMI publications in the past two decades, with the number of publications after 2019 accounting for more than half of all publications in this field. This indicates that IEQ issues have been gaining more attention in recent years.
In total, 60 out of 193 countries and territories in the world have been engaged in IEQMI research. The USA (108) and China (77) have made the largest contributions to this field, judged by the number of published papers. Influential institutions include Hong Kong Polytechnic University, Technical University of Denmark, the University of California Berkeley, and so on. Building and Environment and Energy and Buildings are the top two research outlets in this field.
There are four core research themes in the IEQMI field: energy efficiency, occupant perception, IAQ and health issues, as well as methods and procedures. The high-frequency keywords (see Figure 5) demonstrate that while the most frequent and important keywords in the IEQMI topic were ‘IEQ’, ‘thermal comfort’, and ‘productivity’, the interest of scholars has been recently altered to ‘energy consumption’, ‘efficiency optimisation’ and ‘sustainable retrofitting’ (Figure 6). The number of keywords has been continually rising in the three research stages. Most IEQMI research topics have been inherited by later research stages. New research topics emerged in stages 2 and 3, indicating a continuous evolution of the field.
This scientometric literature review may provide a reference for more investigations of deeper modelling and prediction among the multiple IEQ factors and overall occupants’ comfort.
This study has been a scientometric review of past published papers in the IEQMI field, and further studies providing a more critical review of the methods used for developing IEQ models are needed.

Author Contributions

Conceptualisation: S.R. and F.Z.; methodology: S.R.; formal analysis: S.R.; investigation: S.R. and F.Z.; writing—original draft preparation: S.R.; writing—review and editing: F.Z. and R.A.S.; visualisation: S.R.; supervision: F.Z. and R.A.S. All authors have read and agreed to the published version of the manuscript.

Funding

This study has been financially supported by the Griffith University Postgraduate Research Scholarship (GUPRS) and Griffith University International Postgraduate Research Scholarship (GUIPRS).

Institutional Review Board Statement

Not applicable.

Informed Consent Statement

Not applicable.

Data Availability Statement

Not applicable.

Conflicts of Interest

The authors declare no conflict of interest.

References

  1. Warwicker, B. 15-Desiccant materials for moisture control in buildings. In Materials for Energy Efficiency and Thermal Comfort in Buildings; Hall, M.R., Ed.; Woodhead Publishing: Cambridge, UK, 2010; pp. 365–383. [Google Scholar] [CrossRef]
  2. Mujan, I.; Anđelković, A.S.; Munćan, V.; Kljajić, M.; Ružić, D. Influence of indoor environmental quality on human health and productivity—A review. J. Clean. Prod. 2019, 217, 646–657. [Google Scholar] [CrossRef]
  3. Geng, Y.; Ji, W.; Lin, B.; Zhu, Y. The impact of thermal environment on occupant IEQ perception and productivity. Build. Environ. 2017, 121, 158–167. [Google Scholar] [CrossRef]
  4. Residovic, C. The New NABERS Indoor Environment tool—The Next Frontier for Australian Buildings. Procedia Eng. 2017, 180, 303–310. [Google Scholar] [CrossRef]
  5. Roumi, S.; Zhang, F.; Stewart, R.A.; Santamouris, M. Commercial building indoor environmental quality models: A critical review. Energy Build. 2022, 263, 112033. [Google Scholar] [CrossRef]
  6. Balaras, C.A.; Droutsa, K.; Argiriou, A.A.; Asimakopoulos, D.N. EPIQR surveys of apartment buildings in Europe. Energy Build. 2000, 31, 111–128. [Google Scholar] [CrossRef]
  7. Bluyssen, P.M. EPIQR and IEQ: Indoor environment quality in European apartment buildings. Energy Build. 2000, 31, 103–110. [Google Scholar] [CrossRef]
  8. Dodge, R.; Daly, A.; Huyton, J.; Sanders, L. The challenge of defining wellbeing. Int. J. Wellbeing 2012, 2, 222–235. [Google Scholar] [CrossRef] [Green Version]
  9. Bluyssen, P.M.; Janssen, S.; van den Brink, L.H.; de Kluizenaar, Y. Assessment of wellbeing in an indoor office environment. Build. Environ. 2011, 46, 2632–2640. [Google Scholar] [CrossRef]
  10. Al Horr, Y.; Arif, M.; Kaushik, A.; Mazroei, A.; Katafygiotou, M.; Elsarrag, E. Occupant productivity and office indoor environment quality: A review of the literature. Build. Environ. 2016, 105, 369–389. [Google Scholar] [CrossRef] [Green Version]
  11. Frontczak, M.; Wargocki, P. Literature survey on how different factors influence human comfort in indoor environments. Build. Environ. 2011, 46, 922–937. [Google Scholar] [CrossRef]
  12. Al horr, Y.; Arif, M.; Katafygiotou, M.; Mazroei, A.; Kaushik, A.; Elsarrag, E. Impact of indoor environmental quality on occupant well-being and comfort: A review of the literature. Int. J. Sustain. Built Environ. 2016, 5, 1–11. [Google Scholar] [CrossRef]
  13. Sakhare, V.V.; Ralegaonkar, R.V. Indoor environmental quality: Review of parameters and assessment models. Archit. Sci. Rev. 2014, 57, 147–154. [Google Scholar] [CrossRef]
  14. Heinzerling, D.; Schiavon, S.; Webster, T.; Arens, E. Indoor environmental quality assessment models: A literature review and a proposed weighting and classification scheme. Build. Environ. 2013, 70, 210–222. [Google Scholar] [CrossRef] [Green Version]
  15. Park, J.Y.; Nagy, Z. Comprehensive analysis of the relationship between thermal comfort and building control research—A data-driven literature review. Renew. Sustain. Energy Rev. 2018, 82, 2664–2679. [Google Scholar] [CrossRef]
  16. Enescu, D. A review of thermal comfort models and indicators for indoor environments. Renew. Sustain. Energy Rev. 2017, 79, 1353–1379. [Google Scholar] [CrossRef]
  17. Rupp, R.F.; Vásquez, N.G.; Lamberts, R. A review of human thermal comfort in the built environment. Energy Build. 2015, 105, 178–205. [Google Scholar] [CrossRef]
  18. Zhang, H.; Arens, E.; Zhai, Y. A review of the corrective power of personal comfort systems in non-neutral ambient environments. Build. Environ. 2015, 91, 15–41. [Google Scholar] [CrossRef] [Green Version]
  19. Tham, K.W. Indoor air quality and its effects on humans—A review of challenges and developments in the last 30 years. Energy Build. 2016, 130, 637–650. [Google Scholar] [CrossRef]
  20. Persily, A.K.; Emmerich, S.J. Indoor air quality in sustainable, energy efficient buildings. HVACR Res. 2012, 18, 4–20. [Google Scholar] [CrossRef]
  21. Sundell, J.; Levin, H.; Nazaroff, W.W.; Cain, W.S.; Fisk, W.J.; Grimsrud, D.T.; Gyntelberg, F.; Li, Y.; Persily, A.K.; Pickering, A.C.; et al. Ventilation rates and health: Multidisciplinary review of the scientific literature. Indoor Air 2011, 21, 191–204. [Google Scholar] [CrossRef]
  22. Chua, K.J.; Chou, S.K.; Yang, W.M.; Yan, J. Achieving better energy-efficient air conditioning—A review of technologies and strategies. Appl. Energy 2013, 104, 87–104. [Google Scholar] [CrossRef]
  23. Aries, M.; Aarts, M.; van Hoof, J. Daylight and health: A review of the evidence and consequences for the built environment. Lighting Res. Technol. 2015, 47, 6–27. [Google Scholar] [CrossRef]
  24. Todorovic, M.S.; Kim, J.T. Beyond the science and art of the healthy buildings daylighting dynamic control’s performance prediction and validation. Energy Build. 2012, 46, 159–166. [Google Scholar] [CrossRef]
  25. Carlucci, S.; Causone, F.; De Rosa, F.; Pagliano, L. A review of indices for assessing visual comfort with a view to their use in optimization processes to support building integrated design. Renew. Sustain. Energy Rev. 2015, 47, 1016–1033. [Google Scholar] [CrossRef] [Green Version]
  26. Vardaxis, N.-G.; Bard, D. Review of acoustic comfort evaluation in dwellings: Part II—Impact sound data associated with subjective responses in laboratory tests. Build. Acoust. 2018, 25, 171–192. [Google Scholar] [CrossRef]
  27. Vardaxis, N.-G.; Bard, D.; Persson Waye, K. Review of acoustic comfort evaluation in dwellings—Part I: Associations of acoustic field data to subjective responses from building surveys. Build. Acoust. 2018, 25, 151–170. [Google Scholar] [CrossRef] [Green Version]
  28. Reinten, J.; Braat-Eggen, P.E.; Hornikx, M.; Kort, H.S.M.; Kohlrausch, A. The indoor sound environment and human task performance: A literature review on the role of room acoustics. Build. Environ. 2017, 123, 315–332. [Google Scholar] [CrossRef]
  29. Markoulli, M.P.; Lee, C.I.S.G.; Byington, E.; Felps, W.A. Mapping Human Resource Management: Reviewing the field and charting future directions. Hum. Resour. Manag. Rev. 2017, 27, 367–396. [Google Scholar] [CrossRef]
  30. Wuni, I.Y.; Shen, G.Q.P.; Osei-Kyei, R. Scientometric review of global research trends on green buildings in construction journals from 1992 to 2018. Energy Build. 2019, 190, 69–85. [Google Scholar] [CrossRef]
  31. Chen, C. CiteSpace II: Detecting and visualizing emerging trends and transient patterns in scientific literature. J. Am. Soc. Inf. Sci. Technol. 2006, 57, 359–377. [Google Scholar] [CrossRef] [Green Version]
  32. Khan, A.; Sepasgozar, S.; Liu, T.; Yu, R. Integration of BIM and Immersive Technologies for AEC: A Scientometric-SWOT Analysis and Critical Content Review. Buildings 2021, 11, 126. [Google Scholar] [CrossRef]
  33. Omrany, H.; Chang, R.; Soebarto, V.; Zhang, Y.; Ghaffarianhoseini, A.; Zuo, J. A bibliometric review of net zero energy building research 1995–2022. Energy Build. 2022, 262, 111996. [Google Scholar] [CrossRef]
  34. Sharifi, A. Urban sustainability assessment: An overview and bibliometric analysis. Ecol. Indic. 2021, 121, 107102. [Google Scholar] [CrossRef]
  35. Xie, H.; Zhang, Y.; Duan, K. Evolutionary overview of urban expansion based on bibliometric analysis in Web of Science from 1990 to 2019. Habitat Int. 2020, 95, 102100. [Google Scholar] [CrossRef]
  36. Van Eck, N.J.; Waltman, L. Software survey: VOSviewer, a computer program for bibliometric mapping. Scientometrics 2010, 84, 523–538. [Google Scholar] [CrossRef] [Green Version]
  37. Mui, K.W.; Chan, W.T. A New Indoor Environmental Quality Equation for Air-Conditioned Buildings. Archit. Sci. Rev. 2005, 48, 41–46. [Google Scholar] [CrossRef]
  38. Wong, L.T.; Mui, K.W.; Hui, P.S. A multivariate-logistic model for acceptance of indoor environmental quality (IEQ) in offices. Build. Environ. 2008, 43, 1–6. [Google Scholar] [CrossRef]
  39. Kim, J.; de Dear, R. Nonlinear relationships between individual IEQ factors and overall workspace satisfaction. Build. Environ. 2012, 49, 33–40. [Google Scholar] [CrossRef] [Green Version]
  40. Cao, B.; Ouyang, Q.; Zhu, Y.; Huang, L.; Hu, H.; Deng, G. Development of a multivariate regression model for overall satisfaction in public buildings based on field studies in Beijing and Shanghai. Build. Environ. 2012, 47, 394–399. [Google Scholar] [CrossRef]
  41. Wong, L.T.; Mui, K.W.; Tsang, T.W. An open acceptance model for indoor environmental quality (IEQ). Build. Environ. 2018, 142, 371–378. [Google Scholar] [CrossRef]
  42. Tang, H.; Ding, Y.; Singer, B. Interactions and comprehensive effect of indoor environmental quality factors on occupant satisfaction. Build. Environ. 2020, 167, 1–15. [Google Scholar] [CrossRef]
  43. Jung, W.; Jazizadeh, F. Human-in-the-loop HVAC operations: A quantitative review on occupancy, comfort, and energy-efficiency dimensions. Appl. Energy 2019, 239, 1471–1508. [Google Scholar] [CrossRef]
  44. Sheikh Khan, D.; Kolarik, J.; Weitzmann, P. Design and application of occupant voting systems for collecting occupant feedback on indoor environmental quality of buildings—A review. Build. Environ. 2020, 183, 107192. [Google Scholar] [CrossRef]
  45. Roumi, S.; Stewart, R.A.; Zhang, F.; Santamouris, M. Unravelling the relationship between energy and indoor environmental quality in Australian office buildings. Sol. Energy 2021, 227, 190–202. [Google Scholar] [CrossRef]
  46. Frontczak, M.; Schiavon, S.; Goins, J.; Arens, E.; Zhang, H.; Wargocki, P. Quantitative relationships between occupant satisfaction and satisfaction aspects of indoor environmental quality and building design. Indoor Air 2012, 22, 119–131. [Google Scholar] [CrossRef] [PubMed] [Green Version]
  47. Lai, A.C.K.; Mui, K.W.; Wong, L.T.; Law, L.Y. An evaluation model for indoor environmental quality (IEQ) acceptance in residential buildings. Energy Build. 2009, 41, 930–936. [Google Scholar] [CrossRef]
  48. Huang, L.; Zhu, Y.X.; Ouyang, Q.; Cao, B. A study on the effects of thermal, luminous, and acoustic environments on indoor environmental comfort in offices. Build. Environ. 2012, 49, 304–309. [Google Scholar] [CrossRef]
  49. Paul, W.L.; Taylor, P.A. A comparison of occupant comfort and satisfaction between a green building and a conventional building. Build. Environ. 2008, 43, 1858–1870. [Google Scholar] [CrossRef]
  50. Kolokotsa, D.; Pouliezos, A.; Stavrakakis, G.; Lazos, C. Predictive control techniques for energy and indoor environmental quality management in buildings. Build. Environ. 2009, 44, 1850–1863. [Google Scholar] [CrossRef]
  51. Seppanen, O.A.; Fisk, W. Some quantitative relations between indoor environmental quality and work performance or health. Hvacr Res. 2006, 12, 957–973. [Google Scholar] [CrossRef] [Green Version]
  52. Shendell, D.G.; Prill, R.; Fisk, W.J.; Apte, M.G.; Blake, D.; Faulkner, D. Associations between classroom CO2 concentrations and student attendance in Washington and Idaho. Indoor Air 2004, 14, 333–341. [Google Scholar] [CrossRef]
  53. Zhang, J.S.S. Combined heat, air, moisture, and pollutants transport in building environmental systems. Jsme Int. J. Ser. b-Fluids Therm. Eng. 2005, 48, 182–190. [Google Scholar] [CrossRef]
  54. Moschandreas, J.; Yoon, S.H.; Demirev, D. Validation of the indoor environmental quality conceptual model. Build. Res. Inf. 2006, 34, 483–495. [Google Scholar] [CrossRef]
  55. Kim, H.; Haberl, J.S. Field-Test of the New ASHRAE/CIBSE/USGBC Performance Measurement Protocols: Intermediate and Advanced Level Indoor Environmental Quality Protocols. Ashrae Trans. 2012, 118, 58–65. [Google Scholar]
  56. U.S. Green Building Council. LEED Reference Guide for Building Design and Construction; U.S. Green Building Council: Washington, DC, USA, 2013.
  57. Wargocki, P.; Wei, W.J.; Bendzalova, J.; Espigares-Correa, C.; Gerard, C.; Greslou, O.; Rivallain, M.; Sesana, M.M.; Olesen, B.W.; Zirngibl, J.; et al. TAIL, a new scheme for rating indoor environmental quality in offices and hotels undergoing deep energy renovation (EU ALDREN project). Energy Build. 2021, 244, 1–13. [Google Scholar] [CrossRef]
  58. Kim, J.; de Dear, R. Impact of different building ventilation modes on occupant expectations of the main IEQ factors. Build. Environ. 2012, 57, 184–193. [Google Scholar] [CrossRef] [Green Version]
  59. Wang, T.; Ward, G.; Lee, E.S. Efficient modeling of optically-complex, non-coplanar exterior shading: Validation of matrix algebraic methods. Energy Build. 2018, 174, 464–483. [Google Scholar] [CrossRef] [Green Version]
  60. Yoshino, H.; Hong, T.; Nord, N. IEA EBC annex 53: Total energy use in buildings—Analysis and evaluation methods. Energy Build. 2017, 152, 124–136. [Google Scholar] [CrossRef] [Green Version]
  61. Wai, T.K.; Lee, J.Y.; Chan, Y.H.; Wargocki, P. Structural Equation Modelling of Occupant Satisfaction with Indoor Environmental Quality of Office Buildings in Singapore; International Society of Indoor Air Quality and Climate: Herndon, VA, USA, 2020. [Google Scholar]
  62. Andersen, R.K.; Fabi, V.; Corgnati, S.P. Predicted and actual indoor environmental quality: Verification of occupants’ behaviour models in residential buildings. Energy Build. 2016, 127, 105–115. [Google Scholar] [CrossRef] [Green Version]
  63. Erbas, I.; Stouffs, R.; Sariyildiz, S. Knowledge based integration of sustainability issues in the (re)design process. In Proceedings of the 2011 AAAI Spring Symposium Series, Stanford, CA, USA, 21–23 March 2011; pp. 34–38. [Google Scholar]
  64. Roelofsen, P. A comparison of the dynamic thermal sensation between the modified Stolwijk model and the Fiala thermal physiology and comfort (FPC) model. Intell. Build. Int. 2020, 12, 284–294. [Google Scholar] [CrossRef] [Green Version]
  65. Altomonte, S.; Schiavon, S.; Kent, M.G.; Brager, G. Indoor environmental quality and occupant satisfaction in green-certified buildings. Build. Res. Inf. 2019, 47, 255–274. [Google Scholar] [CrossRef] [Green Version]
  66. Laouadi, A.; Parekh, A. Complex fenestration systems: Towards product ratings for indoor environment quality. Lighting Res. Technol. 2007, 39, 109–122. [Google Scholar] [CrossRef]
  67. Kim, J.; Hong, T.; Jeong, J.; Lee, M.; Lee, M.; Jeong, K.; Koo, C.; Jeong, J. Establishment of an optimal occupant behavior considering the energy consumption and indoor environmental quality by region. Appl. Energy 2017, 204, 1431–1443. [Google Scholar] [CrossRef]
  68. Chen, C.F.; Yilmaz, S.; Pisello, A.L.; De Simone, M.; Kim, A.; Hong, T.Z.; Bandurski, K.; Bavaresco, M.V.; Liu, P.L.; Zhu, Y.M. The impacts of building characteristics, social psychological and cultural factors on indoor environment quality productivity belief. Build. Environ. 2020, 185, 1–18. [Google Scholar] [CrossRef]
  69. Pei, Z.; Lin, B.; Liu, Y.; Zhu, Y. Comparative study on the indoor environment quality of green office buildings in China with a long-term field measurement and investigation. Build. Environ. 2015, 84, 80–88. [Google Scholar] [CrossRef]
  70. Kamaruzzaman, S.N.; Lou, E.C.W.; Wong, P.F.; Edwards, R.; Hamzah, N.; Ghani, M.K. Development of a non-domestic building refurbishment scheme for Malaysia: A Delphi approach. Energy 2019, 167, 804–818. [Google Scholar] [CrossRef] [Green Version]
  71. Quang, T.N.; He, C.; Knibbs, L.D.; De Dear, R.; Morawska, L. Co-optimisation of indoor environmental quality and energy consumption within urban office buildings. Energy Build. 2014, 85, 225–234. [Google Scholar] [CrossRef] [Green Version]
  72. Tang, H.; Ding, Y.; Singer, B.C. Post-occupancy evaluation of indoor environmental quality in ten nonresidential buildings in Chongqing, China. J. Build. Eng. 2020, 32, 1–13. [Google Scholar] [CrossRef]
  73. Sakellaris, I.; Saraga, D.; Mandin, C.; de Kluizenaar, Y.; Fossati, S.; Spinazze, A.; Cattaneo, A.; Szigeti, T.; Mihucz, V.; Fernandes, E.D.; et al. Personal Control of the Indoor Environment in Offices: Relations with Building Characteristics, Influence on Occupant Perception and Reported Symptoms Related to the Building-The Officair Project. Appl. Sci. 2019, 9, 3227. [Google Scholar] [CrossRef] [Green Version]
  74. Piasecki, M.; Kostyrko, K.; Pykacz, S. Indoor environmental quality assessment: Part 1: Choice of the indoor environmental quality sub-component models. J. Build. Phys. 2017, 41, 264–289. [Google Scholar] [CrossRef]
  75. Piasecki, M. Practical implementation of the indoor environmental quality model for the assessment of nearly zero energy single-family building. Buildings 2019, 9, 214. [Google Scholar] [CrossRef] [Green Version]
  76. Salleh, N.M.; Kamaruzzaman, S.N.; Riley, M.; Ahmad Zawawi, E.M.; Sulaiman, R. A quantitative evaluation of indoor environmental quality in refurbished kindergarten buildings: A Malaysian case study. Build. Environ. 2015, 94, 723–733. [Google Scholar] [CrossRef]
  77. Howard, G.S.; Cole, D.A.; Maxwell, S.E. Research productivity in psychology based on publication in the journals of the American Psychological Association. Am. Psychol. 1987, 42, 975–986. [Google Scholar] [CrossRef]
  78. van Leeuwen, T.; Costas, R.; Calero-Medina, C.; Visser, M. The role of editorial material in bibliometric research performance assessments. Scientometrics 2013, 95, 817–828. [Google Scholar] [CrossRef]
  79. Zhang, W.; Yuan, H. A Bibliometric Analysis of Energy Performance Contracting Research from 2008 to 2018. Sustainability 2019, 11, 3548. [Google Scholar] [CrossRef] [Green Version]
  80. Larsen, T.S.; Rohde, L.; Jonsson, K.T.; Rasmussen, B.; Jensen, R.L.; Knudsen, H.N.; Witterseh, T.; Beko, G. IEQ-Compass—A tool for holistic evaluation of potential indoor environmental quality. Build. Environ. 2020, 172, 1–11. [Google Scholar] [CrossRef]
  81. Collinge, W.O.; Landis, A.E.; Jones, A.K.; Schaefer, L.A.; Bilec, M.M. Productivity metrics in dynamic LCA for whole buildings: Using a post-occupancy evaluation of energy and indoor environmental quality tradeoffs. Build. Environ. 2014, 82, 339–348. [Google Scholar] [CrossRef]
  82. Hellwig, R.T. Perceived control in indoor environments: A conceptual approach. Build. Res. Inf. 2015, 43, 302–315. [Google Scholar] [CrossRef]
  83. Wingler, D.; Hector, R. Demonstrating the Effect of the Built Environment on Staff Health-Related Quality of Life in Ambulatory Care Environments. Herd-Health Environ. Res. Des. J. 2015, 8, 25–40. [Google Scholar] [CrossRef]
  84. Naspi, F.; Arnesano, M.; Zampetti, L.; Stazi, F.; Revel, G.M.; D’Orazio, M. Experimental study on occupants’ interaction with windows and lights in Mediterranean offices during the non-heating season. Build. Environ. 2018, 127, 221–238. [Google Scholar] [CrossRef]
  85. Caro, R.; Sendra, J.J. Are the dwellings of historic Mediterranean cities cold in winter? A field assessment on their indoor environment and energy performance. Energy Build. 2021, 230, 1–18. [Google Scholar] [CrossRef]
  86. Khan, D.S.; Kolarik, J.; Hviid, C.A.; Weitzmann, P. Method for long-term mapping of occupancy patterns in open-plan and single office spaces by using passive-infrared (PIR) sensors mounted below desks. Energy Build. 2021, 230, 1–12. [Google Scholar] [CrossRef]
  87. Kim, J.; Hong, T.; Lee, M.; Jeong, K. Analyzing the real-time indoor environmental quality factors considering the influence of the building occupants’ behaviors and the ventilation. Build. Environ. 2019, 156, 99–109. [Google Scholar] [CrossRef]
  88. Dai, X.L.; Liu, J.J.; Zhang, X. A review of studies applying machine learning models to predict occupancy and window-opening behaviours in smart buildings. Energy Build. 2020, 223, 1–15. [Google Scholar] [CrossRef]
  89. Congedo, P.M.; Baglivo, C. Implementation hypothesis of the Apulia ITACA Protocol at district level-part I: The model. Sustain. Cities Soc. 2021, 70, 1–22. [Google Scholar] [CrossRef]
  90. De Lima Montenegro Duarte, J.G.C.; Ramos Zemero, B.; Dias Barreto de Souza, A.C.; de Lima Tostes, M.E.; Holanda Bezerra, U. Building Information Modeling approach to optimize energy efficiency in educational buildings. J. Build. Eng. 2021, 43, 1–14. [Google Scholar] [CrossRef]
  91. Elharidi, A.M.; Tuohy, P.G.; Teamah, M.A. The energy and indoor environmental performance of Egyptian offices: Parameter analysis and future policy. Energy Build. 2018, 158, 431–452. [Google Scholar] [CrossRef] [Green Version]
  92. ASHRAE. Thermal Environmental Conditions for Human Occupancy. American Society of Heating, Refrigerating and Air-Conditioning Engineers. 2004. Available online: www.ashrae.org (accessed on 25 February 2022).
  93. van der Linden, A.C.; Boerstra, A.C.; Raue, A.K.; Kurvers, S.R.; de Dear, R.J. Adaptive temperature limits: A new guideline in The Netherlands a new approach for the assessment of building performance with respect to thermal indoor climate. Energy Build. 2006, 38, 8–17. [Google Scholar] [CrossRef]
  94. Carlucci, S.; Bai, L.; de Dear, R.; Yang, L. Review of adaptive thermal comfort models in built environmental regulatory documents. Build. Environ. 2018, 137, 73–89. [Google Scholar] [CrossRef] [Green Version]
  95. Kim, J.; Tartarini, F.; Parkinson, T.; Cooper, P.; de Dear, R. Thermal comfort in a mixed-mode building: Are occupants more adaptive? Energy Build. 2019, 203, 1–11. [Google Scholar] [CrossRef]
  96. Esfandiari, M.; Zaid, S.M.; Ismail, M.A.; Hafezi, M.R.; Asadi, I.; Mohammadi, S.; Vaisi, S.; Aflaki, A. Occupants’ Satisfaction toward Indoor Environment Quality of Platinum Green-Certified Office Buildings in Tropical Climate. Energies 2021, 14, 2264. [Google Scholar] [CrossRef]
  97. Sediso, B.G.; Lee, M.S. Indoor environmental quality in Korean green building certification criteriacertified office buildingsoccupant satisfaction and performance. Sci. Technol. Built Environ. 2016, 22, 606–618. [Google Scholar] [CrossRef]
  98. Chokor, A.; El Asmar, M.; Tilton, C.; Srour, I. Dual Assessment Framework to Evaluate LEED-Certified Facilities’ Occupant Satisfaction and Energy Performance: Macro and Micro Approaches. J. Archit. Eng. 2016, 22, A4015003. [Google Scholar] [CrossRef]
  99. Navai, M.; Veitch, J. Acoustic Satisfaction in Open-Plan Offices: Review and Recommendations; National Research Council of Canada: Ottawa, ON, Canada, 2003. [CrossRef]
  100. Sun, X.Y.; Wu, H.Z.; Wu, Y. Investigation of the relationships among temperature, illuminance and sound level, typical physiological parameters and human perceptions. Build. Environ. 2020, 183, 1–14. [Google Scholar] [CrossRef]
  101. Wu, H.Z.; Wu, Y.; Sun, X.Y.; Liu, J. Combined effects of acoustic, thermal, and illumination on human perception and performance: A review. Build. Environ. 2020, 169, 1–19. [Google Scholar] [CrossRef]
  102. Nezis, I.; Biskos, G.; Eleftheriadis, K.; Kalantzi, O.-I. Particulate matter and health effects in offices—A review. Build. Environ. 2019, 156, 62–73. [Google Scholar] [CrossRef]
  103. Zhai, Z.; Metzger, I.D. Insights on critical parameters and conditions for personalized ventilation. Sustain. Cities Soc. 2019, 48, 101584. [Google Scholar] [CrossRef]
  104. Shan, X.; Melina, A.N.; Yang, E.-H. Impact of indoor environmental quality on students’ wellbeing and performance in educational building through life cycle costing perspective. J. Clean. Prod. 2018, 204, 298–309. [Google Scholar] [CrossRef]
  105. Li, N.P.; Cui, H.J.; Zhu, C.H.; Zhang, X.H.; Su, L. Grey preference analysis of indoor environmental factors using sub-indexes based on Weber/Fechner’s law and predicted mean vote. Indoor Built Environ. 2016, 25, 1197–1208. [Google Scholar] [CrossRef]
  106. Bronsema, B.; Bokel, R.; van der Spoel, W. Earth, Wind & Fire—Natural Air-Conditioning; International Society of Indoor Air Quality and Climate: Eindhoven, The Netherlands, 2015. [Google Scholar]
  107. Zenissa, R.; Syafei, A.D.; Surahman, U.; Sembiring, A.C.; Pradana, A.W.; Ciptaningayu, T.; Ahmad, I.S.; Assomadi, A.F.; Boedisantoso, R.; Hermana, J. The effect of ventilation and cooking activities towards indoor fine particulates in apartments. Civ. Environ. Eng. 2020, 16, 238–248. [Google Scholar] [CrossRef]
  108. Bluyssen, P.M.; Roda, C.; Mandin, C.; Fossati, S.; Carrer, P.; de Kluizenaar, Y.; Mihucz, V.G.; Fernandes, E.D.; Bartzis, J. Self-reported health and comfort in ‘modern’ office buildings: First results from the European OFFICAIR study. Indoor Air 2016, 26, 298–317. [Google Scholar] [CrossRef] [PubMed]
  109. Buchanan, I.S.H.; Mendell, M.J.; Mirer, A.G.; Apte, M.G. Air filter materials, outdoor ozone and building-related symptoms in the BASE study. Indoor Air 2008, 18, 144–155. [Google Scholar] [CrossRef] [PubMed]
  110. Pedersen, E.; Gao, C.; Wierzbicka, A. Tenant perceptions of post-renovation indoor environmental quality in rental housing: Improved for some, but not for those reporting health-related symptoms. Build. Environ. 2021, 189, 107520. [Google Scholar] [CrossRef]
  111. Thach, T.Q.; Mahirah, D.; Dunleavy, G.; Nazeha, N.; Zhang, Y.C.; Tan, C.E.H.; Roberts, A.C.; Christopoulos, G.; Soh, C.K.; Car, J. Prevalence of sick building syndrome and its association with perceived indoor environmental quality in an Asian multi-ethnic working population. Build. Environ. 2019, 166, 1–8. [Google Scholar] [CrossRef]
  112. Akanmu, W.P.; Nunayon, S.S.; Eboson, U.C. Indoor environmental quality (IEQ) assessment of Nigerian university libraries: A pilot study. Energy Built Environ. 2021, 2, 302–314. [Google Scholar] [CrossRef]
  113. Hu, J.; He, Y.; Hao, X.; Li, N.; Su, Y.; Qu, H. Optimal temperature ranges considering gender differences in thermal comfort, work performance, and sick building syndrome: A winter field study in university classrooms. Energy Build. 2022, 254, 111554. [Google Scholar] [CrossRef]
  114. Vilcekova, S.; Meciarova, L.; Burdova, E.K.; Katunska, J.; Kosicanova, D.; Doroudiani, S. Indoor environmental quality of classrooms and occupants’ comfort in a special education school in Slovak Republic. Build. Environ. 2017, 120, 29–40. [Google Scholar] [CrossRef]
  115. Zhao, Y.; Wen, J.; Xiao, F.; Yang, X.B.; Wang, S.W. Diagnostic Bayesian networks for diagnosing air handling units faults—part I: Faults in dampers, fans, filters and sensors. Appl. Therm. Eng. 2017, 111, 1272–1286. [Google Scholar] [CrossRef]
  116. Kim, D.H.; Bluyssen, P.M. Clustering of office workers from the OFFICAIR study in The Netherlands based on their self-reported health and comfort. Build. Environ. 2020, 176, 1–13. [Google Scholar] [CrossRef]
  117. Rawati, E.; Chou, Y.C.; Lu, C.H. Moderation and Mediation Effect of Distance to Windows and Employees’ Mood between Indoor Environment and Task Performance; International Society of Science and Applied Technologies: Toronto, ON, Canada, 2018. [Google Scholar]
  118. Kallio, J.; Vildjiounaite, E.; Koivusaari, J.; Rasanen, P.; Simila, H.; Kyllonen, V.; Muuraiskangas, S.; Ronkainen, J.; Rehu, J.; Vehmas, K. Assessment of perceived indoor environmental quality, stress and productivity based on environmental sensor data and personality categorization. Build. Environ. 2020, 175, 1–14. [Google Scholar] [CrossRef]
  119. Ncube, M.; Riffat, S. Developing an indoor environment quality tool for assessment of mechanically ventilated office buildings in the UK—A preliminary study. Build. Environ. 2012, 53, 26–33. [Google Scholar] [CrossRef] [Green Version]
  120. Xu, H.; Huang, Q.; Zhang, Q. A study and application of the degree of satisfaction with indoor environmental quality involving a building space factor. Build. Environ. 2018, 143, 227–239. [Google Scholar] [CrossRef]
  121. Huang, M.; Liao, Y. Development of an indoor environment evaluation model for heating, ventilation and air-conditioning control system of office buildings in subtropical region considering indoor health and thermal comfort. Indoor Built Environ. 2021, 31, 807–819. [Google Scholar] [CrossRef]
Figure 1. Database development approach.
Figure 1. Database development approach.
Energies 15 04494 g001
Figure 2. Overlay graph.
Figure 2. Overlay graph.
Energies 15 04494 g002
Figure 3. Evolution map.
Figure 3. Evolution map.
Energies 15 04494 g003
Figure 4. Published original and review papers in the IEQMI field.
Figure 4. Published original and review papers in the IEQMI field.
Energies 15 04494 g004
Figure 5. High-frequency keywords network.
Figure 5. High-frequency keywords network.
Energies 15 04494 g005
Figure 6. High-frequency keywords trend.
Figure 6. High-frequency keywords trend.
Energies 15 04494 g006
Figure 7. Consecutive progress of published papers in primary sources.
Figure 7. Consecutive progress of published papers in primary sources.
Energies 15 04494 g007
Figure 8. Leading journals network visualisation and their clusters in IEQMI research.
Figure 8. Leading journals network visualisation and their clusters in IEQMI research.
Energies 15 04494 g008
Figure 9. Prominent publications in the IEQMI field.
Figure 9. Prominent publications in the IEQMI field.
Energies 15 04494 g009
Figure 10. Network visualisation of main countries conducting research in the IEQMI field.
Figure 10. Network visualisation of main countries conducting research in the IEQMI field.
Energies 15 04494 g010
Figure 11. Highly productive authors and clusters.
Figure 11. Highly productive authors and clusters.
Energies 15 04494 g011
Figure 12. Overlay graph.
Figure 12. Overlay graph.
Energies 15 04494 g012
Figure 13. Thematic evolution map of IEQMI field.
Figure 13. Thematic evolution map of IEQMI field.
Energies 15 04494 g013
Table 1. Journals published the most in the IEQMI field.
Table 1. Journals published the most in the IEQMI field.
JournalNo. of PublicationsTotal CitationAverage CitationLinksTotal Link Strength
Building and Environment11032363619348
Energy and Buildings5916503312117
Sustainability2511451588
Journal of Building Engineering20776830
Energy Procedia15756691884
Building Research and Information1213413828
Energies115351062
Building Simulation1018118815
Buildings10385932
Journal of Cleaner Production98811713
Energy817425810
Sustainable Cities and Society814118722
Indoor Air7122151021
Journal of Building Physics769101144
Applied Energy47619410
Energy Policy432836
Applied Science4297619
International Journal of Ventilation42315515
Science and Technology for the Built Environment4226510
Intelligent Building International4185619
Energy Research and Social Science419534
Table 3. Institutions that published the most on the IEQMI topic.
Table 3. Institutions that published the most on the IEQMI topic.
No.Author AffiliationDocumentsCitationCountry
1The Hong Kong Polytechnic University25785China
2Technical University of Denmark14525Denmark
3University of California Berkeley131173USA
3Delft University of Technology13248The Netherlands
5Polytechnic of Turin12210Italy
5Yonsei University12145South Korea
6Tsinghua University10438China
7University of Malaya881Malaysia
8University of Sydney7290Australia
8Lawrence Berkeley National Laboratory7222USA
8University Paris-Est7188France
8Instytut Techniki Budowlanej779Poland
8University Technology of Malaysia738Malaysia
Note: Only major affiliations having more than seven publications are listed.
Table 4. Contribution score for a multi-author paper.
Table 4. Contribution score for a multi-author paper.
Total Number of AuthorsOrder of a Specific Scholar
1st2nd3rd4th5th6th7th
11.00
20.600.40
30.470.320.21
40.420.280.180.12
50.380.260.170.110.08
60.370.250.160.100.070.05
70.350.240.160.100.070.050.03
Table 5. Productive and highly cited scholars.
Table 5. Productive and highly cited scholars.
ScholarsPublished PapersContribution ScoreTotal
Citations
Average CitationAffiliation
K. W. Mui114.2650145.5The Hong Kong Polytechnic University
L. T. Wong103.4348848.8The Hong Kong Polytechnic University
T. Hong103.0511711.7Yonsei University
M. Piasecki94.029610.7Instytut Techniki Budowlanej
Jimin Kim93.2610411.6Yonsei University
P. Bluyssen73.0513819.7Delft University of Technology
V. Fabi72.7516924.1Polytechnic of Turin
S. Schiavon71.8444864.0University of California Berkeley
R. de Dear 52.2625250.4University of Sydney
K. Ito51.8377.4Kyushu University
S. N. Kamaruzzaman51.137214.4University of Malaya
Y. Zhu50.8936873.6Tsinghua University
A. L. Pisello50.73285.6University of Perugia
S. Habibi449223.0University of Ferrara
Jungsoo Kim42.7523659.0University of Sydney
S P. Corgnati41.885112.8Polytechnic of Turin
K. B. Kostyrko41.84310.8Instytut Techniki Budowlanej
F. Favoino41.4114335.8University of Cambridge
M. Overend40.8615238.0University of Cambridge
B. Cao40.8121453.5Tsinghua University
M. Lee40.786616.5Yonsei University
Table 6. IEQ models and indexes in literature.
Table 6. IEQ models and indexes in literature.
StudyMethodR2IEQ Prediction Model
[37]Linear regression-IEQ = 0.28 × AC + 0.09 × IAQ + 0.42 × TC
[40]Linear regression0.46IEQ = 0.224 × AC + 0.118 × IAQ + 0.316 × TC + 0.171 × VC +0.075
[14]Linear regression-IEQ = 0.39 × AC + 0.2 × IAQ + 0.12 × TC + 0.29 × VC
[119]Linear regression0.94IEQ = 0.18 × AC + 0.36 × IAQ + 0.3 × TC + 0.16 × VC
[42]Linear regression0.911IEQ = 0.529 × AC − 0.136 × IAQ + 0.463 × TC + 0.423 × VC − 2.384
Linear regression0.908IEQ = 0.525 × AC + 0.438 × TC + 0.401 × VC − 3.106
Arithmetic mean model0.893 IEQ = 3.282 + 1.381 × TC + VC + AC / 3
Geometric mean model- IEQ = 2.656 + 1.306 × TC × VC × AC 3
[120]Linear regression0.89IEQ = 0.063 × TC + 0.126 × VC + 0.736 × space
[39]Linear regression0.63IEQ = 0.15 × AC + 0.07 × IAQ + 0.20 × VC + 0.27 × space +0.12 × cleanliness and maintenance + 0.07 × colours and texture + 0.12 × Furnishing
[121]Linear regression-IEQ = +0.49 × CO2 + 0.12 × Temperature + 0.19 × PM2.5 + 0.12 × air movement + 0.11 × Humidity
[38]Logistic regression- IEQ = 1 1 / ( 1 + exp 15.0 + 6.09 × TC + 4.88 × IAQ + 3.7 × VC + 4.74 × AC )
AC: acoustic comfort, TC: thermal comfort, VC: visual comfort.
Publisher’s Note: MDPI stays neutral with regard to jurisdictional claims in published maps and institutional affiliations.

Share and Cite

MDPI and ACS Style

Roumi, S.; Zhang, F.; Stewart, R.A. Global Research Trends on Building Indoor Environmental Quality Modelling and Indexing Systems—A Scientometric Review. Energies 2022, 15, 4494. https://doi.org/10.3390/en15124494

AMA Style

Roumi S, Zhang F, Stewart RA. Global Research Trends on Building Indoor Environmental Quality Modelling and Indexing Systems—A Scientometric Review. Energies. 2022; 15(12):4494. https://doi.org/10.3390/en15124494

Chicago/Turabian Style

Roumi, Soheil, Fan Zhang, and Rodney A. Stewart. 2022. "Global Research Trends on Building Indoor Environmental Quality Modelling and Indexing Systems—A Scientometric Review" Energies 15, no. 12: 4494. https://doi.org/10.3390/en15124494

APA Style

Roumi, S., Zhang, F., & Stewart, R. A. (2022). Global Research Trends on Building Indoor Environmental Quality Modelling and Indexing Systems—A Scientometric Review. Energies, 15(12), 4494. https://doi.org/10.3390/en15124494

Note that from the first issue of 2016, this journal uses article numbers instead of page numbers. See further details here.

Article Metrics

Back to TopTop