Abstract
A series of experiments were performed to investigate the effect of ignition energy (Eig) and hydrogen addition on the laminar burning velocity (Su0), ignition delay time (tdelay), and flame rising time (trising) of lean methane−air mixtures. The mixtures at three different equivalence ratios (ϕ) of 0.6, 0.7, and 0.8 with varying hydrogen volume fractions from 0 to 50% were centrally ignited in a constant volume combustion chamber by a pair of pin-to-pin electrodes at a spark gap of 2.0 mm. In situ ignition energy (Eig ∼2.4 mJ ÷ 58 mJ) was calculated by integration of the product of current and voltage between positive and negative electrodes. The result revealed that the Su0 value increases non-linearly with increasing hydrogen fraction at three equivalence ratios of 0.6, 0.7, and 0.8, by which the increasing slope of Su0 changes from gradual to drastic when the hydrogen fraction is greater than 20%. tdelay and trising decrease quickly with increasing hydrogen fraction; however, trising drops faster than tdelay at ϕ = 0.6 and 0.7, and the reverse is true at ϕ = 0.8. Furthermore, tdelay transition is observed when Eig > Eig,critical, by which tdelay drastically drops in the pre-transition and gradually decreases in the post-transition. These results may be relevant to spark ignition engines operated under lean-burn conditions.
1. Introduction
The use of alternative fuels, together with lean combustion technology, is an effective way of reducing emissions and enhancing the thermal efficiency of internal combustion engines (ICE) [1,2,3,4,5,6]. Natural gas (mostly methane) and hydrogen are considered the alternative fuels for ICEs. Natural gas combustion emits lower greenhouse gas emissions than gasoline because of its high H/C ratio. The high knock resistance of natural gas potentially allows the ICEs to operate under higher compression ratios. Burning the lean natural gas/air mixtures is a promising method for enhancing the thermal efficiency of spark ignition (SI) engines through an increase in the specific heat ratio [7] and the reduction in heat-transfer losses due to its lower combustion temperature together with a decrease in the pumping loss for the wide-opening throttle [5,8]. However, methane has a slower flame propagation that may cause misfire [8,9,10], high cycle-to-cycle variation, and emission of unburned hydrocarbon [1,11]. The slower development of flame kernel and thus the longer explosion duration interfere with an optimal combustion phasing [10] in SI engines, limiting the full potential of lean combustion. How to accelerate the flame kernel propagation and the explosion duration of lean natural gas is thus crucial to the further development of high thermal efficiency and low-emission SI engines.
Owing to the large burning velocity and lower flammability limit, hydrogen is a candidate fuel for stabilizing lean operations and reducing emissions of natural gas engines [12,13,14,15]. For instance, Ma et al. [12] reported that the excess air ratio of purely natural gas at 105 kPa of manifold absolute pressure was 1.71 and could be extended to 1.82, 2.09, and 2.4 by adding 10%, 30%, and 50% in volume fraction of H2, respectively. By substituting less than 50% volume fraction of hydrogen to methane, Akansu et al. [15] revealed the reduction in CO/CO2 emissions and improvement of the brake thermal efficiency at lean conditions. Karim et al. [14] suggested that a small amount of hydrogen in methane would not undermine the knock resistance ability of methane.
Fundamental studies on hydrogen−methane flames have shown that laminar burning velocity increases with an increase in hydrogen mole fraction in the fuel [1,14,16,17,18,19,20]. Studying the spherical propagation of hydrogen−methane flames at three equivalence ratios (ϕ) of 0.8, 1.0, and 1.2 in the constant volume combustion chamber (CVCC), Okafor et al. [1] showed that the un-stretched laminar burning velocities increase non-linearly with increasing hydrogen faction. Chen et al. [17] found a similar result by using a computational method. Hu et al. [19] experimentally and numerically studied hydrogen–methane flames over a wide range of equivalence ratios (ϕ = 0.6∼1.4) and hydrogen additions (0∼100% in volume fraction). They reported that the un-stretched laminar burning velocity increases, and its peak value shifts to the richer mixture side with increasing hydrogen fraction due to the increase in H, O, and OH radical mole fraction in the flame. The increasing burning rate of hydrogen–methane flames could be also attributed to the effect of hydrogen on the flow field. This is achieved by increasing the velocity of the main toroidal vortex and generating the different sub-vortices within the main vortex [21]. However, the results found by Hu et al. [19] are generally 5 cm/s faster than those of Donohoe et al. [20]. The uncertainty of valuable data in the literature and the lack of data on such lean hydrogen–methane flames (i.e., ϕ = 0.6∼0.8) suggests that more studies on lean hydrogen–methane flames are still necessary for the development and validation of combustion models as well as the optimization of gas engines designs.
Explosion duration characteristics and the rise of in-chamber explosion pressure are essential to the optimization design in hydrogen–methane applications. An optimum explosion duration is essential to avoid pre-ignition and obtain optimal combustion phasing in SI engines. Despite numerous studies available in the literature (see Refs. [1,14,16,17,19,20] and the references therein), unfortunately, most of them focus on the laminar burning velocity of hydrogen–methane flames rather than their explosion duration characteristics. Recently, Sun et al. [22] have conducted the stoichiometric syngas with different hydrogen concentrations (10−90% in volume fraction) in a spherical combustion chamber. They investigated that the increasing hydrogen fraction could raise the maximum pressure and shorten the explosion duration due to the increase in H+ in the flame. Salzano et al. [23] showed that the rising slope of the maximum rate of pressure rise changes from gradual to drastic when the hydrogen fraction is greater than 50% in the stoichiometric hydrogen–methane mixture. Wang et al. [24] investigated combustion behaviors of the natural gas−hydrogen blends in a direct injection engine. The results showed that the rapid combustion duration decreased while the heat release rate and exhaust NOx increased with increased hydrogen fraction. Wang et al. [24] suggested that an optimum hydrogen volume fraction of 20% should be used to get the compromise in both engine performance and emissions.
To quantify the explosion duration characteristics, many researchers investigated ignition delay time (lag duration) and flame rising time (fast burn duration) [22,25,26,27]. The ignition delay time (tdelay) is the time duration between the start of spark command and the instant of appearance of pressure [22,25] or 10% of the total normalized cumulative heat release (NCHR) [26]. The flame rising time (trising) is defined as the time duration from 10% to 90% of the total NCHR [26]. In a practical SI engine, tdelay is introduced as an inflammation time measured from the spark timing to 5% burn point (CA5), and trising is the main combustion duration time obtained from CA10 to CA90 [27]. To lessen tdelay and trising, an increase in the ignition energy (Eig) could be useful. Kelley et al. [28] and Chen et al. [29,30] reported that increasing Eig could enhance the early flame propagation speed shortly after the spark discharge, resulting in a shorter explosion duration. This is because the larger Eig, the higher concentration of active radicals inside the spark gap [31] and/or the higher chemical power release [32]. Moreover, for laminar CH4/O2/N2/He spherical flames, Zhou et al. [33] found that the increasing Eig in a specific range could promote the early flame propagation speed; beyond such range, the additional Eig has a marginal effect on the early flame propagation speed, as it does for the explosion duration. To the best of the authors’ knowledge, experimental studies on the explosion duration characteristics of such lean hydrogen–methane flames over a wide range of hydrogen fraction and ignition energy are sparse.
In this study, we experimentally investigate the effect of ignition energy (2.4 mJ to 58 mJ) and hydrogen addition (0 to 50% in volume fraction) on the laminar burning velocity and explosion duration characteristics of lean methane/air mixtures at ϕ = 0.6, 0.7, and 0.8. The mixtures are centrally ignited in the constant volume combustion chamber by a pair of pin-to-pin electrodes having a spark gap (dgap) of 2 mm. There are differences from previous studies: (1) the laminar burning velocity is calculated by pressure-rise method; (2) the effect of ignition energy and hydrogen addition on tdelay and trising of lean methane/air mixtures is analyzed for the first time.
2. Methodology
2.1. Experimental Setup, Procedure, and Conditions
Experiments of lean methane/hydrogen/air mixture at equivalence ratios (ϕ) of 0.6, 0.7, and 0.8 were conducted in a constant volume combustion chamber at atmospheric conditions using the car ignition coil, as shown in Figure 1. The volume fraction of hydrogen was varied from 0 to 50% (H0 to H5) in the combustible mixtures. The nominal purity of the used gases was more than 99.9%. The stainless-steel vessel with an inner diameter of 160 mm was equipped with intake and exhaust ports, a pair of pin-to-pin electrodes, and two pressure transducers (P1 and P2). A pressure transducer P1 (CSR1 model, ±0.5% FS) having a range of −1 to 3 bar was connected to a digital monitor to control the partial pressure of fuel and air sequentially during the mixture preparation inside the CVCC. A 20 kHz pressure transducer P2 (JC690 model, ±0.25% FS) having a range of 0–10 MPa was connected to a 100 MHz Oscilloscope to detect the in-chamber pressure rise during the combustion processes.
Figure 1.
A schematic diagram of the experimental setup.
We first vacuumed the combustion chamber before injecting the appropriate mole fraction of methane, hydrogen, and air to the specific pressure value (p0 = 1 bar) using the partial pressure method. The combustible mixture was then mixed by the mixing pump before discharging a spark. A pair of pin-to-pin electrodes having a diameter and spark gap of 2.0 mm (ddia = dgap = 2 mm) centrally ignited the premixed mixture by various ignition energies (Eig), where Eig can be varied with capacitors. To measure in situ Eig, an ignition circuit was employed by which the positive side was connected to a high-voltage car ignition coil, and the negative side was connected to the ground. Eig was directly calculated by integration of the product of the discharge current I(t) and the voltage V(t) across the spark gap, where I(t) and V(t) signals obtained by Pearson current monitor 8122 and Pintek high-voltage probe HVP-28HF, respectively, were recorded by a 100 MHz Oscilloscope (Gwinstek GDS-1104B). A typical voltage and current waveform is presented in Figure 2, in which Eig ≈ 29 mJ.
Figure 2.
A typical voltage V(t) and current I(t) waveform. Ignition energy , and pulse duration (t2 − t1) ≈ 1.5 μs.
2.2. Data Processing and Parameter Definition
From the evolution of the explosion pressure profile, the laminar burning velocity (Su0) of the sample mixture was determined using Equation (1) proposed by Matsugi et al. [34]
where R is the inner radius of CVCC, p0 is the initial pressure of the mixture, p is the instantaneous pressure in CVCC, γ is the specific heat ratio of the unburned mixture, and pe is the equilibrium pressure under an adiabatic constant volume condition [34], which is determined by using GasEq program.
The laminar burning velocity Su0 and the coefficient c were obtained by a least-square fit of the observed pressure−time profile to Equation (1), where c represents a pressure−temperature dependence coefficient. Su0 was calculated at 10% to 90% of the total normalized cumulative heat release (NCHR) to avoid the effects associated to spark ignition and flame-wall interaction, where NCHR was determined based on Equation (3). Each experimental condition was repeated at least five times. Figure 3 reveals in-chamber explosion pressure profiles of 50% CH4/50% H2/air mixtures at ϕ = 0.6, 0.7, and 0.8. All the profiles were readily fitted to Equation (1), as indicated by the bold curves. The laminar burning velocities are 22.7, 30.5, and 39.1 cms−1 at equivalence ratios of 0.6, 0.7, and 0.8, respectively. These values are in close agreement with the previous results by Hu et al. [19] and Donohoe et al. [20], indicating an accuracy of the pressure profile method applied in this study.
Figure 3.
In-chamber pressure profiles (thin curves) and their fitting curves (bold-solid curves).
To quantify the time duration for the ignition and combustion phases, we used ignition delay time (tdelay) and flame rise time (trising). tdelay is defined as the time duration from the start ignition command to 10% of the total NCHR, and trising is defined as the time duration from 10% to 90% of the total NCHR [26] (please see Figure 4), where NCHR is determined from the following equations:
where RHRR is the representative heat release rate, t0 is the time of discharge, and tend is the time of peak pressure. The schematic of NCHR calculated from Equation (3) is revealed in Figure 4, which indicates that the tdelay and trising are the shortest at ϕ = 0.8.
Figure 4.
The normalized cumulative heat release (NCHR) for 50% CH4/50% H2/air at different equivalence ratios, ϕ = 0.6, 0.7, and 0.8.
3. Results and Discussion
3.1. In-Chamber Pressure Profile and Laminar Burning Velocity Su0
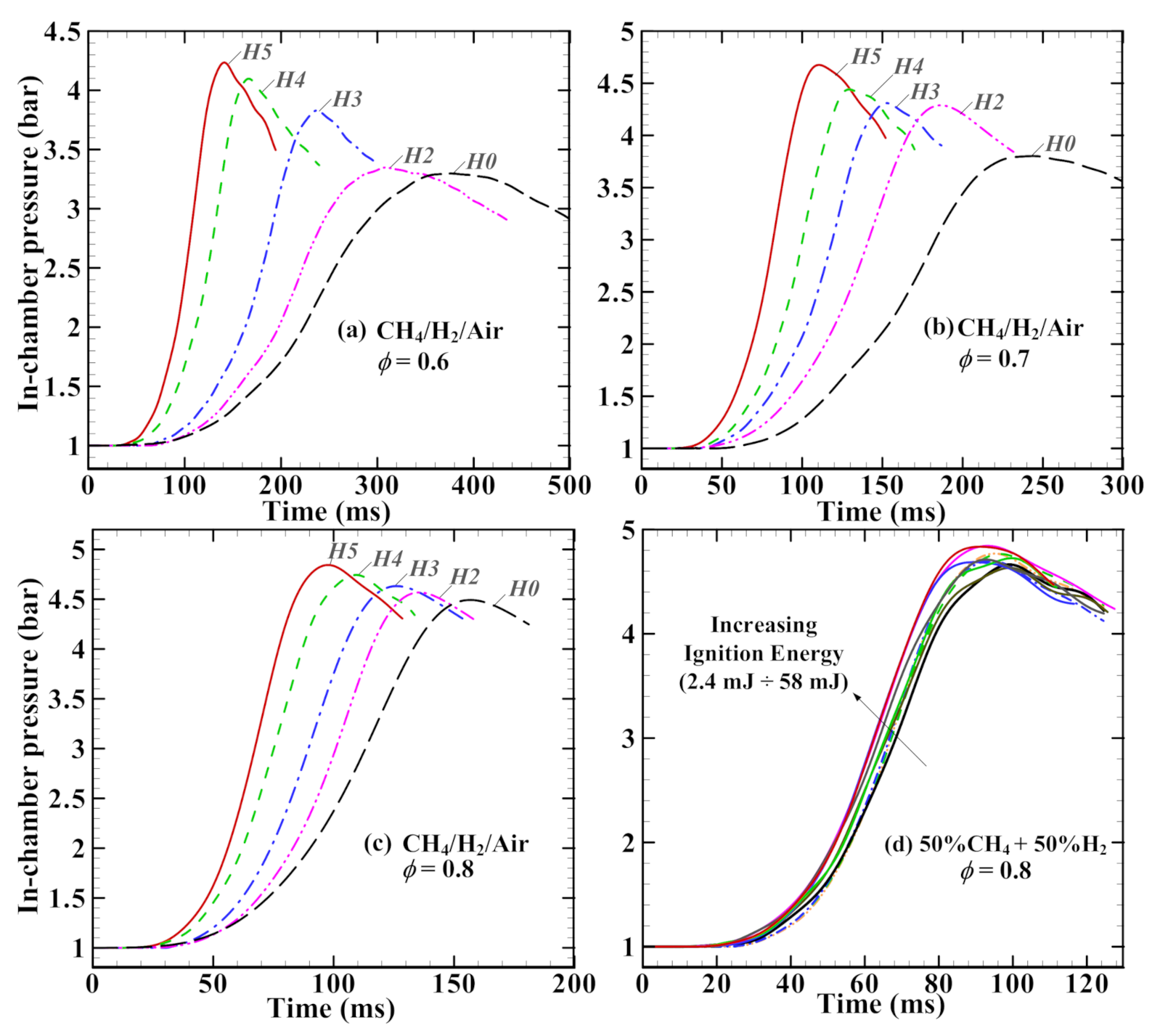
Figure 5 shows in-chamber pressure profiles during the combustion process of lean methane/hydrogen/air mixtures in different conditions, i.e., three equivalence ratios ϕ = 0.6, 0.7, and 0.8, different hydrogen fractions of 0∼50% (indicated by H0 to H5), and various ignition energies Eig = (2.4∼58) mJ. Each combustion pressure profile performs a similar behavior, where the pressure first increases rapidly after a period of “constant pressure” to the maximum value (ppeak), and then it declines due to the heat loss through the cold-chamber’s wall. The peak pressure value alongside its leftward moving increases when increasing the hydrogen fraction in the mixture and/or equivalence ratio (Figure 5a–c), indicating the boost explosion in a shorter combustion duration. This is because the higher the partial volume of H2 is, the more the amount of H, O, and OH radical mole fractions will be released during the combustion, enhancing the chemical reaction [1,22]. Moreover, Figure 5d also reveals a slight “leftward moving” of the pressure trace as increasing Eig from 2.4 mJ to 58 mJ, suggesting a shorter combustion duration. The enhanced combustion with increasing Eig could be attributed to the high concentration of active radicals inside the spark gap [31] and/or high chemical power release [32].
Figure 5.
In-chamber pressure profiles for lean CH4/H2/air. (a–c) Three equivalence ratios ϕ = 0.6, 0.7, 0.8 with different H2 fractions of 0∼50% (indicated by H0 to H5); (d) 50% CH4/50% H2 at ϕ = 0.8 by varying the ignition energies Eig = (2.4∼58) mJ.
Values of Su0 calculated by applying Equation (1) to the pressure profiles (as indicated in Figure 5) are plotted against the hydrogen volume fractions in Figure 6. Su0 increases non-linearly with increasing hydrogen volume fraction for all equivalence ratios (ϕ = 0.6, 0.7, and 0.8). The value of Su0 gradually increases as the hydrogen faction increases from 0 to 20% and is rather rapid when the hydrogen fraction is greater than 20% for three equivalence ratios (ϕ = 0.6, 0.7, and 0.8). Adding 20% of the hydrogen fraction to the mixtures results in less than 10% of the increasing Su0 at ϕ = 0.7 and 0.8, while it is 35% for ϕ = 0.6. This is probably because the pure CH4/air mixture at ϕ = 0.6 is close to the lower flammability limits having very low Su0 ∼7cm/s. To the term of burning velocity, the higher the H2, the more H+ is provided, the more active the chemical reaction becomes, and a higher burning velocity is realized.
Figure 6.
Effect of additional hydrogen on laminar burning velocity of lean CH4/air mixtures at three equivalence ratios (ϕ = 0.6, 0.7, and 0.8). The solid symbols are experimental data, and the curves are their fitting lines.
3.2. Ignition Delay Time (tdelay) and Flame Rising Time (trising)
For successful flame development, tdelay offers an effective way to evaluate the physicochemical property of a combustible fuel−air mixture [25,35,36,37]. Tdelay is defined as the time duration from the start ignition command to 10% of the total normalized cumulative heat release (NCHR) in which tdelay could be affected by Eig. Figure 7a indicates that the larger Eig is, the shorter the value of tdelay is. For instance, tdelay decreases approximately 15% when increasing Eig from 2.4 mJ (tdelay = 46.5 ms) to 58 mJ (tdelay = 40.5 ms). The values of tdelay are plotted against Eig in Figure 7b, which indicates a transition of tdelay at Eig ∼24 mJ. In the pre-transition, when Eig is increased from 2.4 mJ to 24 mJ, values of tdelay enormously drop from 46.5 ms to 41.6 ms. However, a very modest decrease in tdelay from 41.6 ms to 40.5 ms is observed when Eig > Eig,critical ≈ 24 mJ in the post-transition. The decrease in tdelay with increasing Eig could be attributed to the high concentration of active radical species [31] and/or the growth in the chemical reaction rates [32]. However, when Eig > 24 mJ, the additional Eig has a marginal effect on tdelay, possibly due to the saturation of the refreshed recirculation mixture by vortices inside the spark gap induced by the shock wave [38,39] having saturated active radicals. The other possibility is the increase in heat conduction losses to the electrodes with increasing Eig [32]. The existence of Eig,critical could partly explain why very high Eig >> Eig,critical has less contribution to the improvement of SI engine performance and emissions. It should be noted that the rising slope of NCHR curves from 10% to 90% are quite similar at different Eig, suggesting a lesser and/or negligible influence of Eig on the flame rising time (trising) and laminar burning velocity.
Figure 7.
Effect of ignition energy on the ignition delay time (tdelay): (a) where Eig is varied in a range of 2.4 mJ–58 mJ using a car ignition coil. The inset is a close-look at very beginning of NCHR in which tdelay values are determined. (b) The value of tdelay (solid symbols) are plotted against Eig, showing a tdelay transition at Eig, critical ≈ 24 mJ.
Figure 8 presents the effect of additional H2 volume fraction on tdelay (Figure 8a) and trising (Figure 8b) of lean CH4/air mixtures. Each data point in Figure 8 is an average value of at least five ignition trials using Eig > 20 mJ to minimize the effect of Eig on the early stage of flame propagation (as presented in Figure 7). As can be seen, tdelay and trising decline in an accelerated tendency with the increase in the hydrogen fraction for the promoted chemical reaction process by more H+, especially when the hydrogen fraction is greater than 20%. The declining slope is much steeper for the leaner mixture. For instance, tdelay (trising) drops 48% (70%), 44% (55%), and 36% (33%) when increasing the H2 volume fraction from 0 to 50% for lean CH4/air mixture at an equivalence ratio of 0.6, 0.7, and 0.8, respectively. Furthermore, the leaner mixture has a larger critical flame initiation radius [28,29] and a lower flame speed (as presented in Figure 6); hence, longer tdelay and trising are observed when comparing three equivalence ratios.
Figure 8.
Effect of hydrogen volume fraction on (a) tdelay and (b) trising of lean CH4/air mixtures at three equivalence ratios of 0.6, 0.7, and 0.8.
For clear observation on the variation of tdelay and trising in the combustion process, the occupy ratios of tdelay/(tdelay + trising) and trising/(tdelay + trising) are presented in Figure 9. As can be seen, the value of tdelay/(tdelay + trising) rises as %H2 rises at ϕ = 0.6 and 0.7, but it slightly decreases at ϕ = 0.8 (please see the top of Figure 9). The reverse trend of trising/(tdelay + trising) is revealed at the bottom of Figure 9. This is possibly due to the competition between tdelay and trising in the combustion process, by which the dropping slope of trising is much steeper than that of tdelay at ϕ = 0.6 and 0.7, but the reverse is true at ϕ = 0.8.
Figure 9.
Occupy ratio of tdelay (top) and trising (bottom) in the combustion process of lean CH4/air mixtures under different conditions.
4. Conclusions
We ignited lean hydrogen–methane−air mixtures at ϕ = 0.6, 0.7, and 0.8 with varying hydrogen volume fractions (0–50%) in a constant volume combustion chamber via a pair of pin-to-pin electrodes at a fixed gap of 2 mm. The effect of ignition energy and additional hydrogen fraction on the in-chamber pressure rise, laminar burning velocity, and explosion duration characteristics (i.e., tdelay and trising) were then investigated. These measurements reveal the following points.
- (1)
- The peak of the in-chamber pressure profile increases when increasing hydrogen volume fraction at three equivalence ratios of 0.6, 0.7, and 0.8, suggesting a higher heat release.
- (2)
- The leftward moving of peak pressure is observed when increasing hydrogen volume fraction, equivalence ratio, and ignition energy, suggesting a faster flame propagation and/or shorter explosion duration time.
- (3)
- Su0 increases non-linearly with increasing hydrogen volume fraction for all equivalence ratios (ϕ = 0.6, 0.7, and 0.8). Su0 gradually increases as the hydrogen fraction increases from 0 to 20% and is rather rapid when the hydrogen fraction is greater than 20%.
- (4)
- There is a tdelay transition at a critical value ignition energy (i.e., Eig,critical ∼24 mJ for 50% CH4/50% H2/air mixture at ϕ = 0.8) in which tdelay drastically drops in the pre-transition and gradually decreases in the post-transition. The existence of Eig,critical could partly explain why very high Eig >> Eig,critical has less of a contribution to the improvement of SI engine performance and emissions.
- (5)
- Both tdelay and trising decrease with increasing hydrogen fraction in the lean methane/air mixtures. For the leaner mixtures (ϕ = 0.6 and 0.7), the dropping slope of trising is much steeper than that of tdelay, while the reverse trend is true at ϕ = 0.8.
The results suggest that a small amount of hydrogen fraction (20–30%) could be applied to the lean-burn natural gas engines. In future work, we will convert the traditional electrical motor used gasoline engine to lean natural-gas-fueled hydrogen. Hence, the primary results should be useful to our further understanding of the ignition timing and explosion characteristics that play an important role in achieving an optimal combustion phase and power output.
Author Contributions
Conceptualization, M.T.N.; methodology, M.T.N., M.T.P. and P.N.D.; validation, Q.T.P. and V.V.L.; formal analysis, M.T.N. and V.V.L.; investigation, M.T.N. and M.T.P.; resources, M.T.N.; data curation, M.T.N. and P.N.D.; writing—original draft preparation, M.T.N. and Q.T.P.; writing—review and editing, M.T.N. and Q.T.P.; visualization, V.V.L., P.N.D. and M.T.P.; supervision, M.T.N.; project administration, M.T.N. All authors have read and agreed to the published version of the manuscript.
Funding
This research was funded by the MINISTRY OF EDUCATION AND TRAINING, VIETNAM, grant number B2021-DNA-02.
Conflicts of Interest
The authors declare no conflict of interest.
References
- Okafor, E.; Hayakawa, A.; Nagano, Y.; Kitagawa, T. Effects of hydrogen concentration on premixed laminar flames of hydrogen–methane–air. Int. J. Hydrogen Energy 2014, 39, 2409. [Google Scholar] [CrossRef]
- Benaissa, S.; Adouane, B.; Ali, S.M.; Mohammad, A. Effect of hydrogen addition on the combustion characteristics of premixed biogas/hydrogen-air mixtures. Int. J. Hydrogen Energy 2021, 46, 18661–18677. [Google Scholar] [CrossRef]
- Bae, C.; Kim, J. Alternative fuels for internal combustion engines. Proc. Combust. Inst. 2017, 36, 3389–3413. [Google Scholar] [CrossRef]
- El-Kassaby, M.M.; Eldrainy, Y.A.; Khidr, M.E.; Khidr, K.I. Effect of hydroxy (hho) gas addition on gasoline engine performance and emissions. Alex. Eng. J. 2016, 55, 243–251. [Google Scholar] [CrossRef] [Green Version]
- Nakata, K.; Nogawa, S.; Takahashi, D.; Yoshihara, Y.; Kumagai, A.; Suzuki, T. Engine technologies for achieving 45% thermal efficiency of s.I. Engine. SAE Int. J. Engines 2015, 9, 179–192. [Google Scholar] [CrossRef]
- Rapp, V.H.; DeFilippo, A.; Saxena, S.; Chen, J.-Y.; Dibble, R.W.; Nishiyama, A.; Moon, A.; Ikeda, Y. Extending lean operating limit and reducing emissions of methane spark-ignited engines using a microwave-assisted spark plug. J. Combust. 2012, 2012, 8. [Google Scholar] [CrossRef] [Green Version]
- Hayashi, N.; Sugiura, A.; Abe, Y.; Suzuki, K. Development of ignition technology for dilute combustion engines. SAE Int. J. Engines 2017, 10, 984–995. [Google Scholar] [CrossRef]
- Tsuboi, S.; Miyokawa, S.; Matsuda, M.; Yokomori, T.; Iida, N. Influence of spark discharge characteristics on ignition and combustion process and the lean operation limit in a spark ignition engine. Appl. Energy 2019, 250, 617–632. [Google Scholar] [CrossRef]
- Aleiferis, P.G.; Taylor, A.M.K.P.; Ishii, K.; Urata, Y. The nature of early flame development in a lean-burn stratified-charge spark-ignition engine. Combust. Flame 2004, 136, 283–302. [Google Scholar] [CrossRef]
- Yu, S.; Zheng, M. Future gasoline engine ignition: A review on advanced concepts. Int. J. Engine Res. 2020, 22, 1743–1775. [Google Scholar] [CrossRef]
- Ma, F.; Wang, Y.; Liu, H.; Li, Y.; Wang, J.; Zhao, S. Experimental study on thermal efficiency and emission characteristics of a lean burn hydrogen enriched natural gas engine. Int. J. Hydrogen Energy 2007, 32, 5067–5075. [Google Scholar] [CrossRef]
- Ma, F.; Wang, Y. Study on the extension of lean operation limit through hydrogen enrichment in a natural gas spark-ignition engine. Int. J. Hydrogen Energy 2008, 33, 1416–1424. [Google Scholar] [CrossRef]
- Wang, X.; Zhang, H.G.; Lei, Y.; Bai, X.L.; Sun, X.N.; Wang, D.J.; Yao, B.F. Effects of engine operating parameters on lean combustion limit of hydrogen enhanced natural gas engine. Adv. Mater. Res. 2011, 383–390, 6116–6121. [Google Scholar] [CrossRef]
- Karim, G.A.; Wierzba, I.; Al-Alousi, Y. Methane-hydrogen mixtures as fuels. Int. J. Hydrogen Energy 1996, 21, 625–631. [Google Scholar] [CrossRef]
- Akansu, S.; Kahraman, N.; Ceper, B. Experimental study on a spark ignition engine fuelled by methane–hydrogen mixtures. Int. J. Hydrogen Energ 2007, 32, 4279–4284. [Google Scholar] [CrossRef]
- Ilbas, M.; Crayford, A.; Yilmaz, I.; Bowen, P.; Syred, N. Laminar-burning velocities of hydrogen–air and hydrogen–methane–air mixtures: An experimental study. Int. J. Hydrogen Energy 2006, 31, 1768–1779. [Google Scholar] [CrossRef]
- Chen, Z. Effects of hydrogen addition on the propagation of spherical methane/air flames: A computational study. Int. J. Hydrogen Energy 2009, 34, 6558–6567. [Google Scholar] [CrossRef]
- Di Sarli, V.; Benedetto, A.D. Laminar burning velocity of hydrogen–methane/air premixed flames. Int. J. Hydrogen Energy 2007, 32, 637–646. [Google Scholar] [CrossRef]
- Hu, E.; Huang, Z.; He, J.; Jin, C.; Zheng, J. Experimental and numerical study on laminar burning characteristics of premixed methane–hydrogen–air flames. Int. J. Hydrogen Energy 2009, 34, 4876–4888. [Google Scholar] [CrossRef]
- Donohoe, N.; Heufer, A.; Metcalfe, W.K.; Curran, H.J.; Davis, M.L.; Mathieu, O.; Plichta, D.; Morones, A.; Petersen, E.L.; Güthe, F. Ignition delay times, laminar flame speeds, and mechanism validation for natural gas/hydrogen blends at elevated pressures. Combust. Flame 2014, 161, 1432–1443. [Google Scholar] [CrossRef] [Green Version]
- Di Sarli, V.; Di Benedetto, A.; Long, E.J.; Hargrave, G.K. Time-resolved particle image velocimetry of dynamic interactions between hydrogen-enriched methane/air premixed flames and toroidal vortex structures. Int. J. Hydrogen Energy 2012, 37, 16201–16213. [Google Scholar] [CrossRef] [Green Version]
- Sun, Z.-Y. Turbulent explosion characteristics of stoichiometric syngas. Int. J. Energy Res. 2018, 42, 1225–1236. [Google Scholar] [CrossRef]
- Salzano, E.; Cammarota, F.; Di Benedetto, A.; Di Sarli, V. Explosion behavior of hydrogen–methane/air mixtures. J. Loss Prevent. Process Ind. 2012, 25, 443–447. [Google Scholar] [CrossRef]
- Wang, J.; Huang, Z.; Fang, Y.; Liu, B.; Zeng, K.; Miao, H.; Jiang, D. Combustion behaviors of a direct-injection engine operating on various fractions of natural gas–hydrogen blends. Int. J. Hydrogen Energy 2007, 32, 3555–3564. [Google Scholar] [CrossRef]
- Petrukhin, N.V.; Grishin, N.N.; Sergeev, S.M. Ignition delay time—An important fuel property. Chem. Technol. Fuels Oils 2016, 51, 581–584. [Google Scholar] [CrossRef]
- Hwang, J.; Bae, C.; Park, J.; Choe, W.; Cha, J.; Woo, S. Microwave-assisted plasma ignition in a constant volume combustion chamber. Combust. Flame 2016, 167, 86–96. [Google Scholar] [CrossRef]
- Jung, D.; Sasaki, K.; Iida, N. Effects of increased spark discharge energy and enhanced in-cylinder turbulence level on lean limits and cycle-to-cycle variations of combustion for si engine operation. Appl. Energy 2017, 205, 1467–1477. [Google Scholar] [CrossRef]
- Kelley, A.P.; Jomaas, G.; Law, C.K. Critical radius for sustained propagation of spark-ignited spherical flames. Combust. Flame 2009, 156, 1006–1013. [Google Scholar] [CrossRef]
- Chen, Z.; Burke, M.P.; Ju, Y. Effects of lewis number and ignition energy on the determination of laminar flame speed using propagating spherical flames. Proc. Combust. Inst. 2009, 32, 1253–1260. [Google Scholar] [CrossRef]
- Chen, Z.; Burke, M.P.; Ju, Y. On the critical flame radius and minimum ignition energy for spherical flame initiation. Proc. Combust. Inst. 2011, 33, 1219–1226. [Google Scholar] [CrossRef]
- Han, J.; Yamashita, H.; Hayashi, N. Numerical study on the spark ignition characteristics of a methane–air mixture using detailed chemical kinetics: Effect of equivalence ratio, electrode gap distance, and electrode radius on mie, quenching distance, and ignition delay. Combust. Flame 2010, 157, 1414–1421. [Google Scholar] [CrossRef]
- Kravchik, T.; Sher, E.; Heywood, J.B. From spark ignition to flame initiation. Combust. Sci. Technol. 1995, 108, 1–30. [Google Scholar] [CrossRef]
- Zhou, M.; Li, G.; Liang, J.; Ding, H.; Zhang, Z. Effect of ignition energy on the uncertainty in the determination of laminar flame speed using outwardly propagating spherical flames. Proc. Combust. Inst. 2019, 37, 1615–1622. [Google Scholar] [CrossRef]
- Matsugi, A.; Shiina, H.; Takahashi, A.; Tsuchiya, K.; Miyoshi, A. Burning velocities and kinetics of h2/nf3/n2, ch4/nf3/n2, and c3h8/nf3/n2 flames. Combust. Flame 2014, 161, 1425–1431. [Google Scholar] [CrossRef]
- Chen, R.; Okazumi, R.; Nishida, K.; Ogata, Y. Effect of ethanol ratio on ignition and combustion of ethanol-gasoline blend spray in disi engine-like condition. SAE Int. J. Fuels Lubr. 2015, 8, 264–276. [Google Scholar] [CrossRef]
- Saito, N.; Minamoto, Y.; Yenerdag, B.; Shimura, M.; Tanahashi, M. Effects of turbulence on ignition of methane–air and n-heptane–air fully premixed mixtures. Combust. Sci. Technol. 2017, 190, 452–470. [Google Scholar] [CrossRef]
- Bradley, D.; Lung, F.K.K. Spark ignition and the early stages of turbulent flame propagation. Combust. Flame 1987, 69, 71–93. [Google Scholar] [CrossRef]
- Castela, M.; Stepanyan, S.; Fiorina, B.; Coussement, A.; Gicquel, O.; Darabiha, N.; Laux, C.O. A 3-d dns and experimental study of the effect of the recirculating flow pattern inside a reactive kernel produced by nanosecond plasma discharges in a methane-air mixture. Proc. Combust. Inst. 2017, 36, 4095–4103. [Google Scholar] [CrossRef] [Green Version]
- Bane, S.P.M.; Ziegler, J.L.; Shepherd, J.E. Investigation of the effect of electrode geometry on spark ignition. Combust. Flame 2015, 162, 462–469. [Google Scholar] [CrossRef] [Green Version]
Publisher’s Note: MDPI stays neutral with regard to jurisdictional claims in published maps and institutional affiliations. |
© 2022 by the authors. Licensee MDPI, Basel, Switzerland. This article is an open access article distributed under the terms and conditions of the Creative Commons Attribution (CC BY) license (https://creativecommons.org/licenses/by/4.0/).








