Abstract
Vibrations occur in the wind turbine drivetrain due to the drivetrain’s elasticity and gear clearance. Typically, the PID control method is used to suppress elastic vibration, while the method with the disturbance suppression function is used to suppress nonlinear gear clearance vibration. The purpose of this paper is to propose an equivalent PID control method based on the internal model control (IMC) for suppressing vibration caused by the wind turbine drivetrain’s elasticity and gear clearance. The equivalent PID controller can suppresses elastic vibration; the IMC controller can suppresses gear clearance vibration. First, the vibration principle of the two-mass wind turbine drivetrain with clearance is discussed. After analyzing the nonlinear characteristics of the gear clearance, the nonlinear clearance system is decomposed into a linear unit and a nonlinear bounded disturbance unit. To suppress nonlinear bounded disturbances, a disturbance suppression method based on IMC is proposed; simultaneously, an equivalent PID controller based on IMC is designed to resolve the vibration issue caused by the wind turbine drivetrain’s elasticity. The simulation experimental results show that the clearance vibration is suppressed by the original IMC method. The PID controller obtained by the IMC equivalent transformation can suppress the elastic vibration.
1. Introduction
The elasticity of the wind turbine drivetrain and the gear clearance are two critical factors that contribute to drivetrain vibration. These vibrations typically manifest themselves in the drivetrain of the servo drive and wind power generation systems. They have a significant impact on the drivetrain’s steady-state and dynamic performance.
The drivetrain of a doubly fed wind power generation system comprises a wind turbine blade and hub, a speed-raising gearbox, a generator and a transmission shaft, and the gearbox contains three gear systems, resulting in a complex multi-mass drivetrain. Through this wind turbine drivetrain, the wind turbine drives the generator via the transmission shaft and the speed-raising gearbox. In contrast to the servo system, the wind power generation system experiences vibration not only due to the elasticity of the transmission shaft but also due to gear clearance. References [1,2] study the dynamic response of a wind turbine gearbox under different excitation conditions. With the help of the time history, frequency spectrum, phase portrait, Poincare map, the dynamic responses of wind turbine gearbox components are investigated by using the numerical integration method. It can be seen from the references that there is vibration in the gearbox, and the vibration frequency is high. It is necessary to research the vibration suppression.
Many studies have been conducted on the mechanism of vibration caused by the elasticity of the drivetrain and the methods for its suppression [3,4]. A notch filter or linear PID controller is typically used to suppress vibration caused by the drivetrain’s elasticity [5]. When PID control methods are used, custom-designed controller parameters must be used. The coefficient diagram method (CDM) is used to calculate the primary parameters [6,7]. Additionally, there are optimization algorithms, such as particle swarm optimization (PSO) [8], genetic algorithm and others. However, the methods used to suppress elastic vibration cannot be used to suppress the nonlinear vibration caused by gear clearance.
Typically, the disturbance observer [9] is used to suppress the nonlinear vibration caused by gear clearance. The disturbance observer’s principle of vibration suppression is based on the fact that a nonlinear gear clearance system N can be expressed using a linear H and a nonlinear bounded disturbance d. The specific method uses a disturbance observer to observe the nonlinear bounded disturbance d and feedback to the input end to cancel out the influence of nonlinear factors in the system, thereby achieving a linear performance for the N. This is a form of compensation control. The key to disturbance suppression is accurate observation and compensation. The suppression effect cannot be achieved if the disturbance is not observed correctly.
To suppress the disturbance more effectively, the common IMC method [10] is used in the early stages to suppress the nonlinear vibration of the drivetrain with clearance for the wind power generation system. The research idea is that by utilizing the IMC’s superior anti-disturbance performance, the nonlinear disturbance of gear clearance can be suppressed, and satisfactory results are obtained. However, because this research does not consider the suppression of elastic vibration, it is difficult to suppress both elastic and nonlinear clearance vibration simultaneously. As a result, a method is required that can suppress both the vibration caused by the elasticity and the gear clearance.
A typical two-mass system was selected as the research object for the drivetrain analysis of wind power generation systems. The reasons are as follows: (1) The multi-mass system containing N mass blocks is composed of N − 1 two-mass systems [11], with the two-mass system serving as the basis. (2) The research conclusion of the two-mass system can be extended to the multi-mass system.
In this paper, the two-mass wind turbine drivetrain with gear clearance is considered as the research object. First, the vibration caused by the wind turbine drivetrain’s elasticity is discussed, followed by the nonlinear characteristics of gear clearance and the vibration principle. For the nonlinear bounded disturbance signal d obtained by equivalent decomposition of the clearance nonlinear system, a disturbance suppression method based on IMC is proposed. A PID controller based on IMC is used to suppress vibration caused by the wind turbine drivetrain’s elasticity by exploiting the IMC’s effective disturbance rejection performance to suppress the nonlinear disturbance caused by gear clearance. The simultaneous suppression of elastic vibration and clearance disturbance is possible, and experiments confirm the method’s effectiveness.
2. Mathematical Model of the Two-Mass Wind Turbine Drivetrain
2.1. Wind Turbine Drivetrain
The wind turbine drivetrain [12] is shown in Figure 1.
Figure 1.
The structural diagram of the wind turbine drivetrain.
On the far left is the wind turbine, which is connected via a low-speed shaft to the gearbox’s planetary gear train. A high-speed shaft connects the gearbox’s second parallel gear train to the generator on the right. The gearbox is made up of three distinct components: a planetary gear train, a first parallel gear train and a second parallel gear train.
Figure 2 is a schematic diagram of the motion relation of the equivalent gear. In the diagram, the driving gear drives the driven gear, which has to go through the delay of 2b clearance.
Figure 2.
The schematic diagram of gear structure and motion relation.
The driving gear’s elasticity is allocated to the low-speed shaft, and the moment of inertia is allocated to the wind turbine. The driven gear’s elasticity is allocated to the high-speed shaft, and the rotational inertia is allocated to the generator. To demonstrate the effect of gear clearance on the wind turbine drivetrain, a clearance nonlinear module N represents the equivalent total clearance of three gear systems in the gearbox. Finally, as illustrated in Figure 3, the mechanical structure of the two-mass wind turbine drivetrain with gear clearance can be obtained.
Figure 3.
The mechanical structure schematic diagram of the two-mass wind turbine drivetrain.
In Figure 3, is the driving torque of the wind turbine, is the rotational torque of the generator, is the load resistance torque; is the wind turbine rotation speed, is the generator rotation speed; is the equivalent moment of inertia of the wind turbine mass block, including the converted value of the rotational inertia of the driving gear; is the equivalent moment of inertia of the generator mass block, including the converted value of the rotational inertia of the driven gear. K is the equivalent elastic coefficient of the wind turbine drivetrain, which includes the converted elastic coefficient of the gearbox. The clearance module represents the total equivalent clearance of the gearbox.
2.2. Mathematical Model of the Two-Mass Wind Turbine Drivetrain
When modeling the transfer function of a two-mass wind turbine drivetrain with clearance, the gear clearance is not taken into account. After obtaining the wind turbine drivetrain’s transfer function structure diagram, according to Equation (2), the nonlinear clearance unit is added. Because this article primarily discusses wind turbine drivetrain vibration and its suppression, for the sake of simplicity, the gearbox transmission ratio is assumed to be one when modeling the two-mass wind turbine drivetrain’s transfer function.
It can be observed in Figure 3.
The Laplace transform of Equation (1) is used to obtain Equation (2):
The corresponding transfer function structure diagram can be obtained using Equation (2). The structure diagram is then updated to include the clearance nonlinear module. The transfer function structure diagram of the wind power generation system’s two-mass wind turbine drivetrain with gear clearance is obtained, as shown in Figure 4. The mathematical model of gear clearance N is shown in Equation (7).
Figure 4.
The transfer function structure diagram of the two-mass wind turbine drivetrain with clearance.
3. Vibration Analysis of Wind Turbine Drivetrain
3.1. Elastic Vibration of Two-Mass Wind Turbine Drivetrain
3.1.1. Elastic Vibration Analysis of Two-Mass Wind Turbine Drivetrain
- (1)
- The speed generated by the rotational torque of the wind turbine is ; we can obtain Equation (3):
- (2)
- The speed generated by the load torque is , thus
According to Equation (3), the two-mass drivetrain has one resonance point and one anti-resonance point. According to Equation (4), there is a resonant point in the drivetrain.
- (3)
- The speed produced by is
The inverse Laplace transform of Equation (5) is obtained:
where [13].
According to Equation (6), the step response of the two-mass wind power generation system is the superposition of a constant output and a constant amplitude oscillation with frequency.
3.1.2. Elastic Vibration Experiment of the Two-Mass Wind Turbine Drivetrain
According to the transfer function of Equations (3) and (4), the Bode diagram of the two-mass wind turbine drivetrain is shown in Figure 5a,b. The parameters [14] for drawing the Bode diagram are shown in Table 1.
Figure 5.
The Bode diagram of the two-mass wind turbine drivetrain. (a) Wind turbine transfer function Bode diagram; (b) Generator transfer function Bode diagram.
Table 1.
The simulation experiment parameters in per unit based on high speed rotation.
As illustrated in Figure 5, in the two-mass wind turbine drivetrain, the number of resonance and anti-resonance points of the wind turbine and the generator is consistent with the theoretical analysis. When a resonant point exists, it indicates that there is vibration, and the vibration frequency is low.
3.2. The Vibration Caused by Gear Clearance in Wind Turbine Drivetrain
3.2.1. Nonlinear Characteristics of Gear Clearance and Its Influence
The gear clearance in the wind turbine drivetrain system is a nonlinear characteristic.
Figure 6 describes the nonlinear characteristics of the clearance [15] and its influence on the control system. The input and output relation of gear clearance can be obtained from Figure 6a, as shown in Equation (7).
Figure 6.
The nonlinear characteristics and influence on output signals with gear clearance. (a) Gear clearance nonlinear characteristics; (b) Influence of gear clearance on the output signal.
In the characteristics shown in Figure 6a, the input is the position v of the driving gear, the output is the position q of the driven gear, 2b is the total clearance in the wind turbine drivetrain, and the characteristic slope is k.
There are two main influences of gear clearance on the control system:
- (1)
- The gear clearance lead to decrease in output signal amplitude and phase lag occur. As illustrated in Figure 6b, the output signal is limited due to the influence of by gear clearance characteristics. Due to the influence of the gear clearance 2b, the output signal lags behind the input signal in the phase by an angle of φ. Thus, the stability and dynamic performance of the system are affected, and the system’s instability is increased.
- (2)
- When there is nonlinearity in the gear clearance, the two-mass wind turbine drivetrain transitions from a linear to a nonlinear state, as illustrated in Figure 4, and vibration may occur [1,2].
3.2.2. Experimental Verification of Nonlinear Vibration of Gear Clearance
To verify the effect of gear clearance on wind turbine drivetrain performance, the system output of the same parameters without clearance was subtracted from the output of the two-mass wind turbine drivetrain transfer function in Figure 4 to create an experimental system capable of verifying the vibration caused by nonlinear clearance, as shown in Figure 7.
Figure 7.
Experimental system of verifying nonlinear clearance vibration.
The difference between the two output speed waveforms is shown in Figure 8a, which is the vibration generated by the nonlinear unit of gear clearance. The waveform of Figure 8b is the frequency spectrum of the speed difference of the generator.
Figure 8.
The speed difference caused by clearance and its frequency spectrum. (a) The waveform of the two-velocity deviation; (b) Frequency spectrum.
As illustrated in Figure 8, the system’s output speed vibration is caused by the gear clearance, and the vibration frequency is high.
4. Methods to Suppress Vibration of Wind Turbine Drivetrain
4.1. PID Control Method to Suppress Elastic Vibration of the Wind Turbine Drivetrain
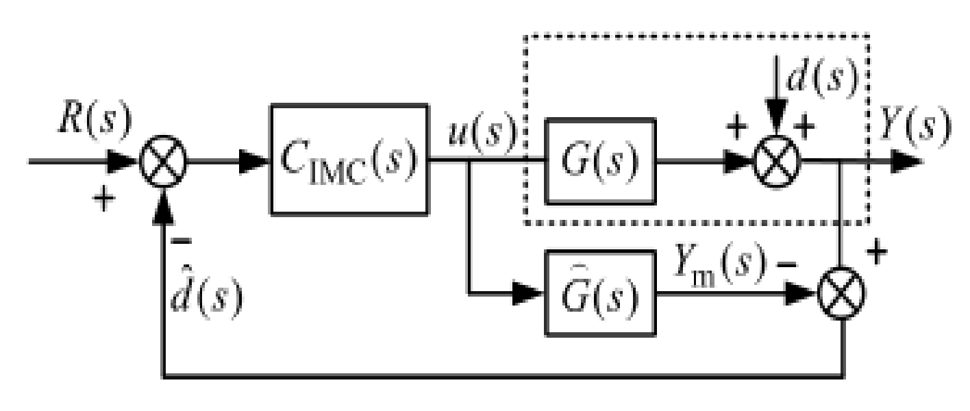
The PID speed controller method is typically used to eliminate the vibration caused by the elasticity of the wind turbine drivetrain. As we can see from Figure 5, the resonant frequency caused by the elasticity of the wind turbine drivetrain is low. The speed controller can change the pitch angle of the wind turbine blade by a variable pitch device to adjust the driving torque applied to the wind turbine blade and then realize the control of wind turbine driving torque The PID1 speed controller is used to eliminate the wind turbine speed vibration caused by wind turbine drivetrain elasticity, and the PID2 is used to eliminate the generator speed vibration. The structure diagrams are shown in Figure 9. There are various methods for calculating the PID controller parameters in the diagram [6,7,8]. This paper combines with the subsequent IMC principle, we put forward another method to calculate PID speed controller parameters.
Figure 9.
The transfer function structure diagram of suppressing elastic vibration by PID controller. (a) Wind turbine speed feedback control; (b) Generator speed feedback control.
4.2. Methods to Suppress the Clearance Vibration of the Wind Turbine Drivetrain
It is necessary to explore another method to suppress vibration caused by the nonlinearity of gear clearance.
4.2.1. Equivalence of Gear Clearance Nonlinearity
In Figure 6, the role of nonlinear gear clearance N in the system can be represented by the equivalent unit in the dotted box in Figure 10, where N is decomposed into two parts, N = H + d [16].
Figure 10.
The nonlinear model of gear clearance.
H(s) is a linear time-invariant system, and d(s) is a nonlinear time-varying system, representing a bounded disturbance. When the nonlinearity of gear clearance is expressed by the bounded disturbance d(s), the control theory method can be used to eliminate the influence of the nonlinear disturbance of the clearance, so that N presents a linear performance.
The clearance characteristics N of the wind turbine drivetrain are shown in Figure 11.
Figure 11.
Equivalence of clearance characteristics.
Obviously, for all v, the graph of N lies between or on two parallel lines G+(v) = k v + b and G−(v) = k v − b. Therefore, N can be decomposed into N = H + d, where the transfer function of the linear part is H(s) = k, that is, the straight line passing through the origin of coordinates in the figure. d(s) is a nonlinear disturbance function bounded by b, in this case, 2b = 0.2. For the convenience of transformation, the slope k of the clearance characteristic is 1. Then, the nonlinear unit N can be represented by H(s) = 1 and the nonlinear bounded disturbance function d(s) in the dotted box in Figure 10. That is, the nonlinear factor of gear clearance can be seen as the disturbance of the system.
When the nonlinear factor of gear clearance is equal to the bounded disturbance function, it is possible to eliminate the vibration caused by gear clearance in the wind turbine drivetrain using a control strategy with a disturbance suppression function. IMC is a type of control strategy that exhibits high performance in terms of disturbance rejection.
4.2.2. Principle of IMC to Suppress Nonlinear Disturbance of Gear Clearance
The structure of a common feedback control system is shown in Figure 12. C(s) is the feedback controller, G(s) is the controlled object, d(s) is the unmeasured disturbance, R(s) and Y(s) are the input and output signals of the control system, respectively. As shown in Figure 12, the feedback signal is directly taken from the system’s output, so the influence of d(s) on the output cannot be distinguished from other factors in the feedback, and the disturbance cannot be effectively controlled.
Figure 12.
Structural diagram of common feedback control system.
The IMC structure of Figure 13 can be obtained by an equivalent transformation of the structure of Figure 12. is the prediction model of the controlled object, so the disturbance d(s) is separated to participate in the feedback control.
Figure 13.
The structure diagram of IMC.
In Figure 13, the IMC controller is
From Figure 13, the inhibition effect of IMC on disturbance can be analyzed [17]:
- (1)
- IMC can adjust the output deviation caused by unmeasured disturbance d(s).
When the disturbance d(s) appears, the system has a feedback adjustment mechanism to suppress the unmeasured disturbance d(s). For example:
- (2)
- When the model is matched with the controlled object, that is, and the system can overcome any unmeasured disturbance d(s) and achieve no deviation tracking for any input R(s). For example, as can be seen from Figure 13
If the model is matched with the controlled object and can be realized, Equation (8) becomes Y(s) = R(s), and the output of the system is always equal to the input. It is independent of the disturbance d(s).
4.3. Internal Model (IMC) ControllerDesign
The following are the steps involved in the design of an IMC controller: First, an ideal stable controller is designed without regard for the system’s robustness or constraints; Second, a low-pass filter L(s) is added to stabilize the system and to help it achieve the desired dynamic performance. The structure and parameters of L(s) are adjusted to achieve the desired dynamic performance [10,17].
When the prediction model of the controlled object is known, the IMC controller can be calculated by following the formula.
where L(s) is a low-pass filter.
4.3.1. Design of IMC Controller for Wind Turbine Side
- (1)
- Structural diagram transformation of two-mass wind turbine drivetrains for wind turbine side
In order to design the wind turbine side IMC controller, it is necessary to transform the controlled object (ratio of the wind turbine speed to wind turbine torque) and the disturbance caused by nonlinear gear clearance d(s) into the form in the dot-crossed box in Figure 13.
is substituted in Figure 4, and the clearance nonlinearity in Figure 4 is replaced with the equivalent unit in Figure 10. The equivalent structure diagram of the two-mass wind turbine drivetrain of the wind turbine can be derived as Figure 14a, substituting H(s) = 1 into Figure 14a, and after a series of equivalent transformations of the transfer function structure diagram, Figure 14b is finally obtained.
Figure 14.
Equivalent structure diagram of the two-mass wind turbine drivetrain of wind turbine (a) Equivalent transformation of structure diagram (1); (b) Equivalent transformation of structure diagram (2).
- (2)
- Design of IMC controller for wind turbine side
In Figure 14,
By substitute the parameters in Table 1 into the equation G1(s), the controlled object on the wind turbine side can be obtain as
The filter is selected as ; then, the wind turbine side IMC controller can obtained as below as:
By substituting the parameter of α, the wind turbine side IMC controller can be obtained.
4.3.2. Design of IMC Controller for Generator Side
In order to design the generator side IMC controller, it is necessary to transform the controlled object (ratio of the generator speed to wind turbine torque) and the clearance nonlinear disturbance d(s) into the form in the dot-crossed box in Figure 13 for the design of the IMC controller.
After a series of equivalent transformations of the transfer function structure diagram similar to the wind turbine side, Figure 15 is finally obtained.
Figure 15.
Equivalent transformation of structure diagram of the two-mass wind turbine drivetrain of the generation side.
In Figure 15,
From the expression of G2(s), it can be seen that G2(s) is a minimum phase system without zero in the right half-plane. Then, the controlled object G2(s) can be decomposed into , where G2+(s) = 1. Substituting the parameters in Table 1, then
The low-pass filter can be selected as
The designed IMC controller is
By substituting the parameter of β, the generator side IMC controller can be obtained.
4.4. Suppression Strategy of Gear Clearance Vibration
Essentially, the vibration of the wind turbine drivetrain is caused by the torque difference between the aerodynamic torque of the wind turbine and the electromagnetic torque of the generator. There are two main ways to suppress the vibration. One is regulating the aerodynamic torque of the wind turbine by variable pitch control; the other is regulating the electromagnetic torque by power generation control [18]. The vibration frequency caused by the elasticity of the drive shaft is relatively low, and it can be suppressed by the closed control loop of pitch-velocity of the wind power generation system. However, the vibration frequency caused by gear clearance is high. If variable pitch control is used, the variable pitch actuator cannot follow the controller’s signal to change rapidly. Therefore, the electromagnetic torque of the power generation system can be controlled by the closed control loop of torque-speed to eliminate the vibration of the wind turbine drivetrain. In torque control, damping control can also be added. The control strategy of the torque + damping control is as follows: when the wind turbine drivetrain produces vibration, reverse torque is added to the electromagnetic torque of the generator to offset the adverse input torque that causes vibration. The concrete realization is divided into two steps: the first step is the extraction of the vibration signal of a specific frequency from the speed of the generator and filtering it with band-pass filter; the second step is to add the reverse torque for phase correction. The torque and damping control strategies can effectively suppress the drivetrain vibration caused by gear vibration [19,20].
5. Design of PID Controller Based on IMC
PID controllers are widely used to suppress vibration caused by the wind turbine drivetrain’s elasticity. This paper aims to demonstrate a method for designing PID controller parameters based on IMC. This method allows for simultaneous suppression of vibration caused by the elasticity of the wind turbine drivetrain and nonlinear vibration caused by gear clearance.
5.1. PID Controller Design Method Based on IMC
The IMC structure shown in Figure 13 is transformed into the feedback controller structure shown in Figure 12.
Substituting and into Equation (13), Equation (14) is obtained:
Select an appropriate filter L(s) and express the feedback controller C(s) into Equation (15):
Q(s) can be expanded into the Maclaurin series, and controller C(s) can be expressed as [21,22,23]
The PID form of the feedback controller is
After ignoring the higher-order term in C(s), the PID controller parameters can be obtained by comparing the coefficients of Equations (16) and (17), as shown in Equation (18).
5.2. Design of PID Controller Based on IMC
5.2.1. Design of PID Controller Based on IMC for Wind Turbine Side
In Figure 14b,
The filter is selected as
The constructed function is shown in Equation (19):
where ; the simplified Equation (19) can be obtained as
obtain
By substituting the parameters of Table 1 and α, the PID controller for the wind turbine side can be obtained as Equation (24).
5.2.2. Design of PID Controller Based on IMC for Generator Side
In Figure 15,
The filter is selected as
The constructed Q2(s) function is shown in Equation (21):
where ; the simplified Equation (21) can be obtained as
obtain
By substituting the parameters of Table 1 and β, the generator side PID controller can be obtained as Equation (26).
6. Simulation Experiment and Result Analysis
6.1. Speed Experiment of the Wind Turbine Side
6.1.1. Speed Experiment of PID Control Based on IMC for Wind Turbine Side
By substituting the parameters in Table 1 and α = 10, we can obtain
- (1)
- Transfer function of the controlled object:
- (2)
- PID controller based on IMC:
- (3)
- The PID simulation plan 1: A Simulink simulation model was developed using the feedback control structure illustrated in Figure 12 and the transfer function of Equation (24). The wind turbine speed waveform is shown in Figure 16. Figure 16a,b show the output speed waveforms of the wind turbine, with α = 10, 2, respectively.
Figure 16. While α alter, the wind turbine speed waveform of PID control based on IMC and experiment scheme 1. (a) The speed waveform of α = 10; (b) The speed waveform of α = 2. - (4)
- The result analysis of PID simulation 1: As illustrated in Figure 16, using the wind turbine speed as the controlled variable and a PID controller based on the IMC, the vibration caused by the wind turbine drivetrain’s elasticity is eliminated. The wind turbine’s output speed Ww waveform can track the reference input Ww.ref accurately without vibration. Experimental results validate the theoretical analysis. It demonstrates that a PID controller based on IMC can suppress vibration caused by elasticity. The larger the α, the smaller value of the vibration amplitude.
- (5)
- The PID simulation plan 2: A Simulink simulation model was developed using the control structure illustrated in Figure 9a and the transfer function of Equation (24). The wind turbine speed waveform is shown in Figure 17. Figure 17a,b show the output speed waveforms of the wind turbine, with α = 10, 2, respectively.
Figure 17. While α alter, the wind turbine speed waveform of PID control based on IMC and experiment scheme 2. (a) The speed waveform of α = 10; (b) The speed waveform of α = 2. - (6)
- The result analysis of PID simulation 2: In Figure 17, using the control structure illustrated in Figure 9a and the controller based on the IMC, the vibration caused by the wind turbine drivetrain’s elasticity is eliminated. The wind turbine’s output speed waveform can track the reference input accurately without vibration. It demonstrates that a PID controller based on IMC can suppress vibration caused by elasticity. The effect of vibration suppression is consistent with that of experimental scheme 1.
6.1.2. Speed Experiment Based on IMC for Wind Turbine Side
- (1)
- In Figure 14b, the controlled object on the wind turbine side
- (2)
- The filter is selected as ; then, the wind turbine side IMC controller is designed as
By substituting the parameter of α, the wind turbine side IMC controller can be obtained.
- (3)
- IMC simulation plan: A Simulink simulation model was developed using the IMC control structure illustrated in Figure 13 and the transfer function of Equation (25). The wind turbine speed waveform is shown in Figure 18. Figure 18a,b show the output speed waveforms of the wind turbine, with α = 10, 2, respectively.
Figure 18. While α alter, the wind turbine speed waveform based on IMC. (a) The wind turbine speed waveform of α = 10, (b) The speed waveform of α = 2. - (4)
- The result analysis of simulation: As illustrated in Figure 18, using the wind turbine speed as the controlled variable and an IMC controller, the vibration caused by the wind turbine drivetrain’s gear clearance is eliminated. The wind turbine’s output speed waveform can track the reference input accurately without vibration. Experimental results validate the theoretical analysis. The larger the α, the better the effect of vibration suppression.
6.2. Speed Experiment of the Generator Side
6.2.1. Speed Experiment of PID Control Based on IMC for Generator Side
By substituting the parameters in Table 1 and β = 15, we can obtain
- (1)
- Transfer function of the controlled object:
- (2)
- PID controller based on IMC:
- (3)
- The PID simulation plan 1: A Simulink simulation model was developed using the feedback control structure illustrated in Figure 12 and the transfer function of Equation (26). The generator speed waveform is shown in Figure 19. Figure 19a,b show the output speed waveforms of the generator, with β = 15, 20, respectively.
Figure 19. While β changes, the generator speed waveform of PID control based on IMC and experiment scheme 1. (a) The speed waveform of β = 15, (b) The speed waveform of β = 20. - (4)
- The result analysis of PID simulation 1: As illustrated in Figure 19, using the generator speed as the controlled variable and a PID controller based on the IMC, Figure 19 demonstrates that a PID controller based on IMC can suppress the vibration caused by elasticity. The larger value the β, the longer the dynamic response time.
- (5)
- The PID simulation plan 2: A Simulink simulation model was developed using the control structure illustrated in Figure 9b and the transfer function of Equation (26). The generator speed waveform is shown in Figure 20. Figure 20a,b show the output speed waveforms of the generator when β = 15, 20, respectively.
Figure 20. While β alter, the generator speed waveform of PID control based on IMC and experiment scheme 2. (a) The speed waveform of β = 15, (b) The speed waveform of β = 20. - (6)
- The result analysis of PID simulation 2: As illustrated in Figure 20, using the generator speed of Figure 9b as the controlled variable and a PID2 controller based on the IMC, Figure 20 demonstrates that a PID2 controller based on IMC can suppress the vibration caused by elasticity. The larger the value of β, the longer the dynamic response time. The effect of vibration suppression is consistent with that of experimental scheme 1.
6.2.2. Speed Experiment Based on IMC for Generator Side
- (1)
- (2)
- The filter is selected as ; then, the generator side IMC controller is designed as
By substituting β = 15, the generator side IMC controller can be obtained.
- (3)
- IMC simulation plan: A Simulink simulation model was developed using the IMC control structure illustrated in Figure 13 and the transfer function of Equation (27). The generator speed waveform is shown in Figure 21. Figure 21a,b show the output speed waveforms of the generator when β = 15, 20, respectively.
Figure 21. While β alter, the generator speed waveform based on IMC. (a) The speed waveform of β = 15; (b) The speed waveform of β = 20. - (4)
- The result analysis of simulation: As illustrated in Figure 21, using the generator speed as the controlled variable and an IMC controller, the vibration caused by the wind turbine drivetrain’s gear clearance is eliminated. The generator’s output speed waveform can track the reference input without vibration. The smaller value of the β, the better the dynamic response performance.
7. Conclusions
The wind turbine drivetrain’s elasticity vibration suppression and gear clearance vibration suppression are investigated in this paper using the two-mass wind turbine drivetrain as the research object. Since the N (N means the nonlinear clearance unit) can be decomposed equivalently into a linear unit and a nonlinear bounded disturbance unit, the following work is performed in this paper, and relevant conclusions are drawn:
- (1)
- A disturbance suppression method based on IMC was proposed to address the nonlinear bounded disturbance presented by the nonlinear unit of gear clearance. The nonlinear disturbance factors associated with gear clearance are suppressed by utilizing the IMC’s effective disturbance rejection performance.
- (2)
- An equivalent PID controller based on IMC is used to suppress elasticity vibration in a two-mass wind turbine drivetrain. PID control can be used to suppress elastic vibration, while IMC can be used to suppress nonlinear clearance vibration. The simulation results demonstrate the method’s efficacy.
Author Contributions
Conceptualization, C.Z.; methodology, C.Z.; software, Y.S.; formal analysis, C.Z.; investigation, Y.S.; resources, Y.S.; data curation, C.Z.; writing—original draft preparation, C.Z.; writing—review and editing, Y.S.; visualization, C.Z.; supervision, Y.S.; project administration, Y.S.; funding acquisition, Y.S. All authors have read and agreed to the published version of the manuscript.
Funding
This work was supported in part by the National Key research and development Program of China, No.2020YFB1711102.
Institutional Review Board Statement
Not applicable.
Informed Consent Statement
Not applicable.
Data Availability Statement
The data that support the findings of this study are available from the corresponding author upon reasonable request.
Conflicts of Interest
The authors declare no conflict of interest.
References
- Zhao, M.; Ji, J.C. Nonlinear torsional vibrations of a wind turbine gearbox. Appl. Math. Model. 2015, 39, 4928–4950. [Google Scholar] [CrossRef]
- Zhao, M.; Ji, J. Dynamic Analysis of Wind Turbine Gearbox Components. Energies 2016, 9, 110. [Google Scholar] [CrossRef]
- Yang, M.; Hu, H.; Xu, D.-G. Cause and suppression of mechanical resonance in PMSM servo system. Electr. Mach. Control 2012, 16, 79–84. [Google Scholar]
- Yang, M.; Hao, L.; Xu, D.-G. Online suppression of mechanical resonance based on adapting notch filter. J. Harbin Inst. Technol. 2014, 46, 63–69. [Google Scholar]
- Zhang, G.; Hrusho, J. Vibration Control of Three-Inertia System. In Proceedings of the IECON’99. Conference Proceedings. 25th Annual Conference of the IEEE Industrial Electronics Society, San Jose, CA, USA, 29 November–3 December 1999; pp. 1045–1050. [Google Scholar]
- Wu, Y.; Fujikawa, K.; Kobayashi, H. A Torque Control Method of Two-Mass Resonant System with PID-P Controller. In Proceedings of the 1998 IEEE 5th International Workshop on Advanced Motion Control. Proceedings (AMCelectronics-1851317—98), Coimbra, Portugal, 29 June–1 July 1998; pp. 1046–1052. [Google Scholar]
- Nakayama, Y.; Fujikawa, K.; Kobayashi, H. A Torque Control Method of Three-Inertia Torsional System with Backlash. In Proceedings of the 2000 IEEE 6th International Workshop on Advanced Motion Control. Proceedings, Nagoya, Japan, 30 March–1 April 2000; pp. 193–198. [Google Scholar]
- Ikeda, H.; Ueda, S. Design of Vibration Suppression Controller for High Order Resonance System by Mutation-Type Grouping PSO. In Proceedings of the 2013 IEEE 10th International Conference on Power Electronics and Drive Systems (PEDS), Kitakyushu, Japan, 22–25 April 2013; pp. 767–772. [Google Scholar]
- Xia, C.; Na, X.-Z.; Chai, X.-H.; Song, T. Analysis on Mechanism and Suppression of Mechanical Resonance in Servo System. Navig. Position. Timing 2016, 3, 29–34. [Google Scholar]
- Harnefors, L.; Nee, H.-P. Model-Based Current Control of AC Machines Using the Internal Model Control Method. IEEE Trans. Ind. Appl. 1998, 34, 133–141. [Google Scholar] [CrossRef]
- Wu, P.J.; Ma, S.K.; Chen, Q.; Yang, G.; Li, X. Resonant Suppression of Flexible System by Feedback Compensation of Resonant Frequencies. Trans. China Electrotech. Soc. 2017, 32, 188–194. [Google Scholar]
- Miao, F.-L.; Shi, H.-S.; Zhang, X.-Q. Modelling of Wind Turbines Coupled in Multi Domain and Dynamic Response Analysis. Proc. CSEE 2015, 35, 1704–1712. [Google Scholar]
- Yang, M.; Hao, L.; Xu, D.-G. Analysis of mechanical resonance mechanism and fast identification of resonance characteristic for 2-mass system with elastic load. Electr. Mach. Control. 2016, 20, 112–120. [Google Scholar]
- Xu, Z.; Pan, Z.-P. Influence of Different Flexible Drive Train Models on the Transient Responses of DFIG Wind Turbine. In Proceedings of the 2011 Electrical Machines and Systems (ICEMS), Beijing, China, 20–23 August 2011. [Google Scholar]
- He, C.-Y.; Zhang, X.-D.; Wu, K.; Yu, D.-D. Compensation Method for Gap of Electric Servo and Engine. Aerosp. Shanghai 2016, 33, 117–121. [Google Scholar]
- Shahruz, S.M. Performance Enhancement of a Class of Nonlinear Systems by Disturbance Observers. IEEE ASME Trans. Mechatron. 2000, 5, 319–323. [Google Scholar] [CrossRef]
- Zhou, Y.-S. Internal Model Control Technology of Induction Motor AC-AC Frequency Conversion Speed Regulation System; Publishing House of Electronics Industry: Beijing, China, 2005; pp. 30–33. [Google Scholar]
- Xing, Z.; Chen, L.; Xu, J.; Yang, Y. Torque Control Strategy Research of Large- Scale Vspr Wind Turbine. Acta Energ. Sol. Sin. 2012, 33, 738–744. [Google Scholar]
- Sun, J. Control on Vibration of the Drive Chain in Wind Turbine. Electr. Mach. Technol. 2017, 4, 23–27. [Google Scholar]
- Li, J.; He, G.; Lan, Y.; Hu, H. Measurement and Suppression of Shafting Torsional Vibration of Wind Turbine Drive System. Ship Eng. 2019, 41, 252–255. [Google Scholar]
- Kongratana, V.; Tipsuwanporn, V.; Numsomran, A.; Detchrat, A. IMC-Based PID Controllers Design for Torsional Vibration System. In Proceedings of the 12th International Conference on Control, Automation and Systems, Jeju, Korea, 17–21 October 2012; pp. 892–895. [Google Scholar]
- Pawar, S.N.; Borase, R.P.; Jadhav, S.P. Design and Implementation of IMC based PID Control using Arduino for Process Control Application. In Proceedings of the 2020 International Conference on Industry 4.0 Technology (I4Tech), Pune, India, 13–15 February 2020; pp. 29–33. [Google Scholar]
- Suvilath, S.; Khongsomboun, K.; Benjanarasuth, T.; Komine, N. IMC-Based PID Controllers Design for a Two-Links SCARA Robot. In Proceedings of the TENCON 2011—2011 IEEE Region 10 Conference, Bali, Indonesia, 21–24 November 2011; pp. 1030–1034. [Google Scholar]
Publisher’s Note: MDPI stays neutral with regard to jurisdictional claims in published maps and institutional affiliations. |
© 2022 by the authors. Licensee MDPI, Basel, Switzerland. This article is an open access article distributed under the terms and conditions of the Creative Commons Attribution (CC BY) license (https://creativecommons.org/licenses/by/4.0/).




















