Abstract
The paper presents the results of laboratory tests regarding the impact of accelerated thermal ageing of cellulose–aramid insulation samples saturated with electrical-insulating synthetic ester on the polarization and depolarization current characteristics being analyzed in the time domain. In the tests, electro-technical paper from DuPontTM was used, commercially designated as NOMEX®910. Laboratory-accelerated ageing consisted of heating with air a supply of samples of not-impregnated cellulose–aramid insulation for a specified time at specified temperatures. The temperatures and the warming time were selected so as to faithfully represent the degree of the thermal degradation of the cellulose fibers that takes place during normal operation of the material in power transformers. To determine the described impact of the ageing process in the insulation samples on the dielectric properties, the Polarization and Depolarization Method was applied. In the measurements, the MIC-15k1 high resistance meter from SONEL S.A. was used.
1. Introduction
When analyzing the structure of an electric power system, it may be concluded that high-power transformers are a unique connector between transmission grids and power-distribution grids for specified voltages. The structure specified clearly depicts how significant, from the point of view of the proper operation of the whole country’s electric power system, are high-power transformers. The complexity, and sometimes even the uniqueness of power transformers’ structure, affect the fact that keeping the power transformers operational is a complex process that requires the persons involved in their diagnostics and operation to have expert knowledge. Therefore, the crucial element in ensuring the transformers’ defect-free operation is the awareness of the factors that could shorten their “technical life”. It is commonly recognized that two of the most common threats to the defect-free operation of correctly operated power transformers are the degree of moisture and the ageing of the insulation system in the windings, defined as the degree of the thermal degradation of the cellulose insulation material [1,2,3,4,5,6]. At the moment, the most common insulation system, constituting the intra-winding insulation in transformers, is thermally improved insulating Kraft-type paper saturated with insulating mineral oil.
Cellulose electrical papers, which, at the moment, are commonly used as an electric insulation material, are characterized by a number of disadvantages resulting practically directly from the physical–chemical properties of cellulose itself. The basic disadvantages of cellulose include, above all, its relatively low temperature strength, the effect of which is particularly visible at higher temperatures, consisting of degradation, namely the shortening of the length of cellulose macromolecule chains. Paper, in the structure of which changes of this type take place, is characterized by a lower tensile strength and thus significantly worsened mechanical properties [7,8,9].
Currently, due to their electrical and mechanical properties, high hopes are being pinned on electric paper, the structure of which is based on aramid fibers. The aramid fibers were invented and patented by the American company DuPontTM in the 1960s. Currently, aramid, due to its properties, is used in many branches of the electrical industry, among others, as an electric insulation material in power machines, including power transformers. DuPontTM has launched an electric insulating paper with aramid fibers in its structure to the market under the commercial name NOMEX® [10]. When comparing the aramid paper with classic cellulose paper, NOMEX® is characterized by much better electric (among others, higher dielectric strength, higher surface and volume resistivity), mechanical (e.g., higher breaking strength), and chemical properties (lower ageing tendency due to the higher thermal strength at continuous operation).
An isolation made from a material based on aramid is not, unfortunately, free from disadvantages, which include a higher price, lower absorption of electrical-insulating liquids, higher rigidity (at the same material thickness), which may make the manufacture of insulating systems with a complex structure more problematic, and generating electrostatic charges as a result of streaming electrification that is observed in transformers with induced circulation of electrical-insulating liquids [11,12]. DuPontTM has decided to create a new insulation material, which would combine the best characteristics of the commonly used insulation materials based on cellulose with a DuPontTM material, namely NOMEX®. Thus, a hybrid material has been created, known under its commercial name NOMEX®910. The NOMEX®910 insulating material is characterized by a laminar structure, in which a layer of cellulose electrical paper is covered on both sides with a thin layer of synthetic aramid paper (Figure 1). The development of an electrical paper based on this structure has contributed to increasing the ability to absorb electrical-insulating liquids, as compared to single-layer NOMEX® aramid material, and to a higher temperature class as compared to the classic insulation materials based on cellulose.
Figure 1.
Cross section of the NOMEX®910 insulating material.
Currently, the wear-and-tear status of the insulating systems in transformers is being evaluated with a number of diagnostic methods, to determine the ageing and humidity status of cellulose insulating systems impregnated with different types of dielectric fluids. The problem of the effectiveness of diagnostic methods commonly known and applied to insulating systems is extremely important, since any potential application of NOMEX®910 in the general manufacture of transformers depends on the reliability of the diagnostic tools that can reliably diagnose the status of a transformer being operated.
This paper constitutes an attempt at verifying the possibilities of applying one of the polarization methods, namely the PDC method (commonly used to determine the ageing and humidity status of cellulose–aramid insulation systems) to diagnose the insulation system in transformers consisting of cellulose aramid insulation material saturated with synthetic ester.
2. Materials Used in the Laboratory Tests
2.1. NOMEX®910 Cellulose—Aramid Electrical Paper
In the tests, NOMEX®910 cellulose–aramid electrical paper was used manufactured by DuPont. As it was already mentioned, the NOMEX®910 paper is characterized by a laminar structure. Structurally, the basis of the NOMEX®910 paper is high quality thermally improved cellulose pulp, which, in the production process, is formed into a paper sheet and then covered on both sides with a thin layer of high-temperature meta-aramid polymer binder (NOMEX®). The paper created in this way, from the point of view of its electrical and mechanical features, is a hybrid of sorts, which combines the features of commonly used cellulose electrical paper and NOMEX® aramid paper. Figure 1 and Figure 2 present the structure of the cross-section and a photograph of the NOMEX®910 electrical paper.
Figure 2.
Test samples of the NOMEX®910 insulating material prior to impregnation.
The structure of the NOMEX®910 paper presented in Figure 1 makes it possible to increase the temperature class of the insulation system up to 130 °C when impregnating the insulation system with mineral oil, and up to 140 °C when impregnating the insulation system with natural ester.
Classic Kraft-type cellulose electrical papers impregnated with mineral oil are characterized by the temperature class 110–120 °C. Moreover, the structure presented in Figure 1 makes it possible to obtain a better tensile strength of the NOMEX®910 paper as compared to Kraft-type cellulose insulating papers. Therefore, adding the aramid component to the external layer of the structure strengthens the mechanical structure of the NOMEX®910 paper. Table 1 presents the technical specification of the 0.08 mm thick NOMEX®910 paper, used in the laboratory tests.
Table 1.
Typical mechanical and electrical properties of NOMEX®910 paper [13].
2.2. NOMEX®910 Cellulose—Aramid Electrical Paper
The NOMEX®910 paper has been impregnated with synthetic ester from M&I Materials Ltd., Manchester, UK, commercially designated as MIDEL 7131. Currently, the MIDEL 7131 synthetic ester is commonly used as an electrical-insulating liquid in transformers with a nominal voltage reaching 433 kV. With its absorption properties, MIDEL 7131 is able to absorb high amounts of water particles (even up to 600 ppm), without a significant reduction in the breakdown voltage level. The absorptive property mentioned brings measurable benefits during progressive ageing processes that take place in the solid insulation of power transformers. By absorbing the humidity (as a product of cellulose macromolecules’ decay), the synthetic ester prolongs the service life of a transformer’s solid insulation [10]. Another important feature of MIDEL 7131 is the biodegradability of this ester. This feature differentiates it from commonly used mineral oils that, in the case of leaks, may contaminate the natural environment. Table 2 shows the basic technical parameters of the MIDEL 7131 synthetic ester, which has been used to impregnate the samples of the NOMEX®910 paper.
Table 2.
Typical physical, chemical and electrical properties of ester MIDEL 7131 [14].
3. PDC Method
As it was already mentioned, the dielectric Polarization and Depolarization Current method was used in the tests (PDC—Polarization and Depolarization Current). The PDC method is one of the off-line polarization diagnostic methods, in which the characteristics of the currents observed are analyzed in the time domain. The PDC method utilizes the physical phenomenon of the polarization of dielectric materials that takes place when a dielectric piece is placed in a DC voltage field. The concept of the PDC method consists of applying a source of DC voltage to the object being tested, and in measuring and registering the polarization current of the insulation system IP for the time tP. After the tP time elapses, the DC voltage source is disconnected, and the current terminals of the test object are shorted. At this moment, the ID depolarization current is being measured and registered for the time tD [15,16].
Figure 3 presents the connection system of the laboratory measurement station based on the PDC method idea, used to diagnose the status of the samples of impregnated transformer insulation material.
Figure 3.
Scheme of the measurement system for measuring polarization and depolarization currents in insulation materials by means of the PDC method. 1—metering—connecting circuit; 2—test object; 3—computer.
Figure 4 presents the time waveforms of the currents and the voltages occurring in the measuring system in testing by means of the PDC method.
Figure 4.
Time characteristics of the currents and voltages occurring in the PDC method. UC—charging voltage; IP—polarization current; IK—conductance current; ID—depolarization current; tP—polarization time; tD—depolarization time.
After activating the P1 relay (Figure 3), the UC DC voltage is supplied to the test object, and the IP polarization current is being measured and registered (Figure 4). After the tP time elapses, the control system switches the P1 relay off and activates the P2 relay. From this moment on, the ID depolarization current is being measured and recorded in the system for the time tD. The end of the tD time is determined by the opening of the P2 relay.
When analyzing the waveform of the IP polarization current, it can be stated that from the moment of activating the DC voltage source, the polarization current intensity decreases over time, until the value of this current stabilizes at a certain level IK. The value of the IK current determined results from the finite value of the volume resistivity of the insulation material being diagnosed. After the DC source is disconnected and the clamps shorted, the ID depolarization current flows.
The ID current flows in reverse in relation to the IP polarization current, its intensity decreases over time, until zero is achieved, upon the full discharge of the dielectric material.
The IP polarization currents obtained in this way were then used to determine the EA activation energy, at which the slowly variable relaxation process of the electrical dipoles in the cellulose–aramid insulation material being tested is changing. In the laboratory tests, it was assumed that the value of the EA activation energy determined depends on the ageing level of the insulation material samples being tested, defined as the degree of the thermal degradation of cellulose macromolecules inside the structure of the insulation samples being tested.
In the test samples, the LFD Jonscher equation was used [17] as the regression function for the polarization current:
where: A1, A2, N1, N2—function parameters.
The EA activation energy may be determined using a linear approximation of the Arrhenius temperature graph, applying the following relations:
where: tA—characteristic time (after which the slowly variable relaxation process changes); T—sample temperature (in Kelwin degrees); EA—activation energy (eV); a—directional coefficient of the linear regression function, k—Boltzmann constant.
The time characteristics of the depolarization current were used to analyze the dominant time constants separately for aramid and cellulose fibers, depending on the degree of ageing of the NOMEX®910 cellulose–aramid insulation material being tested. In this case, the Debye equation was chosen as the depolarization current regression function with two relaxation times:
where: B1, B2—function parameters; τ1, τ2—dominant time constants of the relaxation processes for the aramid and cellulose fibers respectively.
4. Sample Preparation Method
4.1. Metering Samples Preparation
The insulation material samples were prepared by cutting out five samples (1300 × 120 mm) from a sheet of the NOMEX®910 electrical paper with a thickness of 80 µm. Measurements were made for samples whose number was correlated with the degrees of ageing: 1—sample not aged, 2—ageing in 130 °C/25 h, 3—150 °C/25 h, 4—170 °C/25 h, 5—190 °C/25 h. The appearance of the NOMEX®910 samples is presented in Figure 2.
The accelerated thermal ageing process was performed in a laboratory oven operated by a controller, which ensures the consistency of the temperatures set for the whole test-sample warming time. The system used to perform the accelerated ageing process of the electrical paper samples is presented in Figure 5.
Figure 5.
System to perform the accelerated ageing process of the NOMEX®910 insulation samples.
The next stage consisted of drying the samples under vacuum for the subsequent 25 h (the station for vacuum generation is presented in Figure 6). The aged NOMEX®910 paper was impregnated by placing an aged sample in a laboratory beaker, inside of which MIDEL 7131 synthetic ester heated up to a temperature of 65 °C was present. The next impregnation stage consisted of exposing the laboratory beaker so filled to vacuum for a period of subsequent 25 h for degassing (Figure 6b).
Figure 6.
Drying (a) and impregnating station for the NOMEX®910 insulation samples (b) under vacuum.
The activities related to the accelerated thermal ageing process of the measurement samples conducted in the ambient air were not accidental. Based on literature studies completed [7,18], it can be stated that the range of the temperatures selected and the duration of their effect caused a proportional loss in the polarization degree of cellulose macromolecule chains from approx. 1000 (for a not-aged sample) down to approx. 200 (for a sample aged at a temperature of 190 °C for 25 h). The demonstrated scope of changes in the cellulose polymerization level corresponds to the technical service life period of the cellulose insulation in power transformers [3].
4.2. Measurement System
In order to ensure a constant temperature while performing the measurements, the measurement shaft, together with the insulation sample wrapped on it and the remaining electrode arrangement, was placed in a temperature stabilizer, which ensures a constant ambient temperature (with an accuracy down to ±1 °C). The measuring electrode system, insulation sample, heater and location of the temperature sensor are shown in Figure 7. The temperature stabilizer mentioned was a sterilizer, the structure of which was specifically adapted to accommodate measurement probes inside. Figure 8 presents a photograph of the electrode arrangement, together with a measurement sample, located inside the temperature stabilizer.
Figure 7.
The view of the measuring electrode system. 1—low potential electrode (measuring shaft); 2—aramid-oil insulation sample; 3—high potential electrode (aluminum foil); 4—heater; 5—temperature sensor; 6—Teflon (PTFE) insulator; 7—wall of the hermetic sterilizer.
Figure 8.
Laboratory station for measuring polarization and depolarization currents in transformer insulation samples with the ambient temperature stabilizer visible.
5. Experimental Results
A SONEL® MIC-15k1 high-resistance meter, thanks to the embedded battery of accumulators, ensured a constant UC charging voltage value, which, for all the measurements, amounted to 500 V. The polarization and depolarization currents of the samples being tested could be measured thanks to the dielectric discharge coefficient measurement function (DD factor—Dielectric Discharge). For all the polarization and depolarization currents measured for the samples being tested, the same result registration time was planned, amounting to tP = tD = 600 s. Although the meter’s sampling frequency was relatively low (approx. 2 Hz), due to the slowly variable nature of the changes in the currents being measured, it can be considered fully sufficient. With the Sonel MIC Mobile application, all the activities related to starting, shutting down, and transmitting data have proceeded via Bluetooth® wireless communication.
5.1. Effect of Temperature
The characteristics in Figure 9 present the effect of the temperature on the test samples (within the range of between 30 °C and 70 °C) on the values of the polarization and depolarization currents registered in relation to time. The temperature range in which the polarization and depolarization currents were registered is the same as the typical temperatures at which the insulating systems of power transformers are being diagnosed in field conditions using polarization diagnostic methods (including the PDC method [19,20]). The extreme values of the temperature range adopted match various states of a transformer’s operation, namely 70 °C is the transformer’s insulation temperature at its acceptable load, 30 °C is the insulation temperature at the transformer’s long shutdown (e.g., when an off-line diagnostic is performed using polarization diagnostic methods in the summer period).
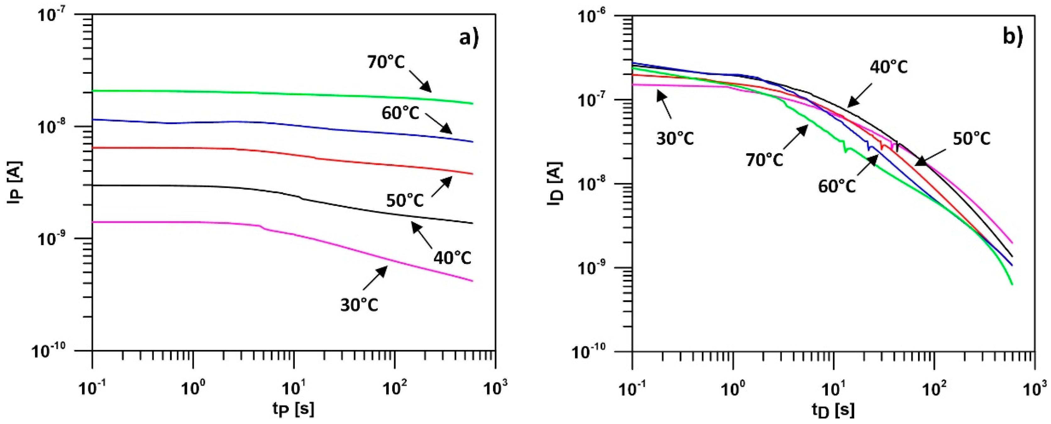
Figure 9.
Effect of the temperature on the temporal characteristics of the currents measured by means of the PDC method for a selected not-aged test sample of the NOMEX®910 cellulose–aramid insulation material impregnated with synthetic ester: polarization current (a); depolarization currents (b).
The characteristics presented in Figure 9a demonstrate that, along with an increase in the test sample’s temperature, the values of the polarization currents registered also increase across the whole range of the tP waveform recording time. Changes in the values of the polarization currents registered are approximately proportional to the growth in the sample’s temperature by 10 °C. This phenomenon is also observed at the process of impregnating cellulose–aramid insulation materials with mineral oil [21]. The primary reason for the phenomenon being described is the decreasing resistivity of both the synthetic ester and of the cellulose impregnated with it. In general, the tendency presented is typical for insulation materials based on cellulose. With respect to the waveforms presented in Figure 9b, it should be stated that the waveforms of the depolarization currents, as in the case of the polarization currents, are characterized, at the initial stage, by an increase in the registered depolarization currents, along with an increase in the test sample’s temperature. After a few seconds (1–10 s), a faster decrease of the depolarization currents is noticeable, along with an increase in the test sample’s temperature. The reason for this phenomenon is the fact that the increase in the test sample’s temperature significantly reduces the viscosity of the synthetic ester, which facilitates the achievement of the initial state of disordered dipoles in the dielectric being tested. Moreover, a higher temperature is a nuance in the polarization process of more strongly vibrating dielectric dipoles, which directly translates into a faster achievement of the initial disorder state during the depolarization process.
The processes and tendencies in the waveforms of the polarization and depolarization currents observed in a not-aged exemplary sample of the cellulose–aramid insulation material were also observed in all the test samples tested, regardless of the degree of the insulation material’s ageing level. Thus, it can be concluded that the additional 2 layers of the NOMEX®910 aramid material do not disturb significantly the process of registering the polarization and depolarization currents as compared to the temperature effect in the PDC method used in diagnosing classical cellulose insulating systems [15,16,19].
5.2. Ageing Level Effect
Figure 10 presents the temporal characteristics of the polarization and depolarization currents, measured for not–moistened cellulose–aramid insulation samples with various thermal ageing status, impregnated with synthetic ester. The characteristics refer to the measurements performed at the test sample’s temperature equal to 30 °C. The analysis of the temporal characteristics omitted the remaining characteristics measured for the samples at temperatures of from 40 °C to 70 °C due to the fact that the effect of the test sample’s temperature on the behavior of the polarization and depolarization currents’ waveforms was the same as the one already described.
Figure 10.
Effect of thermal ageing on measurements of polarization currents (a) and depolarization currents (b), conducted by means of the PDC method for a test sample of the NOMEX®910 cellulose–aramid insulation material impregnated with the MIDEL 7131 synthetic ester.
The temporal characteristics of the polarization currents for various thermal ageing levels (Figure 10a) demonstrate that the higher the thermal ageing degree of the cellulose–aramid insulation material is, the lower is the value of the polarization currents throughout the whole range of the waveforms recorded. As it was mentioned previously, the accelerated ageing process in the hybrid NOMEX®910 material is accompanied by a decrease in the polymerization level of the cellulose macromolecules in the internal cellulose layer of the structure and deformations and cracks in the external aramid layers of the material being examined. The two step changes in the value of the polarization currents observed, i.e., the not–aged sample as compared to ageing at 130 °C and the sample aged at 170 °C versus 190 °C, prove that the ageing factors progressing in the cellulose–aramid insulation material impregnated with synthetic ester are not uniform anymore. Referring this observation to the insulation of power transformers, it may be concluded that the progressing ageing processes in the insulation system type being tested are most intense at the initial and the final period of the technical service life of an insulation system based on the NOMEX®910 paper impregnated with the MIDEL 7131 synthetic ester.
Analyzing the characteristics of the polarization currents (Figure 10a) in the samples aged, it can be noticed that the polarization currents in a not-aged sample and the aged samples at temperatures ranging from 130 °C to 190 °C do not intersect with each other during the whole period of registering those polarization currents. Moreover, the samples with a higher thermal ageing level are characterized by lower polarization currents. This tendency probably results from the progressive deformations and cracks in the external aramid layers of the NOMEX®910 material that facilitate the penetration of the ester’s molecules into the cellulose layer. The ability to absorb electrical-insulating liquids improved by the cellulose–aramid insulation directly improves the volume resistivity of the insulation system, which is naturally reflected in the values of the polarization currents registered. Thus, it can be claimed that with time, during the operation of this type of insulation materials, its electrical parameters may slightly improve.
With respect to the temporal characteristics of the depolarization currents presented in Figure 10b, it should be stated that, as in the case of the polarization currents, the ageing level affects the value of the polarization currents registered, namely the higher the ageing degree is, the lower the depolarization currents that are registered. The reason for this phenomenon is the fact that, undoubtedly, the shorter the chains of this bio-polymer are, the faster the depolarization process of the cellulose macromolecules is, i.e., in this case, the higher the thermal degradation level. The effect is particularly visible for a sample aged at 190 °C in the form of a definitely lower depolarization current registered and shorter time of its dissipation. This observation is compliant with the analysis of the depolarization currents in the aged classic cellulose–oil insulation material [22]. This makes it possible to conclude that the thin aramid layers in the NOMEX®910 paper do not disturb the depolarization currents analyzed in the ageing function, and the PDC method may be quite easily adopted to diagnosing this type of insulation material.
Figure 11 shows the method of determining the activation energy EA for example insulation samples, while Figure 12 presents the effect of the thermal ageing level of samples on the EA activation energy value. The EA activation energy, for each test sample tested, was determined using the polarization current waveforms obtained, with the method as described in Section 3 for this work. Before beginning the laboratory tests, it was assumed that the EA activation energy value (which determines the slowly variable electrical dipole relaxation process in the insulation material being tested) depends on the ageing level of the insulation material, defined as the thermal degradation level of the cellulose macromolecules inside the structure in the insulation sample being tested.
Figure 11.
Examples of characteristics showing the polarization current regression function (a) and the method of determining the activation energy EA (b).
Figure 12.
Dependence of the EA activation energy on the ageing level of a test sample of the NOMEX®910 cellulose–aramid insulation material impregnated with MIDEL 7131 synthetic ester.
Analyzing the characteristics presented in Figure 12, it was demonstrated that, along with an increase in the thermal ageing level of the insulation material being examined, the value of the EA activation energy calculated decreases, which naturally confirms the previous assumption. During the progressing ageing processes, the cellulose macromolecule chains get shortened, and the external layers of the aramid fibers in the material being examined become distorted and micro-cracks emerge. The factors indicated influence the fact that the dependence of the dielectric material’s dipoles on the polarization process is higher, namely that, together with the progressing ageing processes, the energy value of their activation decreases. After it is exceeded, the polarization process becomes slowly variable. Unfortunately, the practical use of this phenomenon in the diagnostics of the ageing levels of the cellulose–aramid insulation of power transformers is problematic. In order to determine the EA activation energy value correctly, the polarization currents must be measured at several different temperatures of the insulation material being diagnosed. Therefore, in field conditions, cyclical measurements should be performed when the insulation system is cooling down in a power transformer disconnected from the grid. Not always is this possible. Moreover, the continuously changing hydrodynamic balance between the cellulose and the dielectric fluid will undoubtedly interfere with the correct interpretation of the test results received.
In order to define the impact of the ageing factors on the component elements of the NOMEX®910 material structure, the τ1 and τ2 dominant time constants were identified. To determine these parameters, the registered depolarization current waveforms were used, according to the relations specified in Section 3. Figure 13a shows the method of determining the time constants τ1 and τ2 for an exemplary insulation sample, while Figure 13b presents the effect of the sample’s thermal ageing and temperature on the value of the dominant τ1 time constant.
Figure 13.
Depolarization current regression function for an example sample (a) and dependence of the dominant τ1 time constant on the ageing level and the temperature (b) of the NOMEX®910 cellulose–aramid insulation material impregnated with the MIDEL 7131 synthetic ester.
As assumed by the paper authors, the dominant τ1 time constant is correlated with the relaxation processes of aramid fibers. When analyzing the characteristics presented in Figure 13b, it was concluded that both the sample temperature and the ageing temperature substantially influence the value of the dominant τ1 time constant. It may be concluded that, along with an increase in the ageing temperature, the aramid fibers’ relaxation time increases. The probable cause is the progressing deformation process in the surface of the thin aramid layer, the formation of micro-cracks in the structure, and aramid fibers sticking together to form larger structures. As a consequence, the relaxation process of such structures becomes longer. While the measurement temperature growth clearly disturbs the polarization process of the aramid dipoles, as a result, the dipoles relax faster and the time constant τ1 is reduced.
Figure 14 presents the impact of the thermal ageing and temperature on the value of the dominant τ2 time constant. As assumed by the paper authors, the dominant τ2 time constant is correlated with the relaxation processes of the cellulose fibers. Figure 14 is limited to presenting the τ2 dominant time constants determined only for the sample temperatures between 30 °C and 40 °C. Unfortunately, higher measurement temperatures introduce a great deal of chaos in the value of τ2, and, consequently, they proved to be ultimately useless. As in the case of the aramid component, it was demonstrated that for the cellulose component, an increase in the measurement temperature of a sample reduces the value of the dominant τ2 time constant, and an increase in the thermal ageing temperature extends it. This phenomenon may be explained similarly as in the case of the τ1 time constant, and the cellulose macromolecules relax much slower than the aramid fibers.
Figure 14.
Dependence of the τ2 dominant time constant on the measurement temperature and the ageing level of the NOMEX®910 cellulose–aramid insulation material sample impregnated with the MIDEL 7131 synthetic ester.
6. Conclusions
The analysis performed in the article has demonstrated that the NOMEX®910 cellulose–aramid electrical paper, used in the construction of the insulating systems in power transformers, can be successfully diagnosed by means of the PDC polarization method, obviously taking into consideration small modifications in the analysis of the characteristics obtained. This is good information, taking into consideration, however, the hybrid, semi–synthetic structure of the material. Using a synthetic ester for the impregnation process, a liquid that is more polar and viscus than mineral insulating oils, also modifies the characteristics of the PDC method to a rather minor extent.
To sum up the test results presented in the paper, it may be stated that:
- An increase in the measurement temperature causes practically a proportional increase in the polarization current values, regardless of the sample’s ageing level;
- An increase in the measurement temperature causes much smaller changes in the depolarization current; however, its faster disappearance is noticeable, regardless of the sample’s ageing level;
- An increase in the ageing level of the samples causes a significant decrease in the polarization current throughout the whole period registered, regardless of the measurement temperature; however, these changes are more significant at the lowest temperature (30 °C);
- An increase in the ageing level of the samples causes a decrease in the depolarization current throughout the whole period being registered, (which causes its faster disappearance), regardless of the measurement temperature; however, these changes are more significant at the lowest temperature (30 °C);
- An increase in the ageing level of the samples causes a decrease in the activation energy;
- An increase in the measurement temperature causes a decrease in the dominant time constants of the relaxation processes of the aramid and cellulose fibers;
- An increase in the ageing level of the samples causes an increase in the dominant time constants of the relaxation processes of the aramid and cellulose fibers.
The results of the laboratory tests presented in this article have demonstrated that the PDC polarization diagnostic method (Polarization and Depolarization Method) may constitute an effective tool for estimating the thermal ageing level of cellulose–aramid insulation systems impregnated with synthetic esters. However, the problem of using the PDC method to diagnose the impact of the humidity level in the cellulose–aramid insulation materials saturated with synthetic esters remains open.
Author Contributions
Conceptualization, A.K. and S.W.; methodology, S.W.; validation, A.K.; formal analysis, S.W.; investigation, A.K.; resources, A.K.; writing—original draft preparation, A.K.; writing—review and editing, S.W.; visualization, A.K. and S.W.; supervision, S.W. All authors have read and agreed to the published version of the manuscript.
Funding
This research received no external funding.
Institutional Review Board Statement
Not applicable.
Informed Consent Statement
Not applicable.
Data Availability Statement
Not applicable.
Conflicts of Interest
The authors declare no conflict of interest.
References
- Aslam, M.; Arbab, M.N.; Basit, A.; Haq, I.U.; Saher, S.; Khan, A.D.; Khattak, A.N. Improved Insulation Durability to Improve Transformer Aging. Int. J. Emerg. Electr. Power Syst. 2020, 21, 20190173. [Google Scholar] [CrossRef]
- Liao, R.; Hao, J.; Chen, G.; Ma, Z.; Yang, L. A Comparative Study of physicochemical, dielectric and thermal properties of pressboard insulation impregnated with natural ester and mineral oil. IEEE Trans. Dielectr. Electr. Insul. 2011, 18, 1626–1637. [Google Scholar] [CrossRef] [Green Version]
- Fofana, I.; Borsi, H.; Gockenbach, E.; Farzaneh, M. Aging of transformer insulating materials under selective conditions. Eur. Trans. Electr. Power 2007, 17, 450–470. [Google Scholar] [CrossRef]
- Przybylek, P.; Moranda, H.; Mościcka-Grzesiak, H.; Cybulski, M. Laboratory Model Studies on the Drying Efficiency of Transformer Cellulose Insulation Using Synthetic Ester. Energies 2020, 13, 3467. [Google Scholar] [CrossRef]
- Munajad, A.; Suwarno, C. Study on the Effects of Thermal Aging on Insulating Paper for High Voltage Transformer Composite with Natural Ester from Palm Oil Using Fourier Transform Infrared Spectroscopy (FTIR) and Energy Dispersive X-ray Spectroscopy (EDS). Energies 2017, 10, 1857. [Google Scholar] [CrossRef] [Green Version]
- Dombek, G.; Nadolny, Z.; Przybylek, P.; Lopatkiewicz, R.; Marcinkowska, A.; Druzynski, L.; Boczar, T.; Tomczewski, A. Effect of Moisture on the Thermal Conductivity of Cellulose and Aramid Paper Impregnated with Various Dielectric Liquids. Energies 2020, 13, 4433. [Google Scholar] [CrossRef]
- Wolny, S. Aging degree evaluation for paper-oil insulation, carried out using the recovery voltage method. IEEE Trans. Dielectr. Electr. Insul. 2015, 22, 2455–2462. [Google Scholar] [CrossRef]
- Münster, T.; Werle, P.; Hämel, K.; Preusel, J. Thermally Accelerated Aging of Insulation Paper for Transformers with Different Insulating Liquids. Energies 2021, 14, 3036. [Google Scholar] [CrossRef]
- Gorgan, B.; Nothingher, P.V.; Wetzer, J.M.; Verhaart, H.F.A.; Wouters, P.A.A.F.; van Schijndel, A.; Tanasescu, G. Calculation of the remaining lifetime of power transformers paper insulation. In Proceedings of the 2012 13th International Conference on Optimization of Electrical and Electronic Equipment (OPTIM), Brasov, Romania, 22–24 May 2012; pp. 293–300. [Google Scholar]
- Why Nomex® for Electrical Infrastructure? Available online: https://www.dupont.com/nomex-for-electrical-infrastructure.html (accessed on 21 November 2021).
- Zdanowski, M. Streaming Electrification Phenomenon of Electrical Insulating Oils for Power Transformers. Energies 2020, 13, 3225. [Google Scholar] [CrossRef]
- Zdanowski, M. Streaming Electrification of Mineral Insulating Oil and Synthetic Ester MIDEL 7131. IEEE Trans. Dielectr. Electr. Insul. 2014, 21, 1127–1132. [Google Scholar] [CrossRef]
- DuPontTH NOMEX® T910. Technical Data Sheet. Available online: https://www.dupont.com/content/dam/dupont/amer/us/en/safety/public/documents/en/DPT16_21921_Nomex_910_Tech_Data_Sheet_me06.pdf (accessed on 12 January 2022).
- MIDEL 7131. Technical Data Sheet. Available online: https://www.midel.com/app/uploads/2018/05/MIDEL-7131-Product-Brochure.pdf (accessed on 13 January 2022).
- Saha, T.K.; Purkait, P. Investigation of Polarization and Depolarization Current Measurements for the Assessment of Oil-paper Insulation of Aged Transformers. IEEE Trans. Dielectr. Electr. Insul. 2004, 11, 144–154. [Google Scholar] [CrossRef] [Green Version]
- Wolny, S.; Kędzia, J. The assessment of the influence of temperature of selected parameters of the approximation method of depolarization current analysis of paper–oil insulation. J. Non-Cryst. Solids 2010, 356, 809–814. [Google Scholar] [CrossRef]
- Jonscher, A. The Universal Dielectric Response and its Physical Significance. IEEE Trans. Electr. Insul. 1992, 27, 407–423. [Google Scholar] [CrossRef]
- Wolny, S.; Adamowicz, A.; Lepich, M. Influence of Temperature and Moisture Level in Paper-Oil Insulation on the Parameters of the Cole-Cole Model. IEEE Trans. Power Deliv. 2013, 29, 246–250. [Google Scholar] [CrossRef]
- Hao, J.; Liao, R.; Chen, G.; Ma, Z.; Yang, L. Quantitative analysis ageing status of natural ester-paper insulation and mineral oil-paper insulation by polarization/depolarization current. IEEE Trans. Dielectr. Electr. Insul. 2012, 19, 188–199. [Google Scholar]
- Girgis, R.; Bernesjo, M.; Frimpong, G.K. Detailed performance of a 50 MVA transformer filled with a natural ester fluid versus mineral oil. Water Energy Int. 2011, 68, 66. [Google Scholar]
- Wolny, S.; Krotowski, A. Analysis of Polarization and Depolarization Currents of Samples of NOMEX® 910 Cellulose–Aramid Insulation Impregnated with Mineral Oil. Energies 2020, 13, 6075. [Google Scholar] [CrossRef]
- Li, X.; Liao, R.; Li, M.; Yang, L.; Yang, J.; Qi, C. Influence of aging degree on polariaztion and deloparization currents of oil-paper insulation. In Proceedings of the 2013 Annual Report Conference on Electrical Insulation and Dielectric Phrnomena, Chenzhen, China, 20–23 October 2013; pp. 612–616. [Google Scholar]
Publisher’s Note: MDPI stays neutral with regard to jurisdictional claims in published maps and institutional affiliations. |
© 2022 by the authors. Licensee MDPI, Basel, Switzerland. This article is an open access article distributed under the terms and conditions of the Creative Commons Attribution (CC BY) license (https://creativecommons.org/licenses/by/4.0/).













