Identification of Lightning Overvoltage in Unmanned Aerial Vehicles
Abstract
1. Introduction
2. Electromagnetic Field of Lightning Discharge
3. Measurements
- 4 brushless motors with 3 coils,
- GPS navigation using USART communication to determine position,
- Accelerometer using I2C communication to identify orientation with respect to the ground,
- Radio Frequency (RF) communication at 2.4 GHz band using a unipol antenna to control UAV functions,
- 7.4 V lithium-polymer battery—for 10 min of work,
- Camera with its own communication at 2.4 GHz band to operator display,
- Electronic Speed Controllers (one for each motor) to control the direction of flight was used.
- 1 MΩ input resistance,
- 50 MHz bandwidth,
- 1 GSa/s sampling,
- 8-bit resolution.
- High impedance input,
- 70 MHz bandwidth,
- 7 kV range.
- (1)
- Motor coils tests—to check the difference between them,
- (2)
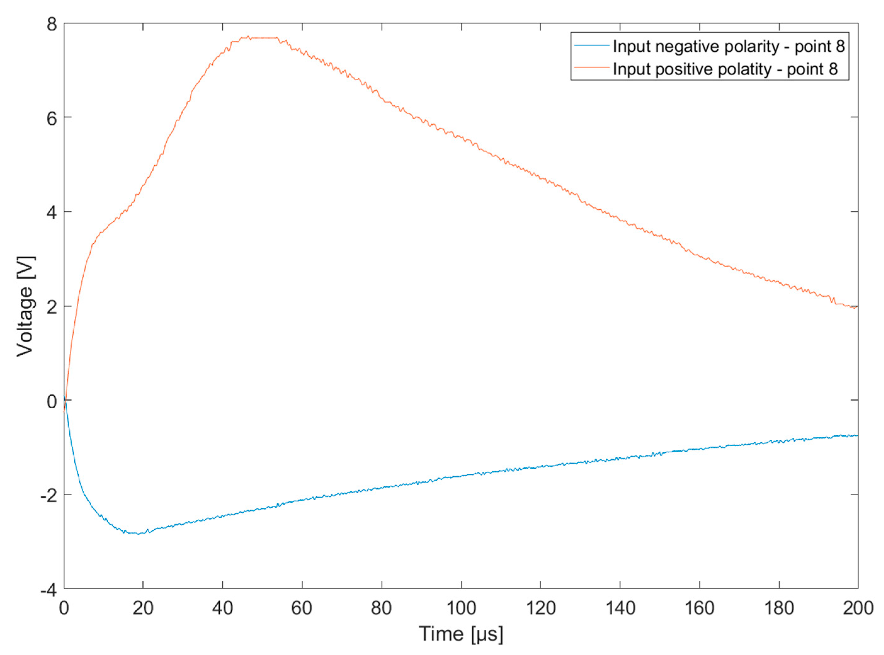
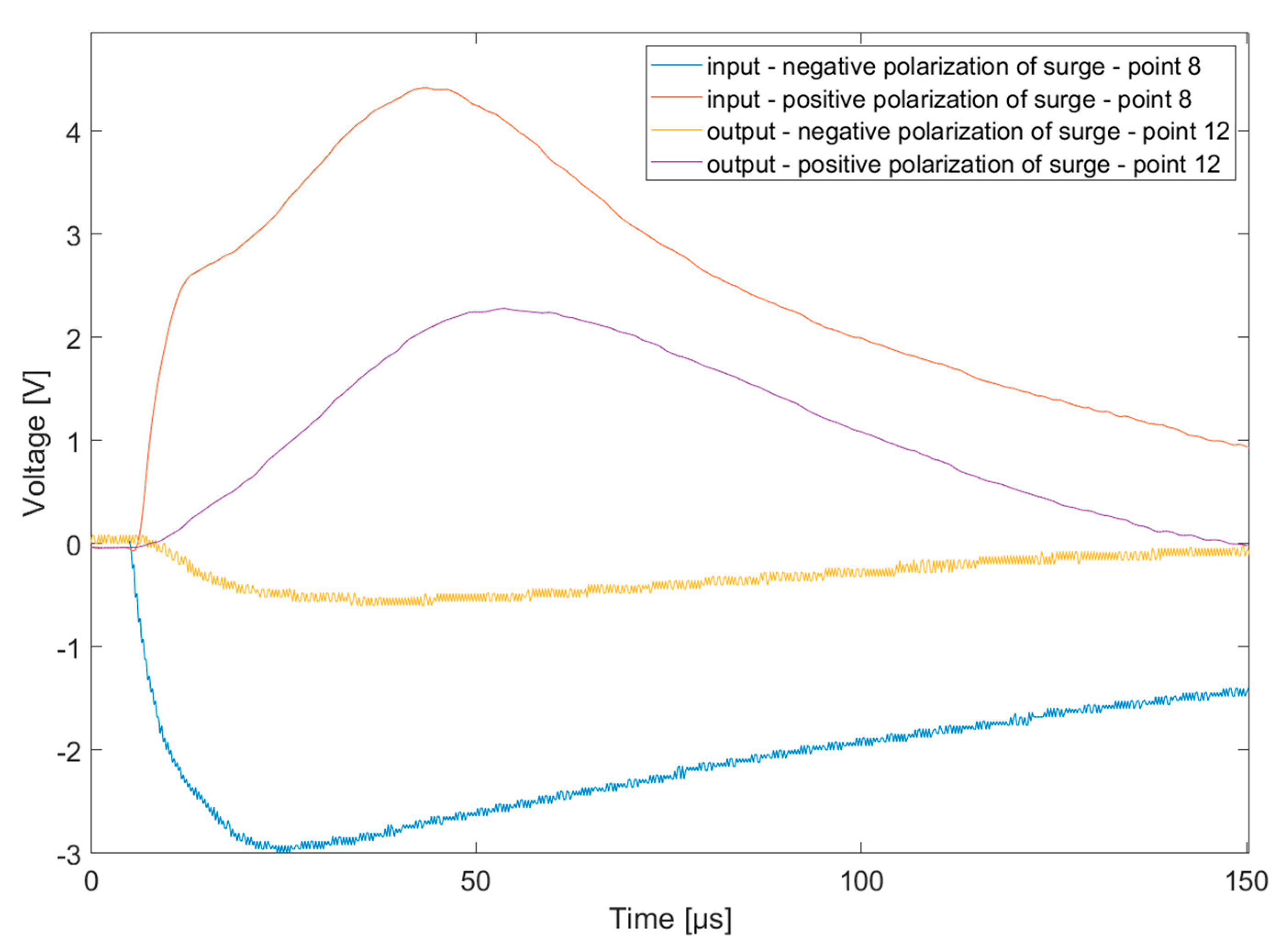
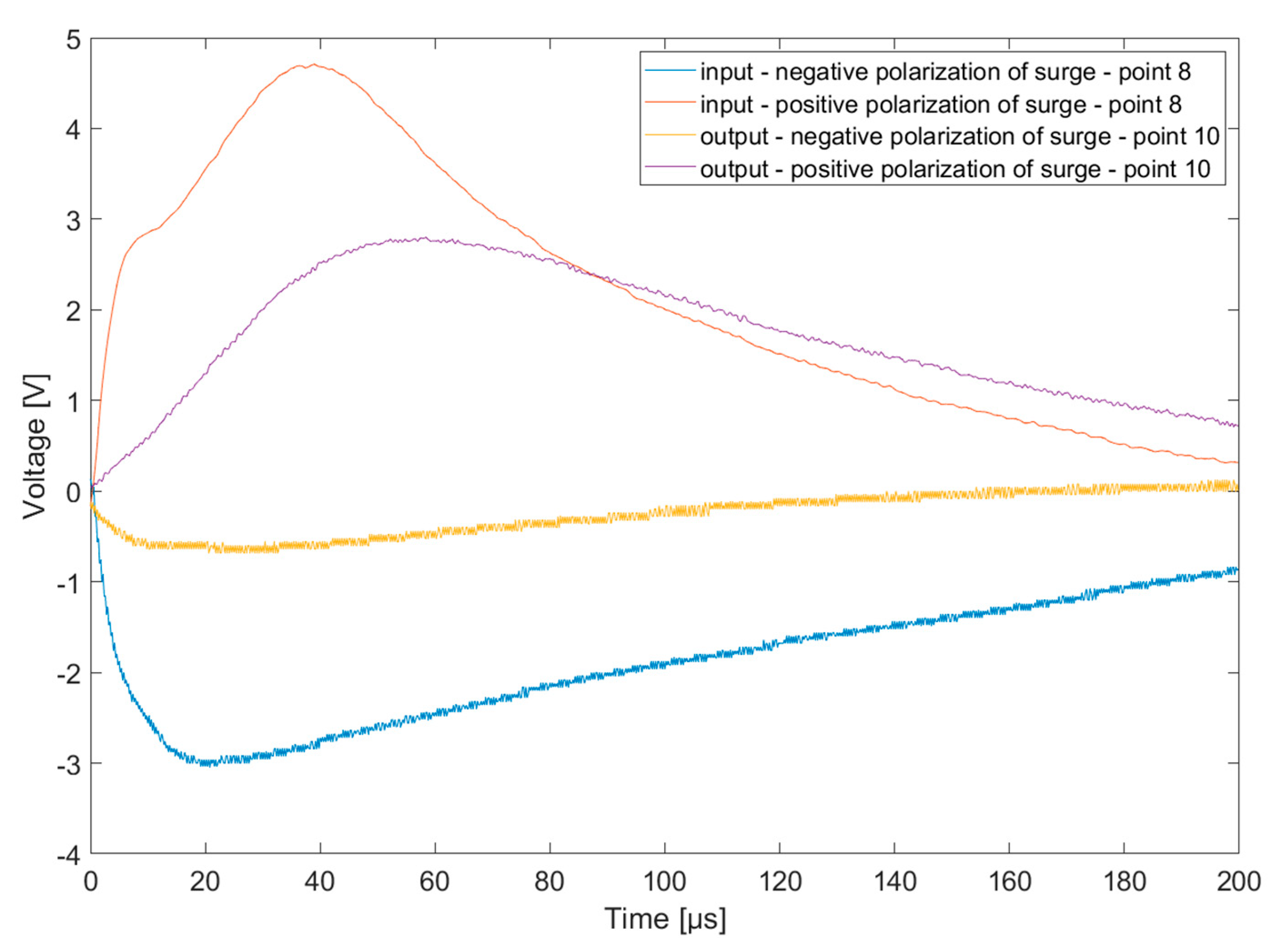
- Influence of surge polarization (positive and negative),
- (3)
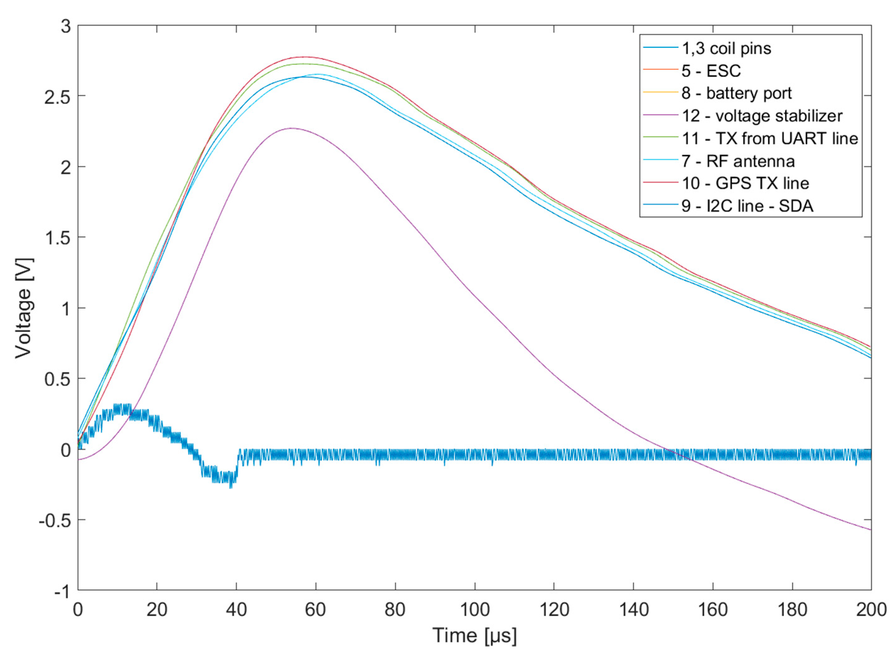
- Propagation of overvoltage in all functional blocks of a drone,
- (4)
- Measurement impulses going through a single block and a group of blocks—to compare the difference between simulations and real results of the measurement.
- (a)
- Motor coils—points no 1, 2 and 3,
- (b)
- ESC—points no: 4 (supply) and 5 (control),
- (c)
- Supply bus—point no 8,
- (d)
- GPS module—point no 10,
- (e)
- RF module—point no 6,
- (f)
- Antenna—point no 7,
- (g)
- Communication bus—points no 9 and 11,
- (h)
- Voltage stabilizer—point no 12.
4. Transmittance of Circuits and Modeling
5. Testing Model of the Drone in Matlab
- The direct path from input to the measuring point through two or three different circuits (e.g., Coil > ESC > supply).
- Measuring each of the parts separately and adding results together.
6. Conclusions
- measurements under RTCA DO-160 standards (recommended for avionics),
- data collection for all important circuits of the drone,
- determination of transmittance for them,
- designing the model using approximation and real measurement transmittance (and comparing them with each other).
Author Contributions
Funding
Institutional Review Board Statement
Informed Consent Statement
Data Availability Statement
Conflicts of Interest
References
- Divya, J. Exploring the Latest Drone Technology for Commercial, Industrial and Military Drone Uses. 2017. Available online: https://www.businessinsider.com/drone-technology-uses-2017-7?IR=T (accessed on 1 December 2021).
- Barr, L.C.; Newman, R.; Ancel, E.; Belcastro, C.M.; Foster, J.V.; Evans, J.; Klyde, D.H. Preliminary Risk Assessment for Small Unmanned Aircraft Systems. In Proceedings of the 17th AIAA Aviation Technology, Integration, and Operations Conference, Denver, CO, USA, 5–9 June 2017. [Google Scholar] [CrossRef]
- Gaynutdinov, R.R.; Chermoshentsev, S.F. Study of lightning strike impact on unmanned aerial vehicle. In Proceedings of the 2016 17th International Conference of Young Specialists on Micro/Nanotechnologies and Electron Devices (EDM), Erlagol, Altai, Russia, 30 June–4 July 2016; IEEE: Piscataway, NJ, USA, 2016; pp. 428–432. [Google Scholar]
- Masłowski, G.; Wyderka, S. Test-measurement system for open-air investigations of lightning hazards. Electr. Rev. 2012, 88, 67–72. [Google Scholar]
- Lin, T.; Uman, M.A.; Tiller, J.A.; Brantley, R.D.; Krider, E.P.; Weidman, C.D. Characteryzation of lightning return stroke electric and magnetic fiels form simultaneous two-station measurements. J. Geophys. Res. 1979, 84, 6307–6314. [Google Scholar] [CrossRef]
- Masłowski, G. Analiza i Modelowanie Wyładowań Atmosferycznych na Potrzeby Ochrony Przed Przepięciami; Monografia; Wydawnictwa AGH: Kraków, Poland, 2010. [Google Scholar]
- Fisher, F.A.; Plumer, J.A.; Perala, R.A. Aircraft Lightning Protection Handbook; DOT/FAA/CT-89/22; National Technical Information Service: Springfield, VA, USA, 1989.
- Gaynutdinov, R.R.; Sergey, F. Study of impact lightning at of electromagnetic and thermal stability of fuselage of unmanned aerial vehicle. In Proceedings of the 2016 International Conference on Actual Problems of Electron Devices Engineering (APEDE), Saratov, Russia, 22–23 September 2016; pp. 1–6. [Google Scholar]
- Gaynutdinov, R.R.; Chermoshentsev, S.F. Electromagnetic stability of an unmanned aerial vehicle at the indirect effect of a lightning discharge. In Proceedings of the 2017 International Multi-Conference on Engineering, Computer and Information Sciences (SIBIRCON), Novosibirsk, Russia, 18–22 September 2017; pp. 406–410. [Google Scholar] [CrossRef]
- Gizatullin, Z.M.; Nuriev, M.G.; Shleimovich, M.P. Physical Modeling of Electromagnetic Interference in Unmanned Aerial Vehicle under Action of Indirect Lightning Strike. In Proceedings of the 2017 Dynamics of Systems, Mechanisms and Machines (Dynamics), Omsk, Russia, 14–16 November 2017; IEEE: Piscataway, NJ, USA, 2017; pp. 1–4. [Google Scholar] [CrossRef]
- Szczupak, P.; Kossowski, T. Response of Drone Electronic Systems to a Standardized Lightning Pulse. Energies 2021, 14, 6547. [Google Scholar] [CrossRef]
- Kossowski, T.; Szczupak, P. Analysis of the influence of strong magnetic field on unmanned aircrafts, using Helmholtz coil. Electr. Rev. 2020, 96, 11–14. [Google Scholar]
- RTCA DO-160; Environmental Conditions and Test Procedures for Airborne Equipment. Radio Technical Commission for Aeronautics: Washington, DC, USA, 2010.
- PN-EN 62305-1:2011; Lightning Protection—Part 1. BSI Standards Publication: London, UK, 2011.
- PN-EN 61000-4-5:2014-10; Electromagnetic Compability (EMC)—Part 4–5: Methods of Research and Measurement—Shock Resistance Test. Standards Publication: Warsaw, Poland, 2014.
- Dupláková, D.; Flimel, M.; Duplák, J.; Hatala, M.; Radchenko, S.; Botko, F. Ergonomic rationalization of lighting in the working environment. Part I.: Proposal of rationalization algorithm for lighting redesign. Int. J. Ind. Ergon. 2019, 71, 92–102. [Google Scholar] [CrossRef]
- Yang, Y.; Chen, G.; Chen, P. The probability prediction method of domino effect triggered by lightning in chemical tank farm. Process Saf. Environ. Prot. 2018, 116, 106–114. [Google Scholar] [CrossRef]
- Tóth, Z.; Kiss, I.; Németh, B. Problems of the simulation and modeling the lightning protection of high structures. Pollack Period. 2019, 14, 223–234. [Google Scholar] [CrossRef]
- Visacro, S.; Soares, A.; Schroeder, M.A.O.; Cherchiglia, L.C.; de Sousa, V.J. Statistical analysis of lightning current parameters: Measurements at Morro do Cachimbo Station. J. Geophys. Res. Atmos. 2004, 109. [Google Scholar] [CrossRef]
- Tomasz, K.; Filik, K. Lightning tests of unmanned aircrafts with impulse generator. Prz. Elektrotech. 2020, 96, 67–70. [Google Scholar]
- Sehrawat, A.; Choudhury, T.A.; Choudhury, A.; Gaurav, R. Surveillance Drone for Disaster Management and Military Security. In Proceedings of the 2017 International Conference on Computing, Communication and Automation (ICCCA), Greater Noida, India, 20 February 2017; IEEE: Piscataway, NJ, USA, 2017. [Google Scholar]
- Bartlett, E. Drone vs Lightning. The University of Manchester. 2017. Available online: http://www.mub.eps.manchester.ac.uk/scienceengineering/2017/04/10/drone-vs-lightning/ (accessed on 11 March 2022).
- Environmental Conditions and Test Procedures for Aircraft Systems, wersja D, rozdział 22 i 23, 2006.
- MIL-STD-461 F; Department of Defense Interface Standard Requirements for the Control of Electromagnetic Interference Characteristics of Subsystems and Equipment. US Military Specs: USA, 2007. Available online: http://everyspec.com/MIL-STD/MIL-STD-0300-0499/MIL-STD-461G_53571/ (accessed on 11 March 2022).
- SAE. Aircraft Lightning Environment and Related Test Waveforms; Revision A.; SAE International: Warrendale, PA, USA, 2005. [Google Scholar]
- Rakov, V.A.; Uman, M.A. Lightning Physics and Effects; Cambridge University Press: Cambridge, Wielka Brytania, 2003. [Google Scholar]
- NO-16-A002:2006; Wojskowe Statki Powietrzne. Ochrona Przed Skutkami Wyładowania Atmosferycznego. Wymagania Ogólne, Dziennik Urzędowy: Warszawa, Poland, 2006.
- Filik, K. Badanie odporności zespołów awioniki statków powietrznych na narażenia LEMP. Prz. Elektrotech. 2014, 10, 60–63. [Google Scholar]
- Hacker, P.T.; Plumer, J.A. Measurements and Analysis of Lightning-Induced Voltages in Aircraft Electrical Circuits. SAE Trans. 1970, 79, 2735–2752. [Google Scholar] [CrossRef][Green Version]
- Moore, C.B.; Rison, W.; Mathis, J.; Aulich, G. Lightning Rod Improvement Studies. J. Appl. Meteorol. 2000, 39, 593–609. [Google Scholar] [CrossRef][Green Version]
- Trkulja, B.; Drandić, A.; Milardić, V.; Župan, T.; Žiger, I.; Filipović-Grčić, D. Lightning impulse voltage distribution over voltagetransformer windings—Simulation and measurement.Electr. Power Syst. Res. 2017, 147, 185–191. [Google Scholar] [CrossRef]
- Prácser, E.; Bozóki, T.; Sátori, G.; Williams, E.; Guha, A.; Yu, H. Reconstruction of global lightning activity based on Schumannresonance measurements: Model description and synthetic tests. Radio Sci. 2019, 54, 254–267. [Google Scholar] [CrossRef]
- Matlab Datasheet. Available online: https://www.mathworks.com/help/matlab/ref/polyfit.html (accessed on 12 June 2022).
- Available online: https://calculla.pl/ (accessed on 12 June 2022).












| Block | Input/Output | Equation | R2 |
|---|---|---|---|
| Motor coil | Points 1, 3/Point 5 | f(x) = −4.8 × 10−9∙x3 + 7.479 × 10−6∙x2 − 2.623 × 10−3∙x + 0.18 | 87% |
| ESC | Points 1, 3/Point 8 | f(x) = 1.21 × 10−8∙x3 − 1.3056 × 10−5∙x2 + 4.49 × 10−3∙x − 0.0280529 | 97% |
| Voltage Stabilizer | Point 8/Point 12 | f(x) = 8.8 × 10−9∙x3 − 9.1164 × 10−6∙x2 + 2.8036154 × 10−3∙x − 0.053488 | 90% |
| UART | Point 8/Point 11 | f(x) = 2.8 × 10−9∙x3 − 3.1018 × 10−6∙x2 + 9.609775 × 10−4∙x − 0.01514 | 53% |
| RF Module | Point 8/Point 7 | f(x) = 8.8 × 10−9∙x3 − 9.1208 × 10−6∙x2 + 2.782078 × 10−3∙x − 0.0469546 | 89% |
| GPS | Point 8/Point 10 | f(x) = 3 × 10−10∙x3 − 6.598 × 10−7∙x2 + 4.10553 × 10−5∙x + 0.22307 | 87% |
| I2C | Point 8/Point 9 | f(x) = 1.2 × 10−9∙x3 − 1.8723 × 10−6∙x2 + 5.246636 × 10−4∙x + 0.1965429 | 89% |
Publisher’s Note: MDPI stays neutral with regard to jurisdictional claims in published maps and institutional affiliations. |
© 2022 by the authors. Licensee MDPI, Basel, Switzerland. This article is an open access article distributed under the terms and conditions of the Creative Commons Attribution (CC BY) license (https://creativecommons.org/licenses/by/4.0/).
Share and Cite
Kossowski, T.; Szczupak, P. Identification of Lightning Overvoltage in Unmanned Aerial Vehicles. Energies 2022, 15, 6609. https://doi.org/10.3390/en15186609
Kossowski T, Szczupak P. Identification of Lightning Overvoltage in Unmanned Aerial Vehicles. Energies. 2022; 15(18):6609. https://doi.org/10.3390/en15186609
Chicago/Turabian StyleKossowski, Tomasz, and Paweł Szczupak. 2022. "Identification of Lightning Overvoltage in Unmanned Aerial Vehicles" Energies 15, no. 18: 6609. https://doi.org/10.3390/en15186609
APA StyleKossowski, T., & Szczupak, P. (2022). Identification of Lightning Overvoltage in Unmanned Aerial Vehicles. Energies, 15(18), 6609. https://doi.org/10.3390/en15186609

