The Development of a Cross-Border Energy Trade Cooperation Model of Interconnected Virtual Power Plants Using Bilateral Contracts †
Abstract
1. Introduction
1.1. Literature Review
1.2. Contributions and Study Layout
- A cross-border energy trade cooperation model of regionally interconnected VPPs is designed and developed within the energy market environment, maximizing SW.
- The power exchange between two VPPs in the grid-connected mode is studied using the energy-flow gates.
- A case study is performed on interconnected VPPs to demonstrate the effectiveness and fairness of the proposed approach by thoroughly assessing the simulation results.
2. Methodology
2.1. Modeling of Solar Irradiance
2.2. Load Demand Uncertainty Modeling
2.2.1. Explanation of the Proposed Method and Model
- (A)
- Whether to trade energy with adjacent VPPs and how much energy can be sold and purchased during each period of time, t.
- (B)
- Whether to trade energy with the main grid and how much energy can be sold/purchased during each period of time, t.
- (C)
- Whether the ESS should be charged or discharged, and how much power can be charged or discharged during each period of time, t.
2.2.2. Model Assumptions
- For economic reasons, the VPP role is considered to be centralized as a smart energy services provider.
- For the sake of simplicity, we only focused on the economic benefits of the VPP, while leaving the technical aspects of the electrical grid for future work.
- The VPP is made up of renewable energy resources, load demand, and energy storage systems.
- The VPP operators aggregate all of its coalition members’ energy offers and bids services in blocks for each hour.
- The VPP under study is considered to be connected directly to another VPP in its neighborhood, permitting them to cooperate through bilateral contracts in the case of an energy supply deficit.
2.2.3. Solution Approach
2.2.4. Objective Function
Constraints
2.2.5. VPP Electricity Market Model
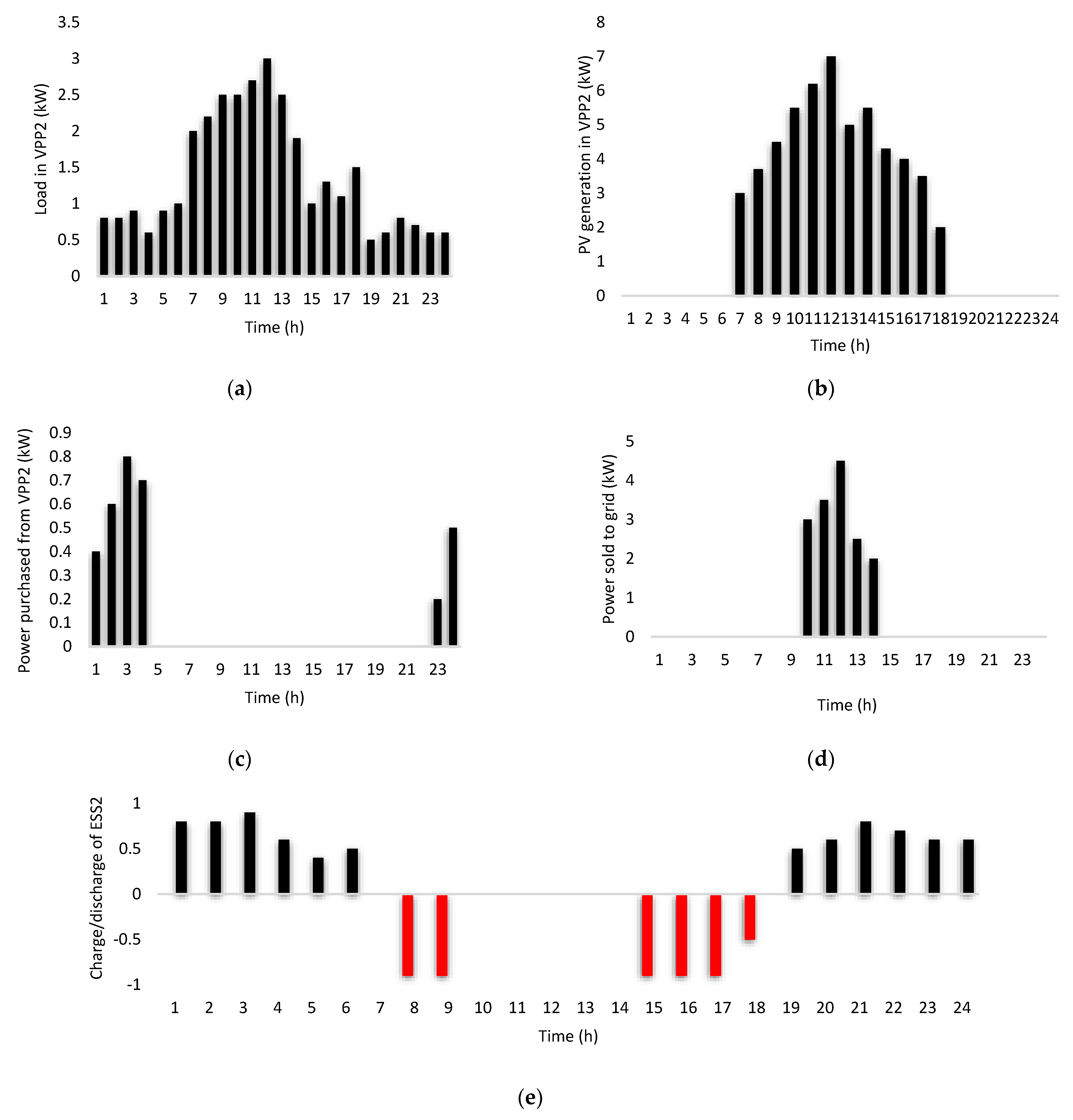
3. Case Study, Simulation Results and Discussion
4. Conclusions
- The strategy is advantageous as it supports local energy generation and consumption while simultaneously improving interconnected VPP’s commercial benefits and easing peak load demand on the grid.
- The supply reliability and efficiency can be improved in the event of reduced generation at one VPP. The power can be dispatched at a lower cost by another VPP on a local level.
- This method allows the cross-border import and export of renewable generation using energy-flow gates. The volatile nature of renewable energy can be diversified in interconnected VPPs.
- The ESS accomplishes a very considerable level of performance in terms of flattening the load curve.
- The implementation of the cross-border cooperative model allows local market systems to dispatch energy between interconnected VPPs at the lowest possible cost, leading to lower total costs for end-users (on both sides) and also less reliance on the main grid for interconnected VPPs. Hence, the proposed strategy could be executed in real-world applications to assist VPPs decision makers in determining the best possible collaborative operation of two or more neighboring VPPs in grid-connected mode.
Author Contributions
Funding
Conflicts of Interest
Nomenclature
| VPP | Virtual power plant |
| VRE | Variable renewable energy |
| DER | Distributed energy resources |
| SW | Social welfare |
| PVs | Photovoltaics |
| WTs | Wind turbines |
| DGs | Distributed generators |
| SG | Stochastic generators |
| MGs | Microgrids |
| ESS | Energy storage system |
| NTPs | Neighboring transaction points |
| BC | Bilateral contracts |
| DNOs | Distributed network operators |
| T | Set of time period |
| SG | Set of PV units |
| GSP | Grid supply points |
| t | Index of time periods |
| k | Index for neighboring transaction points |
| w | Index for scenario |
| u | Index for SGs |
| b | Index for BESS |
| f | Index for bilateral contracts |
| VPP’s customer’s active power demand in time t and scenario w | |
| A price that is charged to the VPP’s customers in time t and scenario w | |
| Active power sold (bought) to (from) the utility grid at time t and scenario w | |
| Is the cost of utility at time t and scenario w | |
| Is the export of active power through GSP k at time t and scenario w | |
| Is the export cost of a VPP through GSP k at time t and scenario w | |
| Is the import of active power through GSP k at time t and scenario w | |
| Is the import cost of the VPP through GSP k at time t and scenario w | |
| Discharging of a storage unit b at time t and scenario w | |
| Is the cost of discharging a storage unit b at time t and scenario w | |
| Charging of a storage unit b at time t and scenario w | |
| Is the cost of charging a storage unit b at time t and scenario w | |
| The energy stored in unit b at time t | |
| Max power exchange capacity with the main grid through GSP k | |
| The upper limit of selling power through bilateral contract f, block-b | |
| The upper limit of buying power through bilateral contract f, block-b | |
| Max charging of unit b at time t | |
| Max discharging of unit b at time t | |
| Binary variables, one if charging a storage unit at time t, otherwise | |
| Binary variable, one if discharging a storage unit at time t | |
| Min level of energy stored in unit b at time t | |
| Max level of energy stored in unit b at time t | |
| Energy efficiency factor used for charging of a storage unit b | |
| Energy efficiency factor used for discharging of a storage unit b | |
| Is the cost of SGs generators at time t and scenario w | |
| Is the power generation of SGs units at time t and scenario w | |
| Energy delivers through BC at time t |
References
- Ullah, Z.; Mirjat, N.H. Modeling the Energy Cooperation between Regionally Interconnected Aggregators using Bilateral Agreements. In IOP Conference Series: Earth and Environmental Science; IOP Publishing: Bristol, UK, 2022; Volume 1008, p. 012016. [Google Scholar] [CrossRef]
- Naval, N.; Yusta, J.M. Virtual power plant models and electricity markets-A review. Renew. Sustain. Energy Rev. 2021, 149, 111393. [Google Scholar] [CrossRef]
- Ullah, Z.; Mirjat, N.H.; Baseer, M. Optimisation and Management of Virtual Power Plants Energy Mix Trading Model. Int. J. Renew. Energy Dev. 2022, 11, 83–94. [Google Scholar] [CrossRef]
- Unar, N.A.; Mirjat, N.H.; Aslam, B.; Qasmi, M.A.; Ansari, M.; Lohana, K. Modeling and Analysis of Load Growth Expected for Electric Vehicles in Pakistan (2021–2030). Energies 2022, 15, 5426. [Google Scholar] [CrossRef]
- Shayegan-Rad, A.; Zangeneh, A. 7-VPP’s Participation in Demand Response Aggregation Market. In Scheduling and Operation of Virtual Power Plants; Elsevier: Amsterdam, The Netherlands, 2022; pp. 163–178. [Google Scholar] [CrossRef]
- Nafkha-Tayari, W.; Ben Elghali, S.; Heydarian-Forushani, E.; Benbouzid, M. Virtual Power Plants Optimization Issue: A Comprehensive Review on Methods, Solutions, and Prospects. Energies 2022, 15, 3607. [Google Scholar] [CrossRef]
- Panda, S.; Mohanty, S.; Rout, P.K.; Sahu, B.K. A conceptual review on transformation of micro-grid to virtual power plant: Issues, modeling, solutions, and future prospects. Int. J. Energy Res. 2022, 46, 7021–7054. [Google Scholar] [CrossRef]
- Shabanzadeh, M.; Sheikh-El-Eslami, M.-K.; Haghifam, M.-R. An interactive cooperation model for neighboring virtual power plants. Appl. Energy 2017, 200, 273–289. [Google Scholar] [CrossRef]
- Ullah, Z.; Mokryani, G.; Campean, F.; Hu, Y.F. Comprehensive review of VPPs planning, operation and scheduling considering the uncertainties related to renewable energy sources. IET Energy Syst. Integr. 2019, 1, 147–157. [Google Scholar] [CrossRef]
- Guo, W.; Liu, P.; Shu, X. Optimal dispatching of electric-thermal interconnected virtual power plant considering market trading mechanism. J. Clean. Prod. 2021, 279, 123446. [Google Scholar] [CrossRef]
- Lv, T.; Ai, Q.; Zhao, Y. A bi-level multi-objective optimal operation of grid-connected microgrids. Electr. Power Syst. Res. 2016, 131, 60–70. [Google Scholar] [CrossRef]
- Lv, T.; Ai, Q. Interactive energy management of networked microgrids-based active distribution system considering large-scale integration of renewable energy resources. Appl. Energy 2016, 163, 408–422. [Google Scholar] [CrossRef]
- Lu, T.; Wang, Z.; Ai, Q.; Lee, W.J. Interactive model for energy management of clustered microgrids. IEEE Trans. Ind. Appl. 2017, 53, 1739–1750. [Google Scholar] [CrossRef]
- Kim, B.; Bae, S.; Kim, H. Optimal energy scheduling and transaction mechanism for multiple microgrids. Energies 2017, 10, 566. [Google Scholar] [CrossRef]
- Ma, W.J.; Wang, J.; Gupta, V.; Chen, C. Distributed energy management for networked microgrids using online ADMM with regret. IEEE Trans. Smart Grid 2016, 9, 847–856. [Google Scholar] [CrossRef]
- Ouammi, A.; Dagdougui, H.; Dessaint, L.; Sacile, R. Coordinated model predictive-based power flows control in a cooperative network of smart microgrids. IEEE Trans. Smart Grid 2015, 6, 2233–2244. [Google Scholar] [CrossRef]
- Nikmehr, N.; Ravadanegh, S.N. Optimal power dispatch of multi-microgrids at future smart distribution grids. IEEE Trans. Smart Grid 2015, 6, 1648–1657. [Google Scholar] [CrossRef]
- Wang, X.; Wang, C.; Xu, T.; Guo, L.; Li, P.; Yu, L.; Meng, H. Optimal voltage regulation for distribution networks with multi-microgrids. Appl. Energy 2018, 210, 1027–1036. [Google Scholar] [CrossRef]
- Wei, J. Modeling and Coordination of Interconnected Microgrids Using Distributed Artificial Intelligence Approaches. Ph.D. Thesis, Université Bourgogne Franche-Comté, Belfort, France, 2019. [Google Scholar]
- Kou, P.; Liang, D.; Gao, L. Distributed EMPC of multiple microgrids for coordinated stochastic energy management. Appl. Energy 2017, 185, 939–952. [Google Scholar] [CrossRef]
- Ullah, Z.; Hassanin, H. Modeling, optimization, and analysis of a virtual power plant demand response mechanism for the internal electricity market considering the uncertainty of renewable energy sources. Energies 2022, 15, 5296. [Google Scholar] [CrossRef]
- Ullah, Z.; Baseer, M. Operational planning and design of market-based virtual power plant with high penetration of renewable energy sources. Int. J. Renew. Energy Dev. 2022, 11, 620–629. [Google Scholar] [CrossRef]
- Ahmed, S.A.; Mahammed, H.O. A statistical analysis of wind power density based on the Weibull and Ralyeigh models of “Penjwen Region” Sulaimani/Iraq. Jordan J. Mech. Ind. Eng. 2012, 6, 135–140. [Google Scholar] [CrossRef]
- Reddy, S.S.; Abhyankar, A.R.; Bijwe, P.R. Market clearing for a wind-thermal power system incorporating wind generation and load forecast uncertainties. In Proceedings of the 2012 IEEE Power and Energy Society General Meeting, San Diego, CA, USA, 22–26 July 2012; IEEE: Piscataway, NJ, USA; pp. 1–8. [Google Scholar]
- Ullah, Z.; Hassanin, H.; Cugley, J.; Alawi, M.A. Planning, Operation, and Design of Market-Based Virtual Power Plant Considering Uncertainty. Energies 2022, 15, 7290. [Google Scholar] [CrossRef]
- Ullah, Z.; Baseer, M. Demand Response Strategy of a Virtual Power Plant for Internal Electricity Market. In Proceedings of the 2022 IEEE 10th International Conference on Smart Energy Grid Engineering (SEGE), Oshawa, ON, Canada, 10–12 August 2022; pp. 100–104. [Google Scholar] [CrossRef]
- Reddy, S.S.; Panigrahi, B.K.; Kundu, R.; Mukherjee, R.; Debchoudhury, S. Energy and spinning reserve scheduling for a wind-thermal power system using CMA-ES with mean learning technique. Int. J. Electr. Power Energy Syst. 2013, 53, 113–122. [Google Scholar] [CrossRef]
- Lu, X.; Cheng, L. Day-Ahead Scheduling for Renewable Energy Generation Systems considering Concentrating Solar Power Plants. Math. Probl. Eng. 2021, 2021, 9488222. [Google Scholar] [CrossRef]
- Reddy, S.S.; Bijwe, P.R.; Abhyankar, A.R. Joint energy and spinning reserve market clearing incorporating wind power and load forecast uncertainties. IEEE Syst. J. 2013, 9, 152–164. [Google Scholar] [CrossRef]
- Reddy, S.S.; Bijwe, P.R.; Abhyankar, A.R. Optimal posturing in day-ahead market clearing for uncertainties considering anticipated real-time adjustment costs. IEEE Syst. J. 2013, 9, 177–190. [Google Scholar] [CrossRef]
- Li, Y.; Zio, E. Uncertainty analysis of the adequacy assessment model of a distributed generation system. Renew. Energy 2012, 41, 235–244. [Google Scholar] [CrossRef]
- Soroudi, A. Power System Optimization Modeling in GAMS; Springer: Cham, Switzerland, 2017; Volume 78. [Google Scholar] [CrossRef]
- Chattopadhyay, D. Application of general algebraic modeling system to power system optimization. IEEE Trans. Power Syst. 1999, 14, 15–22. [Google Scholar] [CrossRef]
- Ćalasan, M.P.; Nikitović, L.; Mujović, S. CONOPT solver embedded in GAMS for optimal power flow. J. Renew. Sustain. Energy 2019, 11, 046301. [Google Scholar] [CrossRef]
- Zaro, F.R.; Alqam, S.J. Notice of Violation of IEEE Publication Principles: Solving Dynamic Load Economic Dispatch Using GAMS Optimization Algorithm. In Proceedings of the 2019 IEEE Jordan International Joint Conference on Electrical Engineering and Information Technology (JEEIT), Amman, Jordan, 9–11 April 2019; IEEE: Piscataway, NJ, USA; pp. 866–871. [Google Scholar] [CrossRef]
- Baringo, L.; Rahimiyan, M. Virtual Power Plants and Electricity Markets: Decision Making Under Uncertainty; Springer Nature: Berlin, Germany, 2020. [Google Scholar]









| References | Renewable Energy | Model | Uncertainty Modeling | Power Market | SW |
|---|---|---|---|---|---|
| [10] | Yes | Bidding strategy | No | Yes | Yes |
| [8] | Yes | Cooperative model | Yes | Yes | No |
| [11,12,13] | Yes | Optimal dispatch | Yes | No | No |
| [14,15] | Yes | Energy management | No | No | No |
| [16] | Yes | Cooperative model | No | No | No |
| [17] | Yes | Economic dispatch | Yes | No | No |
| [18] | Yes | Ancillary service | No | No | No |
| [19,20] | Yes | Economic dispatch | Yes | Yes | No |
| This paper | Yes | Regional cooperation | Yes | Yes | Yes |
| Index for ESS | ESS Capacity/kWh | Charging & Discharging Limits/kW | Charging & Discharging Efficiencies | Initial Values of SOC |
|---|---|---|---|---|
| ESS1 | 10 | 3 3 | 0.95 0.94 | 0.50 |
| ESS2 | 11 | 3 3 | 0.95 0.94 | 0.60 |
| Time Periods Purchasing Price Selling Price Exchange Price in (h) from the Grid ($) to the Grid ($) the VPPS ($) | |||
|---|---|---|---|
| Peak (11,12,13 14,19,20,21,22) | 1.32 | 1.00 | 1.16 |
| Shoulder (9,10,15 16,17,18,23,24) | 0.82 | 0.58 | 0.72 |
| Valley (1,2,3,4 5,6,7,8) | 0.33 | 0.20 | 0.26 |
Publisher’s Note: MDPI stays neutral with regard to jurisdictional claims in published maps and institutional affiliations. |
© 2022 by the authors. Licensee MDPI, Basel, Switzerland. This article is an open access article distributed under the terms and conditions of the Creative Commons Attribution (CC BY) license (https://creativecommons.org/licenses/by/4.0/).
Share and Cite
Ullah, Z.; Arshad; Ahmad, J. The Development of a Cross-Border Energy Trade Cooperation Model of Interconnected Virtual Power Plants Using Bilateral Contracts. Energies 2022, 15, 8171. https://doi.org/10.3390/en15218171
Ullah Z, Arshad, Ahmad J. The Development of a Cross-Border Energy Trade Cooperation Model of Interconnected Virtual Power Plants Using Bilateral Contracts. Energies. 2022; 15(21):8171. https://doi.org/10.3390/en15218171
Chicago/Turabian StyleUllah, Zahid, Arshad, and Jawad Ahmad. 2022. "The Development of a Cross-Border Energy Trade Cooperation Model of Interconnected Virtual Power Plants Using Bilateral Contracts" Energies 15, no. 21: 8171. https://doi.org/10.3390/en15218171
APA StyleUllah, Z., Arshad, & Ahmad, J. (2022). The Development of a Cross-Border Energy Trade Cooperation Model of Interconnected Virtual Power Plants Using Bilateral Contracts. Energies, 15(21), 8171. https://doi.org/10.3390/en15218171

