Abstract
When an axial-flow pump is running, there is a very complex flow inside the runner. Based on the two-way fluid–structure coupling method, this paper simulated the forward and reverse operating conditions of an axial-flow pump and calculated the dynamic stress distribution on the blade surface. The stress load spectrum was loaded onto the blade, and fatigue characteristic analysis was carried out to obtain the fatigue life and damage of the blade. This research shows the following: under different working conditions, the dynamic stress is concentrated at the root of the blade, and its amplitude decreases with the increase in the flow rate; at the same time, the change in stress with time shows a periodic change law. Under the working conditions of the turbine, the main frequency is the rotational frequency, and the secondary frequency is composed of multipliers of the rotational frequency, which is obviously affected by the number of blades; the fatigue damage and stress distribution are consistent, and the damage is the most serious at the stress concentration point. The research results of this paper can provide theoretical guidance for the structural design and safe operation of axial-flow pumps.
1. Introduction
Axial-flow pumps with a low head and flow are widely used in farmland irrigation and the drainage of flooded areas. When operating under different working conditions, the flow conditions inside the impeller are extremely complicated. In actual operation, water flows through the blade, causing the blade to deform, and the change in the blade structure reacts to the water flow. This coupling effect will cause the blade to crack or even break. Therefore, it is necessary to analyze and study the coupling effect inside the impeller.
A large number of scholars at home and abroad have conducted in-depth research in the related direction. At present, the fluid–structure interaction method [1,2,3] is widely used to solve complex flows in the impeller. Zhang [3] conducted a comparative study of strong and weak coupling in fluid–structure coupling. Especially in the field of hydraulic machinery, there are countless applications of the convective fluid–structure coupling method, such as mixed-flow pumps [4,5,6,7], pump turbines [8,9], centrifugal pumps [10,11,12,13], axial-flow pumps [14,15,16,17], and even hydraulic turbines [18,19,20], which have obtained more accurate results. Wei [4] studied the mechanical properties of a mixed-flow pump rotor with the help of the bidirectional synchronous solution method and found that, compared with other positions, fatigue damage is more likely to occur at the hub. Ji [7] studied the effect of the blade thickness on the rotating stall of a mixed-flow pump and found that an appropriate increase in the blade thickness can effectively improve the operating efficiency and safety of the mixed-flow pump. Too large or too low a thickness is not conducive to the operation of the unit. Chen [8] investigated the dynamic stress of the runner during the start-up phase of a pump turbine and found that, with the increase in speed, the stress increased rapidly. Pei [11] analyzed the dynamic stress of sewage centrifugal pump blades based on the bidirectional fluid–structure coupling method and proposed a method for predicting the stress distribution of centrifugal pumps, which can detect the dynamic stress at different flow rates. The stress distribution of the prototype blade was measured through experiments, and the method of thickening the blade was proposed to improve the surface stress concentration [15,16]. The research objects of the above studies are basically various types of pumps, but some scholars have carried out in-depth research on hydraulic turbines. Schmucker [19] used the two-way fluid–structure coupling method to study a propeller turbine and analyze the stress distribution of its runner blades; in fact, during the operation of the hydraulic unit, the internal flow is extremely complex, not only in the forward operating condition but also in special circumstances. When the bottom is reversed, the real flow inside is also worth studying. Zhang [21] and Nautiyal [22], among others, comprehensively discussed the reverse operation of hydraulic units.
Most of the previous research focused on mixed-flow pumps, centrifugal pumps, and pump turbines, and there are relatively few studies on axial-flow pumps, especially axial-flow pumps capable of bidirectional operation. The research object of this paper was an axial-flow pump of a pumping station [15,16]. Because old blades develop cracks under long-term operation, the pumping station replaces the old blades with new, thickened blades. In this paper, based on the two-way fluid–structure coupling method, the dynamic stress distribution of the blade of the axial-flow pump under both pump and turbine conditions was obtained, and the fatigue characteristics were analyzed to obtain the fatigue life of the blade, check its strength, and ensure that new blades can be used safely and the unit can operate normally. The research results of this paper can provide a reference for the optimal design and stable operation of axial-flow pumps.
2. Numerical Simulation and Computational Methods
2.1. Fluid Governing Equations
In actual operation, the water flow inside the axial-flow pump can be considered as an incompressible fluid, and it operates at room temperature without considering the heat exchange with the outside world. Fluid governing equations mainly include the continuity equation and the Navier–Stokes equation.
Continuity equation:
where ρ is the fluid density, and u is the velocity vector.
Navier–Stokes equation:
where u is the speed, p is the pressure, f is the mass force, and ρ is the density.
2.2. Structural Governing Equations
Structural dynamics equation:
where [M], [C], [K], and {F} represent the mass matrix, damping matrix, stiffness matrix, and external load vector, respectively; {} is the acceleration vector, m/s2; {} is the velocity vector, m/s; and {u} is the displacement column vector, m. {u}= {x, y, z} ^t, x, y, z are all functions of t.
According to the fourth strength theory, the equivalent stress can be expressed as
where , , and are the first, second, and third principal stresses, Pa.
2.3. Computational Model
As shown in Figure 1, the calculation model of this paper consists of 5 parts, including the inlet flow channel, the front guide vane, the runner chamber, the movable guide vane, and the water outlet flow channel. There are 4 impeller blades, and the impeller diameter is 1.7 m, the design head is 2.5 m, the rated speed is 250 r/min, the design flow is 10 m3/s, and the tip clearance is 0.5 mm. The detailed parameters are shown in Table 1.
Figure 1.
Flow channel diagram: 1—inlet; 2—inlet flow channel; 3—front guide vane; 4—runner; 5—guide vane; 6—outlet flow channel; 7—outlet.
Table 1.
Parameters of the axial-flow pump.
2.4. Meshing
In order to ensure the accuracy of the calculated values and the rational use of the computing resources, a total of 7 sets of grids with different grid numbers were designed using the ICEM software, and the design water head was selected as the reference to verify the grid independence. Figure 2 is the grid independence analysis. Different points in the figure represent the selection of different grid numbers for verification. When the number of elements reached 4 million, the fluctuation error of the head of delivery was already within 1%. Taking into account factors such as computing resources, the final calculation grid number was 4.4605 million. Specifically, the number of elements in the impeller area was approximately 2,011,200, the number of elements in the front guide vane area was approximately 720,800, the number of elements in the rear guide vane area was approximately 812,300, the number of elements in the inlet section was approximately 623,100, and the number of elements in the outlet section was approximately 623,100. The grid number of the segments was approximately 293,100. The detailed parameters are shown in Table 2. Figure 3 shows the meshing of part of the fluid computing domain. Different colors are used to show different parts of the fluid computing domain, especially the blade section.
Figure 2.
Grid independence verification: A4.2 × 106 B4.46 × 106 C5.2×106.
Table 2.
The number of grids in each computational domain of the axial-flow pump.
Figure 3.
Grid of fluid calculation domain. (a) Guide vanes, (b) front guide vanes, (c) impeller.
Considering the complexity of the research model and the computational efficiency, the fluid domain was divided into adaptive meshes, and the runner blades were locally refined. With the help of the meshing module of the workbench platform, the solid domain was meshed, and the structure was also divided by an adaptive tetrahedral mesh. Five different mesh sizes were selected, namely 0.2 m, 0.1 m, 0.08 m, 0.02 m, and 0.002 m. After considering the computing resources and the accuracy of the calculation results, it was found that when the mesh size was less than 0.02 m, the influence of mesh refinement on the calculation was almost negligible. Therefore, the mesh size of 0.02 m was selected for solid domain meshing, and the number of elements was approximately 203,200.
2.5. Verification of External Characteristics
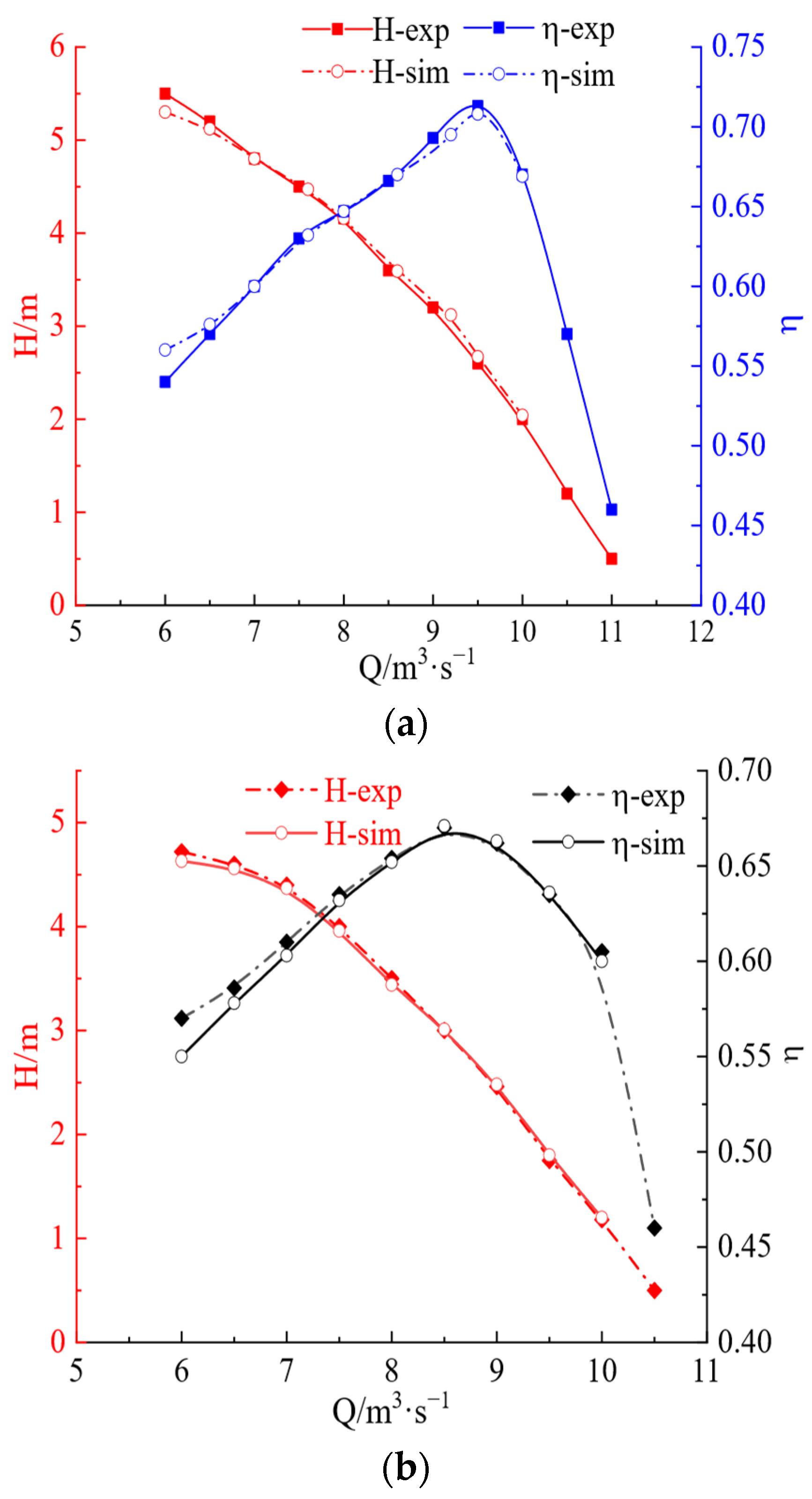
In order to verify the accuracy of the numerical simulation results, several operating points under the pump and turbine conditions were selected, and the external characteristic curve obtained by the numerical simulation was drawn. Figure 4a,b show the external characteristic curves of the axial-flow pump during forward and reverse operation, respectively. In the figures, the abscissa is the flow rate Q, and the ordinate is the head H and the efficiency η. In this paper, several flow points were selected, and the characteristic parameters such as the flow Q, head H, and efficiency η obtained through numerical simulation were compared with the experimental data of the prototype axial-flow pump unit. Compared with the characteristic curve of the prototype unit obtained from the experiment, it was found that there was a certain deviation in the efficiency at a low flow rate, where the maximum deviation was within 3%, and the head was slightly lower than the experimental result. The results are very close to the experimental values. Considering the deviation of the calculation model, the local structure of the prototype pump, and the influence of the number of meshes, some deviations in the numerical simulation results are inevitable. In general, the simulation results are in good agreement with the experimental values, and the head and efficiency of the numerical simulation are consistent with the performance trends of the experimental measurements. Therefore, the numerical simulation results in this paper have certain credibility.
Figure 4.
(a) Forward characteristic curve, (b) reverse characteristic curve.
2.6. Setup of Modal Analysis
As shown in Figure 5a,b, dry mode and wet mode analysis of the rotor were, respectively, carried out. In order to obtain the natural frequency of the structure, considering the possibility of the resonance of the structure, the modal analysis of the rotor was carried out. Workbench software was used for calculation, and circular constraints were carried out on both ends of the rotor. During the wet mode calculation, the APDL insertion instruction was used to consider the influence of the additional mass of water on the structural vibration characteristics. The other settings were consistent with the dry mode analysis settings.
Figure 5.
(a) Setup of dry modal analysis. (b) Setup of wet modal analysis.
3. Fluid–Structure Interaction Settings
In order to study the dynamic stress distribution on the surface of the runner blade, the two-way fluid–structure coupling method was used for numerical calculation. The calculation of the fluid domain was carried out in CFX. The turbulence model was the SST k-ε model. The boundary conditions were set to no-slip wall. The inlet was the mass flow inlet, and the outlet was the free outflow. The transient frozen rotor method was conducted to transmit information between dynamic and static regions. The turbulent viscosity adopted the second-order upwind style. The fluid–structure interaction surface was the blade surface, and the impeller water mesh type was set to a dynamic mesh. We used the steady calculation result as the initial solution for the unsteady calculation of the fluid domain. For the solid domain calculation, the transient structure module in the workbench was selected, and the fluid-solid coupling surface was set for data transfer. The calculation time and time step of the fluid domain and the structure were the same. The time step of the transient calculation was determined according to the rotation angle of the impeller in each step and was set according to the time required for the impeller to rotate 3°. One impeller rotation cycle contained 120 time steps, and the time steps were 0.002 s. In order to obtain stable periodic results, the fluid–structure interaction solution process calculated 6 impeller rotation cycles; that is, the total calculation time was 1.44 s. Before the solution, the fluid domain and the structural domain were simulated separately to ensure a stable calculation when bidirectional transfer was performed.
Finite element calculation needs to impose enough constraints on the structure to prevent rigid body displacement. As shown in Figure 6, the rigid body was set with constraints B and C as cylindrical constraints, which were used to constrain the radial and axial displacements at both ends of the runner structure to ensure that the structure rotated only in the tangential direction. Constraint A represents the setting of the fluid–structure coupling surface, which was used on all the blade surfaces to realize the information transfer between the flow field and the solid field.
Figure 6.
Boundary conditions of the structure calculation.
4. Results
4.1. Dynamic Stress Distribution
According to the two-way fluid–structure coupling method, the internal flow of the axial-flow pump was obtained by calculation. Figure 7 shows the stress distribution diagrams under pump and turbine conditions. In this paper, a total of six flow conditions were calculated and analyzed, including four flow conditions under pump conditions, 0.6 Q, 0.8 Q, 1.0 Q, and 1.2 Q, as well as design flow conditions and low-flow conditions under the turbine working conditions. Considering the length of this article, Figure 7 only shows the stress distribution diagrams of each flow condition at a certain time.

Figure 7.
(a). Dynamic stress distribution under pump conditions. (a-i) 0.6 Q, (a-ii) 0.8 Q, (a-iii) 1.0 Q, (a-iv) 1.2 Q, (b). Dynamic stress distribution under turbine operating conditions. (b-i) 0.6 Q, (b-ii) 1.0 Q.
Figure 7a,b show the dynamic stress distribution on the blade surface under the pump and turbine conditions, respectively. This paper lists the dynamic stress distributions of the blade under different flow rates at the same time after the coupling calculation was stable. In Figure 7(a-i–a-iv), we show the cloud diagrams of the dynamic stress distribution from low-flow conditions to high-flow conditions, respectively. It can be seen from the figure that with the increase in the flow rate, the dynamic stress on the blade surface decreases. Specifically, the maximum dynamic stress at the root of the blade decreases, but the position of the dynamic stress does not change, and it is located at the root of the blade; the dynamic stress distribution on the blade surface does not change, indicating that the change in the flow rate only changes the dynamic stress on the blade surface without changing the stress distribution.
When the unit is running under the turbine conditions, with the increase in the flow, the dynamic stress on the blade surface also decreases continuously. The maximum dynamic stress is concentrated at the root of the blade, and the distribution of the dynamic stress on the blade surface is related to the fluid flow.
Comparing the dynamic stress distribution on the blade surface of the axial-flow pump under the pump and turbine conditions, it was found that the stress concentration point appears at the root of the blade when the axial-flow pump is running in forward and reverse operation. The change in stress with the flow is also consistent; it decreases with an increase in the flow rate, and the dynamic stress on the blade surface is the largest at a low flow rate. Under the same flow condition, the dynamic stress on the blade surface when the unit is operating under the pump conditions is greater than that under the turbine conditions.
Figure 8 and Figure 9 show the time-dependent curves of the dynamic stress of the axial-flow pump under the pump and turbine conditions, respectively. In the figures, the ordinate represents the dynamic stress, and the abscissa represents the time. Under different flow conditions, the change in dynamic stress with time shows a good periodic law. As shown in Figure 8, when the water pump is running under the pump conditions, except for the low-flow condition, only one wave peak and wave trough appear in one impeller rotation cycle, indicating that the change in dynamic stress is obviously closely related to the coupling effect of a single blade. As the flow rate increases, the magnitude of the dynamic stress on the blade surface decreases. The stress amplitude at a low flow is even four times higher than that at a high flow. When running away from the design flow, the dynamic stress on the blade has an obvious secondary wave peak, while, when running near the design flow condition, the waveform is complete and shows an obvious sine wave. This also shows that the influence of the flow on the blade coupling is huge, especially at a low flow, where the stress amplitude is large, and long-term operation will definitely damage the blade. When the unit operates under low-flow conditions, the internal flow rate of the runner chamber is low, the fluid distribution is uneven, the phenomena of backflow and de-flow are prone to occur, and the collision between the blades and the water flow is more obvious. It is more intense and more complex, and thus the dynamic stress is larger, and it is prone to multiple sets of peaks over time. Figure 9 shows the dynamic stress distribution curve of the unit when the unit is operating under the turbine conditions. Under different flow conditions, the change in dynamic stress with time also shows an obvious periodic law, but there is a large change in one rotation cycle, and two small peaks. The possible reason is that when the unit is running under the pump conditions, the rotation of the shaft drives the rotation of the blades to couple with the water flow. This coupling mainly occurs on a single blade, and the mutual influence between the blades is small. When running under the turbine conditions, the water flow drives the rotation of the blades, converting the kinetic energy of the water flow into the mechanical energy of the unit. At this time, the coupling effect between the blades and the water flow in the runner chamber is more affected by the adjacent blades, and the effect between the blades cannot be ignored.

Figure 8.
Stress curves of pump working conditions. (i) 0.6 Q, (ii) 0.8 Q, (iii) 1.0 Q, (iv) 1.2 Q.
Figure 9.
Stress curves of turbine working conditions. (i) 0.6 Q, (ii) 1.0 Q.
Figure 10i,ii show the frequency domain distribution diagrams of the dynamic stress on the blade surface under the pump and turbine conditions, respectively. In the spectrogram, the horizontal axis f represents the frequency doubling of the rotational frequency, and the vertical axis represents the equivalent stress amplitude. It can be seen from Figure 10i that, under different flow conditions, the main frequency of the dynamic stress is the rotational frequency, and there is no obvious secondary frequency. The change in the flow rate only changes the magnitude of the stress amplitude, and with the increase in the flow rate, the dynamic stress amplitude decreases. This shows that the dynamic stress under the coupling action of the blade and the water body is mainly related to the rotation of the unit. Figure 10ii shows the spectral distribution of the dynamic stress under the working conditions of the turbine. It can be seen from the figure that the main frequency of the dynamic stress is the rotational frequency, and the secondary frequency is composed of multipliers of the rotational frequency, i.e., two times, three times, and four times the frequency. This shows that the coupling effect of the blade surface is not only related to the blade directly hit by the fluid but also affected by other blades in the runner chamber, and the spectral distribution of the dynamic stress is also directly related to the number of blades. As the flow rate increases, the dynamic stress amplitude decreases. When operating under low-flow conditions, the dynamic stress formed by the coupling action on the blade is larger, which will cause greater damage to the blade.
Figure 10.
Frequency domain distribution of dynamic stress. (i) Pump working conditions, (ii) turbine working conditions.
Figure 11 shows the maximum stress amplitude under different working conditions, and it can be seen intuitively that the dynamic stress amplitude changes with the flow rate. As the flow rate increases, the dynamic stress on the blade surface continuously decreases. When the unit is running under the pump conditions, the maximum dynamic stress under the low-flow condition even reaches six times the dynamic stress value under the high-flow condition. When the flow rate is higher than the design flow, the stress amplitude is much lower than that of the low-flow condition, which fully shows that the flow inside the axial-flow pump is more stable at this time, and the impact of the water flow on the blades is also greatly reduced. When running under the low-flow conditions, the dynamic stress existing in the unit is too large, indicating that the impact of the water flow on the blades is large, and the coupling effect between the two is strong.
Figure 11.
Stress under pump and turbine conditions.
Figure 12 shows the natural frequency distribution diagram obtained after the dry and wet modal analysis of the structure, and only the first six natural frequencies are listed in this paper. As can be seen from the figure, when considering the additional mass of water, the natural frequency of the structure decreases to a certain extent. According to the previous analysis, the main frequency of dynamic stress is 4.17 Hz, while the natural frequency of the structure is the lowest at 95.44 Hz, indicating that there is no possibility of resonance when the structure runs in water.
Figure 12.
Natural frequency distribution diagram of structure.
4.2. Study on Fatigue Characteristics
In this paper, the new, thickened blade that replaced the old blade of the pumping station was studied. The material selected for the blade was ZG06Cr13Ni4Mo. Table 3 shows the main mechanical properties of ZG06Cr13Ni4Mo.
Table 3.
Mechanical properties of ZG06Cr13Ni4Mo.
When solving based on the nominal stress method, the relationship of the S–N curve can also be expressed using the following equation:
where m and C are the material constants, which are related to the stress ratio and loading method, and the logarithm of both sides can be obtained:
Take A = lg C and B = −m. The expression is
By looking up the relevant fatigue design manuals, the A and B values of the corresponding materials can be obtained, which are generally obtained through a large number of tests. The S–N empirical formula for a 90% survival rate is as follows:
where the unit of δ is , where . In this paper, δ is the maximum value of dynamic stress under different working conditions.
Figure 13 shows the old blade of the pumping station. In the figure, the cracks on the blade are shown in the red circle, and the amplified cracks are shown on the right side, marked with red circles and red lines. Obvious cracks can be seen at the root, and the cracks will continue to develop. The pumping station adopts newly thickened blades. In this paper, numerical simulation was carried out based on the newly replaced blades, and the two-way fluid–structure coupling method was used to obtain the dynamic stress distribution under the coupling action of the blades. We analyzed and studied the dynamic stress distribution at different flow rates under pump and turbine conditions. The stress concentration area obtained by the simulation appears at the root of the blade, which is consistent with the position of the crack in the blade before the replacement. This shows that the dynamic stress distribution obtained by the simulation is quite accurate. Referring to the previously measured values of the dynamic stress, it can be found that when operating at 0.6 times the design flow, the dynamic stress on the blade surface reaches 123 MPa, and, near the design flow, the dynamic stress under the corresponding working conditions drops significantly compared with the experiment. When the unit is in normal operation, avoiding extremely low-flow conditions can ensure the safe use of the blades.
Figure 13.
Crack distribution of the old axial-flow pump blade.
Figure 14a,b show the cloud diagrams of the blade fatigue damage distribution under the pump and turbine conditions, respectively. It can be seen from Figure 14 that under different operating conditions, the fatigue damage distribution and stress distribution are consistent, and the damage is the most serious at the stress concentration point. The damage distribution positions on different blades are also the same, and the maximum damage value is also consistent, which shows that the damage distribution of the blade has no impact on the flow rate and is not determined by the number of blades. It is only determined by the coupling effect of the blade surface. The change in the flow rate only changes the maximum damage value, and it does not change the distribution of the blade damage locations. Under the pump and turbine conditions, the maximum damage position of the blade appears at the root of the blade, and with the increase in the flow rate, the extreme value of the fatigue damage to the blade gradually becomes smaller, which also shows that operation near the design flow rate will reduce the damage to the blade. The damage is relatively low. By thickening the root of the blade, the service life of the blade can be extended, and, at the same time, avoiding operation in the low-flow area is a method that can protect the blade.
Figure 14.
(a).Contour diagrams of blade fatigue damage under pump conditions. (a-i) 0.6 Q, (a-ii) 0.8 Q, (a-iii) 1.0 Q, (a-iv) 1.2 Q, (b). Contour diagrams of blade fatigue damage under turbine operating conditions. (b-i) 0.6 Q, (b-ii) 1.0 Q.
Figure 15a,b show the fatigue life of the blades at the low-flow and design flow points under the pump and turbine conditions, respectively. Under different flow conditions, the fatigue life at the stress concentration area is the lowest, the distribution of the blade fatigue life is consistent with the damage location, and the lifetime after severe damage is relatively low. It can also be seen from Figure 15 that with the increase in the flow, the fatigue life increases; in forward operation, the minimum fatigue life of the blade is only 1.4 × 107, and the operating flow at this time is 0.6 Q. According to the material design regulations, the service life of general steel materials can reach 107, and it is considered that these materials can be used indefinitely. According to the calculation results, it can be seen that the axial-flow pump can ensure the safe use of the blades when the operating flow rate is higher than 0.6 Q. When the operating flow rate is lower than this flow rate, according to the variation law of stress with the flow rate, the flow rate is too low, which will cause the blade surface to experience excessive dynamic stress over a long period of time, resulting in fatigue failure. When the unit is running in reverse—that is, under the working conditions of the turbine—the minimum fatigue life of the blade appears at the root of the blade under a low flow, and the minimum fatigue life is 3.599 × 108. Overall, under the same flow condition, the fatigue life of the unit is lower when the unit is operating under the pump conditions, indicating that the damage to the unit is more serious at this time. This and the previous analysis show that the dynamic stress amplitude is larger under the pump conditions, and thus the fatigue damage is more serious. Obviously, under the pump conditions, when the unit is operating at a low flow rate, the internal flow state is more complex, and fatigue damage is more likely to occur. Avoiding this flow area can effectively reduce the dynamic stress, thereby prolonging the service life of the blades and ensuring the unit’s stability.
Figure 15.
(a). Contour diagrams of blade fatigue life under pump conditions. (a-i) 0.6 Q, (a-ii) 0.8 Q, (a-iii) 1.0 Q, (a-iv) 1.2 Q, (b). Contour diagrams of blade fatigue life under turbine operating conditions. (b-i) 0.6 Q, (b-ii) 1.0 Q.
According to the previous analysis, it can be seen that under different flow conditions, the stress concentration zone appears at the root of the blade. The damage is the most serious at the root of the blade, which has the lowest fatigue life compared with the other locations. When operating under low-flow conditions that deviate from the design flow, the dynamic stress load received by the blades is much higher than under the design conditions. At this time, the flow state inside the pump is poor, and the impact on the blades is also more serious. The blades are more susceptible to damage, and it can also be seen from Figure 14 and Figure 15 that the fatigue life of the blades is very low at low flow rates. In the case of normal operation near the design flow, the new, thickened blades can meet the long-term operation requirements. Figure 16 presents the S–N curve of the blade material and also includes the maximum dynamic stress corresponding to the six flow conditions. In the figure, the red points represent the stress values at different flow rates under pump working conditions, which are 0.6Q,0.8Q,1.0Q and 1.2Q from left to right respectively. The blue points represent the stress values at different flow rates under turbine working conditions, which are 0.6Q and 1.0Q from left to right respectively.The fatigue limit of the ZG06Cr13Ni4Mo material is 210 MPa, and the stress corresponding to the service life of 107 is 184.02 MPa. At the flow rate selected in this paper, the maximum dynamic stress value is 123 MPa, indicating that the new replacement blades of the pumping station meet the normal operation requirements, but long-term operation under low-flow conditions, especially operating conditions with a flow below 0.6 Q, should be avoided.
Figure 16.
Fatigue characteristic curve of the ZG06Cr13Ni4Mo material.
5. Conclusions
In this paper, a dual-purpose pump for irrigation and drainage was studied according to different flow conditions under pump and turbine conditions. The two-way fluid–structure coupling method was used to obtain the dynamic stress distribution on the surface of the runner blade, and the blade was analyzed according to the obtained stress load spectrum. Fatigue calculations were performed to obtain the fatigue life and damage of the blade. The external characteristic curve of the axial-flow pump was obtained through experimental measurement to prove the reliability of the numerical simulation. The research findings indicate the following:
- When the axial-flow pump operates under the pump and turbine conditions, the dynamic stress is mainly concentrated at the root of the blade, and it decreases with the increase in the flow rate; the change in the dynamic stress with time shows an obvious periodic law. Near the design flow, it appears as a regular sine wave. Under the pump conditions, the main frequency of the dynamic stress is the rotational frequency, and there is no obvious secondary frequency, while, under the turbine conditions, the main frequency is the rotational frequency, and the secondary frequency is composed of multipliers of the rotational frequency. The frequency multipliers are mainly twice the rotational frequency, three times the rotational frequency, and four times the rotational frequency, indicating that, in reverse operation, the coupling effect of the blades and the fluid receives the joint action of all the blades in the runner chamber, which is obviously related to the number of blades. The pump working conditions are only affected by the acting vanes.
- Under different flow conditions, the fatigue damage position is consistent with the stress distribution, and the damage is the most serious at the stress concentration area; the lower the flow rate, the greater the damage to the blade root. The fatigue life of the blade corresponds to the fatigue damage, and in the case of severe damage, the fatigue life is relatively low; the fatigue life is closely related to the change in the flow rate, where the lower the flow rate, the greater the stress load on the blade surface, the more serious the damage, and the lower the fatigue life. Under specific flow conditions, the minimum fatigue life also appears. The stress concentration area—that is, the root of the blade—is most prone to damage, and, in the change in dynamic stress, the rotation of the shaft plays a major role.
- The surface stress amplitude of the new, thickened blade (following the replacement of the old blade by the pumping station) is greatly reduced, and operation near the design flow rate can ensure the safe use of the blade, but, in the low-flow area, the dynamic stress amplitude is close to the fatigue limit, even at a very low flow rate. Exceeding the fatigue limit will lead to the possibility of blade cracking and affect the safe use of the blade.
Author Contributions
Conceptualization, Y.B.; methodology, D.W.; formal analysis, D.W.; investigation, D.W.; resources, D.W.; writing—original draft preparation, D.W.; writing—review and editing, D.W.; project administration, Y.B.; funding acquisition, Y.B. All authors have read and agreed to the published version of the manuscript.
Funding
National Natural Science Foundation of China (11402115) and the Jiangsu Province Natural Science Foundation (BK20130782).
Data Availability Statement
Not applicable.
Acknowledgments
This work was supported by the National Natural Science Foundation of China (11402115) and the Jiangsu Province Natural Science Foundation (BK20130782).
Conflicts of Interest
The authors declare no conflict of interest.
References
- Campbell, R.; Paterson, E. Fluid–structure interaction analysis of flexible turbomachinery. J. Fluids Struct. 2011, 27, 1376–1391. [Google Scholar] [CrossRef]
- Jiang, Y.; Yoshimura, S.; Imai, R.; Katsura, H.; Yoshida, T.; Kato, C. Quantitative evaluation of flow-induced structural vibration and noise in turbomachinery by full-scale weakly coupled simulation. J. Fluids Struct. 2007, 23, 531–544. [Google Scholar] [CrossRef]
- Zhang, Q.; Hisada, T. Studies of the strong coupling and weak coupling methods in FSI analysis. Int. J. Numer. Methods Eng. 2004, 60, 2013–2029. [Google Scholar] [CrossRef]
- Wei, L.; Yongfei, Y.; Weidong, S.; Leilei, J.; Xiaoping, J. Mechanical properties of mixed-flow pump impeller based on bidirectional fluid-structure interaction. Trans. Chin. Soc. Agric. Mach. 2015, 46, 82–88. [Google Scholar]
- Li, W.; Ji, L.; Shi, W.; Zhou, L.; Jiang, X.; Zhang, Y. Fluid-structure interaction study of a mixed-flow pump impeller during startup. Eng. Comput. 2018, 35, 18–34. [Google Scholar] [CrossRef]
- Hao, Y.; Tan, L. Symmetrical and unsymmetrical tip clearances on cavitation performance and radial force of a mixed flow pump as turbine at pump mode. Renew. Energy 2018, 127, 368–376. [Google Scholar] [CrossRef]
- Ji, L.; Li, W.; Shi, W.; Tian, F.; Agarwal, R. Effect of blade thickness on rotating stall of mixed-flow pump using entropy generation analysis. Energy 2021, 236, 121381. [Google Scholar] [CrossRef]
- Chen, F.; Bi, H.; Ahn, S.-H.; Mao, Z.; Luo, Y.; Wang, Z. Investigation on Dynamic Stresses of Pump-Turbine Runner during Start Up in Turbine Mode. Processes 2021, 9, 499. [Google Scholar] [CrossRef]
- Egusquiza, E.; Valero, C.; Huang, X.; Jou, E.; Guardo, A.; Rodriguez, C. Failure investigation of a large pump-turbine runner. Eng. Fail. Anal. 2012, 19, 27–34. [Google Scholar] [CrossRef]
- Fernández, J.; Barrio, R.; Blanco, E.; Parrondo, J.L.; Marcos, A. Numerical investigation of a centrifugal pump running in reverse mode. Proc. Inst. Mech. Eng. Part A-J. Power Energy 2010, 224, 373–381. [Google Scholar] [CrossRef]
- Pei, J.; Yuan, S.; Yuan, J. Dynamic stress analysis of sewage centrifugal pump impeller based on two-way coupling method. Chin. J. Mech. Eng. 2014, 27, 369–375. [Google Scholar] [CrossRef]
- Peng, G.; Zhengwei, W.; Zongguo, Y.; Ruixiang, L. Strength analysis of a large centrifugal dredge pump case. Eng. Fail. Anal. 2009, 16, 321–328. [Google Scholar]
- Langthjem, M.; Olhoff, N. A numerical study of flow-induced noise in a two-dimensional centrifugal pump. Part I. Hydrodynamics. J. Fluids Struct. 2004, 19, 349–368. [Google Scholar] [CrossRef]
- Gao, J.Y.; Hou, Y.S.; Xi, S.Z.; Cai, Z.H.; Yao, P.P.; Shi, H.L. Prediction of flow- induced dynamic stress in an axial pump impeller using FEM. IOP Conf. Ser. Mater. Sci. Eng. 2013, 52, 022041. [Google Scholar] [CrossRef]
- Kan, K.; Zheng, Y.; Chen, H.; Cheng, J.; Gao, J.; Yang, C. Study into the Improvement of Dynamic Stress Characteristics and Prototype Test of an Impeller Blade of an Axial-Flow Pump Based on Bidirectional Fluid–Structure Interaction. Appl. Sci. 2019, 9, 3601. [Google Scholar] [CrossRef]
- Kan, K.; Zheng, Y.; Fu, S.; Liu, H.; Yang, C.; Zhang, X. Dynamic stress of impeller blade of shaft extension tubular pump device based on bidirectional fluid-structure interaction. J. Mech. Sci. Technol. 2017, 31, 1561–1568. [Google Scholar] [CrossRef]
- Zhou, Y.; Zheng, Y.; Kan, K.; Zhang, Y.; Wang, H.; Tang, W.; Zhao, M. Study on hydraulic characteristics of large vertical axial-flow pump used as constant frequency power generation. Proc. Inst. Mech. Eng. Part A J. Power Energy 2021, 235, 095765092091208. [Google Scholar] [CrossRef]
- Li, Z.; Wang, Y.; Li, T.; Liu, F.; Ji, J. The dynamic characteristics of the ultimate strength of a turbine runner blade under hydraulic excitation. Energy Sources Part A Recover. Util. Environ. Eff. 2019, 41, 3127–3137. [Google Scholar] [CrossRef]
- Schmucker, H.; Flemming, F.; Coulson, S. Two-way coupled fluid structure interaction simulation of a propeller turbine. IOP Conf. Ser. Earth Environ. Sci. 2010, 12, 012011. [Google Scholar] [CrossRef]
- Waqas, M.; Ahmad, N. Computation of Stress Distribution in Hydraulic Horizontal Propeller Turbine Runner Based on Fluid–Structure Interaction Analysis. Arab. J. Sci. Eng. 2020, 45, 9325–9337. [Google Scholar] [CrossRef]
- Zhang, Y.; Wu, Y. A review of rotating stall in reversible pump turbine. Proc. Inst. Mech. Eng. Part C J. Mech. Eng. Sci. 2017, 231, 1181–1204. [Google Scholar] [CrossRef]
- Nautiyal, H.; Kumar, A. Reverse running pumps analytical, experimental and computational study: A review. Renew. Sustain. Energy Rev. 2010, 14, 2059–2067. [Google Scholar] [CrossRef]
Publisher’s Note: MDPI stays neutral with regard to jurisdictional claims in published maps and institutional affiliations. |
© 2022 by the authors. Licensee MDPI, Basel, Switzerland. This article is an open access article distributed under the terms and conditions of the Creative Commons Attribution (CC BY) license (https://creativecommons.org/licenses/by/4.0/).

















